Sign in to use this feature.

Years

Between: -

Subjects

remove_circle_outline
remove_circle_outline
remove_circle_outline
remove_circle_outline
remove_circle_outline
remove_circle_outline
remove_circle_outline
remove_circle_outline
remove_circle_outline

Journals

Article Types

Countries / Regions

Search Results (181)

Search Parameters:
Keywords = organic matter accumulation mechanism

Order results
Result details
Results per page
Select all
Export citation of selected articles as:
18 pages, 2460 KB  
Article
Biodegradation and Metabolic Pathways of Thiamethoxam and Atrazine Driven by Microalgae
by Yongchao Wang, Fang Yang, Haiqing Liao, Weiying Feng, Pengcheng Duan, Zhuangzhuang Feng, Ting Pan, Yuxin Li and Qingfeng Miao
Water 2026, 18(3), 304; https://doi.org/10.3390/w18030304 (registering DOI) - 24 Jan 2026
Abstract
Pesticide residues from agriculture pose persistent threats to ecosystems and human health. Precipitation and surface runoff facilitate the transport of pesticide residues, leading to their subsequent accumulation in lakes and rivers. Microalgae-based bioremediation offers a promising and environmentally friendly approach for degrading and [...] Read more.
Pesticide residues from agriculture pose persistent threats to ecosystems and human health. Precipitation and surface runoff facilitate the transport of pesticide residues, leading to their subsequent accumulation in lakes and rivers. Microalgae-based bioremediation offers a promising and environmentally friendly approach for degrading and detoxifying these residues. This study employed liquid chromatography–mass spectrometry (LC-MS) to determine pesticide residues in various microalgal solutions. Using three-dimensional excitation-emission matrix (3D-EEM) spectroscopy and fluorescence regional integration (FRI), we quantified the dynamics of dissolved organic matter (DOM) and its relationship with pesticide degradation in the microalgal system. Over time, Tolypothrix tenuis exhibited the highest degradation rate for THX (95.7%), while Anabaena showed the most effective degradation for ATZ (53.8%). Based on structural analysis of degradation products, three potential degradation pathways for THX and ATZ under microalgae action were proposed. Moreover, the degradation process may also involve reactive oxygen species and intracellular enzymes. Hydroxylation and carboxylation were the primary reactions involved in THX degradation, leading to ring opening and subsequent mineralization. In ATZ, the initially removed groups included methyl and carbonyl groups, with the final products undergoing hydroxylation and subsequent mineralization to water and carbon dioxide. This study, conducted within the context of aquatic environmental protection, investigates the threat of pesticide residues to aquatic ecosystems. It further elucidates the associated environmental impacts and degradation mechanisms from a microalgal perspective. Full article
Show Figures

Figure 1

17 pages, 8979 KB  
Article
Study on Physical Simulation of Shale Gas Dissipation Behavior: A Case Study for Northern Guizhou, China
by Baofeng Lan, Hongqi Liu, Chun Luo, Shaopeng Li, Haishen Jiang and Dong Chen
Processes 2026, 14(2), 368; https://doi.org/10.3390/pr14020368 - 21 Jan 2026
Viewed by 67
Abstract
The Longmaxi from the Anchang Syncline in northern Guizhou exhibits a high degree of thermal evolution of organic matter and significant variation in gas content. Because the synclinal is narrow, steep, and internally faulted, the mechanisms controlling shale gas preservation and escape remain [...] Read more.
The Longmaxi from the Anchang Syncline in northern Guizhou exhibits a high degree of thermal evolution of organic matter and significant variation in gas content. Because the synclinal is narrow, steep, and internally faulted, the mechanisms controlling shale gas preservation and escape remain poorly understood, complicating development planning and engineering design. Research on oil and gas migration and accumulation mechanisms in synclinal structures is therefore essential. To address this issue, three proportionally scaled strata—pure shale, gray shale, and sandy shale—were fabricated, and faults and artificial fractures with different displacements and inclinations were introduced. The simulation system consisted of two glass tanks (No. 1 and No. 2). Each tank had three rows of eight transmitting electrodes on one side, and a row of eight receiving electrodes on the opposite side. Tank 1 remained fixed, while Tank 2 could be hydraulically tilted up to 65° to simulate air and water migration under varying formation inclinations. A gas-water injection device was connected at the base. Gas was first injected slowly into the model. After injecting a measured volume (recorded via the flowmeter), the system was allowed to rest for 24–48 h to ensure uniform gas distribution. Water was then injected to displace the gas. During displacement, Tank 1 remained horizontal, and Tank 2 was inclined at a preset angle. An embedded monitoring program automatically recorded resistivity data from the 48 electrodes, and water-driven gas migration was analyzed through resistivity changes. A gas escape rate parameter (Gd), based on differences in gas saturation, was developed to quantify escape velocity. The simulation results show that gas escape increased with formation inclination. Beyond a critical angle, the escape rate slowed and approached a maximum. Faults and fractures significantly enhanced gas escape. Full article
Show Figures

