Sign in to use this feature.

Years

Between: -

Subjects

remove_circle_outline
remove_circle_outline
remove_circle_outline
remove_circle_outline
remove_circle_outline
remove_circle_outline
remove_circle_outline

Journals

Article Types

Countries / Regions

Search Results (36)

Search Parameters:
Keywords = nozzle layout

Order results
Result details
Results per page
Select all
Export citation of selected articles as:
19 pages, 4649 KB  
Article
Design and Performance Study of a Terrain-Adaptive Fixed Pipeline Pesticide Application System for Mountain Orchards
by Zhongyi Yu and Xiongkui He
Agronomy 2026, 16(8), 816; https://doi.org/10.3390/agronomy16080816 - 15 Apr 2026
Viewed by 254
Abstract
Mountain orchards in southern China are characterized by fragmented and complex terrain with a wide slope variation range (5~30°), which easily leads to uneven pesticide distribution and pesticide accumulation on gentle slopes. These issues give rise to core technical bottlenecks such as low [...] Read more.
Mountain orchards in southern China are characterized by fragmented and complex terrain with a wide slope variation range (5~30°), which easily leads to uneven pesticide distribution and pesticide accumulation on gentle slopes. These issues give rise to core technical bottlenecks such as low pesticide utilization rate, poor operational efficiency, and unclear atomization mechanism, hindering the optimization of pesticide application parameters, causing pesticide waste and environmental pollution, and restricting the sustainable development of the mountain fruit industry. To address this problem, this study designed a slope-classified pipeline layout and developed a high-efficiency fixed pipeline system for phytosanitary application in mountain orchards, featuring stable operation, low labor intensity, and easy intelligent transformation. Following the technical route of “theoretical design-atomization mechanism analysis-parameter optimization-laboratory verification-field application”, ruby nozzles with high wear resistance, uniform droplet distribution, and long service life were selected and optimized to meet the demand for long-term fixed pesticide application in mountain orchards. High-speed imaging technology was used to real-time capture the dynamic atomization process of nozzles, providing support for clarifying the atomization mechanism. Advanced methods such as fluorescence tracing were adopted to quantitatively evaluate key indicators including droplet deposition in canopies, and the system performance was verified through laboratory and field tests, laying a scientific foundation for its popularization and application. Field test results showed that the optimal spray pressure should not be less than 8 MPa. The XR9002 nozzle can generate fine droplets to achieve pesticide reduction while forming a stable hollow cone atomization flow. Fluorescence tracing analysis indicated that the droplet deposition on the adaxial leaf surface decreases with increasing altitude (presumably affected by wind speed), while the initial deposition on the abaxial leaf surface is low and shows no significant variation with altitude. Deposition on the adaxial leaf surface decreased with canopy height, while abaxial deposition was much lower (8.9–14.9%). This technology enables high-precision quantitative analysis of droplet deposition. The core innovations of this study are: clarifying the atomization mechanism of ruby high-pressure nozzles under pesticide application conditions in mountain orchards, constructing a slope-classified terrain-adaptive pipeline layout model, and establishing a closed-loop technical system of “atomization mechanism-pipeline layout-parameter optimization-deposition detection”. This study provides theoretical and technical support for green and precision pesticide application in mountain orchards, and has important academic value and broad application prospects for promoting the intelligent upgrading of the fruit industry in southern China. Full article
Show Figures

