Mitigation of Drought Stress for Quinoa (Chenopodium quinoa Willd.) Varieties Using Woodchip Biochar-Amended Soil
Abstract
1. Introduction
2. Results
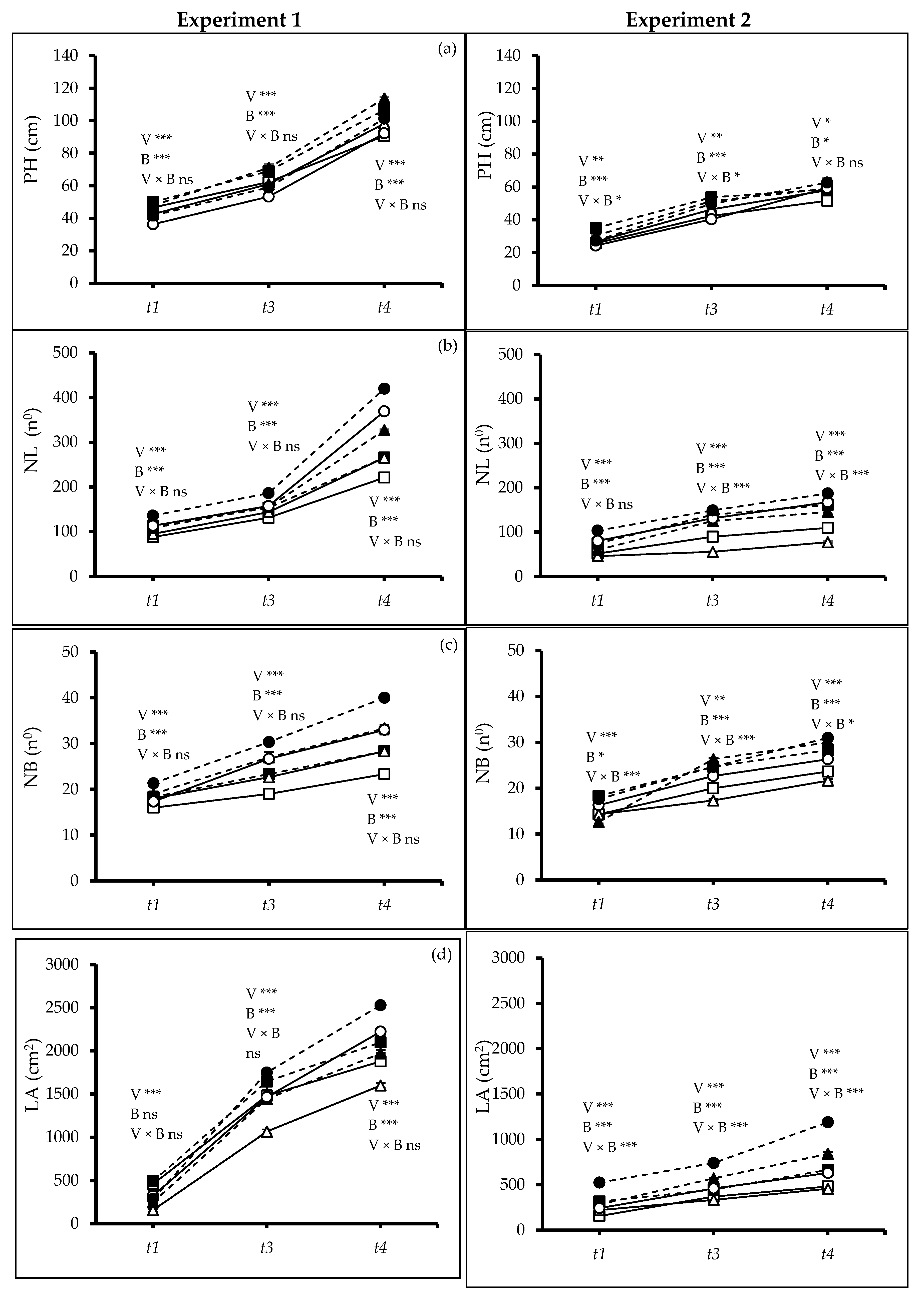
2.1. Plant Growth and Biomass during the Experiment
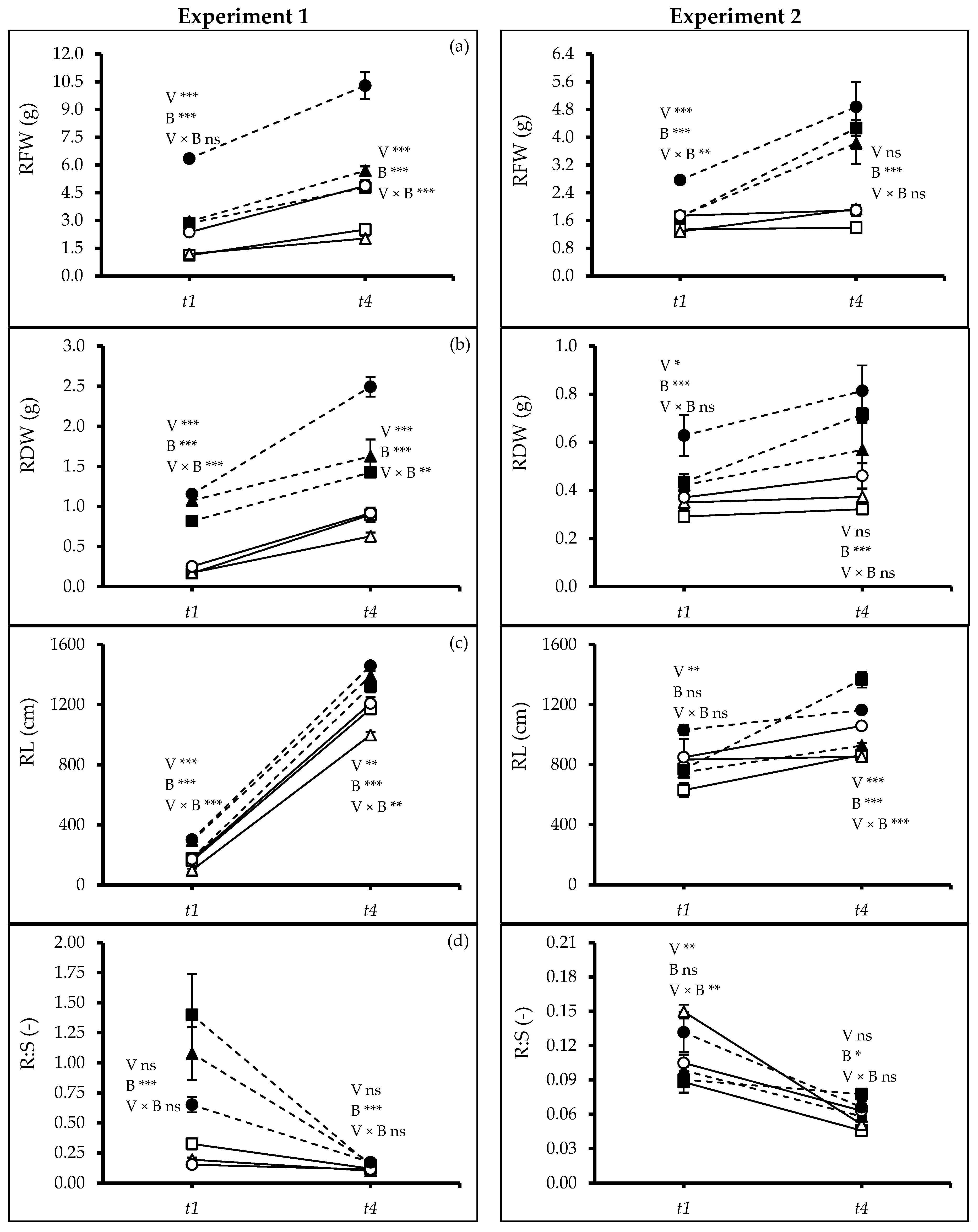
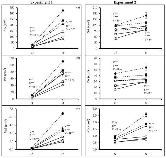
2.2. Root Traits during the Experiments
2.3. Growth- and Yield-Contributing Traits
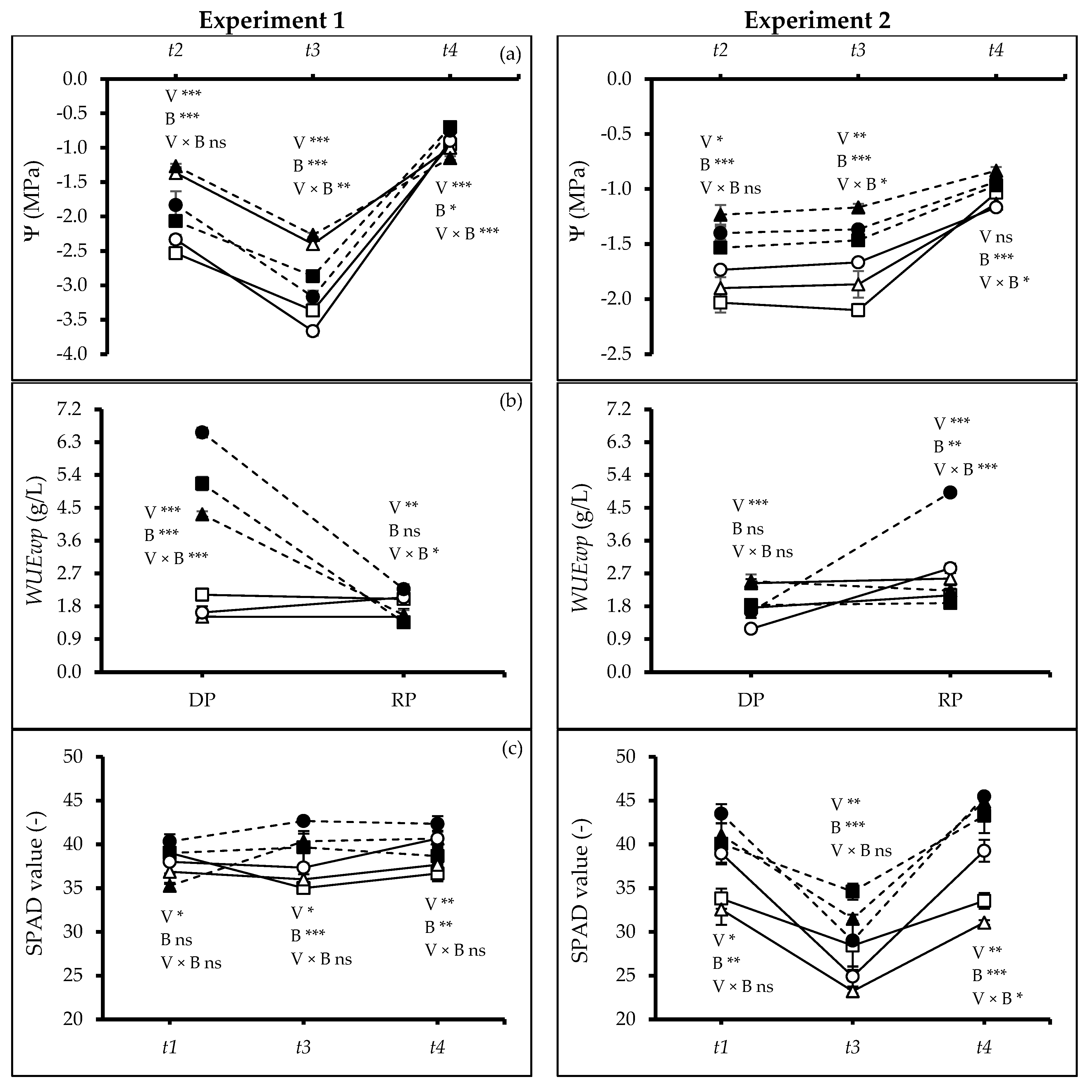
2.4. Physiological and Water-Related Parameters
2.5. Carbon and Nitrogen Contents
2.6. Correlation Analysis between SPAD Value and Nitrogen Percentages
2.7. PCA Correlation Analysis at t4
3. Discussion
3.1. Influence of Biochar Application on Growth under Drought Conditions
3.2. Influence of Biochar Application on Physiology and Water-Related Traits under Drought Conditions
3.3. Influence of Biochar Application on Root Morphology and Leaf Nutrient Concentrations under Drought Stress
4. Materials and Methods
4.1. Plant Material and Growing Conditions
4.2. Water Stress Treatment
4.3. Measurements
4.3.1. Morphological Parameters
4.3.2. Root Measurements
4.3.3. Water-Related Parameters
4.3.4. Measurements of SPAD Index
4.3.5. Total Leaf Nitrogen and Carbon Contents
4.4. Statistical Analysis
5. Conclusions
Author Contributions
Funding
Data Availability Statement
Acknowledgments
Conflicts of Interest
References
- Rosentrater, K.A.; Evers, A. Introduction to cereals and pseudocereals and their production. Kent’s Technol. Cereals 2018. [Google Scholar] [CrossRef]
- Akram, M.Z.; Basra, S.M.A.; Hafeez, M.B.; Khan, S.; Nazeer, S.; Iqbal, S.; Saddiq, M.S.; Zahra, N. Adaptability and yield potential of new quinoa lines under agro-ecological conditions of Faisalabad-Pakistan. Asian J. Agri. Bio. 2021, 2, 1–8. [Google Scholar] [CrossRef]
- El-Harty, E.H.; Seleiman, M.F.; Afzal, M.; Alghamdi, S. Water use efficiency (WUE) and productivity of promising quinoa (Chenopodium quinoa Wild.) genotypes grown under three water regimes. Not. Bot. Horti Agrobot. Cluj-Napoca 2023, 51, 13209. [Google Scholar] [CrossRef]
- Ain, Q.T.; Siddique, K.; Bawazeer, S.; Ali, I.; Mazhar, M.; Rasool, R.; Mubeen, B.; Ullah, F.; Unar, A.; Jafar, T.H. Adaptive mechanisms in quinoa for coping in stressful environments: An update. PeerJ 2023, 11, e14832. [Google Scholar] [CrossRef] [PubMed]
