Due to scheduled maintenance work on our servers, there may be short service disruptions on this website between 11:00 and 12:00 CEST on March 28th.
Sign in to use this feature.

Years

Between: -

Subjects

remove_circle_outline
remove_circle_outline
remove_circle_outline
remove_circle_outline
remove_circle_outline
remove_circle_outline
remove_circle_outline
remove_circle_outline
remove_circle_outline

Journals

remove_circle_outline
remove_circle_outline
remove_circle_outline
remove_circle_outline
remove_circle_outline
remove_circle_outline
remove_circle_outline
remove_circle_outline
remove_circle_outline
remove_circle_outline

Article Types

Countries / Regions

remove_circle_outline
remove_circle_outline
remove_circle_outline
remove_circle_outline

Search Results (967)

Search Parameters:
Keywords = outlet flow rate

Order results
Result details
Results per page
Select all
Export citation of selected articles as:
20 pages, 5855 KB  
Article
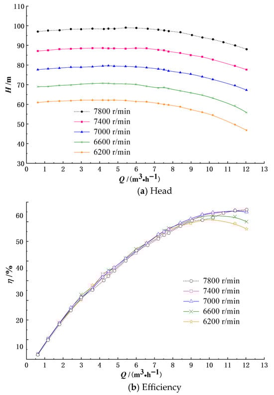
Internal Flow, Vibration, and Noise Characteristics of a Magnetic Pump at Different Rotational Speeds
by Fei Zhao, Bin Xia and Fanyu Kong
Water 2026, 18(7), 784; https://doi.org/10.3390/w18070784 (registering DOI) - 26 Mar 2026
Abstract
A high-speed magnetic pump rated at 7800 r/min was studied. A numerical model was established, and a hydraulic, vibration, and noise testing system was set up to conduct flow simulations, noise, and vibration experiments at different speeds. The results show that increasing speed [...] Read more.
A high-speed magnetic pump rated at 7800 r/min was studied. A numerical model was established, and a hydraulic, vibration, and noise testing system was set up to conduct flow simulations, noise, and vibration experiments at different speeds. The results show that increasing speed leads to a higher pressure difference between the pump chamber and the cooling circuit. Meanwhile, the turbulent kinetic energy at the impeller outlet increases. Despite an increase in energy loss, the loss ratio decreases, and overall efficiency improves. The internal flow noise collected by the outlet hydrophone mainly comes from Rotor–Stator Interference (RSI), and it can sensitively capture changes in rotational speed. The dominant frequency of the outlet noise agrees well with the blade frequency calculated from the set speed, with a maximum deviation of 0.26%. As the speed increases, the overall sound pressure level (OASPL) at the inlet and outlet and the Root Mean Square (RMS) acceleration values at the outlet and pump body generally increase, while the acceleration at the motor base shows a decreasing trend. The conclusions are helpful for the design and optimization of rotary machinery such as high-speed magnetic pumps. Full article
(This article belongs to the Section Hydraulics and Hydrodynamics)
Show Figures

