Impacts of Cooling Reduction Due to Spray Nozzle Clogging on Shell Formation in Continuous Casting of Steel
Abstract
1. Introduction
2. Methodology
2.1. Governing Equations
2.2. Computational Domain and Boundary Conditions
3. Results and Discussion
3.1. Baseline Results
3.1.1. Surface Temperature Distribution
3.1.2. Shell Thickness and Metallurgical Length
3.1.3. Cooling Rate Analysis
3.2. Effects of Nozzle Clogging
3.2.1. Effects on Surface Temperature
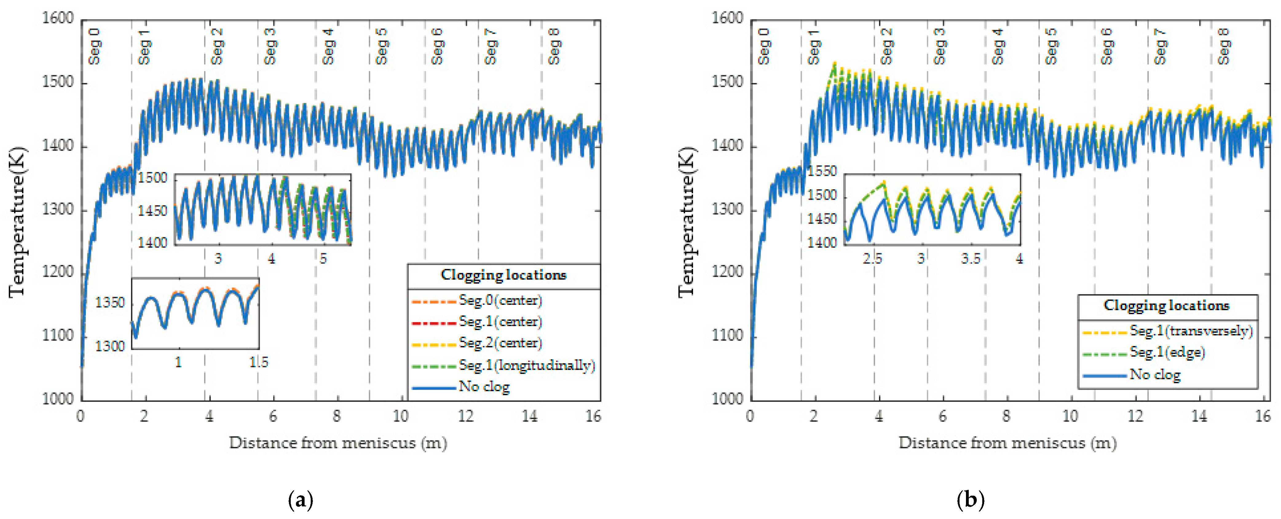
3.2.2. Impact on Cooling and Reheating Rates
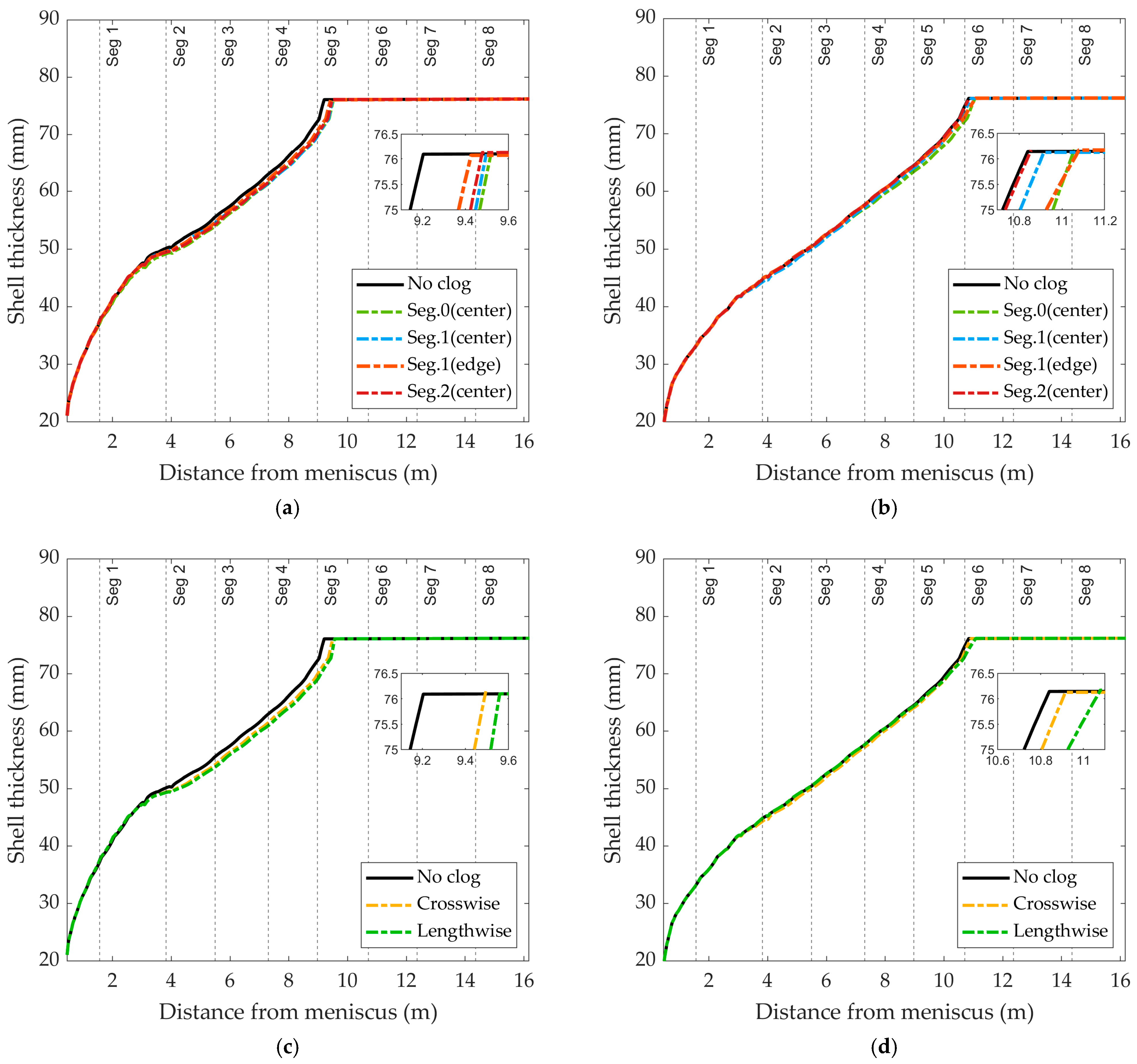
3.2.3. Effects on Shell Thickness and Metallurgical Length
4. Conclusions
Author Contributions
Funding
Data Availability Statement
Acknowledgments
Conflicts of Interest
References
- University of Michigan. Continuing Engineering Education. In Continuous Casting of Steel; University of Michigan, College of Engineering: Ann Arbor, MI, USA, 1978. [Google Scholar]
- Ma, J.; Zhi, X.; Jia, G. Applying of real-time heat transfer and solidification model on the dynamic control system of billet continuous casting. ISIJ Int. 2008, 48, 1722–1727. [Google Scholar] [CrossRef][Green Version]
- Louhenkilpi, S.; Mäkinen, M.; Vapalahti, S.; Räisänen, T.; Laine, J. 3D steady state and transient simulation tools for heat transfer and solidification in continuous casting. Mater. Sci. Eng. A 2005, 413, 135–138. [Google Scholar] [CrossRef]
- Xie, J.; Luo, G.; Liu, L.; Wang, C. Numerical Simulation Calculation of Heat Transfer Behavior During Continuous Casting of Q235B Steel Plate Billets. Spec. Steel 2020, 41, 10–14. [Google Scholar]
- Gao, X.; Li, J.; Yang, S.; Liu, C.; Zhang, Q.; Chen, H. Numerical Simulation of the Solidification Process of 2520mm Wide and Thick Plate Continuous Casting. In Proceedings of the 17th (2013) National Metallurgical Reaction Engineering Academic Conference, Conference Organizing Committee, Taiyuan, China, 1 August 2013; pp. 335–341. [Google Scholar]
- Thomas, B.G.; O’Malley, R.; Shi, T.; Meng, Y.; Creech, D.; Stone, D. Validation of fluid flow and solidification simulation of a continuous thin-slab caster. In Proceedings of Conference Held August; Cognitive Science Society: Philadelphia, PA, USA, 2000; Volume 20, p. 25. [Google Scholar]