Figure 1

18 pages, 4918 KB  
Article
Synthetic Microbial Communities Enhance Artificial Cyanobacterial Crusts Formation via Spatiotemporal Synergy
by Qi Li, Pingting Zhu, Guoxia Tian, Qingliang Cui, Pengyu Zhang, Lingyan Dong, Chensi Min and Linchuan Fang
Microorganisms 2026, 14(1), 243; https://doi.org/10.3390/microorganisms14010243 - 21 Jan 2026
Viewed by 85
Abstract
Artificial cyanobacterial crusts (ACCs) are a potentially effective biological strategy for combating desertification. However, while functional microorganisms influence ACCs formation efficiency, research on their role is limited, and their underlying promotion mechanisms remain unclear. Here, we investigated the effects of three functional synthetic [...] Read more.
Artificial cyanobacterial crusts (ACCs) are a potentially effective biological strategy for combating desertification. However, while functional microorganisms influence ACCs formation efficiency, research on their role is limited, and their underlying promotion mechanisms remain unclear. Here, we investigated the effects of three functional synthetic microbial communities (SynComs), each dominated by microorganisms specialized in exopolysaccharide (EPS) production (3 strains), siderophore production (3 strains), or nitrogen fixation (4 strains), on ACCs formation following inoculation with Microcoleus vaginatus. This study was carried out in a controlled laboratory setting with a 12 h light/dark cycle and a light intensity of 2400–2700 lux. Following a 24-day cultivation period, EPS-producing or nitrogen-fixing SynComs significantly increased the chlorophyll-a content by 16.0–16.3%. Except for the nitrogen-fixing bacteria treatment, other SynComs enhanced the soil organic matter content of ACCs by 9.1% to 27.3%. The content of EPS was significantly improved by all three SynComs by 14.1~19.2%. Urease activity rose by 6.7% when siderophore-producing bacteria were added. The impacts of SynComs on ammonium nitrogen (NH4+-N) showed different temporal dynamics: nitrogen-fixing SynComs significantly increased NH4+-N early (≤10 days), while EPS-producing and siderophore-producing SynComs enhanced accumulation later (17–24 days). SynComs inoculation markedly accelerated cyanobacterial and general microbial colonization and growth. In comparison to day 0, the 16S rRNA gene copy number of ACCs increased by 24.1% and 43.0%, respectively, in the EPS-producing and nitrogen-fixing SynComs. Additionally, correlation analysis showed that SynComs transformed the weak correlations in the control into a strong positive correlation between NH4+-N and both Chl-a and microbial biomass. Our findings demonstrate SynComs, particularly the EPS-producing or nitrogen-fixing SynComs, enhance ACCs formation through elucidated mechanisms, providing a theoretical basis for optimizing ACCs-based desertification control strategies. Full article
(This article belongs to the Special Issue Diversity, Function, and Ecology of Soil Microbial Communities)
Show Figures

Figure 1

26 pages, 4622 KB  
Systematic Review
Cumulative Effects of Different Application Time Scales of Biogas Slurry on Agricultural Soils Based on Meta-Analysis
by Dongxue Yin, Baozhong Wang, Jiajun Qin, Wei Liu, Xiaoli Niu, Long Qin, Guangyuan Zhong, Boyang Lu, Dongdong Chen, Jie Zhu and Fengshun Zhang
Agronomy 2026, 16(2), 230; https://doi.org/10.3390/agronomy16020230 - 18 Jan 2026
Viewed by 140
Abstract
Returning biogas slurry to fields is an important approach for the resource utilization of organic waste. It enhances soil fertility and crop growth, but its long-term effects on soil ecosystems need evaluation. A meta-analysis approach was employed to comprehensively assess the influence of [...] Read more.
Returning biogas slurry to fields is an important approach for the resource utilization of organic waste. It enhances soil fertility and crop growth, but its long-term effects on soil ecosystems need evaluation. A meta-analysis approach was employed to comprehensively assess the influence of biogas slurry application from multiple perspectives (soil enzyme activities, heavy-metal accumulation, microbial communities, and fundamental nutrients) across different time scales: short-term (<1 year), medium-term (1–3 years), and long-term (>3 years). The results demonstrate that the ecological effects of biogas slurry application exhibited a pronounced time-dependency. Specifically, short-term application (less than 1 year) significantly increased soil urease (23.0%) and sucrase activity (22.1%), along with organic matter and available nutrients. However, it also resulted in the rapid accumulation of heavy metals, including Hg and As. Under medium-term application, sucrase activity further surged (108.1%). Meanwhile, phosphatase activity and total potassium content decreased, and heavy-metal accumulation showed declining trends. Following long-term application, microbial richness substantially improved, but certain heavy metals (Cu, Zn and Cd) continued to accumulate. In summary, this study reveals distinct temporal-scale mechanisms by which field biogas slurry application regulates soil functions. Full article
(This article belongs to the Section Farming Sustainability)
Show Figures