Figure 1

24 pages, 5776 KB  
Article
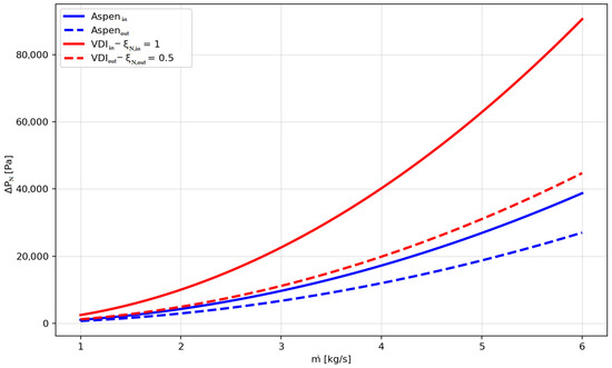
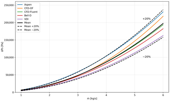
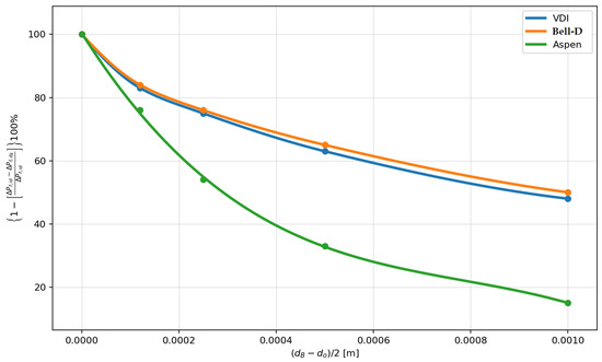
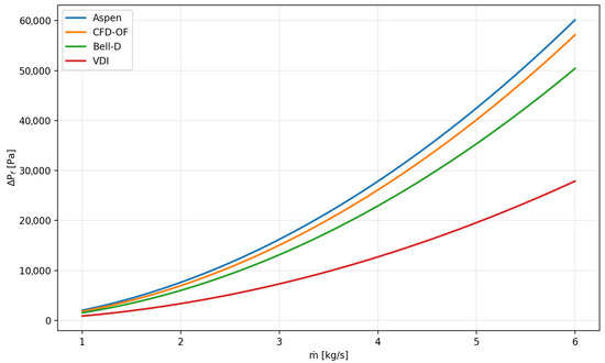
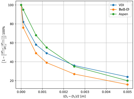
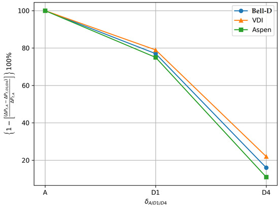
A Comparative Analysis of Calculation Methods for Flow Resistance in Shell-and-Tube Heat Exchanger with Segmental Baffles
by Janusz T. Cieśliński, Kamil Stasiak, Krzysztof Tesch, Jacek Barański and Paweł Dąbrowski
Energies 2026, 19(8), 1852; https://doi.org/10.3390/en19081852 - 9 Apr 2026
Viewed by 183
Abstract
This study presents the results of shell-side pressure drop calculations for a model shell-and-tube heat exchanger with an inner shell diameter of 200 mm and an effective tube length of 518 mm. The tube bundle consisted of 85 copper tubes (12/10 mm) arranged [...] Read more.
This study presents the results of shell-side pressure drop calculations for a model shell-and-tube heat exchanger with an inner shell diameter of 200 mm and an effective tube length of 518 mm. The tube bundle consisted of 85 copper tubes (12/10 mm) arranged in a staggered layout with a pitch ratio of 1.5. The exchanger contained nine segmental baffles with a 25% cut, spaced 48 mm apart. The mean temperature of the hot water flowing on the shell side was 69 °C, and the mass flow rate varied in the range of 1–6 kg/s. In particular, the effects of the tube bundle diameter, nozzle diameter, and sealing strips on the pressure drop were investigated. The calculations employed the extended Bell–Delaware method and the VDI method. The results were compared with calculations performed using Aspen EDR and with numerical simulations carried out in OpenFOAM and Ansys Fluent. The comparison shows that the difference in total pressure drop estimation can reach up to 40% depending on the method used. Full article
(This article belongs to the Section J: Thermal Management)
Show Figures

Figure 1

18 pages, 3864 KB  
Article
Enhancement of Near-Field Heat Transfer Performance of a Piezoelectric Synthetic Jet with Outlet Flaps
by Xincai Liu, Yi Hu, Jincheng Hu, Wenjuan Liu, Yuhan Wang and Qi Liu
Micromachines 2026, 17(4), 440; https://doi.org/10.3390/mi17040440 - 1 Apr 2026
Viewed by 296
Abstract
This study experimentally investigates a compact side-exhaust piezoelectric synthetic jet actuator equipped with outlet flaps and compares its performance with a flap-free baseline design. The flap concept is intended to mitigate hot-air recirculation during the suction phase and thereby improve near-field cooling in [...] Read more.
This study experimentally investigates a compact side-exhaust piezoelectric synthetic jet actuator equipped with outlet flaps and compares its performance with a flap-free baseline design. The flap concept is intended to mitigate hot-air recirculation during the suction phase and thereby improve near-field cooling in confined layouts. Experiments were conducted under a 350 Hz, 60 Vpp driving signal with an exit dimension of 20 mm × 1 mm. An initial screening campaign evaluated 24 flap configurations by varying flap length, thickness, and installation distance; the results showed that overly long flaps impose substantial blockage and momentum loss, and therefore the flow analysis was narrowed to a practical flap length of 29.5 mm. The final velocity characterization focuses on two representative flap thicknesses (0.1 mm and 0.5 mm) and three installation distances (5, 10, and 15 mm from the exit). For heat transfer evaluation, the nozzle-to-target spacing was varied from 5 to 50 mm in 5 mm increments. The modified actuator demonstrates improved near-field cooling performance, with the best case achieved using 0.1 mm flaps installed at 5 mm, yielding a maximum Nusselt number enhancement of 6.24% relative to the baseline at very small spacings. Furthermore, the thermal benefit becomes more pronounced at elevated heat source temperatures, with the strongest improvement observed around 60–80 °C (up to ~13% at 60 °C). These results provide practical design guidance for enhancing localized convective heat transfer in compact electronics cooling applications. Full article
Show Figures