- Hanao, M.; Kawamoto, M.; Yamanaka, A. Growth of solidified shell just below the meniscus in continuous casting mold. ISIJ Int. 2009, 49, 365–374. [Google Scholar] [CrossRef][Green Version]
- Zhen, X.; Yu, K.; Zhang, P.; Xu, L. Study on Solidification Process Simulation of Q355NE Extra Heavy Steel Slab. Wide Heavy 2024, 30, 1–7. [Google Scholar]
- Long, M.; Dong, Z.; Chen, D.; Liao, Q.; Ma, Y. Effect of uneven solidification on the quality of continuous casting slab. Int. J. Mater. Prod. Technol. 2013, 47, 216–232. [Google Scholar] [CrossRef]
- Sun, M.; Wang, Y.; Shen, H. Analysis and optimization of spray nozzles arrangement in slab casting by numerical simulation. J. Iron Steel Res. 2011, 4, 013. [Google Scholar]
- Jiang, M. Decreasing porosities in continuous casting thick slab by soft reduction technology. Metall. Mater. Trans. B 2021, 52, 2753–2759. [Google Scholar] [CrossRef]
- Safonov, D.S.; Logunova, O.S.; Chistiakov, D.V. Optimization of nozzle layout in continuous casting machine. Bull. South Ural State Univ. Ser. “Math. Model. Program. Comput. Softw.” 2016, 9, 114–122. [Google Scholar] [CrossRef]
- Han, Y.; Zhang, J.; Zou, L.; Zeng, F.; Guan, M.; Liu, Q. Effect of nozzle spray distance on the secondary cooling uniformity of continuous casting billet. Chin. J. Eng. 2020, 42, 739–746. [Google Scholar]
- Yao, C.; Wang, M.; Ni, Y.; Gong, J.; Liu, Q.; Zhang, M.; Xing, L.; Bao, Y. Numerical study on the effect of different spray characteristics of casting nozzles on W-shape solidification and segregation during continuous casting of slabs. Int. J. Heat Mass Transf. 2024, 218, 124803. [Google Scholar] [CrossRef]
- Bi, Y.; Chen, D.; Zhang, J.; Wang, S. Investigation on Nozzle Layout at Secondary Cooling Zone of Round Billet Continuous Casting. Mater. Sci. Forum 2012, 704, 1356–1362. [Google Scholar] [CrossRef]
- Qi, Y. Influence of secondary cooling nozzle shape and layout on quality of continuous casting slab. Teshugang 2004, 25, 55–57. [Google Scholar]
- Zhang, F.; Wang, X. Simulation of Uneven Cooling Along the Width of Continuous Cast Slab in Secondary Cooling Zone. Metals 2006, 9, 30–32+36. [Google Scholar] [CrossRef]