Figure 1

21 pages, 7451 KB  
Article
Distinct Pathways of Cadmium Immobilization as Affected by Wheat Straw- and Soybean Meal-Mediated Reductive Soil Disinfestation
by Tengqi Xu, Jingyi Mei, Cui Li, Lijun Hou, Kun Wang, Risheng Xu, Xiaomeng Wei, Jingwei Zhang, Jianxiao Song, Zuoqiang Yuan, Xiaohong Tian and Yanlong Chen
Agriculture 2026, 16(2), 242; https://doi.org/10.3390/agriculture16020242 - 17 Jan 2026
Viewed by 161
Abstract
Both organic matter and iron oxide (FeO) dynamics pose key roles in soil cadmium (Cd) bioavailability. However, the microbially driven transformation of soil organic matter and FeO and their linkages to Cd fractions remain unclear under reductive soil disinfestation (RSD) with different organic [...] Read more.
Both organic matter and iron oxide (FeO) dynamics pose key roles in soil cadmium (Cd) bioavailability. However, the microbially driven transformation of soil organic matter and FeO and their linkages to Cd fractions remain unclear under reductive soil disinfestation (RSD) with different organic sources, which limits our mechanistic understanding of Cd immobilization by RSD. To address this gap, we conducted a 45 day microcosm experiment using a paddy soil contaminated with 22.8 mg/kg Cd. Six treatments were established: untreated control (CK), waterlogged (WF), and RSD-amended soils with 0.7% or 2.1% wheat straw (LWD, HWD) or soybean meal (LSD, HSD). We systematically assessed soil Cd fractionation, organic carbon and FeO concentrations, and bacterial community structure, aiming to clarify differences in Cd immobilization efficiency and the underlying mechanisms between wheat straw and soybean meal. For strongly extractable Cd, wheat straw RSD reduced the soil Cd concentrations from 6.02 mg/kg to 4.32 mg/kg (28.2%), whereas soybean meal RSD achieved a maximum reduction to 2.26 mg/kg (62.5%). Additionally, the soil mobility factor of Cd decreased from 44.6% (CK) to 39.2% (HWD) and 32.5% (HSD), while the distribution index increased from 58.5% (CK) to 62.2% (HWD) and 66.8% (HSD). Notably, the HWD treatment increased soil total organic carbon, humus, and humic acid concentrations by 34.8%, 24.6%, and 28.3%, respectively. Regarding amorphous FeO, their concentrations increased by 19.1% and 33.3% relative to CK. RSD treatments significantly altered soil C/N ratios (5.91–12.5). The higher C/N ratios associated with wheat straw stimulated r-strategist bacteria (e.g., Firmicutes, Bacteroidetes), which promoted carbohydrate degradation and fermentation, thereby enhancing the accumulation of humic substances. In contrast, the lower C/N ratios of soybean meal increased dissolved organic carbon and activated iron-reducing bacteria (FeRB; e.g., Anaeromyxobacter, Clostridium), driving iron reduction and amorphous iron oxide formation. PLS-PM analysis confirmed that wheat straw RSD immobilized Cd primarily through humification, whereas soybean meal RSD relied on FeRB-mediated FeO amorphization. These findings suggest that Cd immobilization in soil under RSD may be regulated by microbially mediated organic matter transformation and iron oxide dynamics, which was affected by organic materials of different C/N ratios. Full article
(This article belongs to the Section Agricultural Soils)
Show Figures