Figure 1

23 pages, 8031 KB  
Article
Performance Evaluation of Ultra-High-Frequency Airflow Excitation Under Stator-Rotor Interaction in Aircraft Environmental Control Cooling Turbines
by Yuliang Lu and Shuyun Jiang
Aerospace 2026, 13(2), 145; https://doi.org/10.3390/aerospace13020145 - 3 Feb 2026
Viewed by 315
Abstract
Forced vibrations of turbine blades induced by airflow excitation can severely threaten the service life of radial flow turbines in aircraft environmental control systems (ECSs). However, existing studies on airflow excitation in ECS radial flow turbines using novel tubular nozzles are limited. To [...] Read more.
Forced vibrations of turbine blades induced by airflow excitation can severely threaten the service life of radial flow turbines in aircraft environmental control systems (ECSs). However, existing studies on airflow excitation in ECS radial flow turbines using novel tubular nozzles are limited. To address this research gap, the ultra-high-frequency airflow excitation characteristics and resonance behavior in an ECS radial flow turbines were studied using numerical simulations and experiments. The effects of radial clearance between the nozzle and the impeller, as well as the nozzle layout, on airflow excitation were investigated. The results indicate that, with the current tubular nozzle design, no shock waves were generated at the nozzle outlet. The rotor–stator interaction was the primary source of excitation in ECS radial flow turbines employing tubular nozzles, inducing significant first-order airflow excitation and leading to turbine fatigue failure. Increasing the radial clearance between the impeller and the nozzle can effectively reduce airflow excitation; however, this effect was nonlinear. With increasing radial clearance, the reduction in airflow excitation became less effective. Meanwhile, the airflow excitation was significantly influenced by the nozzle layout. The single-row nozzle layout exhibited pronounced first-order airflow excitation characteristics and the high-amplitude regions were distributed throughout the entire impeller flow passage. For the double-row staggered nozzle layout, the first-order airflow excitation was greatly diminished, reaching only 50% of the maximum amplitude observed in the single-row layout and the high-amplitude regions were confined to the impeller leading-edge area. This investigation is beneficial for the design of ECS radial flow turbines with novel tubular nozzles. Full article
(This article belongs to the Section Aeronautics)
Show Figures