- Otterbach, S.L.; Khoury, H.; Rupasinghe, T.; Mendis, H.; Kwan, K.H.; Lui, V.; Natera, S.H.; Klaiber, I.; Allen, N.M.; Jarvis, D.E. Characterization of epidermal bladder cells in Chenopodium quinoa. Plant Cell Envir. 2021, 44, 3836–3852. [Google Scholar] [CrossRef] [PubMed]
- Maestro-Gaitán, I.; Granado-Rodríguez, S.; Poza-Viejo, L.; Matías, J.; Márquez-López, J.C.; Pedroche, J.J.; Cruz, V.; Bolaños, L.; Reguera, M. Quinoa plant architecture: A key factor determining plant productivity and seed quality under long-term drought. Environ. Exp. Bot. 2023, 211, 105350. [Google Scholar] [CrossRef]
- Jensen, C.; Jacobsen, S.-E.; Andersen, M.N.; Nunez, N.; Andersen, S.; Rasmussen, L.; Mogensen, V. Leaf gas exchange and water relation characteristics of field quinoa (Chenopodium quinoa Willd.) during soil drying. Eur. J. Agron. 2000, 13, 11–25. [Google Scholar] [CrossRef]
- Stanschewski, C.S.; Rey, E.; Fiene, G.; Craine, E.B.; Wellman, G.; Melino, V.J.; SR Patiranage, D.; Johansen, K.; Schmöckel, S.M.; Bertero, D. Quinoa phenotyping methodologies: An international consensus. Plants 2021, 10, 1759. [Google Scholar] [CrossRef]
- Murphy, K.M.; Bazile, D.; Kellogg, J.; Rahmanian, M. Development of a worldwide consortium on evolutionary participatory breeding in quinoa. Front. Plant Sci. 2016, 7, 184074. [Google Scholar] [CrossRef] [PubMed]
- Hafeez, M.B.; Iqbal, S.; Li, Y.; Saddiq, M.S.; Basra, S.M.; Zhang, H.; Zahra, N.; Akram, M.Z.; Bertero, D.; Curti, R.N. Assessment of phenotypic diversity in the USDA collection of quinoa links genotypic adaptation to germplasm origin. Plants 2022, 11, 738. [Google Scholar] [CrossRef]
- Bazile, D. Global trends in the worldwide expansion of quinoa cultivation. Bio. Life Sci. For. 2023, 25, 13. [Google Scholar] [CrossRef]
- Casini, P. Varietà di quinoa adatta all’areale italiano. L’Informatore Agrar. 2017, 8, 51–55. [Google Scholar]
- Taaime, N.; El Mejahed, K.; Moussafir, M.; Bouabid, R.; Oukarroum, A.; Choukr-Allah, R.; El Gharous, M. Early sowing of quinoa cultivars, benefits from rainy season and enhances quinoa development, growth, and yield under arid condition in Morocco. Sustainability 2022, 14, 4010. [Google Scholar] [CrossRef]
- Ullah, N.; Ditta, A.; Imtiaz, M.; Li, X.; Jan, A.U.; Mehmood, S.; Rizwan, M.S.; Rizwan, M. Appraisal for organic amendments and plant growth-promoting rhizobacteria to enhance crop productivity under drought stress: A review. J. Agron. Crop Sci. 2021, 207, 783–802. [Google Scholar] [CrossRef]
