Sign in to use this feature.

Years

Between: -

Subjects

remove_circle_outline
remove_circle_outline
remove_circle_outline
remove_circle_outline
remove_circle_outline
remove_circle_outline
remove_circle_outline
remove_circle_outline
remove_circle_outline

Journals

remove_circle_outline
remove_circle_outline
remove_circle_outline
remove_circle_outline
remove_circle_outline
remove_circle_outline

Article Types

Countries / Regions

remove_circle_outline
remove_circle_outline

Search Results (233)

Search Parameters:
Keywords = oxygen-containing flow

Order results
Result details
Results per page
Select all
Export citation of selected articles as:
18 pages, 10419 KB  
Article
Optimization of Corrosion Resistance in Magnetron-Sputtered CrAlN Coatings for Alkaline Seawater Electrolysis via Nitrogen Flow Ratio Control: Microstructural Evolution and Corrosion Mechanism
by Mingyu Liu, Yu Liu, Jing Mi, Yanyan Fu, Lei Hao, Ziqiang Dong and Qinghe Yu
Coatings 2026, 16(5), 524; https://doi.org/10.3390/coatings16050524 (registering DOI) - 27 Apr 2026
Abstract
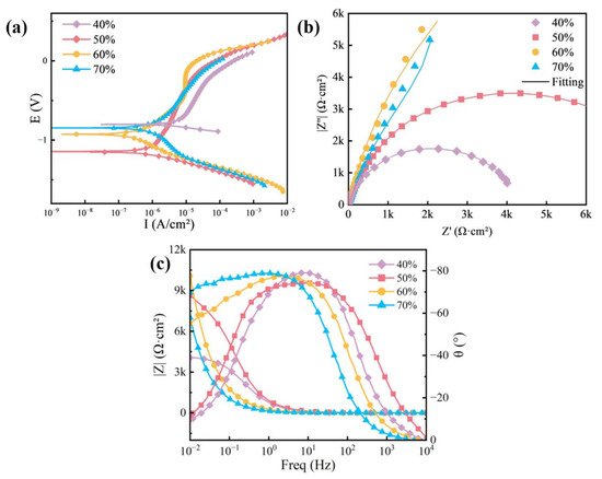
Designing materials with superior corrosion resistance is critical for seawater electrolysis systems to achieve efficient and long-term stable hydrogen production. In the current study, CrAlN coatings were deposited on TA1 titanium substrates by reactive magnetron sputtering with nitrogen flow ratios ranging from 40%–70% [...] Read more.
Designing materials with superior corrosion resistance is critical for seawater electrolysis systems to achieve efficient and long-term stable hydrogen production. In the current study, CrAlN coatings were deposited on TA1 titanium substrates by reactive magnetron sputtering with nitrogen flow ratios ranging from 40%–70% to investigate the effect of nitrogen stoichiometry on corrosion behavior in simulated alkaline seawater (pH ≈ 14, chloride-containing). Microstructural characterization (Scanning Electron Microscopy (SEM), Energy Dispersive X-ray Spectroscopy (EDS), Grazing Incidence X-Ray Diffraction (GIXRD), Transmission Electron Microscopy (TEM), X-Ray Photoelectron Spectroscopy (XPS), Atomic Force Microscopy (AFM)) reveals that a 60% nitrogen ratio promotes grain refinement, improved CrN/AlN phase stoichiometry, and reduced oxygen-related defects, resulting in a dense columnar structure with minimized diffusion pathways. Electrochemical measurements show that this condition yields the lowest corrosion current density (0.297 μA·cm−2) and the highest polarization resistance (123.9 kΩ·cm2). Electrochemical impedance spectroscopy confirms enhanced charge transfer resistance and suppressed ionic transport at the coating/electrolyte interface. The results establish a clear correlation between nitrogen-controlled phase evolution, defect density, and passivation kinetics in highly alkaline chloride environments relevant to seawater electrolysis. This study targets the fabrication of protective coatings for alkaline seawater electrolysis via nitrogen flow ratio optimization. The optimized CrAlN coating achieves remarkably improved corrosion resistance compared with existing coatings, showing promising practical value for long-term stable seawater electrolysis. Full article
(This article belongs to the Section Composite Coatings)
Show Figures