Figure 1

22 pages, 1873 KB  
Review
Electron Transfer-Mediated Heavy Metal(loid) Bioavailability, Rice Accumulation, and Mitigation in Paddy Ecosystems: A Critical Review
by Zheng-Xian Cao, Zhuo-Qi Tian, Hui Guan, Yu-Wei Lv, Sheng-Nan Zhang, Tao Song, Guang-Yu Wu, Fu-Yuan Zhu and Hui Huang
Agriculture 2026, 16(2), 202; https://doi.org/10.3390/agriculture16020202 - 13 Jan 2026
Viewed by 200
Abstract
Electron transfer (ET) is a foundational biogeochemical process in paddy soils, distinctively molded by alternating anaerobic-aerobic conditions from flooding-drainage cycles. Despite extensive research on heavy metal(loid) (denoted as “HM”, e.g., As, Cd, Cr, Hg) dynamics in paddies, ET has not been systematically synthesized [...] Read more.
Electron transfer (ET) is a foundational biogeochemical process in paddy soils, distinctively molded by alternating anaerobic-aerobic conditions from flooding-drainage cycles. Despite extensive research on heavy metal(loid) (denoted as “HM”, e.g., As, Cd, Cr, Hg) dynamics in paddies, ET has not been systematically synthesized as a unifying regulatory mechanism, and the trade-offs of ET-based mitigation strategies remain unclear. These critical gaps have drastically controlled HMs’ mobility, which further modulates bioavailability and subsequent accumulation in rice (Oryza sativa L., a staple sustaining half the global population), posing substantial food safety risks. Alongside progress in electroactive microorganism (EAM) research, extracellular electron transfer (EET) mechanism delineation, and soil electrochemical monitoring, ET’s role in orchestrating paddy soil HM dynamics has garnered unparalleled attention. This review explicitly focuses on the linkage between ET processes and HM biogeochemistry in paddy ecosystems: (1) elucidates core ET mechanisms in paddy soils (microbial EET, Fe/Mn/S redox cycling, organic matter-mediated electron shuttling, rice root-associated electron exchange) and their acclimation to flooded conditions; (2) systematically unravels how ET drives HM valence transformation (e.g., As(V) to As(III), Cr(VI) to Cr(III)), speciation shifts (e.g., exchangeable Cd to oxide-bound Cd), and mobility changes; (3) expounds on ET-regulated HM bioavailability by modulating soil retention capacity and iron plaque formation; (4) synopsizes ET-modulated HM accumulation pathways in rice (root uptake, xylem/phloem translocation, grain sequestration); (5) evaluates key factors (water management, fertilization, straw return) impacting ET efficiency and associated HM risks. Ultimately, we put forward future avenues for ET-based mitigation strategies to uphold rice safety and paddy soil sustainability. Full article
Show Figures

Figure 1

16 pages, 2475 KB  
Article
Assessing the Crucial Role of Marine Fog in Early Soil Development and Biocrust Dynamics in the Atacama Desert
by María del Pilar Fernandez-Murillo, Erasmo Cifuentes, Antonia Beggs, Marlene Manzano, Ignacio Gutiérrez-Cortés, Constanza Vargas, Camilo del Río and Fernando D. Alfaro
Soil Syst. 2026, 10(1), 12; https://doi.org/10.3390/soilsystems10010012 - 13 Jan 2026
Viewed by 145
Abstract
Marine fog is a key non-rainfall water source that sustains microbial activity and transports dissolved nutrients inland, influencing early soil development in hyperarid ecosystems. However, the mechanisms through which sustained fog inputs drive soil surface modification and biocrust formation remain poorly understood. This [...] Read more.
Marine fog is a key non-rainfall water source that sustains microbial activity and transports dissolved nutrients inland, influencing early soil development in hyperarid ecosystems. However, the mechanisms through which sustained fog inputs drive soil surface modification and biocrust formation remain poorly understood. This study evaluated the effects of long-term fog augmentation on soil surface development, biocrust dynamics, and associated microbial communities in the Atacama Desert. We implemented a four-year fog addition field experiment with three sampling times (T0, T24, T48) to assess changes in soil physicochemical properties, biocrust composition, and the integrated multi-diversity of archaea, bacteria, fungi and protist. Sustained fog input transformed bare soils into biological soil crusts, particularly lichen- and moss-dominated stages. This transition was accompanied by increases in soil nitrogen, variations in organic matter accumulation, a shift from alkaline to near-neutral pH, and improvements in soil stability and water retention. Multi-diversity increased over time and was positively associated with ecosystem variables linked to water availability, structural stabilization, and decomposition. These functions, integrated into an ecosystem multifunctionality index, also increased under prolonged fog input, revealing a positive relationship between multifunctionality and multi-diversity. Overall, the results demonstrate that sustained fog input strongly enhances early soil surface development and biocrust establishment, highlighting the ecological importance of marine fog in shaping biodiversity and ecosystem functioning in hyperarid landscapes. Full article
(This article belongs to the Special Issue Microbial Community Structure and Function in Soils)
Show Figures

