Influence of N2/Ar Flow Ratio on the Microstructure and Electrochemical Capacitive Performance of TiN Thin-Film Electrodes for Micro-Supercapacitors
Abstract
1. Introduction
2. Experiment
3. Results and Discussion
3.1. Crystal Structure and Composition
3.2. Surface Topography and Resistivity
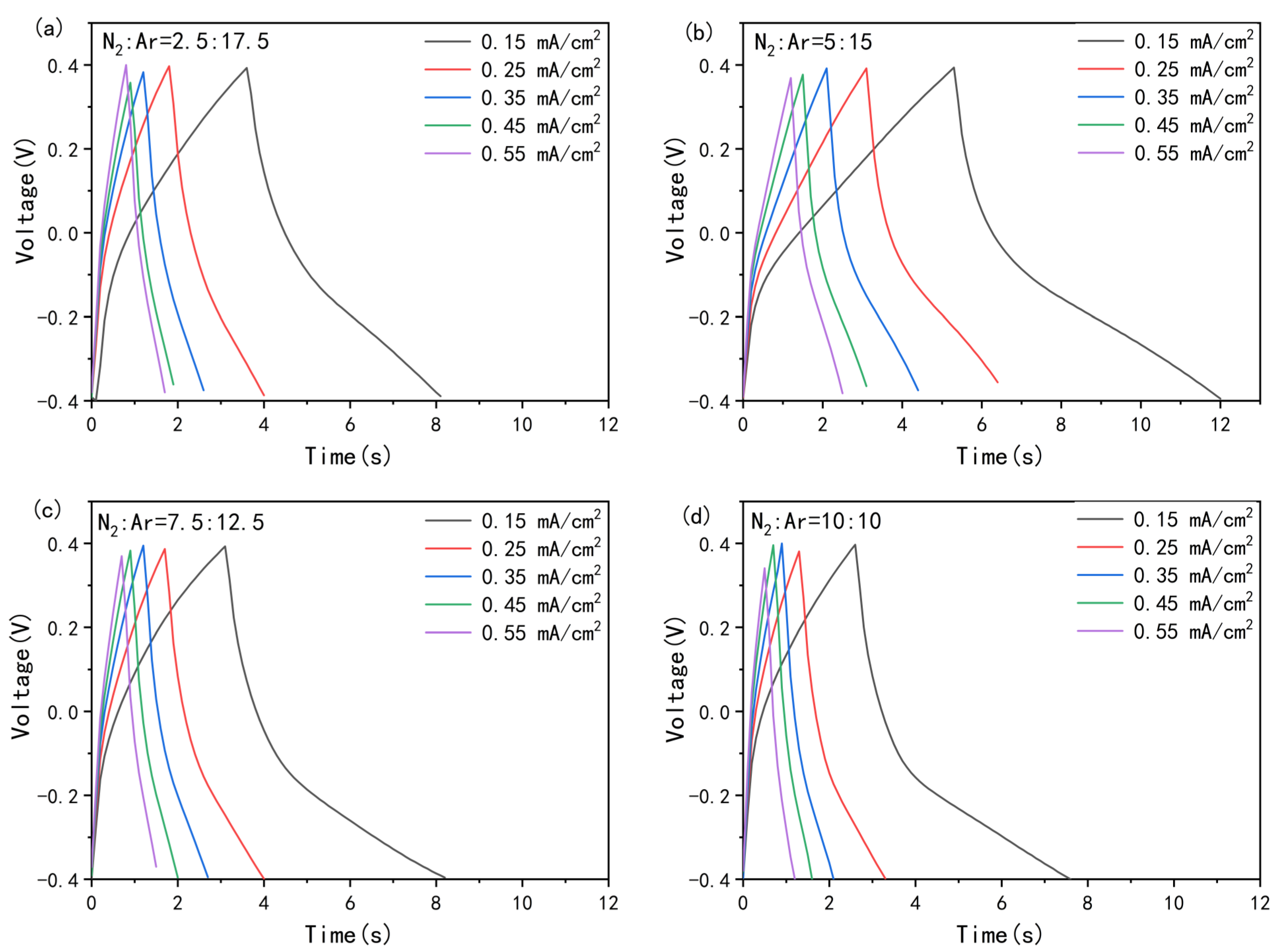
3.3. CV and GCD Curves
3.4. Specific Capacitance
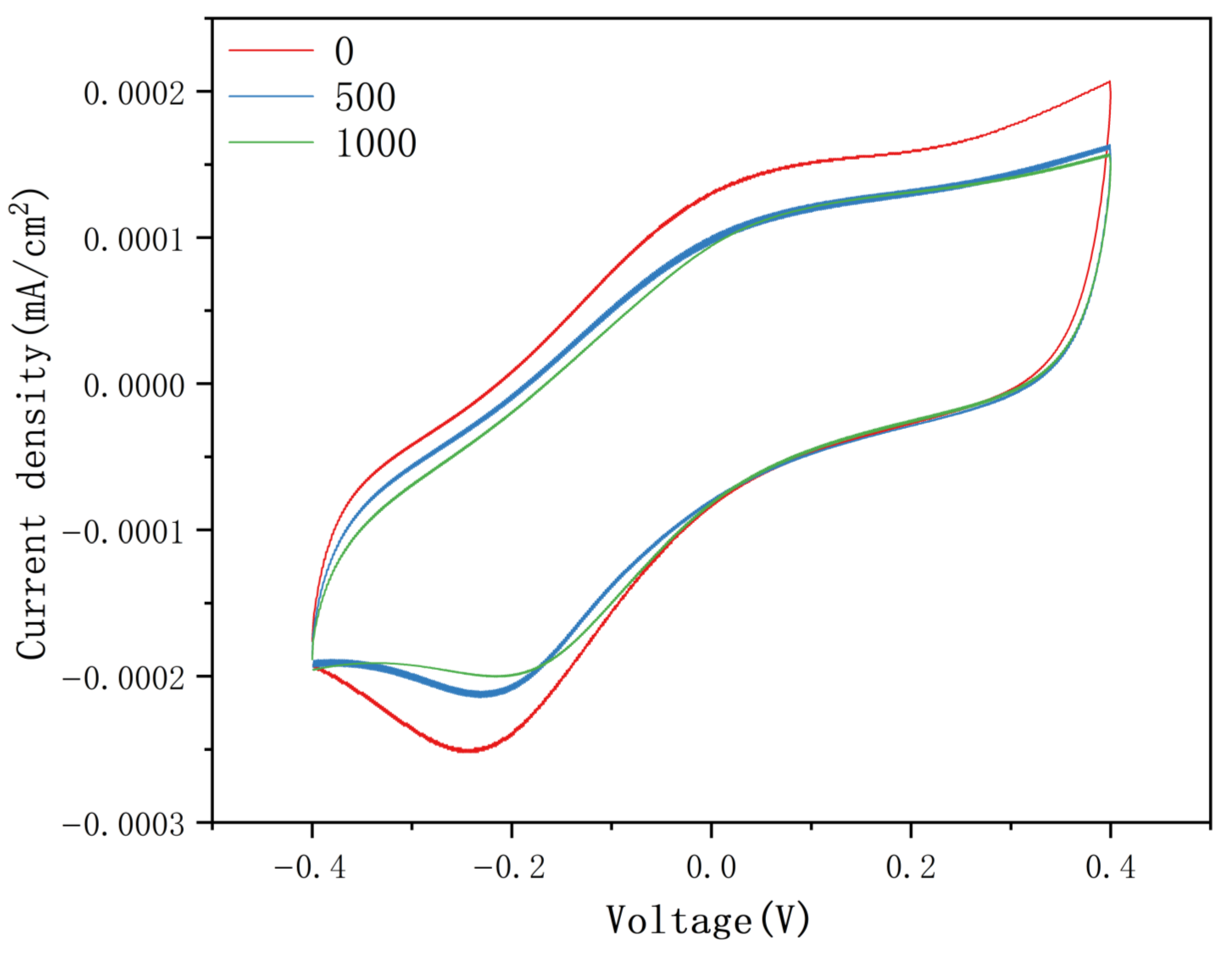
3.5. Stability Testing of the Optimal Sample
4. Conclusions
Supplementary Materials
Author Contributions
Funding
Institutional Review Board Statement
Informed Consent Statement
Data Availability Statement
Conflicts of Interest
References
- Sun, N.; Zhou, D.; Liu, W.; Li, A.; Su, Y.; Jiang, P.; Zou, Y.; Shi, S.; Liu, F. Sputtered titanium nitride films with finely tailored surface activity and porosity for high performance on-chip micro-supercapacitors. J. Power Sources 2021, 489, 229406. [Google Scholar] [CrossRef]
- Miller, J.; Simon, P. Electrochemical Capacitors for Energy Management. Science 2008, 321, 651–652. [Google Scholar] [CrossRef]
- Wang, Z. Self-Powered Nanosensors and Nanosystems. Adv. Mater. 2012, 24, 280–285. [Google Scholar] [CrossRef]
- Koomey, J.; Matthews, H.S.; Williams, E. Smart Everything: Will Intelligent Systems Reduce Resource Use? Annu. Rev. Environ. Resour. 2013, 38, 311–343. [Google Scholar] [CrossRef]
- Oyama, S. Preparation and catalytic properties of transition metal carbides and nitrides. Catal. Today 1992, 15, 179–200. [Google Scholar] [CrossRef]
- Cao, D.; Xing, Y.; Tantratian, K.; Wang, X.; Ma, Y.; Mukhopadhyay, A.; Cheng, Z.; Zhang, Q.; Jiao, Y.; Chen, L.; et al. 3D Printed High-Performance Lithium Metal Microbatteries Enabled by Nanocellulose. Adv. Mater. 2019, 31, 1807313. [Google Scholar] [CrossRef] [PubMed]
- Simon, P.; Gogotsi, Y. Materials for electrochemical capacitors. Nat. Mater. 2008, 7, 845–854. [Google Scholar] [CrossRef]
- Chmiola, J.; Largeot, C.; Taberna, P.-L.; Simon, P.; Gogotsi, Y. Monolithic Carbide-Derived Carbon Films for Micro-Supercapacitors. Science 2010, 328, 480–483. [Google Scholar] [CrossRef]