- Fan, H.; Long, M.; Yu, S.; Chen, D.; Liu, T.; Duan, H.; Chen, H. Uniform secondary cooling pattern for minimizing surface reheating of the strand during round bloom continuous casting. JOM 2018, 70, 237–242. [Google Scholar] [CrossRef]
- Guo, L.; Tian, Y.; Yao, M.; Shen, H. Temperature distribution and dynamic control of secondary cooling in slab continuous casting. Int. J. Miner. Metall. Mater. 2009, 16, 626–631. [Google Scholar]
- Patil, N.; Al Manasir, R.; Silaen, A.K.; Walla, N.; Zhou, C. Spray Overlap and Heat Transfer Coefficient Uniformity in the Continuous Casting. In Heat Transfer Summer Conference; American Society of Mechanical Engineers: New York, NY, USA, 2023; Volume 87165, p. V001T07A006. [Google Scholar]
- Ma, H. On Heat Transfer Mechanisms in Secondary Cooling of Continuous Casting of Steel Slab. Ph.D. Thesis, Purdue University, West Lafayette, IN, USA, 2021. [Google Scholar]
- Chen, Z.; Zhou, Y.; Zhou, D. Analysis and countermeasures of blockage in the secondary cooling water nozzle of CSP continuous casting machine. Metall. Power 2014, 3, 55–56+58. [Google Scholar] [CrossRef]
- Yang, Z. Causes Analysis of Secondary Cooling Water Nozzle Blockage of Continuous Casting and Comprehensive Solution. Metall. Power 2012, 1, 55–58. [Google Scholar] [CrossRef]
- Li, Y.; Yu, Q. Analysis on Cause to Secondary Cooling Nozzle Clogging and Countermeasures. Wisco Technol. 2008, 46, 41–45. [Google Scholar]
- Meng, D.; Nandipati, S.B.; Silaen, A.; Zhou, C. Investigating the Effects of Spray Nozzle Clogging in Continuous Casting of Steel. In ASME International Mechanical Engineering Congress and Exposition; American Society of Mechanical Engineers: New York, NY, USA, 2024; Volume 88674, p. V009T11A048. [Google Scholar]
- Guo, S. Analysis and countermeasures of blockage in the secondary cooling water nozzle of slab continuous casting machine. Sci. Techonology Vis. 2014, 20, 115+210. [Google Scholar] [CrossRef]
- Menter, F.R. Two-equation eddy-viscosity turbulence models for engineering applications. AIAA J. 1994, 32, 1598–1605. [Google Scholar] [CrossRef]
- Carman, P.C. Fluid flow through granular beds. Trans. Inst. Chem. Eng. Lond. 1937, 15, 150–156. [Google Scholar] [CrossRef]