Figure 1

25 pages, 17827 KB  
Article
Synergistic PCM–Liquid Thermal Management for Large-Format Cylindrical Batteries Under High-Rate Discharge
by Chunyun Shen, Chengxuan Su, Zheming Zhang, Fang Wang, Zekun Wang and Shiming Wang
Appl. Sci. 2026, 16(7), 3200; https://doi.org/10.3390/app16073200 - 26 Mar 2026
Abstract
The push for higher energy density in electric vehicles has resulted in large-sized lithium-ion batteries, but their geometric upscaling exacts a heavy thermal price. Under high-rate discharge, these massive cells become heat traps, risking thermal runaway. To tame this instability, this paper engineered [...] Read more.
The push for higher energy density in electric vehicles has resulted in large-sized lithium-ion batteries, but their geometric upscaling exacts a heavy thermal price. Under high-rate discharge, these massive cells become heat traps, risking thermal runaway. To tame this instability, this paper engineered a hybrid management strategy fusing liquid cooling, Phase Change Materials (PCMs), and flow deflectors. With a primary focus on the structural optimization of the cooling channel, a three-dimensional numerical model, calibrated using experimentally determined thermophysical properties, was developed to overcome the thermal bottlenecks of conventional cooling architectures. Results indicated that the initial channel optimization effectively reduced the maximum temperature to 327.7 K, but it still remained near the safety threshold. Integrating PCM radically altered the thermal landscape, slashing the outlet temperature differential by 41.67% (from 2.76 K to 1.61 K) compared to pure liquid cooling and blunting peak thermal spikes. Furthermore, to overcome laminar stagnation, strategic deflector baffles were introduced to agitate the coolant, enhancing heat dissipation. Specifically, the optimal half-coverage (L = 1/2) baffle configuration successfully lowered the maximum temperature to 322.42 K while substantially reducing the system pressure drop from 948.16 Pa to 627.57 Pa, achieving a 33.33% reduction compared to the full-coverage scheme. Finally, a multi-variable sensitivity analysis confirmed the extraordinary engineering robustness of the optimized configuration, demonstrating a negligible maximum temperature fluctuation of less than 0.5% despite ±10% operational and material uncertainties. This synergistic system actively stabilizes the thermal envelope, offering a robust engineering blueprint for next-generation high-power battery packs. Full article
(This article belongs to the Section Applied Thermal Engineering)
Show Figures

Figure 1

15 pages, 3542 KB  
Article
Interaction of Air Curtain Jets and Thermal Plumes: A Combination of Scale-Down Experiments and Numerical Simulations
by Bo Shi, Xiaoyan Wang, Bo Pang, Jian Gu, Yujie Zhang, Yizhou Wu, Congcong Ni and Zheng Jiao
Processes 2026, 14(6), 996; https://doi.org/10.3390/pr14060996 - 20 Mar 2026
Viewed by 133
Abstract
Push–pull exhaust systems are widely applied for controlling industry-processing fumes, and their performance is fundamentally governed by the coupling interaction among the air-curtain jet (“push”), the buoyant thermal plume generated by the heat source, and the converging flow induced by the exhaust hood [...] Read more.
Push–pull exhaust systems are widely applied for controlling industry-processing fumes, and their performance is fundamentally governed by the coupling interaction among the air-curtain jet (“push”), the buoyant thermal plume generated by the heat source, and the converging flow induced by the exhaust hood (“pull”). However, the dynamic characteristics and design criteria of this coupled flow field under large temperature differences remain insufficiently explored. Here, a series of scaled experiments combined with numerical simulations is conducted to systematically investigate the coupling behavior of the air-curtain jet and the thermal plume, and two quantitative performance indicators, namely plume deflection height and flow rate along the plume deflection path, are proposed to evaluate flow control effectiveness and energy dissipation. An orthogonal experimental design is further employed to analyze the sensitivity of heat-source and air-curtain parameters with respect to these indicators. The results demonstrate that the air temperature reaches its maximum at approximately 0.8 m downstream of the air-curtain outlet, and that both the supply velocity and outlet width of the air curtain are dominant parameters exerting statistically significant influences on plume deflection height and flow rate along the path (p < 0.01). Furthermore, the Archimedes number effectively characterizes the competition between jet inertia and plume buoyancy in the coupled flow field, with its appropriate value preliminarily recommended to be controlled below 40. This study provides quantitative insights for the engineering design of push–pull exhaust systems operating under high thermal load conditions. Full article
(This article belongs to the Section Process Control and Monitoring)
Show Figures