Graphical abstract

25 pages, 10585 KB  
Article
Spatiotemporal Patterns and Driving Mechanisms of Heavy Metal Accumulation in China’s Farmland Soils Based on Meta-Analysis and Machine Learning
by Jiamin Zhao, Rui Guo, Junkang Guo, Zihan Yu, Jingwen Xu, Xiaoyan Zhang and Liying Yang
Sustainability 2025, 17(24), 11318; https://doi.org/10.3390/su172411318 - 17 Dec 2025
Viewed by 356
Abstract
To elucidate the long-term spatiotemporal patterns and key drivers factors, this study employed a meta-analysis of data from soil containing Potentially Toxic Elements (Cd, As, Cr, Hg, and Pb) in Chinese farmland soils from 2003 to 2025. The geoaccumulation index, the potential ecological [...] Read more.
To elucidate the long-term spatiotemporal patterns and key drivers factors, this study employed a meta-analysis of data from soil containing Potentially Toxic Elements (Cd, As, Cr, Hg, and Pb) in Chinese farmland soils from 2003 to 2025. The geoaccumulation index, the potential ecological risk index, and standard deviation ellipses were used to assess the spatiotemporal evolution of heavy metal accumulation and ecological risk, while the Random forest–SHapley Additive exPlanations (RF-SHAP) method was employed to identify driving mechanisms. At the national scale, Cd and Hg are significantly enriched relative to the background values, whereas As, Cr, and Pb remained at relatively low levels, with enrichment ranked as Cd > Hg > Pb > Cr > As. Cd and Hg indicated mild pollution, but the Sichuan Basin emerged as a hotspot, where Cd reached moderate pollution and showed strong ecological risk, and Hg also exhibited high ecological risk. Over the past two decades, the contamination center shifted from coastal to southwestern inland regions, with an expanded and more dispersed distribution. Since 2017, Cd and Hg pollution levels have stabilized, suggesting that the aggravating trend has been preliminarily curbed. Industrial waste and wastewater discharge, irrigation and fertilization were identified as the primary anthropogenic factors of soil heavy metal accumulation, while climatic factors (temperature, precipitation, and solar radiation) and soil physicochemical properties (pH, clay content, and organic matter) played fundamental roles in spatial distribution and accumulation. Our findings call for targeted predictive research and policies to manage heavy metal risks and preserve farmland sustainability in a changing climate. Full article
Show Figures

Figure 1

22 pages, 1782 KB  
Article
Monitoring the Transformation of Organic Matter During Composting Using 1H NMR Spectroscopy and Chemometric Analysis
by Rubén Gonsálvez-Álvarez, Encarnación Martínez-Sabater, María Ángeles Bustamante, Mario Piccioli, José A. Saez-Tovar, Luciano Orden, Concepción Paredes, Raúl Moral and Frutos C. Marhuenda-Egea
Biomass 2025, 5(4), 76; https://doi.org/10.3390/biomass5040076 - 1 Dec 2025
Viewed by 492
Abstract
Composting is an effective biotechnological process for transforming agro-industrial residues into stabilized and nutrient-rich organic amendments. However, the molecular mechanisms underlying organic matter transformation remain poorly resolved. In this study, a mixture of winery by-products and poultry manure was composted under controlled aeration [...] Read more.
Composting is an effective biotechnological process for transforming agro-industrial residues into stabilized and nutrient-rich organic amendments. However, the molecular mechanisms underlying organic matter transformation remain poorly resolved. In this study, a mixture of winery by-products and poultry manure was composted under controlled aeration and monitored through high-field 1H NMR spectroscopy of the water-extractable organic matter (WEOM), followed by interval-based chemometric analysis. The NMR spectra revealed distinct compositional trends, including the rapid depletion of amino acids and carbohydrates, the transient accumulation of low-molecular-weight organic acids, and the gradual enrichment in aromatic and phenolic compounds associated with humification processes. Chemometric modeling using Partial Least Squares (PLS) regression and its interval variants (iPLS and biPLS) enabled accurate prediction of composting time (r ≈ 0.95) and identification of diagnostic spectral intervals corresponding to key metabolites. These findings demonstrate the capability of NMR-based molecular profiling, combined with multivariate modeling, to elucidate the biochemical pathways of composting and to provide quantitative indicators of compost stability and maturity. Full article
Show Figures

Figure 1

16 pages, 1788 KB  
Article
Zinc Fertilization Enhances Growth, Yield, and Zinc Use Efficiency of Rice (Oryza sativa L. cv. Chai Nat 1) in Contrasting Soil Textures
by Benjapon Kunlanit, Tanapon Siritrakulsak, Ratanaporn Poosathit, Tuan Vu Dinh and Patma Vityakon
Agronomy 2025, 15(12), 2779; https://doi.org/10.3390/agronomy15122779 - 30 Nov 2025
Viewed by 422
Abstract
Efficient nutrient management is vital to sustaining rice production in the sandy soils of Northeast Thailand, where zinc (Zn) deficiency and low organic matter often constrain yield. This study evaluated the effects of Zn fertilization on the growth, yield, and Zn use efficiency [...] Read more.
Efficient nutrient management is vital to sustaining rice production in the sandy soils of Northeast Thailand, where zinc (Zn) deficiency and low organic matter often constrain yield. This study evaluated the effects of Zn fertilization on the growth, yield, and Zn use efficiency (ZUE) of rice (Oryza sativa L. cv. Chai Nat 1) grown under greenhouse conditions in contrasting soil textures (loamy sand and clay). Four Zn rates were applied: 0, 5, 10, and 15 kg ZnSO4·7H2O ha−1 (0, 0.013, 0.026, and 0.039 g ZnSO4·7H2O pot−1). Clay soil, with higher organic matter, nitrogen, and available Zn, supported greater vegetative growth, biomass, and yield than loamy sand. Zinc fertilization significantly increased plant height, tiller number, chlorophyll content, biomass, panicle number, grain number, and filled grain weight. Yield improvement in loamy sand was associated mainly with reproductive efficiency, whereas in clay it was driven by vegetative vigor, biomass accumulation, and Zn uptake. Thousand-grain weight was not affected by Zn. ZUE peaked at 5 kg ha−1 in loamy sand and 10 kg ha−1 in clay, with clay showing a greater overall increase in ZUE across Zn rates and loamy sand exhibiting diminishing returns at higher application rates, reflecting differences in Zn availability and retention capacity. Correlation, PCA, and SEM analyses confirmed soil-specific yield mechanisms. Overall, Zn fertilization improved rice productivity and tissue Zn concentration, with optimal rates differing by soil texture. These findings highlight the importance of site-specific Zn management in enhancing yield, nutrient efficiency, and biofortification in rice-based systems of Northeast Thailand. Full article
Show Figures