- Resa, J.; Moore, M.; Zhou, X.; Ma, H.; Silaen, A.K.; Zhou, C.Q. Analysis of Solidification and Thermal-Mechanical Behaviors in Continuous Casting. In TMS 2020 149th Annual Meeting & Exhibition Supplemental Proceedings; Springer International Publishing: Cham, Switzerland, 2020; pp. 1175–1187. [Google Scholar]
- Zhou, X.; Moore, M.T.; Ma, H.; Silaen, A.K.; Zhou, C.Q. Adaptive mesh refinement of the solidification front in continuous caster simulations. In ASME International Mechanical Engineering Congress and Exposition; American Society of Mechanical Engineers: New York, NY, USA, 2019; Volume 59452, p. V008T09A052. [Google Scholar]
- Meng, Y.; Thomas, B.G. Heat-transfer and solidification model of continuous slab casting: CON1D. Metall. Mater. Trans. B 2003, 34, 685–705. [Google Scholar] [CrossRef]
- Mosayebidorcheh, S.; Gorji-Bandpy, M. Local and averaged-area analysis of steel slab heat transfer and phase change in continuous casting process. Appl. Therm. Eng. 2017, 118, 724–733. [Google Scholar] [CrossRef]
- Nozaki, T.; Matsuno, J.-I.; Murata, K.; Ooi, H.; Kodama, M. A secondary cooling pattern for preventing surface cracks of continuous casting slab. Trans. Iron Steel Inst. Jpn. 1978, 18, 330–338. [Google Scholar] [CrossRef]
- Long, M.; Chen, H.; Chen, D.; Yu, S.; Liang, B.; Duan, H. A combined hybrid 3-D/2-D model for flow and solidification prediction during slab continuous casting. Metals 2018, 8, 182. [Google Scholar] [CrossRef]
- Xia, G.; Schiefermüller, A. The influence of support rollers of continuous casting machines on heat transfer and on stress-strain of slabs in secondary cooling. Steel Res. Int. 2010, 81, 652–659. [Google Scholar] [CrossRef]
- Ma, H.; Silaen, A.; Zhou, C. Numerical development of heat transfer coefficient correlation for spray cooling in continuous casting. Front. Mater. 2020, 7, 577265. [Google Scholar] [CrossRef]
- Kulkarni, M.; Babu, A.S. Optimization of continuous casting using simulation. Mater. Manuf. Process. 2005, 20, 595–606. [Google Scholar] [CrossRef]

















| Parameter | Unit | Value |
|---|---|---|
| Specific heat | J/kg·K | 748.64 |