Figure 1

25 pages, 5772 KB  
Article
Multipoint Temperature-Based Depth Analysis of a U-Tube Borehole Heat Exchanger
by Viktor Zonai, Laszlo Garbai and Robert Santa
Technologies 2026, 14(3), 187; https://doi.org/10.3390/technologies14030187 - 20 Mar 2026
Viewed by 143
Abstract
In ground-source heat-pump (GSHP) systems equipped with a single U-tube borehole heat exchanger (BHE), the heat-carrier fluid in the return leg may release heat to the surrounding ground in the shallow part of the borehole. From a fluid energy balance perspective, this is [...] Read more.
In ground-source heat-pump (GSHP) systems equipped with a single U-tube borehole heat exchanger (BHE), the heat-carrier fluid in the return leg may release heat to the surrounding ground in the shallow part of the borehole. From a fluid energy balance perspective, this is an exothermic process; however, it is detrimental during heating operation: It lowers the effective source temperature available to the heat pump and therefore degrades the overall coefficient of performance (COP). This study proposes a measurement-driven procedure to determine the exothermic transition depth z* from temperature profiles recorded at multiple depths along the ascending (return) pipe. The borehole is discretized into axial segments and, assuming a constant mass flow rate, the linear heat-exchange rate is estimated from the segment-wise enthalpy change. Time integration yields the segment-wise net energy exchange Q,i, which is then classified as exothermic or endothermic using an uncertainty-based threshold derived from the standard uncertainty of the temperature sensors. The exothermic transition depth z* is defined as the first statistically stable sign change in the integrated segment energy (from exothermic to endothermic) and is obtained by linear interpolation between adjacent segment centres. By summing the exothermic energy exchange and the corresponding average loss power, an equivalent change in source-side outlet temperature Tout is estimated and interpreted in terms of COP impact using a Carnot-scaled surrogate model. For two representative operating conditions, z* was found at 31.17 m and 24.01 m, respectively, while the average exothermic loss power remained approximately 0.48 kW. The estimated Tout ranged from 0.52 to 0.75 K, corresponding to a diagnostic COP improvement if this parasitic exothermic exchange could be mitigated. The present results should therefore be interpreted as a case study-based demonstration of the method on one instrumented borehole rather than as a universal quantitative prediction for other sites or borehole fields. Full article
Show Figures

Figure 1

16 pages, 7511 KB  
Article
Evaluating the Drainage Capacity and Nitrate Loading of Modified Blind Inlets in Row Crop Catchments
by Matthew T. Streeter and Elliot S. Anderson
Nitrogen 2026, 7(1), 31; https://doi.org/10.3390/nitrogen7010031 - 20 Mar 2026
Viewed by 114
Abstract
Standing tile inlets are commonly used to drain unwanted surface water from croplands but can exacerbate pollution by facilitating the transport of nutrients to waterways. Blind inlets have increasingly been viewed as a beneficial alternative to standing inlets since they control erosion and [...] Read more.
Standing tile inlets are commonly used to drain unwanted surface water from croplands but can exacerbate pollution by facilitating the transport of nutrients to waterways. Blind inlets have increasingly been viewed as a beneficial alternative to standing inlets since they control erosion and capture particulate nutrients. However, conventional blind inlets do little to limit dissolved nutrient transport, and modified blind inlet (MBI) designs have been proposed that incorporate woodchips—a medium that facilitates denitrification. While initial investigations have highlighted MBIs’ remediation potential, their ability to meet prescribed drainage standards has not been well-documented. In this study, we designed and installed MBIs composed of pea gravel and woodchips in two eastern Iowa fields under row crop cultivation. Flow and nitrate were continuously monitored using in situ equipment directly downstream of the MBIs (February 2023–June 2025). Observed flows were very ephemeral, consisting of ~25 distinct events at both sites, with no flow recorded in between. During several wet weather events, flow rates exceeded the MBIs’ design requirements, confirming their sufficient drainage capacity to prevent in-field ponding. Nitrate concentrations varied considerably, with long-term averages of 11.6 and 19.1 mg/L and overall loadings of 4.94 and 7.10 kg during our 28-month study. We also measured phosphate and sulfate during select wet weather events, and discrepancies in concentrations between inlets and outlets suggested that groundwater was often present alongside surficial drainage in our monitoring setup. We believe our results argue for increased adoption of MBIs in conservation and further quantification of their remediation capabilities. Full article
Show Figures