- Lu, X.; Wang, G.; Zhai, T.; Yu, M.; Xie, S.; Ling, Y.; Liang, C.; Tong, Y.; Li, Y. Stabilized TiN Nanowire Arrays for High-Performance and Flexible Supercapacitors. Nano Lett. 2012, 12, 5376–5381. [Google Scholar] [CrossRef]
- Zhang, Q.; Wang, X.; Pan, Z.; Sun, J.; Zhao, J.; Zhang, J.; Zhang, C.; Tang, L.; Luo, J.; Song, B.; et al. Wrapping Aligned Carbon Nanotube Composite Sheets around Vanadium Nitride Nanowire Arrays for Asymmetric Coaxial Fiber-Shaped Supercapacitors with Ultrahigh Energy Density. Nano Lett. 2017, 17, 2719–2726. [Google Scholar] [CrossRef]
- Shi, J.; Jiang, B.; Li, C.; Yan, F.; Wang, D.; Yang, C.; Wan, J. Review of Transition Metal Nitrides and Transition Metal Nitrides/Carbon nanocomposites for supercapacitor electrodes. Mater. Chem. Phys. 2020, 245, 122533. [Google Scholar] [CrossRef]
- Choi, D.; Kumta, P. Nanocrystalline TiN Derived by Two-Step Halide Approach for Electrochemical Capacitors. J. Electrochem. Soc. 2006, 153, A2298–A2303. [Google Scholar] [CrossRef]
- Dong, S.; Chen, X.; Gu, L.; Zhou, X.; Xu, H.; Wang, H.; Liu, Z.; Han, P.; Yao, J.; Wang, L.; et al. Facile Preparation of Mesoporous Titanium Nitride Microspheres for Electrochemical Energy Storage. ACS Appl. Mater. Interfaces 2011, 3, 93–98. [Google Scholar] [CrossRef]
- Yang, P.; Chao, D.; Zhu, C.; Xia, X.; Zhang, Y.; Wang, X.; Sun, P.; Tay, B.K.; Shen, Z.; Mai, W.; et al. Ultrafast-Charging Supercapacitors Based on Corn-Like Titanium Nitride Nanostructures. Adv. Sci. 2016, 3, 201500299. [Google Scholar] [CrossRef]
- Hou, X.; Li, Q.; Zhang, L.; Yang, T.; Chen, J.; Su, L. Tunable preparation of chrysanthemum-like titanium nitride as flexible electrode materials for ultrafast-charging/discharging and excellent stable supercapacitors. J. Power Sources 2018, 396, 319–326. [Google Scholar] [CrossRef]
- Xie, Y.; Wang, Y.; Du, H. Electrochemical capacitance performance of titanium nitride nanoarray. Mater. Sci. Eng. B 2013, 178, 1443–1451. [Google Scholar] [CrossRef]