- Aytenew, M.; Bore, G. Effects of organic amendments on soil fertility and environmental quality: A review. J. Plant Sci. 2020, 8, 112–119. [Google Scholar] [CrossRef]
- Niu, M.; Chen, X.; Pan, Y.; Wang, S.; Xue, L.; Duan, Y.; Ahmad, S.; Zhou, Y.; Zhao, K.; Peng, D. Biochar effectively promoted growth of Ardisia crenata by affecting the soil physicochemical properties. Plants 2024, 13, 1736. [Google Scholar] [CrossRef]
- Blenis, N.; Hue, N.; Maaz, T.M.; Kantar, M. Biochar production, modification, and its uses in soil remediation: A review. Sustainability 2023, 15, 3442. [Google Scholar] [CrossRef]
- Kammann, C.I.; Linsel, S.; Gößling, J.W.; Koyro, H.-W. Influence of biochar on drought tolerance of Chenopodium quinoa Willd and on soil–plant relations. Plant Soil 2011, 345, 195–210. [Google Scholar] [CrossRef]
- Rivelli, A.R.; Akram, M.Z.; Libutti, A. Woody biochar rate and water shortage impact on early growth stages of Chenopodium quinoa Willd. Agronomy 2024, 14, 53. [Google Scholar] [CrossRef]
- Han, S.; Li, H.; Rengel, Z.; Du, Z.; Hu, N.; Wang, Y.; Zhang, A. Biochar application promotes crops yield through regulating root development and the community structure of root endophytic fungi in wheat-maize rotation. Soil Til. Res. 2023, 234, 105827. [Google Scholar] [CrossRef]
- Wan, H.; Liu, X.; Shi, Q.; Chen, Y.; Jiang, M.; Zhang, J.; Cui, B.; Hou, J.; Wei, Z.; Hossain, M.A. Biochar amendment alters root morphology of maize plant: Its implications in enhancing nutrient uptake and shoot growth under reduced irrigation regimes. Front. Plant Sci. 2023, 14, 1122742. [Google Scholar] [CrossRef] [PubMed]
- Usman, M.; Ahmad, N.; Raza, W.; Zhao, Z.; Abubakar, M.; Rehman, S.U.; Ikram, S.; Tariq, H. Impact of biochar on the yield and nutritional quality of tomatoes (Solanum lycopersicum) under drought stress. J. Sci. Food Agri. 2023, 103, 3479–3488. [Google Scholar] [CrossRef] [PubMed]
- Akram, M.Z.; Libutti, A.; Rivelli, A.R. Evaluation of vegetative development of quinoa under water stress by applying different organic amendments. Agronomy 2023, 13, 1412. [Google Scholar] [CrossRef]
- Bogati, K.; Walczak, M. The impact of drought stress on soil microbial community, enzyme activities and plants. Agronomy 2022, 12, 189. [Google Scholar] [CrossRef]