Figure 1

22 pages, 1425 KB  
Article
Structural Optimization of a Mechanical Lime Kiln Using Multi-Physics Coupling Simulation to Improve Calcination Uniformity
by Jing Yang, Zhenpeng Li, Yunfan Lu, Kangchun Li and Fuchuan Huang
Appl. Sci. 2026, 16(6), 2885; https://doi.org/10.3390/app16062885 - 17 Mar 2026
Viewed by 236
Abstract
The present study deals with the problem of irregular temperature distribution, simultaneous under-firing and over-firing, and their resultant efficiency and quality problems in a mechanical lime vertical kiln powered by domestic waste flue gas. The numerical simulation and structure optimization were carried out [...] Read more.
The present study deals with the problem of irregular temperature distribution, simultaneous under-firing and over-firing, and their resultant efficiency and quality problems in a mechanical lime vertical kiln powered by domestic waste flue gas. The numerical simulation and structure optimization were carried out based on a 150 kg/h pilot-scale kiln. This combined model was built on the ANSYS Fluent 2022 R1 platform with UDF and UDS, incorporating limestone decomposition kinetics to enable the solution of gas and solid energy equations separately, and simulation of complex transfer and reaction processes. To correct the separation of flows at one inlet, a symmetric four-direction (00, 900, 1800, 2700) air intake plan was suggested. The findings show that this design essentially transforms the internal flow field into uniform and symmetrical temperature and concentration distributions. The calcination region contained both gas and solid temperatures in the optimum range to produce active lime. Specifically, the optimized kiln achieved a temperature range of 1190–1450 K in the calcination zone, a decomposition rate of approximately 82.7% (compared to 5.3% in the original model), and an increase in effective CaO content from 81.7% to 87.7%, with validation errors below 15%. It was demonstrated that the model is reliable, since the outlet simulated values correlated well with the measured ones. The preheating, calcining, and cooling zones’ heights of the optimized kiln adhered to the design requirements. This research is innovative in its application of a multi-physics coupling model with a varying heat source in a kiln and, in turn, identifies the synergism improvement process in the flow, temperature, concentration, and reaction fields. Full article
Show Figures

Figure 1

22 pages, 3821 KB  
Article
A Simplified Model of a Solar Water Heating System with Phase Change Materials in the Storage Tank
by Barbara Król and Krzysztof Kupiec
Buildings 2026, 16(6), 1172; https://doi.org/10.3390/buildings16061172 - 16 Mar 2026
Viewed by 195
Abstract
The intermittent and variable nature of solar energy poses challenges for maintaining stable thermal performance in solar heating systems. One effective approach to mitigate this limitation is to store surplus thermal energy during periods of high solar irradiance and release it when solar [...] Read more.
The intermittent and variable nature of solar energy poses challenges for maintaining stable thermal performance in solar heating systems. One effective approach to mitigate this limitation is to store surplus thermal energy during periods of high solar irradiance and release it when solar input is insufficient. Phase change materials (PCMs) are particularly suitable for this purpose due to their ability to absorb and release large amounts of latent heat during phase transition. The aim of this work is to develop a mathematical model of a flow-through tank containing a phase change material in the form of a spherical packed bed. Including longitudinal dispersion in the model equations allows for a more accurate description of the heat transfer process in a tank containing PCM elements. Simulation calculations based on the model were carried out to demonstrate its potential applicability to practical problems. The influence of the following parameters on the process was investigated: tank volume, water flow rate, phase change temperature, process duration, dispersion coefficient during water flow, radius of the packed-bed elements, and cyclic variations of the inlet water temperature. A significant influence of the axial dispersion coefficient in the tank containing PCM on the outlet water temperature profile was demonstrated. It was found that the internal heat transfer coefficient within the packing elements containing PCM falls within the range of 58–145 W/(m2K). Full article
Show Figures