Figure 1

21 pages, 2952 KB  
Article
The Impact of Fluoride Pollution on Fungal Communities at the Watershed Scale: A Case Study of the Qingshui River, Ningxia
by Zengfeng Zhao, Xiaocong Qiu, Juan Yin, Ruizhi Zhao and Cheng Ni
Microorganisms 2025, 13(12), 2733; https://doi.org/10.3390/microorganisms13122733 - 29 Nov 2025
Viewed by 367
Abstract
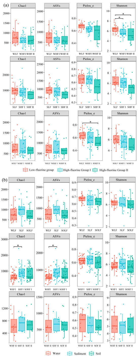
This study systematically investigated the driving mechanisms and feedback effects of fluoride pollution gradients on fungal communities in water-soil systems, using the Qingshui River basin in Ningxia, China, as a case study. In 2022, 66 sets of samples, each comprising water, sediment, and [...] Read more.
This study systematically investigated the driving mechanisms and feedback effects of fluoride pollution gradients on fungal communities in water-soil systems, using the Qingshui River basin in Ningxia, China, as a case study. In 2022, 66 sets of samples, each comprising water, sediment, and riparian soil, were collected across three phases (May, July, December). High-throughput sequencing combined with fluoride speciation analysis revealed that fluoride pollution significantly reduced fungal alpha diversity (low-fluoride group > high-fluoride group I > high-fluoride group II), with aquatic habitats exhibiting the most sensitive response. Ascomycota and Chytridiomycota were identified as dominant fluoride-tolerant phyla, and Ascobolus and Cladosporium as representative tolerant genera. Fungi influenced fluoride speciation through mediating mineral weathering and organic matter metabolism; for instance, Humicola promoted fluoride immobilization, while Archaeorhizomyces participated in organic matter-bound fluoride (O.M.-F) metabolism. Fungi in sediments tended to promote the accumulation of residual fixed fluoride (Res-F), whereas those in riparian soils exhibited dual regulatory effects on the release of bioavailable fluoride (Ba-F). This research elucidates the succession patterns of fungal communities under fluoride pollution and their feedback mechanisms on fluoride biogeochemical cycling, offering a theoretical basis for ecological restoration in high-fluoride regions. Full article
(This article belongs to the Section Environmental Microbiology)
Show Figures

Figure 1

25 pages, 2844 KB  
Article
Spectroscopic Evidence of Soil Carbon and DOM Transformation Across an 8–63-Year Paddy Chronosequence in Western Jilin, China
by Qian Liu, Ying Qu, Xingchi Guo, Junyan Zheng, Yuhe Xing, Wei Yu, Zhiyu Dong, Guoyu Zhang, Pengbing Wu and Xu Zhang
Agronomy 2025, 15(12), 2688; https://doi.org/10.3390/agronomy15122688 - 22 Nov 2025
Viewed by 713
Abstract
Understanding the long-term evolution of soil carbon pools and dissolved organic matter (DOM) is crucial for evaluating carbon cycling and soil fertility in paddy ecosystems. This study investigated the changes in soil organic carbon (SOC), dissolved organic carbon (DOC), and DOM optical characteristics [...] Read more.
Understanding the long-term evolution of soil carbon pools and dissolved organic matter (DOM) is crucial for evaluating carbon cycling and soil fertility in paddy ecosystems. This study investigated the changes in soil organic carbon (SOC), dissolved organic carbon (DOC), and DOM optical characteristics across an 8–63-year rice cultivation chronosequence in the western Jilin irrigation district of northeastern China. Soil samples were collected from five depth intervals (0–10, 10–20, 20–30, 30–40, and 40–50 cm) to assess physicochemical properties, ultraviolet–visible (UV-Vis) absorption, and three-dimensional excitation–emission matrix (EEM) fluorescence features. The results showed that long-term rice cultivation reduced soil salinity and alkalinity while significantly increasing SOC and DOC contents. The UV–Vis indices (SUVA254, SUVA260, SUVA300) increased with cultivation duration, whereas E2/E3, E4/E6, and SR decreased, indicating enhanced aromaticity, humification, and molecular weight of DOM. Fluorescence analysis revealed a gradual transformation from protein-like to humic-like components, supported by PARAFAC modeling that identified four dominant components (two humic-like and two protein-like). Correlation and PLS-SEM analyses demonstrated that cultivation duration positively influenced soil carbon accumulation and DOM humification, while soil depth exerted a negative effect. Soil carbon acted as the core mediator linking UV–Vis and EEM indices, explaining more than half of the observed variance. Overall, long-term rice cultivation promoted carbon stabilization and humic substance formation, improving soil quality and carbon sequestration potential in saline–alkaline paddy soils. These findings provide valuable insights into the spectroscopic mechanisms of DOM transformation and the sustainable management of carbon processes in temperate agroecosystems. Full article
(This article belongs to the Section Agroecology Innovation: Achieving System Resilience)
Show Figures