- Wei, B.; Peng, Y.; Lin, L.; Zhang, D.; Ma, L.; Jiang, L.; Li, Y.; He, T.; Wang, Z. Drivers of biochar-mediated improvement of soil water retention capacity based on soil texture: A meta-analysis. Geoderma 2023, 437, 116591. [Google Scholar] [CrossRef]
- Ramzani, P.M.A.; Shan, L.; Anjum, S.; Ronggui, H.; Iqbal, M.; Virk, Z.A.; Kausar, S. Improved quinoa growth, physiological response, and seed nutritional quality in three soils having different stresses by the application of acidified biochar and compost. Plant Phys. Biochem. 2017, 116, 127–138. [Google Scholar] [CrossRef]
- Khan, Z.; Khan, M.N.; Zhang, K.; Luo, T.; Zhu, K.; Hu, L. The application of biochar alleviated the adverse effects of drought on the growth, physiology, yield and quality of rapeseed through regulation of soil status and nutrients availability. Ind. Crops Prod. 2021, 171, 113878. [Google Scholar] [CrossRef]
- Brtnicky, M.; Datta, R.; Holatko, J.; Bielska, L.; Gusiatin, Z.M.; Kucerik, J.; Hammerschmiedt, T.; Danish, S.; Radziemska, M.; Mravcova, L. A critical review of the possible adverse effects of biochar in the soil environment. Sci. Total Env. 2021, 796, 148756. [Google Scholar] [CrossRef]
- Xu, J.; Niu, W.Q.; Zhang, M.Z.; Li, Y.; Lyu, W.; Li, K.-Y.; Zou, X.-Y.; Liang, B.-H. Effect of biochar addition on soil evaporation. J. App. Eco. 2016, 27, 3505–3513. [Google Scholar] [CrossRef]
- Geerts, S.; Mamani, R.S.; Garcia, M.; Raes, D. Response of quinoa (Chenopodium quinoa Willd.) to differential drought stress in the Bolivian Altiplano: Towards a deficit irrigation strategy within a water scarce region. In Proceedings of the 1st International Symposium on Land and Water Management for Sustainable Irrigated Agriculture, Adana Turkey, 4–8 April 2006; pp. 4–8. [Google Scholar]
- Akram, M.Z.; Libutti, A.; Rivelli, A.R. Enhancing vegetative growth of quinoa and soil properties under water shortage through targeted organic amendments. Bio. Life Sci. For. 2024, 30, 4. [Google Scholar] [CrossRef]
- Raza, M.A.S.; Ibrahim, M.A.; Ditta, A.; Iqbal, R.; Aslam, M.U.; Muhammad, F.; Ali, S.; Çiğ, F.; Ali, B.; Muhammad Ikram, R. Exploring the recuperative potential of brassinosteroids and nano-biochar on growth, physiology, and yield of wheat under drought stress. Sci. Rep. 2023, 13, 15015. [Google Scholar] [CrossRef]