Figure 1

26 pages, 5614 KB  
Article
Experimental and Simulation Study on Liquid Entrainment in the Gas Cyclone–Liquid Jet Absorption Separator
by Liang Ma, Yang Su, Anlin Liu, Zhisheng Zhao, Junhong Wu, Xiaoxu Duan and Yuting Zhang
Processes 2026, 14(6), 929; https://doi.org/10.3390/pr14060929 - 15 Mar 2026
Viewed by 304
Abstract
Liquid entrainment presents a significant challenge in wet flue gas desulfurization systems, leading to downstream corrosion and secondary pollution. This study systematically investigates the characteristics of liquid entrainment and pressure drop in a gas cyclone–liquid jet absorption separator (GLAS) through both experimental and [...] Read more.
Liquid entrainment presents a significant challenge in wet flue gas desulfurization systems, leading to downstream corrosion and secondary pollution. This study systematically investigates the characteristics of liquid entrainment and pressure drop in a gas cyclone–liquid jet absorption separator (GLAS) through both experimental and simulation methods. The effects of inlet gas flow rate (QG), absorbent flow rate (QL), overflow pipe insertion depth, and the presence of a liquid-guiding cover (LGC) were evaluated. The results revealed that liquid entrainment initially increased and then decreased with rising QG, QL, and insertion depth of overflow pipe, given the competing effects of turbulent jet breakup and centrifugal separation. To mitigate liquid entrainment, a novel LGC was introduced at the overflow pipe outlet. This intervention resulted in a reduction in liquid entrainment by up to 23.9%, achieved through physical interception and inertial impaction, while maintaining the difference value of pressure drop of less than 302 Pa. The numerical simulations further analyzed the gas–liquid two-phase distributions in GLAS under various operating conditions, with results that align well with experimental observations. These findings offer valuable insights for mitigating liquid entrainment in GLAS and optimizing its industrial applications. Full article
(This article belongs to the Section Separation Processes)
Show Figures

Figure 1

16 pages, 3831 KB  
Article
Study on the Flow Characteristics and Energy Dissipation of Side Inlet/Outlet Structures
by Hai-Yan Lv, Ming-Jiang Liu, Qiang Long, Wang-Ru Wei and Jun Deng
Water 2026, 18(6), 678; https://doi.org/10.3390/w18060678 - 13 Mar 2026
Viewed by 226
Abstract
As a critical hydraulic component of pumped storage power stations, the side inlet/outlet directly affects unit efficiency, flow stability, and system safety. This study investigates the side inlet/outlet of a pumped storage power station using three-dimensional numerical simulations, focusing on the influence of [...] Read more.
As a critical hydraulic component of pumped storage power stations, the side inlet/outlet directly affects unit efficiency, flow stability, and system safety. This study investigates the side inlet/outlet of a pumped storage power station using three-dimensional numerical simulations, focusing on the influence of the diffuser length L on hydraulic performance, and further analyzes the underlying mechanisms of energy loss based on entropy production theory. The results indicate that, with increasing diffuser length L, the flow rates in individual channels gradually deviate from the design values, leading to an aggravated imbalance in flow distribution. In contrast, the velocity non-uniformity coefficient CV at the trash rack decreases, accompanied by a pronounced attenuation of recirculation and local flow separation, resulting in a more uniform and stable flow field. Moreover, increasing L improves the streamwise velocity uniformity within each channel, while the extent and intensity of the top recirculation zone are reduced, suppressing local flow separation. Quantitative analysis shows that when L increases from 65 m to 85 m, the total turbulent dissipation entropy production rate in the diffuser section increases linearly from 2732.32 W/K to 2842.32 W/K, whereas the direct dissipation entropy production rate increases from 0.41 W/K to 0.59 W/K. This indicates that turbulent dissipation entropy production plays a dominant role in the overall energy loss. Shorter diffusers tend to induce high-intensity local dissipation, whereas longer diffusers reduce local peak dissipation but increase the overall entropy production within the diffuser, reflecting a trade-off between local optimization and global energy loss. This study reveals the sensitivity and governing effects of diffuser length on the hydraulic characteristics of side inlet/outlets, providing a reference for geometry optimization and engineering design of similar hydraulic components. Full article
(This article belongs to the Section Hydraulics and Hydrodynamics)
Show Figures