Figure 1

13 pages, 3611 KB  
Article
Post-Processing Optimization of MDLP-Fabricated 316L Stainless Steel: Microstructural Evolution and Mechanical Properties
by Zequn Wu, Weiwei Liu, Hongzhi Zhou, Xing Zhang, Yao Chen, Qinghao Zhang, Wenjie Xu, Wenli Li and Zhanwen Xing
Materials 2026, 19(9), 1769; https://doi.org/10.3390/ma19091769 - 27 Apr 2026
Abstract
Metal Digital light processing (MDLP) offers high resolution and excellent surface quality, but the final properties of printed parts are highly dependent on post-processing. In this study, the effects of debinding, decarburization, and sintering on the shape fidelity, microstructure, and mechanical properties of [...] Read more.
Metal Digital light processing (MDLP) offers high resolution and excellent surface quality, but the final properties of printed parts are highly dependent on post-processing. In this study, the effects of debinding, decarburization, and sintering on the shape fidelity, microstructure, and mechanical properties of MDLP-fabricated 316L stainless steel were systematically investigated. The optimal post-processing route consisted of debinding in an inert atmosphere, decarburization in air within 400–600 °C, and sintering at 1370 °C for 4 h under flowing nitrogen. Under these conditions, the sintered parts achieved a relative density of 98.03 ± 0.23%, hardness of 380.63 ± 9.15 HV, elastic modulus of 213.47 ± 5.5 GPa, tensile strength of 519.7 ± 22 MPa, and elongation at fracture of 76.8 ± 9.3%. Microstructural analysis showed that increasing the sintering temperature reduced porosity and smoothed the morphology of Cr-rich oxygen-containing second phase regions, thereby alleviating stress concentration and improving mechanical properties. This study provides an effective post-processing strategy for MDLP-fabricated 316L stainless steel and examines the microstructural origins of the observed property evolution. Full article
Show Figures

Figure 1

26 pages, 19775 KB  
Article
Composite Materials Based on L-Polylactide with Titanium or Titanium Dioxide Nanoparticles: Dark Antibacterial Activity Through ROS Generation
by Dmitriy E. Burmistrov, Pavel A. Ivliev, Dmitriy A. Serov, Ilya V. Baimler, Alexander V. Simakin, Sergei O. Liubimovskii, Maxim E. Astashev, Valeriy A. Kozlov, Alena A. Nastulyavichus, Guliya R. Nizameeva, Fatikh M. Yanbaev and Sergey V. Gudkov
J. Compos. Sci. 2026, 10(4), 214; https://doi.org/10.3390/jcs10040214 - 19 Apr 2026
Viewed by 496
Abstract
Modification of PLA with functional nanoparticles is a promising approach for imparting new properties to the material. In this work, titanium nanoparticles (Ti NPs) and titanium dioxide nanoparticles (TiO2 NPs) were synthesized by laser ablation and characterized by dynamic light scattering, spectrophotometry, [...] Read more.
Modification of PLA with functional nanoparticles is a promising approach for imparting new properties to the material. In this work, titanium nanoparticles (Ti NPs) and titanium dioxide nanoparticles (TiO2 NPs) were synthesized by laser ablation and characterized by dynamic light scattering, spectrophotometry, and transmission electron microscopy. The average hydrodynamic diameter of Ti NPs was 12 nm, while that of TiO2 NPs was 24 nm; both dispersions possessed a positive zeta potential (23–27 mV) and spherical morphology. L-PLA composite films containing 0.1 wt.% Ti NPs or TiO2 NPs were obtained by solution casting. Atomic force and modulation-interference microscopy confirmed the uniform distribution of nanoparticles within the polymer matrix, although partial aggregation was observed. The introduction of TiO2 NPs increased the water contact angle. Mechanical testing revealed a significant reinforcing effect: the addition of 0.1 wt.% NPs increased the Young’s modulus by 62–68% and the ultimate tensile strength by 16–18% while maintaining a ductile fracture pattern with elongation at break up to ~8%. Both types of composites generated reactive oxygen species (ROS) in aqueous solutions: Ti NPs increased H2O2 production by 5.5 times and TiO2 NPs by 4.9 times, and they also induced the formation of hydroxyl radicals. The accumulation of 8-oxoguanine in DNA and long-lived oxidized protein species confirmed the materials’ ability to cause oxidative damage to biomacromolecules. For E. coli, growth inhibition reached 40.5% (for composites with Ti NPs) and 71% (for composites with TiO2 NPs). The effect was even more pronounced for S. aureus, where inhibition levels were approximately 70% and 80%, respectively; flow cytometry confirmed the strong bactericidal effect, showing that materials containing TiO2 NPs increased the proportion of dead cells to 25% for E. coli and ~68% for S. aureus. Cytotoxicity assessment on human fibroblasts (HSF) demonstrated the high biocompatibility of neat L-PLA and composites with Ti NPs (viability > 95%) and with TiO2 NPs (viability ~93%). The obtained results indicate that L-PLA-based composites with Ti NPs and TiO2 NPs exhibit pronounced ROS-mediated antibacterial activity without additional UV irradiation. These findings position these materials as highly promising candidates for active biodegradable food packaging to extend shelf-life and for biomedical devices, such as wound dressings and implants, where reducing the risk of bacterial colonization is critical. Full article
(This article belongs to the Special Issue The Properties and Applications of Advanced Functional Biocomposites)
Show Figures