- Saddiq, M.S.; Wang, X.; Iqbal, S.; Hafeez, M.B.; Khan, S.; Raza, A.; Iqbal, J.; Maqbool, M.M.; Fiaz, S.; Qazi, M.A. Effect of water stress on grain yield and physiological characters of quinoa genotypes. Agronomy 2021, 11, 1934. [Google Scholar] [CrossRef]
- Ali, S.; Rizwan, M.; Qayyum, M.F.; Ok, Y.S.; Ibrahim, M.; Riaz, M.; Arif, M.S.; Hafeez, F.; Al-Wabel, M.I.; Shahzad, A.N. Biochar soil amendment on alleviation of drought and salt stress in plants: A critical review. Environ. Sci. Pol. Res. 2017, 24, 12700–12712. [Google Scholar] [CrossRef]
- García-Parra, M.A.; Stechauner-Rohringer, R.; Garcia-Molano, J.F.; Ortiz-Gonzalez, D. Análise do crescimento e desempenho morfofisiológico de três cultivares de quinoa colombiana cultivadas em casa de vegetação. Rev. Ciências Agroveterinárias 2020, 19, 73–83. [Google Scholar] [CrossRef][Green Version]
- Noulas, C.; Tziouvalekas, M.; Vlachostergios, D.; Baxevanos, D.; Karyotis, T.; Iliadis, C. Adaptation, agronomic potential, and current perspectives of quinoa under mediterranean conditions: Case studies from the lowlands of central Greece. Com. Soil Sci. Plant Ana. 2017, 48, 2612–2629. [Google Scholar]
- Manjarres-Hernández, E.H.; Arias-Moreno, D.M.; Morillo-Coronado, A.C.; Ojeda-Pérez, Z.Z.; Cárdenas-Chaparro, A. Phenotypic characterization of quinoa (Chenopodium quinoa Willd.) for the selection of promising materials for breeding programs. Plants 2021, 10, 1339. [Google Scholar] [CrossRef]
- Jacobsen, S.-E.; Liu, F.; Jensen, C.R. Does root-sourced ABA play a role for regulation of stomata under drought in quinoa (Chenopodium quinoa Willd.). Sci. Hort. 2009, 122, 281–287. [Google Scholar] [CrossRef]
- Sun, Y.; Liu, F.; Bendevis, M.; Shabala, S.; Jacobsen, S.E. Sensitivity of two quinoa (Chenopodium quinoa Willd.) varieties to progressive drought stress. J. Agro. Crop Sci. 2014, 200, 12–23. [Google Scholar] [CrossRef]
- Gaskin, J.W.; Speir, R.A.; Harris, K.; Das, K.; Lee, R.D.; Morris, L.A.; Fisher, D.S. Effect of peanut hull and pine chip biochar on soil nutrients, corn nutrient status, and yield. Agro. J. 2010, 102, 623–633. [Google Scholar] [CrossRef]
- Riccardi, M.; Pulvento, C.; Lavini, A.; d’Andria, R.; Jacobsen, S.E. Growth and ionic content of quinoa under saline irrigation. J. Agro. Crop Sci. 2014, 200, 246–260. [Google Scholar] [CrossRef]