Figure 1

18 pages, 11977 KB  
Article
Sediment Erosion of a Centrifugal Pump During Startup and Shutdown Processes Considering of Transient Flow in Pump Station
by Weiguo Zhao, Yahui Fan and Honggang Fan
Fluids 2026, 11(3), 77; https://doi.org/10.3390/fluids11030077 - 13 Mar 2026
Viewed by 204
Abstract
This study employed the Euler–Lagrange method and the Oka erosion model to numerically simulate sediment erosion in a centrifugal pump during the startup and shutdown processes. With a sediment particle size of 0.25 mm and a concentration of 0.135 kg/m3, the [...] Read more.
This study employed the Euler–Lagrange method and the Oka erosion model to numerically simulate sediment erosion in a centrifugal pump during the startup and shutdown processes. With a sediment particle size of 0.25 mm and a concentration of 0.135 kg/m3, the erosion distribution characteristics were analyzed considering the transient flow in the pump station. The results reveal that the impeller suffers the most severe erosion, and the erosion area is affected by the flow rate. At high flow rates, because of inertial and centrifugal forces, erosion concentrates near the shroud at the blade outlet. At low flow rates, vortices generated within the impeller passages cause particles to impact the mid-section of the blades, resulting in erosion in that area. In the inlet section, erosion primarily occurs on the outer wall surface with a relatively low severity at high flow rates, while vortices that occur at the outlet under low flow rates intensify localized erosion. Furthermore, owing to the hysteresis effect of the flow, the erosion during the startup process is more severe than during the shutdown process. In the fixed guide vane zone, at high flow rates, erosion is mainly concentrated in the leading edge and near the covers. At low flow rates, vortices generated between the fixed guide vanes lead to particle impacts on the vane surfaces near the inlet, causing severe localized erosion in this area. In the volute, erosion exhibits a spiral distribution pattern at high flow rates. When the flow rate changes rapidly, the flow field around the tongue region becomes unstable, inducing local erosion there. Full article
(This article belongs to the Special Issue Multiphase Flow and Fluid Machinery)
Show Figures

Figure 1

13 pages, 2593 KB  
Essay
Effect of Outlet Pressure on Foam Performance in a Compressed Air Foam System
by Qing Ma, Chang Liu, Xiaobin Li, Dawei Li, Xinzhe Li and Yixuan Wu
Fire 2026, 9(3), 120; https://doi.org/10.3390/fire9030120 - 10 Mar 2026
Viewed by 401
Abstract
This study investigates how outlet pressure influences the fire suppression performance of a compressed air foam system (CAFS), with the aim of supporting system optimization and engineering applications. An experimental apparatus for foam performance testing is used to measure changes in foam flow [...] Read more.
This study investigates how outlet pressure influences the fire suppression performance of a compressed air foam system (CAFS), with the aim of supporting system optimization and engineering applications. An experimental apparatus for foam performance testing is used to measure changes in foam flow rate, expansion, initial velocity, initial momentum, and drainage time at different outlet pressures. On the basis of relevant theoretical models, the factors causing discrepancies between model predictions and experimental results are examined, and the models are then refined. How the outlet pressure of CAFS affects foam performance is thereby clarified. The results show that foam flow rate increases as outlet pressure increases. At higher pressures, shear-thinning and intensified gas–liquid mixing affect the foam. As a result, the growth of flow rate in the range of 0.01–0.03 MPa is significantly higher than that in the range of 0.06–0.10 MPa. Both initial velocity and initial momentum increase significantly with increasing pressure, whereas the expansion decreases. Within the outlet pressure range of 0.01–0.10 MPa, the initial velocity increases from 1.23 m/s to 6.65 m/s, the initial momentum rises from 4.6 kg·m/s to 34.1 kg·m/s, and the expansion decreases from 9.2 to 5.4, indicating reduced foam stability. Drainage time and drained mass vary non-monotonically with outlet pressure. The longest drainage time and the smallest drained mass occur at 0.06 MPa. Fire suppression performance improves as outlet pressure increases. A higher outlet pressure enables the foam solution to penetrate the flame zone more effectively and to cover the surface of the burning material. In addition, changes in foam properties enhance the thermal insulation and smothering effects of the foam layer, as well as its heat absorption and cooling capacity. These effects together improve the efficiency of fire source cooling. Full article
Show Figures