Graphical abstract

16 pages, 3469 KB  
Article
Recyclability of Flame-Retardant Polypropylene: Property and Flame Retardancy Assessment
by Giulia Bernagozzi, Rossella Arrigo, Yue Xu, Miaojun Xu, Mattia Bartoli and Alberto Frache
Polymers 2026, 18(7), 845; https://doi.org/10.3390/polym18070845 - 31 Mar 2026
Viewed by 453
Abstract
In the framework of plastic circularity, managing end-of-life plastics containing flame-retardant (FR) additives represents a significant challenge. Although FRs are essential for enhancing fire safety in polymeric materials, many FR-containing products are never exposed to fire during their service life. As a result, [...] Read more.
In the framework of plastic circularity, managing end-of-life plastics containing flame-retardant (FR) additives represents a significant challenge. Although FRs are essential for enhancing fire safety in polymeric materials, many FR-containing products are never exposed to fire during their service life. As a result, substantial amounts of still-active FR remain in plastic waste streams. Since mechanical recycling is currently the most widely implemented strategy for plastic waste management, it is crucial to evaluate whether this process affects the flammability and combustion behavior of FR plastics. In this study, polypropylene (PP) containing 21 wt.% intumescent FR (IFR) was reprocessed up to five times to simulate mechanical recycling. After each cycle, the materials were systematically characterized in terms of rheological, morphological, combustion, and mechanical behavior. Although the agglomeration of IFR particles was observed after multiple cycles, the materials maintained stable processability and thermal stability. Importantly, the charring efficiency of the IFR system was preserved, resulting in consistent flammability performance; furthermore, all reprocessed samples achieved UL 94 V-0 classification and exhibited comparable limited oxygen index values. Mechanical properties were likewise largely maintained. Overall, these findings demonstrate that mechanical recycling represents a viable end-of-life strategy for this PP/IFR system, supporting its compatibility with circular material flow. Full article
(This article belongs to the Special Issue Sustainable and Functional Polymeric Nanocomposites)
Show Figures

Figure 1

29 pages, 3496 KB  
Article
Hybrid Cavitation-Jet and Arc Discharge Technology for Processing Associated Petroleum Gas
by Galymzhan Mamytbekov, Igor Danko, Amangeldy Bekbayev, Vassiliy Titkov and Yernat Nurtazin
Technologies 2026, 14(3), 174; https://doi.org/10.3390/technologies14030174 - 12 Mar 2026
Viewed by 397
Abstract
This study investigates the feasibility of treating acidic gases produced in oilfields using a novel method that combines cavitation-jet reactor (CJR) technology with electric arc discharge (EAD). The integration of these two approaches enhances the ionization process by converting neutral gas molecules into [...] Read more.
This study investigates the feasibility of treating acidic gases produced in oilfields using a novel method that combines cavitation-jet reactor (CJR) technology with electric arc discharge (EAD). The integration of these two approaches enhances the ionization process by converting neutral gas molecules into chemically reactive ion-radical and radical fragments. These highly reactive species eventually recombine, creating new chemical compounds and simpler molecules from incoming acid gas and water vapor. Theoretical validation and experimental demonstration have revealed possible mechanisms and pathways of low-temperature plasma-chemical processes resulting from the synergistic effects of cavitating-jet flow and arc discharge on the molecular degradation of neutral gaseous molecules, such as hydrogen sulfide and carbon dioxide in water vapor, which lead to the generation of new compounds. Research indicates that the most effective method for processing associated petroleum gas (APG) involves minimizing the sequential nature of chemical reactions in low-temperature non-equilibrium plasma environments, thus eliminating the need for costly and complex catalysts. Additionally, studies have shown that the cavitation-jet flow of a gas–vapor–liquid mixture, when combined with an electric arc discharge in the truncated region of the low-temperature plasma of CJR, results in the synthesis of hydrogen, two forms of S8 (S8I and S8II), crystalline carbon, and its organic derivatives containing oxygen and nitrogen, specifically methanol, ethanol, acetone, and acetonitrile. The data obtained suggest that the generation of low-temperature plasma in the cavitation-jet chamber, induced by an electric discharge, is essential for the production of reaction products, such as hydrogen, sulfur, and oxygen- and nitrogen-containing derivatives of organic carbon, when water vapor and acid gas molecules traverse the reactor. Full article
(This article belongs to the Section Environmental Technology)
Show Figures