- Issa Ali, O.; Fghire, R.; Anaya, F.; Benlhabib, O.; Wahbi, S. Physiological and morphological responses of two quinoa cultivars (Chenopodium quinoa Willd.) to drought stress. Gesunde Pflanz. 2019, 71, 123–133. [Google Scholar] [CrossRef]
- Anee, T.I.; Islam, M.N.N.; Hassan, M.M.; Masud, A.A.C.; Alam, M.M.; Hasanuzzaman, M. Organic amendments improve plant morpho-physiology and antioxidant metabolism in mitigating drought stress in bread wheat (Triticum aestivum L.). Phyton Int. J. Exp. Bot. 2022, 911, 1959–1972. [Google Scholar] [CrossRef]
- Jabborova, D.; Annapurna, K.; Al-Sadi, A.M.; Alharbi, S.A.; Datta, R.; Zuan, A.T.K. Biochar and Arbuscular mycorrhizal fungi mediated enhanced drought tolerance in Okra (Abelmoschus esculentus) plant growth, root morphological traits and physiological properties. Saudi J. Biol. Sci. 2021, 28, 5490–5499. [Google Scholar] [CrossRef]
- Elad, Y.; David, D.R.; Harel, Y.M.; Borenshtein, M.; Kalifa, H.B.; Silber, A.; Graber, E.R. Induction of systemic resistance in plants by biochar, a soil-applied carbon sequestering agent. Phytopathology 2010, 100, 913–921. [Google Scholar] [CrossRef]
- Joseph, S.; Cowie, A.L.; Van Zwieten, L.; Bolan, N.; Budai, A.; Buss, W.; Cayuela, M.L.; Graber, E.R.; Ippolito, J.A.; Kuzyakov, Y. How biochar works, and when it doesn’t: A review of mechanisms controlling soil and plant responses to biochar. Gcb Bioen. 2021, 13, 1731–1764. [Google Scholar] [CrossRef]
- Zhang, A.; Bian, R.; Pan, G.; Cui, L.; Hussain, Q.; Li, L.; Zheng, J.; Zheng, J.; Zhang, X.; Han, X. Effects of biochar amendment on soil quality, crop yield and greenhouse gas emission in a Chinese rice paddy: A field study of 2 consecutive rice growing cycles. Field Crops Res. 2012, 127, 153–160. [Google Scholar] [CrossRef]
- Haider, I.; Raza, M.A.S.; Iqbal, R.; Aslam, M.U.; Habib-ur-Rahman, M.; Raja, S.; Khan, M.T.; Aslam, M.M.; Waqas, M.; Ahmad, S. Potential effects of biochar application on mitigating the drought stress implications on wheat (Triticum aestivum L.) under various growth stages. J. Saudi Chem. Soc. 2020, 24, 974–981. [Google Scholar] [CrossRef]
- Foster, E.J.; Hansen, N.; Wallenstein, M.; Cotrufo, M.F. Biochar and manure amendments impact soil nutrients and microbial enzymatic activities in a semi-arid irrigated maize cropping system. Agri. Ecosys. Environ. 2016, 233, 404–414. [Google Scholar] [CrossRef]