Figure 1

17 pages, 3611 KB  
Article
Numerical Simulation of the Discharge Process in Pulverized Coal Silos Based on a Coarse-Grained DEM Method
by Zhiyong Zhang, Tianxiao Chen, Xiao Zhang, Zhaoxi Liu, Yi Wang, Dong Li, Xiaole Chen, Kaixin Dai, Huaichen Li and Chun Ge
Processes 2026, 14(5), 833; https://doi.org/10.3390/pr14050833 - 4 Mar 2026
Viewed by 334
Abstract
The traditional Discrete Element Method (DEM) can track the motion details of individual particles, but its computational cost becomes excessively high when simulating large-scale systems involving millions or even billions of particles. In this study, a coarse-grained DEM approach was employed to analyze [...] Read more.
The traditional Discrete Element Method (DEM) can track the motion details of individual particles, but its computational cost becomes excessively high when simulating large-scale systems involving millions or even billions of particles. In this study, a coarse-grained DEM approach was employed to analyze the flow behavior of mixed particles in a coal powder silo. This method maintains reasonable simulation accuracy while effectively reducing the total number of computational particles and significantly improving computational efficiency. After conducting investigations on the mesh-to-particle size ratio and model validation, this paper focuses on examining the effects of coal particle size distribution and mixing ratio on the characteristics of particle motion. The results indicate that during the discharge process of mixed particles, the downward velocity of particles in the central axis region near the outlet is significantly higher than that in the wall region, exhibiting typical funnel flow characteristics. The particle size distribution has a notable impact on the particle descent velocity. The uniform distribution case shows the highest descent velocity, the linear distribution case the lowest, while the normal distribution case falls between the two. Notably, in the normal distribution case, the descent velocity in the central axis region is similar to that of the uniform distribution, while the descent velocity in the wall region approaches that of the linear distribution. This presents a combined characteristic of the two extreme distributions rather than a simple transitional state. In contrast, the particle mixing ratio has a relatively minor influence on the overall motion characteristics. The mass flow rate of particles and the cross-sectional velocity distribution remain largely consistent, with only slight differences observed in the velocity within the central axis region. Full article
(This article belongs to the Special Issue Clean Thermal Utilization of Solid Carbon-Based Fuels)
Show Figures

Figure 1

24 pages, 6219 KB  
Article
Effects of Cross-Sectional Geometry and Fabrication Methods on the Performance of Passive Solid–Liquid Separators
by Marijan-Pere Marković, Elizabeta Forjan, Krunoslav Žižek and Domagoj Vrsaljko
Technologies 2026, 14(3), 153; https://doi.org/10.3390/technologies14030153 - 3 Mar 2026
Viewed by 415
Abstract
This study explores the passive separation of solid particles from liquid suspensions in spiral separators fabricated using fused filament fabrication (FFF) and stereolithography (SLA). Building on prior work, we investigate the effect of microchannel geometry, circular vs. square cross-sections of equal area, and [...] Read more.
This study explores the passive separation of solid particles from liquid suspensions in spiral separators fabricated using fused filament fabrication (FFF) and stereolithography (SLA). Building on prior work, we investigate the effect of microchannel geometry, circular vs. square cross-sections of equal area, and printing method on separation performance. Devices were tested across a wider range of flow rates (150 mL min−1–350 mL min−1), extending into transitional regimes, to examine geometry-induced inertial effects. Separation performance was quantified using the normalized outlet mass difference (Δ) for talc, precipitated calcium carbonate, and quartz. Maximum separation was obtained for quartz sand in the SLA separator at 250 mL min−1 (Δ = 0.2175 g per 100 mL), while talc showed the highest mass difference in the square FFF separator at 300 mL min−1 (Δ = 0.1196 g per 100 mL). For calcium carbonate, the highest separation occurred in the SLA device at 250 mL min−1 (Δ = 0.1721 g per 100 mL), though performance was limited by agglomeration and clogging in FFF devices. Overall, separation was predominantly mass-based rather than strictly size-selective, with channel geometry, flow regime, and fabrication method jointly governing performance. Full article
Show Figures