Graphical abstract

22 pages, 2693 KB  
Article
Evaluation of Pressure Retarded Osmosis for Energy Generation from Mine Water
by Giti Nouri, Catherine N. Mulligan, Fuzhan Nasiri, Carmen M. Neculita and Thomas Genty
Water 2026, 18(5), 558; https://doi.org/10.3390/w18050558 - 27 Feb 2026
Viewed by 588
Abstract
This study examines the application of mining effluents as feed solutions in a bench scale pressure retarded osmosis (PRO) system for energy generation and the prospect of water recycling or safe discharge to the environment. Effluents were characterized and pretreated by ultrafiltration (UF) [...] Read more.
This study examines the application of mining effluents as feed solutions in a bench scale pressure retarded osmosis (PRO) system for energy generation and the prospect of water recycling or safe discharge to the environment. Effluents were characterized and pretreated by ultrafiltration (UF) and nanofiltration (NF) prior to PRO. The PRO process was then conducted over 6 h in a cross flow flat plate cell with an effective membrane area of 34 cm2, a hydraulic pressure of 12.4 bar and a 3M ammonium carbonate (NH4)2CO3 as draw solution. Effluent 1 contained ions such as Cl (539 mg/L), NO3 (585 mg/L), SO42− (3000 mg/L), Na+ (560 mg/L), and Mg2+ (656 mg/L), with a total dissolved solids (TDS) concentration of 5400 mg/L, chemical oxygen demand (COD) of 136 mg/L, total organic carbon (TOC) concentration of 3.5 mg/L, and acidic pH of 3.8, while effluent 2 was highly dominated by Cl (32,100 mg/L), NO3 (9720 mg/L), SO42− (6512 mg/L), Na+ (14,306 mg/L), and Mg2+ (5336 mg/L), had a TDS concentration of 73,315 mg/L, COD of 8100 mg/L, TOC concentration of 10.2 mg/L, and pH of 7.4. These physiochemical properties indicated a significant potential of fouling and scaling which necessitated the appropriate pretreatments. It was shown that integrating UF and NF pretreatments was highly effective in refining the quality of effluents with a significant removal efficiency of above 90% for ions and heavy metals by NF, led to fouling mitigation, higher and more stable power density as well as potential water reuse or safe environmental discharge. The achieved water fluxes and power densities were 54 L/m2h and 18.6 W/m2, for effluent 1, and 38 L/m2h and 13 W/m2, for effluent 2, respectively. The outcome of this study is applicable for the mining sector especially in remote areas with the potential for water and energy recoveries to contribute to more sustainable mining operations. Full article
(This article belongs to the Section Wastewater Treatment and Reuse)
Show Figures

Figure 1

14 pages, 1413 KB  
Article
Experimental Study on the Oxygen-Enriched Combustion Characteristics of CO in Flue Gas from an Anode Furnace
by Huixian Shi, Yuan Xu, Enlin Chen, Jun Xi, Xing Ning, Changzhe Fan, Yuyun Zhang and Yongbo Du
Processes 2026, 14(4), 656; https://doi.org/10.3390/pr14040656 - 14 Feb 2026
Viewed by 399
Abstract
The flue gas of a copper smelting plant contains high-concentration SO2, which could be used for sulfuric acid production via a catalytic oxidation approach. Coal as a reducing agent during pyrometallurgical copper refinement in an anode furnace leads to high-concentration CO [...] Read more.
The flue gas of a copper smelting plant contains high-concentration SO2, which could be used for sulfuric acid production via a catalytic oxidation approach. Coal as a reducing agent during pyrometallurgical copper refinement in an anode furnace leads to high-concentration CO in the flue gas. High concentrations of CO not only compete for oxygen consumption but also reduce the activity of oxidation catalysts, thereby severely hindering the resource recovery of SO2 from flue gas. This problem may be resolved via installing a combustion chamber downstream, which introduces air to assist with CO oxidation. However, the complex composition of anode furnace flue gas affects CO combustion reactions, and the flue gas temperature may decrease from 1150 °C to 600 °C during flow to the combustion chamber, making CO combustion difficult. Additionally, significant air leakage could account for more than 60% of the total flue gas volume, which makes it difficult to determine the flue gas volume and severely hinders the calculation of the required oxygen dosage for the combustion chamber. In this study, an anode furnace with single production copper output of the 160-ton class was selected, and its flue gas volume as well as the required air supply for complete CO combustion were calculated based on the CO concentration via adopting the elements conservation law. When CO accounts for 3–10% of the total flue gas volume, the total flue gas flow volume ranges from 6800.3 to 7637.3 Nm3/h during reduction in an anode furnace, and the required air supply for CO burn-off ranges from 545.1 Nm3/h to 1617.9 Nm3/h. Based on the flue gas composition and conditions in the combustion chamber, the influences of the temperature and CO2 and H2O concentrations on CO oxidation were systematically investigated via using a tube reactor experimental system. CO oxidation initiated at 500 °C and reached near-complete conversion (99.9%) at 800 °C. The addition of 5% H2O notably enhanced the reaction, reducing the T50 (50% conversion temperature) from 675 °C to 650 °C. Conversely, a marked suppression was observed with 6.09% CO2 at 650 °C, where the oxidation rate dropped sharply from 50.27% to 27.75%. A dedicated examination of O2 then confirmed that increasing its concentration effectively enhanced combustion completeness under the optimized conditions. At 650 °C, the CO oxidation rate increased from 24% to 56% as the O2 concentration rose from 17.58% to 41%, whereas a further increase in O2 to 51% suppressed the rate to 39%. Full article
(This article belongs to the Section Chemical Processes and Systems)
Show Figures