- Achour, A.; Ducros, J.B.; Porto, R.L.; Boujtita, M.; Gautron, E.; Le Brizoual, L.; Djouadi, M.A.; Brousse, T. Hierarchical nanocomposite electrodes based on titanium nitride and carbon nanotubes for micro-supercapacitors. Nano Energy 2014, 7, 104–113. [Google Scholar] [CrossRef]
- Wang, C.; Zhou, P.; Wang, Z.; Liu, Y.; Wang, P.; Qin, X.; Zhang, X.; Dai, Y.; Whangbo, M.-H.; Huang, B. TiN nanosheet arrays on Ti foils for high-performance supercapacitance. RSC Adv. 2018, 8, 12841–12847. [Google Scholar] [CrossRef] [PubMed]
- Qin, P.; Li, X.; Gao, B.; Fu, J.; Xia, L.; Zhang, X.; Huo, K.; Shen, W.; Chu, P.K. Hierarchical TiN nanoparticles-assembled nanopillars for flexible supercapacitors with high volumetric capacitance. Nanoscale 2018, 10, 8728–8734. [Google Scholar] [CrossRef] [PubMed]
- Wei, B.; Liang, H.; Qi, Z.; Zhang, D.; Shen, H.; Hu, W.; Wang, Z. Construction of 3D Si@Ti@TiN thin film arrays for aqueous symmetric supercapacitors. Chem. Commun. 2019, 55, 1402–1405. [Google Scholar] [CrossRef]
- Rhee, S.Y.; Nguyen, D.T.; Han, S.Y.; Klementiev, K.; Youn, W.; Yun, G.; Kwon, Y.; Han, S.W.; Kim, J.H.; Kim, T.; et al. Boric acid-mediated sol–gel construction of transparent, photoactive TiO2 films. Chem. Commun. 2025, 61, 17938–17941. [Google Scholar] [CrossRef]
- Zhang, M.; Lin, G.; Dong, C.; Wen, L. Amorphous TiO2 films with high refractive index deposited by pulsed bias arc ion plating. Surf. Coat. Technol. 2007, 201, 7252–7258. [Google Scholar] [CrossRef]
- Badovinac, I.J.; Piltaver, I.K.; Črep, L.; Babić, D.J.; Janković, I.Š.; Veličan, K.; Salamon, K.; Kocijan, M.; Podlogar, M.; Gračanin, N.; et al. Synergistic enhancement of solar photocatalysis in ALD-grown TiO2-Cu composite films. Surf. Interfaces 2025, 73, 107570. [Google Scholar] [CrossRef]
- Li, L.; Kishi, A.; Liu, Q.; Itai, Y.; Fujihara, R.; Ohno, Y.; Ao, J.P. GaN Schottky Barrier Diode With TiN Electrode for Microwave Rectification. IEEE J. Electron. Devices Soc. 2014, 2, 168–173. [Google Scholar] [CrossRef]
- Liu, X.; Zhou, D.; Guan, Y.; Li, S.; Cao, F.; Dong, X. Endurance properties of silicon-doped hafnium oxide ferroelectric and antiferroelectric-like thin films: A comparative study and prediction. Acta Mater. 2018, 154, 190–198. [Google Scholar] [CrossRef]