- Mannan, M.; Halder, E.; Karim, M.; Ahmed, J. Alleviation of adverse effect of drought stress on soybean (Glycine max L.) by using poultry litter biochar. Ban. Agro. J. 2017, 19, 61–69. [Google Scholar] [CrossRef][Green Version]
- Agbna, G.H.; Dongli, S.; Zhipeng, L.; Elshaikh, N.A.; Guangcheng, S.; Timm, L.C. Effects of deficit irrigation and biochar addition on the growth, yield, and quality of tomato. Sci. Hort. 2017, 222, 90–101. [Google Scholar] [CrossRef]
- Noguera, D.; Rondón, M.; Laossi, K.-R.; Hoyos, V.; Lavelle, P.; de Carvalho, M.H.C.; Barot, S. Contrasted effect of biochar and earthworms on rice growth and resource allocation in different soils. Soil Bio. Biochem. 2010, 42, 1017–1027. [Google Scholar] [CrossRef]
- Liao, F.; Yang, L.; Li, Q.; Xue, J.; Li, Y.; Huang, D.; Yang, L. Effect of biochar on growth, photosynthetic characteristics and nutrient distribution in sugarcane. Sugar Tech. 2019, 21, 289–295. [Google Scholar] [CrossRef]
- Zhao, H.; Yu, L.; Yu, M.; Afzal, M.; Dai, Z.; Brookes, P.; Xu, J. Nitrogen combined with biochar changed the feedback mechanism between soil nitrification and Cd availability in an acidic soil. J. Haz. Mat. 2020, 390, 121631. [Google Scholar] [CrossRef]
- Akhtar, S.S.; Amby, D.B.; Hegelund, J.N.; Fimognari, L.; Großkinsky, D.K.; Westergaard, J.C.; Müller, R.; Moelbak, L.; Liu, F.; Roitsch, T. Bacillus licheniformis FMCH001 increases water use efficiency via growth stimulation in both normal and drought conditions. Front. Plant Sci. 2020, 11, 297. [Google Scholar] [CrossRef]
- Dumas, J. Procédés de l’analyse organique. Ann. Chim. Phys 1831, 47, 198–205. [Google Scholar]
- R Core Team. R: A Language and Environment for Statistical Computing; R Foundation for Statistical Computing: Vienna, Austria, 2013. [Google Scholar]











| Varieties | Code | Origin | Collection Site/Company |
|---|---|---|---|
| Titicaca | V1 | Denmark | University of Copenhagen, Taastrup, Denmark |
| Quipu | V2 | Italy | Tuttoquinoa di Vannuzzi Dario, Manciano, Italy |
| UAFQ7 | V3 | Pakistan | Muhammad Nawaz Shareef University of Agriculture (MNSUAM), Multan, Pakistan |
| Parameters | Biochar |
|---|---|
| pH | 8.9 ± 0.13 |
| EC | 0.52 ± 0.04 dS m−1 |
| Moisture | 5.6 ± 0.11% dw |
| Volatile solids | 42.3 ± 0.44% dw |
| Ash | 4.4 ± 0.21% dw |
| Fixed carbon | 53.3 ± 0.24% dw |
| C | 68.3 ± 0.11% dw |
| H | 4 ± 0.04% dw |