Figure 1

12 pages, 673 KB  
Perspective
Overcoming HRP/TMB/H2O2 Limitations in LFIAs Using Cerium Oxide Nanozymes with Built-In Peroxidase Activity
by John H. T. Luong
Biosensors 2026, 16(2), 96; https://doi.org/10.3390/bios16020096 - 3 Feb 2026
Cited by 1 | Viewed by 811
Abstract
Cerium oxide (CeO2) nanozymes, also known as nanoceria have emerged as a versatile class of catalytic nanomaterials capable of mimicking key redox enzymes, including oxidases and peroxidases. Their tunable Ce3+/Ce4+ redox cycling, high density of oxygen vacancies, and [...] Read more.
Cerium oxide (CeO2) nanozymes, also known as nanoceria have emerged as a versatile class of catalytic nanomaterials capable of mimicking key redox enzymes, including oxidases and peroxidases. Their tunable Ce3+/Ce4+ redox cycling, high density of oxygen vacancies, and exceptional resistance to thermal, pH, and storage stress distinguish CeO2 from conventional enzyme labels, such as horseradish peroxidase (HRP). In immunoassays, CeO2 enables H2O2-free TMB (3,3′,5,5′-tetramethylbenzidine) oxidation, generating strong chromogenic signals with minimal background. Although CeO2 nanozymes have been explored in colorimetric, chemiluminescent, and photoactive immunoassays, their integration into lateral flow immunoassays (LFIAs) remains limited, with only a few hybrid CeO2-containing systems reported to date. This mini-review highlights the limitations of conventional peroxidase-based formats and explains how CeO2’s redox cycling (Ce3+/Ce4+) and oxygen-vacancy-driven catalysis deliver stable, reagent-free signal amplification. Emphasis is placed on the synthetic control of CeO2, conjugation chemistry with antibodies, and integration into LFIA architectures. CeO2 enables hydrogen-peroxide-free colorimetric detection with improved robustness and sensitivity, positioning it as a promising catalytic label for point-of-care testing. However, it may aggregate in high-ionic-strength buffers, and its synthesis cost increases for highly uniform, vacancy-engineered materials. Surface functionalization with polymers or dopants and optimized dispersion strategies can mitigate these issues, guiding future practical implementations. Full article
(This article belongs to the Special Issue Biosensing Advances in Lateral Flow Assays (LFA))
Show Figures