- Sun, N.; Zhou, D.; Shi, S.; Liu, W.; Zhao, X.; Liu, F.; Tian, Z.; Li, S.; Wang, J.; Ali, F. DC substrate bias enables preparation of superior-performance TiN electrode films over a wide process window. Mater. Res. Bull. 2019, 119, 110575. [Google Scholar] [CrossRef]
- Zhang, M.; Ma, X.; Zhang, S.; Hou, L.; Kim, K.H. One-step fabrication of wear resistant and friction-reducing Al2O3/MoS2 nanocomposite coatings on 2A50 aluminum alloy by plasma electrolytic oxidation with MoS2 nanoparticle additive. Surf. Coat. Technol. 2025, 497, 131796. [Google Scholar] [CrossRef]
- Chan, M.-H.; Lu, F.-H. Characterization of N-doped TiO2 films prepared by reactive sputtering using air/Ar mixtures. Thin Solid Film. 2009, 518, 1369–1372. [Google Scholar] [CrossRef]
- Hu, W.; Zhang, M.; Ma, X.; Wang, Y.; Kim, K.H. First-principle calculations of the electronic structure and optical properties of β-Ga2O3 with various vacancy defects. Vacuum 2024, 229, 113585. [Google Scholar] [CrossRef]
- Zhang, M.; Tan, J.; Yi, L.; Zhang, X.; Bai, S. A comprehensive study on the electronic and photoelectric properties of Sn-doped β-Ga2O3 by combining first-principles calculation and experiments. Mater. Today Chem. 2025, 50, 103189. [Google Scholar] [CrossRef]
- Yoshimatsu, K.; Kurokawa, H.; Horiba, K.; Kumigashira, H.; Ohtomo, A. Large anisotropy in conductivity of Ti2O3 films. APL Mater. 2018, 6, 101101. [Google Scholar] [CrossRef]
- Qi, Z.B.; Wei, B.B.; Wang, J.H.; Yang, Y.; Wang, Z.C. Nanostructured porous CrN thin films by oblique angle magnetron sputtering for symmetric supercapacitors. J. Alloys Compd. 2019, 806, 953–959. [Google Scholar] [CrossRef]
- Sun, N.; Xu, J.; Su, Y.; Jiang, P.; Zou, Y.; Liu, W.; Wang, M.; Zhou, D. Energy storage performance of in-situ grown titanium nitride current collector/titanium oxynitride laminated thin film electrodes. Chem. Eng. J. 2023, 474, 145603. [Google Scholar] [CrossRef]