Figure 1

19 pages, 3661 KB  
Article
Stirring Optimization of Consteel EAF Based on Multi-Phase Flow Water-Model Simulation
by Jiahui Jin, Bing Ni, Fangqin Shangguan, Xiuping Li, Xiaoping Lin, Ge Zhao, Tao Li and Fangbo Shao
Processes 2026, 14(3), 482; https://doi.org/10.3390/pr14030482 - 29 Jan 2026
Viewed by 339
Abstract
Optimizing stirring methods is crucial for enhancing the efficiency of the Electric Arc Furnace (EAF) production process. This study explores the mixing characteristics of a 150-ton Consteel EAF. The similarity ratio between the water model and the prototype is 1:8. The average mixing [...] Read more.
Optimizing stirring methods is crucial for enhancing the efficiency of the Electric Arc Furnace (EAF) production process. This study explores the mixing characteristics of a 150-ton Consteel EAF. The similarity ratio between the water model and the prototype is 1:8. The average mixing time (AMT) was employed as the criterion to evaluate various stirring methods, including the horizontal deflection angle of side-blowing, non-uniform bottom-blowing layouts, and their combinations. A new ice whose composition was a 35 wt% sugar solution was used to simulate the movement and bonding of scrap steel. The melting and temperature difference were compared in this way. The conclusions are as follows: (1) The side blowing lances with a certain angle of horizontal deflection are more conducive to the mixing of the molten pool. The preferred side-blowing lances’ horizontal deflection angle is 10°. (2) The preferred bottom blowing layout is EKO. The bottom blowing layout needs to pay attention to the offset between the bottom blowing nozzles. Bottom blowing nozzles cannot be too far or too close. Rational non-uniform layout of bottom blowing is better than uniform. (3) The preferred combined stirring layout is the EKN, combined with side blowing, with counterclockwise deflection of 10° in the horizontal direction. Gas injection of side blowing and bottom blowing exhibits complementary action zones, thereby achieving enhanced stirring uniformity in the molten bath. But it is necessary to consider the bottom-blowing and side-blowing positions to avoid the local kinetic energy loss caused by airflow offset. At the same time, the deflection angle of the side-blowing lances should be consistent with the direction of the circulation formed by the non-uniform bottom blowing. (4) Under the rational combined stirring method, the scrap steel moved faster, and the bonding phenomenon was significantly reduced. And the temperature difference decreased the fastest. In summary, the rational combined stirring method is the most preferred method for mixing. Full article
(This article belongs to the Special Issue Advanced Ladle Metallurgy and Secondary Refining)
Show Figures

Figure 1

19 pages, 4306 KB  
Article
Sparse Reconstruction of Pressure Field for Wedge Passive Fluidic Thrust Vectoring Nozzle
by Zi Huang, Yunsong Gu, Qiuhui Xu and Linkai Li
Sensors 2026, 26(3), 811; https://doi.org/10.3390/s26030811 - 26 Jan 2026
Viewed by 369
Abstract
Fluidic thrust vectoring control (FTVC) enables highly agile flight without the mechanical complexity of traditional vectoring nozzles. However, a robust onboard identification of the jet deflection state remains challenging when only limited measurements are available. This study proposes a sparse reconstruction of the [...] Read more.
Fluidic thrust vectoring control (FTVC) enables highly agile flight without the mechanical complexity of traditional vectoring nozzles. However, a robust onboard identification of the jet deflection state remains challenging when only limited measurements are available. This study proposes a sparse reconstruction of the pressure field method for a wedge passive FTVC nozzle and validates the approach experimentally on a low-speed jet platform. By combining the proper orthogonal decomposition (POD) algorithm with an l1-regularized compressed sensing method, a full Coanda wall pressure distribution is reconstructed from the sparse measurements. A genetic algorithm is then employed to optimize the wall pressure tap locations, identifying an optimal layout. With only four pressure taps, the local pressure coefficient errors were maintained within |ΔCp| < 0.02. In contrast, conventional Kriging interpolation requires increasing the sensor count to 13 to approach the reconstruction level of the proposed POD–compressed sensing method using 4 sensors, yet still exhibits a reduced fidelity in capturing key flow structure characteristics. Overall, the proposed approach provides an efficient and physically interpretable strategy for pressure field estimation, supporting lightweight, low-maintenance, and precise fluidic thrust vectoring control. Full article
(This article belongs to the Topic Advanced Engines Technologies)
Show Figures