Graphical abstract

15 pages, 3058 KB  
Article
Influence of N2/Ar Flow Ratio on the Microstructure and Electrochemical Capacitive Performance of TiN Thin-Film Electrodes for Micro-Supercapacitors
by Jiaxin Tan, Lin Yi, Min Zhang and Suyuan Bai
Coatings 2026, 16(1), 69; https://doi.org/10.3390/coatings16010069 - 7 Jan 2026
Cited by 1 | Viewed by 451
Abstract
With the rapid development of the Internet of Things (IoT), micro-energy storage devices face increasing demands for miniaturization, high energy density, and high power density. Owing to their excellent electrical conductivity and mechanical strength, TiN thin films are promising candidates for micro-supercapacitor electrodes. [...] Read more.
With the rapid development of the Internet of Things (IoT), micro-energy storage devices face increasing demands for miniaturization, high energy density, and high power density. Owing to their excellent electrical conductivity and mechanical strength, TiN thin films are promising candidates for micro-supercapacitor electrodes. In this work, TiN thin films were prepared by direct current magnetron sputtering under different N2/Ar flow ratios. The effects of the N2/Ar flow ratio on the crystal structure, surface morphology, roughness, and electrochemical capacitive performance of TiN thin films were systematically investigated. The results show that at lower N2/Ar flow ratios, the films consist of a mixture of TiN and Ti2O3 phases, while at higher N2/Ar ratios, single-phase TiN with a preferred orientation along the (220) plane is detected in the obtained films. AFM measurements indicate that the root mean square roughness first increases and then decreases with increases in N2/Ar flow ratios, and it reaches a maximum of around 15.9 nm when the N2/Ar flow ratio is 5:15. XPS results show that the 5:15 sample contains the highest oxygen vacancy concentration, offering it the best conductivity, which is confirmed by four-probe measurements. Electrochemical tests demonstrate that the N2/Ar flow ratio has a significant influence on the specific capacitance of TiN films, with the highest value of 3.29 mF/cm2 achieved at a N2/Ar flow ratio of 5:15, which is likely due to the rough and porous surface and much better conductivity of the as-deposited films. This study provides an important experimental basis for optimizing the performance of TiN thin-film electrodes. Full article
Show Figures

Figure 1

21 pages, 3813 KB  
Article
Three-Electrode Dynamic Electrochemical Impedance Spectroscopy as an Innovative Diagnostic Tool for Advancing Redox Flow Battery Technology
by Eliza Hałas, Wojciech Bącalski, Łukasz Gaweł, Paweł Ślepski and Joanna Krakowiak
Energies 2026, 19(1), 256; https://doi.org/10.3390/en19010256 - 3 Jan 2026
Viewed by 897
Abstract
Vanadium redox flow batteries (VRFBs) experience performance losses driven by electrode ageing, yet the underlying mechanisms remain poorly resolved under operational conditions. This work presents a novel application of dynamic electrochemical impedance spectroscopy (DEIS) in both full-cell and three-electrode configurations to monitor kinetic [...] Read more.
Vanadium redox flow batteries (VRFBs) experience performance losses driven by electrode ageing, yet the underlying mechanisms remain poorly resolved under operational conditions. This work presents a novel application of dynamic electrochemical impedance spectroscopy (DEIS) in both full-cell and three-electrode configurations to monitor kinetic and transport processes throughout complete charge–discharge cycles. Carbon felt electrodes subjected to thermal activation, chemical degradation, and electrochemical ageing were systematically examined to capture a broad range of ageing-induced modifications. Complementary electrochemical impedance spectroscopy (EIS) measurements at selected states of charge were performed to highlight the substantial differences between spectra recorded under load and at open-circuit conditions. The results reveal that the impedance response of the full cell is dominated by processes occurring at the negative electrode, and that ageing leads to increased charge-transfer resistance and enhanced state of charge-dependent variation. X-ray photoelectron spectroscopy (XPS) analysis confirms significant modifications in surface chemistry, including variations in the sp2/sp3 carbon distribution and the enrichment of oxygen-containing functional groups, which correlate with the observed electrochemical behavior. Overall, this study demonstrates—for the first time under realistic VRFB cycling conditions—that DEIS provides unique diagnostic capabilities, enabling mechanistic insights into electrode ageing that are inaccessible to conventional impedance approaches. Full article
(This article belongs to the Special Issue Innovations and Challenges in New Battery Generations)
Show Figures

Figure 1

15 pages, 3193 KB  
Article
Mechanical and Self-Healing Performance of Cement Composites Containing Bacteria Extracted from Waste Concrete
by Se-Jin Choi, Jeong-Yeon Park, Jung-Mi Kim, Ha-Yeon Song and Jae-In Lee
Materials 2025, 18(24), 5483; https://doi.org/10.3390/ma18245483 - 5 Dec 2025
Viewed by 745
Abstract
Cracks can reduce the durability of concrete structures. To mitigate the damage caused, self-healing technologies using bacteria and cement-based materials can be utilized. For self-healing, bacteria contained within the matrix are advantageous because they can heal cracks upon introducing oxygen and water under [...] Read more.
Cracks can reduce the durability of concrete structures. To mitigate the damage caused, self-healing technologies using bacteria and cement-based materials can be utilized. For self-healing, bacteria contained within the matrix are advantageous because they can heal cracks upon introducing oxygen and water under favorable conditions. To our knowledge, this is the first study showing that Lysinibacillus fusiformis isolated from waste concrete induces calcite precipitation in a cement-based material. Replacing 5–20% of the mixing water with the bacterial solution increased mortar flow, and the initial compressive strength increased with the bacterial content. After long-term aging, the compressive strength of the sample with 20% bacterial solution was ~45.6 MPa, the highest among all samples. In terms of durability, the bacterial solution reduced the carbonation depth compared with that of a control sample without added bacteria, and the 20% sample showed 53% higher carbonation resistance than the control. In terms of the self-healing performance, the bacteria-loaded samples showed higher compressive strength recovery rates than the control sample, with the 20% sample showing the highest rate of approximately 131%. Therefore, L. fusiformis derived from waste concrete is a promising candidate bacterium for enhancing the durability and self-healing efficiency of cement composites. Full article
(This article belongs to the Section Construction and Building Materials)
Show Figures

