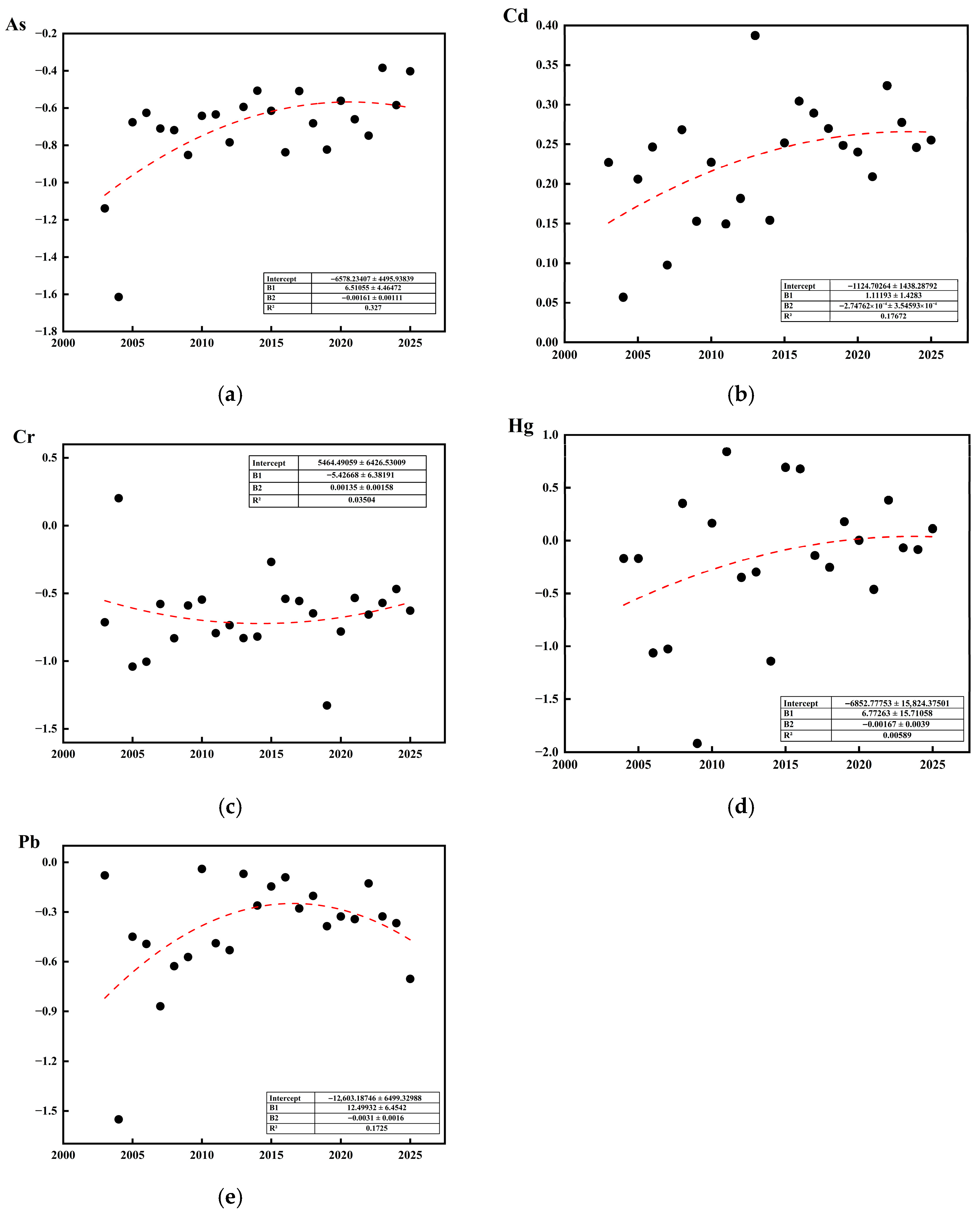
Spatiotemporal Patterns and Driving Mechanisms of Heavy Metal Accumulation in China’s Farmland Soils Based on Meta-Analysis and Machine Learning
Abstract
Share and Cite
Zhao, J.; Guo, R.; Guo, J.; Yu, Z.; Xu, J.; Zhang, X.; Yang, L. Spatiotemporal Patterns and Driving Mechanisms of Heavy Metal Accumulation in China’s Farmland Soils Based on Meta-Analysis and Machine Learning. Sustainability 2025, 17, 11318. https://doi.org/10.3390/su172411318
Zhao J, Guo R, Guo J, Yu Z, Xu J, Zhang X, Yang L. Spatiotemporal Patterns and Driving Mechanisms of Heavy Metal Accumulation in China’s Farmland Soils Based on Meta-Analysis and Machine Learning. Sustainability. 2025; 17(24):11318. https://doi.org/10.3390/su172411318
Chicago/Turabian StyleZhao, Jiamin, Rui Guo, Junkang Guo, Zihan Yu, Jingwen Xu, Xiaoyan Zhang, and Liying Yang. 2025. "Spatiotemporal Patterns and Driving Mechanisms of Heavy Metal Accumulation in China’s Farmland Soils Based on Meta-Analysis and Machine Learning" Sustainability 17, no. 24: 11318. https://doi.org/10.3390/su172411318
APA StyleZhao, J., Guo, R., Guo, J., Yu, Z., Xu, J., Zhang, X., & Yang, L. (2025). Spatiotemporal Patterns and Driving Mechanisms of Heavy Metal Accumulation in China’s Farmland Soils Based on Meta-Analysis and Machine Learning. Sustainability, 17(24), 11318. https://doi.org/10.3390/su172411318