Figure 1

25 pages, 5158 KB  
Article
Impact of Sensor Network Resolution on Methane Leak Characterization in Large Indoor Spaces for Green-Fuel Vessel Applications
by Wook Kwon, Dahye Choi, Soungwoo Park and Jinkyu Kim
Processes 2026, 14(1), 150; https://doi.org/10.3390/pr14010150 - 1 Jan 2026
Cited by 2 | Viewed by 640 | Correction
Abstract
A quantitative understanding of methane leakage has become essential for safety design as eco-friendly fuel systems expand in modern ship applications. To address this need, controlled methane-release experiments were conducted in a large indoor chamber (30 × 16 × 20 m) to evaluate [...] Read more.
A quantitative understanding of methane leakage has become essential for safety design as eco-friendly fuel systems expand in modern ship applications. To address this need, controlled methane-release experiments were conducted in a large indoor chamber (30 × 16 × 20 m) to evaluate how sensor-network resolution (1 m vs. 0.5 m spacing) influences dispersion measurement and 5% Lower Explosive Limit (LEL)-based risk assessment. Initial tests with a 1 m grid showed that most sensors detected only low concentrations except for near the release nozzle, demonstrating that coarse spatial resolution cannot capture the primary dispersion pathway or transient peaks. This limitation motivated the use of a 0.5 m high-density sensor network, which enabled clear identification of the dispersion centerline, concentration-gradient development, early detection behavior, and the evolution of diluted regions, particularly under buoyancy-driven plume rise. Experimental results were compared with CFD simulations using the RNG k–ε and k–ω GEKO turbulence models. Strong agreement was obtained in peak concentration, concentration-rise rates during the accumulation phase, and LEL-based dispersion distances. These findings confirm the suitability of the selected turbulence models for predicting methane behavior in large enclosed spaces and highlight the sensitivity of model–experiment agreement to measurement resolution. The results provide an experimentally grounded reference for sensor layout design and verification of gas-detection strategies in ship compartments, fuel-gas preparation rooms, and modular supply units. Overall, the study establishes a methodological framework that integrates high-resolution experiments with CFD modeling to support safer design and operation of methane-fueled vessels. Full article
(This article belongs to the Section Chemical Processes and Systems)
Show Figures

Figure 1

17 pages, 6691 KB  
Article
Continuous Detonation Combustor Operating on a Methane–Oxygen Mixture: Test Fires, Thrust Performance, and Thermal State
by Sergey M. Frolov, Vladislav S. Ivanov, Yurii V. Kozarenko and Igor O. Shamshin
Aerospace 2026, 13(1), 30; https://doi.org/10.3390/aerospace13010030 - 28 Dec 2025
Viewed by 574
Abstract
Test fires of a rotating detonation engine (RDE) annular combustor operating on a methane–oxygen mixture were conducted. Compared to the original RDE combustor previously tested, it was modified in terms of changing the layout of the water cooling system, the positions of ports [...] Read more.
Test fires of a rotating detonation engine (RDE) annular combustor operating on a methane–oxygen mixture were conducted. Compared to the original RDE combustor previously tested, it was modified in terms of changing the layout of the water cooling system, the positions of ports for sensors, and the shape of the supersonic nozzle. The stable operation process with a single detonation wave continuously rotating in the annular gap with the velocity of ~1900 m/s (rotation frequency of ~6 kHz) was obtained in the wide range of flow rates of propellant components. This is an important distinguishing feature of the present RDE combustor compared to the analogs known from the literature, which usually exhibit an increase in the number of simultaneously rotating detonation waves with an increase in the flow rates of propellant components. Compared to the original RDE combustor, the maximum duration of operation and the attained sea-level specific impulse were increased from 1 to 30 s and from 250 to 277 s, respectively. The thermal states of all heat-stressed elements of the combustor were obtained. The maximum heat fluxes are registered in the water cooling jackets of the central body and the combustor outer wall. Heat losses in the water cooling system are shown to increase with the average pressure in the combustor. The maximum value of the average heat flux over 20 MW/m2 is achieved on the combustor outer wall. The average heat flux into the combustor outer wall is approximately 20% higher than that into the central body. The average heat flux into the nozzle is several times lower than similar values for the combustor outer wall and central body. The total heat loss into the water-cooled walls of the combustor reach about 10% of the total thermal power of the combustor. Full article
(This article belongs to the Special Issue Advances in Detonative Propulsion (2nd Edition))
Show Figures