Graphical abstract

12 pages, 1029 KB  
Article
The Effect and Mechanism of AQDS Promoting Anaerobic Cr(VI) Bio-Reduction Under a Sulfate-Rich Environment
by Zhujun Wang, Liuzhu Zhao, Chunlin Huang, Duyang Yao, Yayi Wang and Min Wu
Water 2025, 17(22), 3287; https://doi.org/10.3390/w17223287 - 18 Nov 2025
Viewed by 815
Abstract
Hexavalent chromium (Cr(VI)) is a highly toxic and carcinogenic pollutant commonly found in industrial wastewater. To address the challenge of sulfate inhibition on biological methods for treating chromium-containing wastewater, this study investigated the enhancement effect and mechanism of anthraquinone-2,6-disulfonate (AQDS) on the anaerobic [...] Read more.
Hexavalent chromium (Cr(VI)) is a highly toxic and carcinogenic pollutant commonly found in industrial wastewater. To address the challenge of sulfate inhibition on biological methods for treating chromium-containing wastewater, this study investigated the enhancement effect and mechanism of anthraquinone-2,6-disulfonate (AQDS) on the anaerobic bio-reduction of Cr(VI). At an AQDS dosage of 30 mg/L, Cr(VI) reduction efficiency increased by 7.8-fold compared to the group with only sulfate. AQDS demonstrated remarkable performance of Cr(VI) bio-reduction by reducing intracellular Cr(VI) penetration, lowering reactive oxygen species (ROS) levels, and maintaining optimal NADH/NAD+ ratios. Importantly, AQDS restores Cr(VI) reduction efficiency by directing electron flow toward Cr(VI) reduction through enhanced extracellular electron transfer, thereby mitigating the competitive inhibitory effect of sulfate. It concluded that AQDS effectively enhances Cr(VI) bio-reduction, offering a promising strategy for the environmental remediation of Cr(VI)-contaminated wastewater under sulfate-rich conditions. Full article
(This article belongs to the Section Wastewater Treatment and Reuse)
Show Figures

Figure 1

16 pages, 4087 KB  
Article
Degradation of Bisphenols by Air Micro-Nano Bubbles Activated Persulfate
by Xiaoxiao Niu, Can Lu, Xinjuan Li, Liang Tang, Abdulaziz Al-Anazi and Xiaodi Duan
Catalysts 2025, 15(11), 1048; https://doi.org/10.3390/catal15111048 - 3 Nov 2025
Viewed by 1079
Abstract
Micro-nano bubbles (MNBs) have been widely used in water treatment due to their large specific surface area, long retention time, and high zeta potential. This study investigated the degradation of bisphenols by activating persulfate (PDS, an oxidizing agent) with air MNBs (MNBs/PDS). The [...] Read more.
Micro-nano bubbles (MNBs) have been widely used in water treatment due to their large specific surface area, long retention time, and high zeta potential. This study investigated the degradation of bisphenols by activating persulfate (PDS, an oxidizing agent) with air MNBs (MNBs/PDS). The removal rate of bisphenol A (BPA) in the MNBs/PDS process was 98.3% within 25 min, while there was almost no degradation observed by PDS or MNBs alone. This enhancement was attributed to the huge amount of energy released during the collapse of MNBs, sufficient to break the O–H bonds of water molecules or the O–O bond of PDS to induce the formation of reactive oxygen species (ROS, such as HO and SO4•−). To qualitatively analyze ROS generated in this system, electron paramagnetic resonance and quenching experiments were conducted, and the HO and SO4•− were detected in MNBs/PDS. Furthermore, the degradation percentages of bisphenols after 25 min of MNBs/PDS treatment followed the order of bisphenol B (100%) > BPA (98.3%) > bisphenol E (87.9%) > bisphenol F (86.5%) > bisphenol AF (84.9%) > bisphenol S (51%). Higher PDS dosage, higher gas flow rate, and lower pH values were preferred for the degradation. Moreover, the MNBs/PDS treatment reduced the TOC of secondary effluent containing BPA by 45.8% in one hour, indicating the application potential of MNBs/PDS in the advanced treatment of wastewater. Full article
Show Figures