Figure 1

25 pages, 7223 KB  
Article
Depositional Environment as Main Controlling Factor for Low TOC Sediments in the Early Carboniferous Dawuba Formation of the Qiannan Depression
by Yuzuo Liu, Jiao Wang, Tuo Lin, Dongxiao Li, Jie Chen, Shengzhu Wang, Wanzhong Shi, Ren Wang, Xiaoming Zhang, Xiaofeng Xu and Kai Liu
Geosciences 2025, 15(12), 442; https://doi.org/10.3390/geosciences15120442 - 21 Nov 2025
Viewed by 427
Abstract
The evolution of the sedimentary environment in the Early Carboniferous Dawuba Formation of the Qiannan Depression significantly controlled the distribution of low-total organic carbon (TOC) sediments. In this study, the core samples were analyzed by thin section microscopy, field emission-scanning electron microscopy, pyrite [...] Read more.
The evolution of the sedimentary environment in the Early Carboniferous Dawuba Formation of the Qiannan Depression significantly controlled the distribution of low-total organic carbon (TOC) sediments. In this study, the core samples were analyzed by thin section microscopy, field emission-scanning electron microscopy, pyrite morphology, X-ray diffraction, and geochemical analysis (TOC, sulfur, organic petrography, and major and trace elements). The formation is vertically divided into two members from bottom to top: Member 1 (average TOC = 1.15%) and Member 2 (average TOC = 0.88%). Depositional environment parameters indicate that Member 1 was in a suboxic-oxic transition environment, with weak detrital influx, and moderate paleoproductivity (more developed algae). Member 2 evolved into a stable oxic environment, with significantly enhanced detrital influx and reduced paleoproductivity. The correlations between multiple geochemical proxies (paleoredox, paleoproductivity, and terrestrial detrital influx) and TOC content indicate that high productivity in Member 1 was the main driver of organic matter accumulation, but the suboxic-oxic environment limited preservation efficiency (1.00% < TOC < 2.00%). Member 2, deposited during sea-level fall, experienced long-term oxic conditions and low productivity due to shallower water. Nevertheless, the partial reduction in the exposure time of organic matter within the oxic water column-driven by rapid detrital accumulation-represents a critical mechanism favoring organic-poor sediments (TOC < 1.00%). In conclusion, the development of low-TOC sediments in the Dawuba Formation reflects a transition from a relatively deep to shallow water column, where the synergistic effects of redox conditions, paleoproductivity, and terrigenous detrital influx controlled the distribution and enrichment of organic matter. Full article
Show Figures