Figure 1

34 pages, 14098 KB  
Article
Fire Simulation and Optimization of Fire Control System in Vehicle Compartment of Ro-Ro Passenger Ship
by Yuechao Zhao, Wanzhou Chen, Jiachen Guo, Junzhong Bao, Yankun Wu, Dihao Ai and Qifei Wang
Fire 2025, 8(11), 443; https://doi.org/10.3390/fire8110443 - 14 Nov 2025
Cited by 1 | Viewed by 1534
Abstract
This paper constructs a numerical simulation model for the fire and fire-fighting system of an all-electric vehicle ro-ro passenger ship to study the influence of fire characteristics and fire-fighting system layout parameters on the fire-extinguishing system. The simulation results show that the fire [...] Read more.
This paper constructs a numerical simulation model for the fire and fire-fighting system of an all-electric vehicle ro-ro passenger ship to study the influence of fire characteristics and fire-fighting system layout parameters on the fire-extinguishing system. The simulation results show that the fire can spread to the upper deck within 52 s, and the smoke will fill the main deck within 57 s. The study found that the battery capacity has a super-linear relationship with the fire hazard, and the fire thermal spread radius of a 240 Ah battery can reach 3.5 m. The high-expansion foam system has a low applicability in quickly suppressing battery fires due to its response delay and limited cooling capacity for deep-seated fires; the fire-extinguishing efficiency of fine water mist has spatial dependence: 800 µm droplets achieve effective cooling in the core area of the fire source with stronger penetrating power, while 200 µm droplets show better environmental cooling ability in the surrounding area; at the same time, the large-angle nozzles with an angle of 80–120° have a wider coverage range and perform better in overall temperature control and smoke containment than small-angle nozzles. The study also verified the effectiveness of fire curtains in forming fire compartments through physical isolation, which can reduce the heat radiation range by approximately 3 m. This research provides an innovative solution for improving the fire safety level of transporting all-electric vehicles on ro-ro passenger ships. Full article
(This article belongs to the Special Issue Fire and Explosion Prevention in Maritime and Aviation Transportation)
Show Figures

Figure 1

17 pages, 10429 KB  
Article
Development of a Simulation Computational Model for Hole Detection and Generation of Robot Tool Movement for Fitting Mold Preparation Nozzles
by Martin Pollák and Karol Goryl
Machines 2025, 13(11), 1053; https://doi.org/10.3390/machines13111053 - 14 Nov 2025
Viewed by 721
Abstract
This article focuses on the design, development and optimization of a mechanical system with the aim of increasing the efficiency of the production process. The article describes the issues involved in the production of molds used for EPS (Expanded Polystyrene) and EPP (Expanded [...] Read more.
This article focuses on the design, development and optimization of a mechanical system with the aim of increasing the efficiency of the production process. The article describes the issues involved in the production of molds used for EPS (Expanded Polystyrene) and EPP (Expanded Polypropylene) materials, specifically the assembly of mold nozzles. Currently, the assembly of nozzles is performed manually, and the proposed solution aims to automate this process using software and robotics. The solution involves scanning the mounting holes and then modifying the mold model in Siemens NX, based on which a trajectory is generated in the virtual environment of RoboDK software. Communication between Siemens NX and RoboDK software is implemented via a Python algorithm using NXOpen and RoboDK API (Application Programming Interface) libraries. The proposed tool has flexible settings and is not dependent on a robotic arm or tool. The result is a prototype software tool for offline programming of automated assembly, which is adapted to different hole layouts, allowing its use in small-batch production in the future. The proposed tool has flexible settings and is not dependent on a specific robotic arm or tool. The solution was validated through comprehensive simulation testing in the RoboDK environment, demonstrating significant potential for time reduction and process optimization. Full article
(This article belongs to the Special Issue Advances in Computer-Aided Technology, 3rd Edition)
Show Figures

Figure 1

22 pages, 6518 KB  
Article
Impacts of Cooling Reduction Due to Spray Nozzle Clogging on Shell Formation in Continuous Casting of Steel
by Dianzhi Meng, Sai Bhuvanesh Nandipati, Armin K. Silaen, Yufeng Wang, Sunday Abraham, Dallas Brown and Chenn Zhou
Metals 2025, 15(10), 1107; https://doi.org/10.3390/met15101107 - 4 Oct 2025
Cited by 1 | Viewed by 1022
Abstract
In steel continuous casting, the secondary cooling zone is usually equipped with air-mist nozzles. Spray nozzle clogging is a common problem that reduces cooling efficiency and affects product quality. This study uses a 3D CFD model to investigate its impact on heat transfer. [...] Read more.
In steel continuous casting, the secondary cooling zone is usually equipped with air-mist nozzles. Spray nozzle clogging is a common problem that reduces cooling efficiency and affects product quality. This study uses a 3D CFD model to investigate its impact on heat transfer. The model includes the full-size caster geometry and actual nozzle layout to analyze the effect of clogging on the cooling process. The solidification process is modeled using the enthalpy-porosity method. Spray cooling is defined through empirical HTC correlations on the slab surface. The study focuses on how nozzle clogging changes the surface temperature, cooling rate, and metallurgical length (ML). Simulation results show that clogging raises the local surface temperature by about 100 K and increases the ML. More clogged nozzles lead to a longer ML. Clogging near the meniscus has a stronger impact, showing that early-stage cooling plays an important role in solidification. Even a single clogged nozzle can increase the ML by 3.2%, highlighting the significant effect of nozzle clogging on the casting process. Full article
(This article belongs to the Section Computation and Simulation on Metals)
Show Figures