Figure 1

13 pages, 1369 KB  
Article
The Effect of Organic Compounds on Iron Concentration in the Process of Removing Iron from Sulfur-Containing Sodium Aluminate Solution via Oxidation
by Jingyi Hao, Daxue Fu, Na Xu and Qing Han
Metals 2025, 15(11), 1206; https://doi.org/10.3390/met15111206 - 29 Oct 2025
Viewed by 630
Abstract
In this study, we investigate the effects of adding varying proportions of fulvic acid during the digestion of pyrite on the iron concentration in both dissolved and diluted sodium aluminate solutions. Based on the occurrence characteristics of iron in the solutions, oxygen was [...] Read more.
In this study, we investigate the effects of adding varying proportions of fulvic acid during the digestion of pyrite on the iron concentration in both dissolved and diluted sodium aluminate solutions. Based on the occurrence characteristics of iron in the solutions, oxygen was introduced into the diluted solution to examine its iron removal efficiency, and the influence of organic compounds in the solution on iron removal through oxidation was investigated. The results indicate that, during high-pressure digestion, organic compounds forms complexes with iron, disrupting the hydrophilic iron (or ferrous) hydroxide film formed on the pyrite surface, thereby accelerating its dissolution and leading to a sharp increase in sulfur and iron content in the leachate. After cooling and dilution (100 °C, Na2Ok 170 g/L), the iron content in the sodium aluminate solution continued to be influenced by organic compounds, showing a significant positive correlation. Oxygenation experiments for iron removal were performed using the diluted solution. Under conditions of an oxygen flow rate of 60 mL/min and an oxidation duration of 2 h (95 °C, oxygen partial pressure was 0.05 Mpa), the iron content (calculated as Fe2O3) decreased from 0.078 g/L to 0.021 g/L. Characterization and analysis of the iron removal precipitates revealed that the iron-containing minerals were primarily trivalent iron phases, such as goethite and hematite, with minimal ferrous iron content. Additionally, organic carbon also precipitated together with iron, which confirms the synergistic removal of iron and organic compounds. These findings demonstrate that the oxidation of reducing sodium aluminate solutions containing organic compounds, sulfur, and iron with atmospheric oxygen during the Bayer process sedimentation stage can effectively oxidize predominantly ferrous iron into less soluble ferric iron, thereby achieving iron removal. Full article
Show Figures

Figure 1

20 pages, 6070 KB  
Article
Enhanced Ablation Resistance of Silicone Composites in Oxygen-Rich High-Temperature Environment for Solid Fuel Ramjet Applications
by Yiwen Guan, Wei Zhao, Yan Ba, Zilong Wang and Xiaojing Yu
Aerospace 2025, 12(11), 961; https://doi.org/10.3390/aerospace12110961 - 28 Oct 2025
Cited by 1 | Viewed by 805
Abstract
The ablation resistance of silicone-based thermal protection materials in high-temperature, oxygen-rich environments remains insufficiently understood, yet it is critical for the design of thermal management systems in Solid Fuel Ramjets (SFRJs). To address this challenge, we first performed a three-dimensional two-phase flow simulation [...] Read more.
The ablation resistance of silicone-based thermal protection materials in high-temperature, oxygen-rich environments remains insufficiently understood, yet it is critical for the design of thermal management systems in Solid Fuel Ramjets (SFRJs). To address this challenge, we first performed a three-dimensional two-phase flow simulation of an SFRJ combustion chamber under typical flight conditions, obtaining key parameters including temperature, pressure, and oxygen concentration. Based on these thermal boundaries, we developed an advanced ablation simulation device capable of replicating the coupled high-enthalpy oxidative and erosive environment within the chamber. Using this platform, we systematically evaluated silicone rubber composites reinforced with functional fillers and fibers. Results demonstrate that incorporating ZrB2 significantly enhances thermal stability and promotes the formation of an antioxidative ceramic layer. Furthermore, hybrid composites containing both organic and inorganic fibers exhibit superior erosion resistance due to the formation of a dense and stable char layer with a reinforced skeletal structure. This work not only provides an efficient experimental methodology for screening thermal insulation materials but also offers fundamental insights for the design of advanced ablation-resistant composites tailored to SFRJ applications. Full article
(This article belongs to the Section Astronautics & Space Science)
Show Figures

Figure 1

Back to TopTop