- Achour, A.; Porto, R.L.; Soussou, M.A.; Boujtita, M.; Aissa, K.A.; Le Brizoual, L.; Djouadi, A.; Brousse, T. Titanium nitride films for micro-supercapacitors: Effect of surface chemistry and film morphology on the capacitance. J. Power Sources 2015, 300, 525–532. [Google Scholar] [CrossRef]
- Lu, P.; Ohlckers, P.; Muller, L.; Leopold, S.; Hofmann, M.; Grigoras, K.; Ahopelto, J.; Prunnila, M.; Chen, X.Y. Nano fabricated silicon nanorod array with titanium nitride coating for on-chip supercapacitors. Electrochem. Commun. 2016, 70, 51–55. [Google Scholar] [CrossRef]
- Achour, A.; Lucio-Porto, R.; Chaker, M.; Arman, A.; Ahmadpourian, A.; Soussou, M.A.; Boujtita, M.; Le Brizoual, L.; Djouadi, M.A.; Brousse, T. Titanium vanadium nitride electrode for micro-supercapacitors. Electrochem. Commun. 2017, 77, 40–43. [Google Scholar] [CrossRef]
- Tong, H.; Nan, Z.; Zhang, H.; Yang, B.; Liu, Y.; Guo, P.; Wei, Y.; Zi, Z.; Zhu, X. Synthesis and performance of TiN film electrode for supercapacitor by a facile chemical solution deposition method. J. Mater. Sci. Mater. Electron. 2024, 35, 182. [Google Scholar] [CrossRef]
- Bharti, B.; Kumar, S.; Lee, H.-N.; Kumar, R. Formation of oxygen vacancies and Ti3+ state in TiO2 thin film and enhanced optical properties by air plasma treatment. Sci. Rep. 2016, 6, 32355. [Google Scholar] [CrossRef]
- Singh, V.; Pulikkotil, J.J. Electronic phase transition and transport properties of Ti2O3. J. Alloys Compd. 2016, 658, 430–434. [Google Scholar] [CrossRef]
- Hu, W.; Zhang, M.; Ma, X.; Lv, M.; Zhou, X. Investigation of electronic structure, photoelectric and thermodynamic properties of Mg-doped β-Ga2O3 using first-principles calculation. Vacuum 2025, 235, 114145. [Google Scholar] [CrossRef]
- Jhajhria, D.; Tiwari, P.; Chandra, R. Planar Microsupercapacitors Based on Oblique Angle Deposited Highly Porous TiN Thin Films. Acs Appl. Mater. Inter. 2022, 14, 26162–26170. [Google Scholar] [CrossRef] [PubMed]










| Materials | Synthetic Method | Potential Window (V) | Electrode | Thickness (nm) | Specific Capacitance | Refs |
|---|---|---|---|---|---|---|
| TiN thin film | Reactive magnetron sputtering | −0.2 to 0.5 | 0.5 M K2SO4 | 2240 | ~8.8 mF cm−2 at 100 mV/s | [34] |