| N | 1 ± 0.03% dw |
| Corg | 66.3 ± 0.06% dw |
| C/N | 67.2 ± 1.96 |
| S | 0.03 ± 0.01% dw |
| O | 22.3 ± 0.29% dw |
| H/Corg ratio | 0.06 ± 0.01 |
| O/Corg ratio | 0.4 ± 0.01 |
| Parameters | Units | Soil |
|---|---|---|
| Phosphorus | (mg/100 g) | 4.7 |
| Potassium | (mg/100 g) | 19 |
| Magnesium | (mg/100 g) | 5.9 |
| Sodium | (mg/100 g) | 2.6 |
| Manganese | (mg/kg) | 30.2 |
| Copper | (mg/kg) | 1.5 |
| Zinc total | (mg/kg) | 2.4 |
| Boron | (mg/10 kg) | 3.4 |
| Molybdenum | (mg/10 kg) | 0.92 |
| Organic matter | (%) | 2.14 |
| Clay (<0.002 mm) | (%) | 9.1 |
| Silt (0.002 mm) | (%) | 7.0 |
| Fine sand (0.02–0.2 mm) | (%) | 43.5 |
| Coarse sand (0.2–2.0 mm) | (%) | 38.4 |
Disclaimer/Publisher’s Note: The statements, opinions and data contained in all publications are solely those of the individual author(s) and contributor(s) and not of MDPI and/or the editor(s). MDPI and/or the editor(s) disclaim responsibility for any injury to people or property resulting from any ideas, methods, instructions or products referred to in the content. |
© 2024 by the authors. Licensee MDPI, Basel, Switzerland. This article is an open access article distributed under the terms and conditions of the Creative Commons Attribution (CC BY) license (https://creativecommons.org/licenses/by/4.0/).
Share and Cite
Akram, M.Z.; Rivelli, A.R.; Libutti, A.; Liu, F.; Andreasen, C. Mitigation of Drought Stress for Quinoa (Chenopodium quinoa Willd.) Varieties Using Woodchip Biochar-Amended Soil. Plants 2024, 13, 2279. https://doi.org/10.3390/plants13162279
Akram MZ, Rivelli AR, Libutti A, Liu F, Andreasen C. Mitigation of Drought Stress for Quinoa (Chenopodium quinoa Willd.) Varieties Using Woodchip Biochar-Amended Soil. Plants. 2024; 13(16):2279. https://doi.org/10.3390/plants13162279
Chicago/Turabian StyleAkram, Muhammad Zubair, Anna Rita Rivelli, Angela Libutti, Fulai Liu, and Christian Andreasen. 2024. "Mitigation of Drought Stress for Quinoa (Chenopodium quinoa Willd.) Varieties Using Woodchip Biochar-Amended Soil" Plants 13, no. 16: 2279. https://doi.org/10.3390/plants13162279
APA StyleAkram, M. Z., Rivelli, A. R., Libutti, A., Liu, F., & Andreasen, C. (2024). Mitigation of Drought Stress for Quinoa (Chenopodium quinoa Willd.) Varieties Using Woodchip Biochar-Amended Soil. Plants, 13(16), 2279. https://doi.org/10.3390/plants13162279