Figure 1

30 pages, 20231 KB  
Article
Effect of Sedimentary Environment on Mudrock Lithofacies and Organic Matter Enrichment in a Freshwater Lacustrine Basin: Insight from the Triassic Chang 7 Member in the Ordos Basin, China
by Meizhou Zhang, Xiaomin Zhu, Wenming Ji, Xingyue Lin and Lei Ye
Sustainability 2025, 17(22), 10248; https://doi.org/10.3390/su172210248 - 16 Nov 2025
Cited by 1 | Viewed by 538
Abstract
Gradually replacing fossil fuels with renewable energy constitutes a long-term strategy for achieving sustainable development. In the short term, it is necessary to explore unconventional oil and gas resources to support current economic sustainability and to secure essential time for the energy transition. [...] Read more.
Gradually replacing fossil fuels with renewable energy constitutes a long-term strategy for achieving sustainable development. In the short term, it is necessary to explore unconventional oil and gas resources to support current economic sustainability and to secure essential time for the energy transition. With the continuous growth in global energy demand, unconventional resources such as shale oil and shale gas have become important alternative energy sources. Lacustrine mudrock successions demonstrate significant potential for unconventional oil and gas resources. However, the unclear understanding of how paleoenvironmental evolution influences lithofacies and organic matter enrichment restricts the optimization of shale oil reservoirs and evaluation of shale oil resources, thereby hindering the progress of lacustrine shale oil exploration and development. The mudrocks in the Chang 7 Member of the Triassic Yanchang Formation, Ordos Basin, were deposited in a pro-delta to a deep lacustrine environment and are rich in shale oil resources. Through petrographic, sedimentological, sequence stratigraphic, and geochemical analyses, this study reveals how the evolution of the paleoenvironment controlled the development of mudrocks and the enrichment of organic matter, and establishes a sedimentary model for freshwater lacustrine systems. Six lithofacies have been identified within the mudrock interval of the Chang 7 Member. According to the T-R (transgressive–regressive) sequence model, the Chang 7 Member can be subdivided into three fourth-order sequences, termed Parasequence Set 1–3 (PPS1–3). Mudrock is predominantly developed in the fourth-order sequences PSS1 and PSS2. The PSS1 and the lower part of PSS2 consist of lithofacies 1–4, representing semi-deep to deep lacustrine deposits. The upper part of PSS2 develops lithofacies 5, representing shallow lacustrine to pro-delta deposits. Fluctuations of the lake level controlled the vertical stacking of lithofacies and the transition in depositional mechanisms. During lake-level rise, bottom currents shifted to suspension settling, whereas the opposite occurred during lake-level fall. The organic matter is derived from algae, and its enrichment is jointly controlled by productivity and the redox conditions. Volcanic–hydrothermal activity and a humid climate promoted high productivity in the water body. This high productivity promotes dyoxic conditions in the bottom water. Fourth-order relative lake-level fluctuations also influence organic matter enrichment. During lake-level rise, increased productivity coupled with reduced consumption and dilution favors organic matter enrichment. Conversely, organic matter accumulation is inhibited during lake-level fall. Ultimately, a depositional model for a freshwater lacustrine basin under a humid to semi-humid climatic background was established. This paper elucidates the influence of sedimentary environment on mudrock lithofacies and organic matter enrichment, providing a theoretical basis for optimizing shale oil reservoir selection and resource assessment, thereby promoting efficient exploration and low-carbon development of shale oil in lacustrine basins. Full article
Show Figures

Figure 1

17 pages, 6244 KB  
Article
A GWR Approach to Determine Factors Controlling Soil Se in Fujian Province
by Ying Wang, Junliang Cai, Jiufen Liu, Zhongfang Yang, Xiaofeng Zhao, Xiaohuang Liu, Ziqi Li and Jia Liu
Agronomy 2025, 15(11), 2560; https://doi.org/10.3390/agronomy15112560 - 5 Nov 2025
Viewed by 559
Abstract
Selenium (Se) is an essential trace element for human health, which is crucial for antioxidant defense, immune function, and disease prevention. Se deficiency affects around 40 countries worldwide, with China being one of the most severely impacted. While previous research has explored factors [...] Read more.
Selenium (Se) is an essential trace element for human health, which is crucial for antioxidant defense, immune function, and disease prevention. Se deficiency affects around 40 countries worldwide, with China being one of the most severely impacted. While previous research has explored factors influencing soil Se content, such as the parent material, climate, and soil properties, the dominant controlling mechanisms across different spatial scales remain a subject of debate, especially in the Se-rich coastal regions of southeastern China. This study focuses on Fujian Province, using hotspot analysis and geographically weighted regression (GWR) to systematically examine the spatial distribution of soil Se and its key influencing factors. Hotspot analysis reveals multi-scale patterns in Se distribution: at the 1 km scale, Se hotspots are closely linked to metal minerals like sulfide and coal deposits; at the 2 km scale, Se-rich carbonate rocks and carbonaceous mudstones dominate; and, at the 10 km scale, Se accumulation is mainly controlled by organic matter and low-temperature conditions in high-altitude areas (≥1200 m). GWR analysis further clarifies the nonlinear relationships between soil Se and key environmental factors: organic matter strongly correlates with Se in coastal regions but weakly in land, indicating that this relationship is modulated by factors such as weathering intensity and clay content. The mobility of Se increases in alkaline soils (pH > 8.5), thus reducing its content; meanwhile, in acidic soils (pH < 4.5), its fixation is more complex. In acidic, low-aluminum settings, iron oxides adsorb Se effectively, whereas organic matter becomes the main carrier under alkaline conditions. Precipitation affects Se via atmospheric deposition and leaching, temperature promotes sulfide substitution through deposition but also accelerates the breakdown of organic matter, and altitude influences Se through hydrothermal variations. This study provides the first comprehensive analysis of the multi-factor mechanisms controlling soil Se in the Se-rich coastal areas of southeastern China at a regional scale, offering a scientific basis for the sustainable use of Se-enriched land resources. Full article
(This article belongs to the Section Soil and Plant Nutrition)
Show Figures

Figure 1

Back to TopTop