| TiN thin film | Atomic layer deposition | 0 to 0.8 | 1 M Na2SO4 | 140 | 1.55 mF cm−2 at 2 mV/s | [35] |
| TiN thin film | DC reactive magnetron sputtering | −0.2 to 0.5 | 0.5 M K2SO4 | 760 | 4.3 mF cm−2 at 100 mV/s | [36] |
| TiN thin film | Chemical solution deposition | −0.2 to 0.5 | 0.5 M H2SO4 | 614 | 10.5 mF cm−2 at 100 mV/s | [37] |
| TiN thin film | DC reactive magnetron sputtering | −0.4 to 0.4 | 1 M KCl | 1000 | 3.29 mF cm−2 at 5 mV/s | This work |
Disclaimer/Publisher’s Note: The statements, opinions and data contained in all publications are solely those of the individual author(s) and contributor(s) and not of MDPI and/or the editor(s). MDPI and/or the editor(s) disclaim responsibility for any injury to people or property resulting from any ideas, methods, instructions or products referred to in the content. |
© 2026 by the authors. Licensee MDPI, Basel, Switzerland. This article is an open access article distributed under the terms and conditions of the Creative Commons Attribution (CC BY) license.
Share and Cite
Tan, J.; Yi, L.; Zhang, M.; Bai, S. Influence of N2/Ar Flow Ratio on the Microstructure and Electrochemical Capacitive Performance of TiN Thin-Film Electrodes for Micro-Supercapacitors. Coatings 2026, 16, 69. https://doi.org/10.3390/coatings16010069
Tan J, Yi L, Zhang M, Bai S. Influence of N2/Ar Flow Ratio on the Microstructure and Electrochemical Capacitive Performance of TiN Thin-Film Electrodes for Micro-Supercapacitors. Coatings. 2026; 16(1):69. https://doi.org/10.3390/coatings16010069
Chicago/Turabian StyleTan, Jiaxin, Lin Yi, Min Zhang, and Suyuan Bai. 2026. "Influence of N2/Ar Flow Ratio on the Microstructure and Electrochemical Capacitive Performance of TiN Thin-Film Electrodes for Micro-Supercapacitors" Coatings 16, no. 1: 69. https://doi.org/10.3390/coatings16010069
APA StyleTan, J., Yi, L., Zhang, M., & Bai, S. (2026). Influence of N2/Ar Flow Ratio on the Microstructure and Electrochemical Capacitive Performance of TiN Thin-Film Electrodes for Micro-Supercapacitors. Coatings, 16(1), 69. https://doi.org/10.3390/coatings16010069