Figure 1

15 pages, 2785 KB  
Article
Optimization of Magnetic Nozzle Configuration and Hybrid Propellant for Radio-Frequency Plasma Micro-Thrusters in Very Low Earth Orbit Applications
by Jinhao Liu, Longfei Ma, Jianwu He, Jinyue Geng, Li Duan, Qi Kang and Feng Xu
Aerospace 2025, 12(8), 712; https://doi.org/10.3390/aerospace12080712 - 11 Aug 2025
Cited by 1 | Viewed by 1387
Abstract
Very low Earth orbit (VLEO) satellites are confronted with the challenge of orbital decay caused by thin atmospheres, and the volume and power limitations of micro satellites further restrict the application of traditional electric propulsion systems. In response to the above requirements, this [...] Read more.
Very low Earth orbit (VLEO) satellites are confronted with the challenge of orbital decay caused by thin atmospheres, and the volume and power limitations of micro satellites further restrict the application of traditional electric propulsion systems. In response to the above requirements, this study proposes an innovative scheme of radio frequency plasma micro-thrusters based on magnetic nozzle acceleration technology. By optimizing the magnetic nozzle configuration through the system, the plasma confinement efficiency was significantly enhanced. Combined with the mixed working medium (5 sccm Xe + 10 sccm air), the thrust reached 1.7 mN at a power of 130 W. Experiments show that the configuration of the magnetic nozzle directly affects the plasma beam morphology and ionization efficiency, and a multi-magnet layout can form a stable trumpet-shaped plume. The air in the mixed working medium has a linear relationship with the thrust gain (60 μN/sccm), but xenon gas is required as a “seed” to maintain the discharge stability. The optimized magnetic nozzle enables the thruster to achieve both high thrust density (13.1 μN/W) and working medium adaptability at a power level of hundreds of watts. This research provides a low-cost and miniaturized propulsion solution for very low Earth orbit satellites. Its magnetic nozzle-hybrid propellant collaborative mechanism holds significant engineering significance for the development of air-aspirating electric propulsion technology. Full article
(This article belongs to the Section Astronautics & Space Science)
Show Figures

Figure 1

32 pages, 7179 KB  
Article
Effects of an Integrated Infrared Suppressor on the Infrared and Acoustic Characteristics of Helicopters
by Zongyao Yang, Xinqian Zheng and Jingzhou Zhang
Aerospace 2025, 12(8), 665; https://doi.org/10.3390/aerospace12080665 - 26 Jul 2025
Viewed by 1838
Abstract
To enhance the survivability of armed helicopters in high-threat environments, integrated infrared (IR) suppressors are increasingly adopted to reduce thermal signatures. However, such integration significantly alters the exhaust flow field, which may in turn affect both the infrared and acoustic characteristics of the [...] Read more.
To enhance the survivability of armed helicopters in high-threat environments, integrated infrared (IR) suppressors are increasingly adopted to reduce thermal signatures. However, such integration significantly alters the exhaust flow field, which may in turn affect both the infrared and acoustic characteristics of the helicopter. This study investigates the aerodynamic, infrared, and acoustic impacts of an integrated IR suppressor through the comparative analysis of two helicopter configurations: a conventional design and a design equipped with an integrated IR suppressor. Full-scale models are used to analyze flow field and IR radiation characteristics, while scaled models are employed for aeroacoustic simulations. The results show that although the integrated IR suppressor increases flow resistance and reduces entrainment performance within the exhaust mixing duct, it significantly improves the thermal dissipation efficiency of the exhaust plume. The infrared radiation analysis reveals that the integrated suppressor effectively reduces radiation intensity in both the 3~5 μm and 8~14 μm bands, especially under cruise conditions where the exhaust is more efficiently cooled by ambient airflow. Equivalent radiation temperatures calculated along principal axes confirm lower IR signatures for the integrated configuration. Preliminary acoustic analyses suggest that the slit-type nozzle and integrated suppressor layout may also offer potential benefits in jet noise reduction. Overall, the integrated IR suppressor provides a clear advantage in lowering the infrared observability of armed helicopters, with acceptable aerodynamic and acoustic trade-offs. These findings offer valuable guidance for the future development of low-observable helicopter platforms. Full article
Show Figures