Figure 1

15 pages, 4230 KB  
Article
Parametric Study of Heating Temperature Non-Uniformity at Porous Burner Outlet: Impacts of Volumetric Flow Rate, Equivalence Ratio, Surface Emissivity, and Thermal Conductivity
by Zhen Wang, Hui Li, Jiangtao Bi, Haijun Yang, Xiaolong Wang, Zhiqiang Zhao, Xusheng Zhang and Guohe Jiang
Coatings 2026, 16(3), 307; https://doi.org/10.3390/coatings16030307 - 2 Mar 2026
Viewed by 235
Abstract
Radiant porous burners are favored in household and industrial applications for their high flexibility, minimal emissions, and excellent fuel adaptability. Enhancing heating temperature uniformity improves the heat transfer efficiency and heating quality. This work presents a two-dimensional numerical study on the non-uniformity of [...] Read more.
Radiant porous burners are favored in household and industrial applications for their high flexibility, minimal emissions, and excellent fuel adaptability. Enhancing heating temperature uniformity improves the heat transfer efficiency and heating quality. This work presents a two-dimensional numerical study on the non-uniformity of the heating temperature (i.e., solid temperature at the burner exit) in a cylindrical porous burner. The root mean square (RMS) of the heating temperature (Ts,rms) is used to quantify the non-uniformity. From the numerical results, the cylindrical porous burner exhibits a non-uniform heating temperature and a non-uniform mass flow rate of flue gas at the sub-outlets. The surface emissivity and equivalence ratio have minor effects on the Ts,rms. However, increasing the volumetric flow rate and solid temperature leads to a more uniform distribution of heating temperature. The Ts,rms decreases from 40 K to 4.4 K as the volumetric flow rate increases from 26.75 slm (standard liters per minute) to 87 slm at an equivalence ratio of 0.96 and emissivity of 0.85. Meanwhile, the results demonstrate that increasing the thermal conductivity of the porous shell improves the heating temperature uniformity. This study presents guidelines for enhancing the uniformity of heating temperature for the cylindrical porous burner. Full article
Show Figures

Figure 1

23 pages, 2436 KB  
Article
Study on the Influence of the Aerodynamic Performance of Electric Field Manipulator: Experimental and Modelling Research
by Aleksandras Chlebnikovas, Stanislovas Zdanevičius, Johannes Hieronymus Gutheil and Way Lee Cheng
Machines 2026, 14(3), 269; https://doi.org/10.3390/machines14030269 - 28 Feb 2026
Viewed by 185
Abstract
Particulate matter (PM) emissions are common in technological processes, and effective mitigation requires gas pre-treatment before high-efficiency filtration to reduce fine and ultrafine PM that are particularly dangerous to the human health. This study evaluates a multichannel electric field manipulator (agglomerator) as a [...] Read more.
Particulate matter (PM) emissions are common in technological processes, and effective mitigation requires gas pre-treatment before high-efficiency filtration to reduce fine and ultrafine PM that are particularly dangerous to the human health. This study evaluates a multichannel electric field manipulator (agglomerator) as a flow pre-treatment stage and investigates the aerodynamic conditions that govern particle–gas flow distribution and variation in trajectories and dynamics at different flow rates. These factors provide meaningful assumptions about the possible behavior of particles in the flow, and they are critical for optimizing an agglomeration and its intensity. Such phenomena can have an impact on the probability of agglomeration in the manipulator channels, i.e., the adherence of small particles into larger ones, and this allows for improving the design and operating conditions of the apparatus. Gas flow velocities and pressure were analyzed experimentally at various cross-sectional points in the inlet and outlet ducts at inflow rates of 3.4 L/s and 50 L/s. The static inlet pressure of the manipulator ranged from 8 Pa to 178 Pa. This study provides new insights into flow pre-treatment using the electric field mechanism in a multichannel modular apparatus and provides a reasonable understanding of the necessary characteristics of gas flow distribution to support subsequent improvements targeting higher agglomeration. Full article
Show Figures

Figure 1

Back to TopTop