| Latent heat | kJ/kg | 255.78 |
| Solidus temperature | K | 1750 |
| Liquidus temperature | K | 1790 |
| Parameter | Unit | Value |
|---|---|---|
| Casting speed | m/min | 1.016 |
| Superheat | K | 32 |
| Case # | Clogging Location | ML Increase % |
|---|---|---|
| 1 | y = 0.9 m (Center of Seg. 0) | 3.22% |
| 2 | y = 2.7 m (Center of Seg. 1) | 3.14% |
| 3 | y = 4.7 m (Center of Seg. 2) | 3.00% |
| 4 | y = 2.7 m (Edge of Seg. 1) | 2.38% |
| 5 | y = 2.7 m (Center and edge of Seg. 1) | 3.14% |
Disclaimer/Publisher’s Note: The statements, opinions and data contained in all publications are solely those of the individual author(s) and contributor(s) and not of MDPI and/or the editor(s). MDPI and/or the editor(s) disclaim responsibility for any injury to people or property resulting from any ideas, methods, instructions or products referred to in the content. |
© 2025 by the authors. Licensee MDPI, Basel, Switzerland. This article is an open access article distributed under the terms and conditions of the Creative Commons Attribution (CC BY) license (https://creativecommons.org/licenses/by/4.0/).
Share and Cite
Meng, D.; Nandipati, S.B.; Silaen, A.K.; Wang, Y.; Abraham, S.; Brown, D.; Zhou, C. Impacts of Cooling Reduction Due to Spray Nozzle Clogging on Shell Formation in Continuous Casting of Steel. Metals 2025, 15, 1107. https://doi.org/10.3390/met15101107
Meng D, Nandipati SB, Silaen AK, Wang Y, Abraham S, Brown D, Zhou C. Impacts of Cooling Reduction Due to Spray Nozzle Clogging on Shell Formation in Continuous Casting of Steel. Metals. 2025; 15(10):1107. https://doi.org/10.3390/met15101107
Chicago/Turabian StyleMeng, Dianzhi, Sai Bhuvanesh Nandipati, Armin K. Silaen, Yufeng Wang, Sunday Abraham, Dallas Brown, and Chenn Zhou. 2025. "Impacts of Cooling Reduction Due to Spray Nozzle Clogging on Shell Formation in Continuous Casting of Steel" Metals 15, no. 10: 1107. https://doi.org/10.3390/met15101107
APA StyleMeng, D., Nandipati, S. B., Silaen, A. K., Wang, Y., Abraham, S., Brown, D., & Zhou, C. (2025). Impacts of Cooling Reduction Due to Spray Nozzle Clogging on Shell Formation in Continuous Casting of Steel. Metals, 15(10), 1107. https://doi.org/10.3390/met15101107