Figure 1

22 pages, 4482 KB  
Article
RCS Special Analysis Method for Non-Cooperative Aircraft Based on Inverse Reconfiguration Coupled with Aerodynamic Optimization
by Guoxu Feng, Chuan Wei, Jie Huang, Juyi Long and Yang Bai
Aerospace 2025, 12(7), 573; https://doi.org/10.3390/aerospace12070573 - 24 Jun 2025
Viewed by 1225
Abstract
To address the challenge of evaluating a radar cross-section (RCS) for a non-cooperative aircraft with limited aerodynamic shape information, this paper presents a multi-source, data-driven inverse reconstruction method. This approach integrates data fusion techniques to facilitate an initial shape reconstruction, followed by an [...] Read more.
To address the challenge of evaluating a radar cross-section (RCS) for a non-cooperative aircraft with limited aerodynamic shape information, this paper presents a multi-source, data-driven inverse reconstruction method. This approach integrates data fusion techniques to facilitate an initial shape reconstruction, followed by an iterative optimization process that utilizes computational fluid dynamics (CFD) to enhance the shape, accounting for the aerodynamic performance. Additionally, an inverse deduction analysis is effectively employed to ascertain the characteristics of the power system, leading to the design of a double S-curved tail nozzle layout with stealth capabilities. An aerodynamic analysis demonstrates that at Mach 0.6, the lift-to-drag ratio peaks at 27.3 for the attack angle of 4°, after which it declines as the angle increases. At higher angles of attack, complex flow separation occurs and expands with the increasing angle. The electromagnetic simulation results indicate that under vertical polarization, the omnidirectional RCS reaches its peak as the incident angle is deflected downward by 10° and reduces with the growth of the angle, demonstrating angular robustness. Conversely, under horizontal polarization, the RCS is more sensitive to edge-induced rounding. The findings illustrate that this methodology enables accurate shape modeling for non-cooperative targets, thereby providing a fairly solid basis for stealth performance evaluation and the assessment of surprise effectiveness. Full article
(This article belongs to the Section Aeronautics)
Show Figures

Figure 1

27 pages, 14908 KB  
Article
Influence of Vertical/Spanwise Offsets on Aerodynamic Performance of Double Serpentine Nozzles
by Xuyong Zhang, Yong Shan and Jingzhou Zhang
Aerospace 2025, 12(3), 171; https://doi.org/10.3390/aerospace12030171 - 21 Feb 2025
Cited by 2 | Viewed by 1225
Abstract
Serpentine exhaust systems, known for their infrared and radar stealth capabilities, are becoming standard in flying wing aircraft. However, their design is constrained by the fuselage layout, causing potential offsets between the engine and nozzle exit axes. Developing a universal, high-performance serpentine nozzle [...] Read more.
Serpentine exhaust systems, known for their infrared and radar stealth capabilities, are becoming standard in flying wing aircraft. However, their design is constrained by the fuselage layout, causing potential offsets between the engine and nozzle exit axes. Developing a universal, high-performance serpentine nozzle design that accommodates various vertical and spanwise offsets (ΔZ, ΔY) presents a significant challenge. A series of ‘Preferred Nozzles’ and ‘Modest Nozzles’ were designed and numerically evaluated to assess the impact of these offsets on flow characteristics. Results show that the ‘Modest Nozzle’ exhibits a complex wave system and significant local losses in the constant-area extension section when subjected to ΔZ > 0.10D0 (D0 is the nozzle inlet diameter) or ΔY > 1.0D0, leading to a rapid thrust coefficient decrease. Vertical offsets significantly affect the Preferred Nozzle’s aerodynamic performance. When ΔZ = −0.50D0, a large vertical offset in the first ‘S’ section creates a recirculation zone, causing significant losses and reducing the thrust coefficient to around 0.96. When ΔZ ≥ −0.25D0, gas flow and wall shear stress distributions transition smoothly. When ΔZ ≥ 0.10D0, as the spanwise offset increases, the thrust coefficient experiences only a 0.17% loss and remains above 0.97. Full article
(This article belongs to the Section Aeronautics)
Show Figures

Figure 1

Back to TopTop