Influence of Vertical/Spanwise Offsets on Aerodynamic Performance of Double Serpentine Nozzles
Abstract
1. Introduction
2. Research Methodology
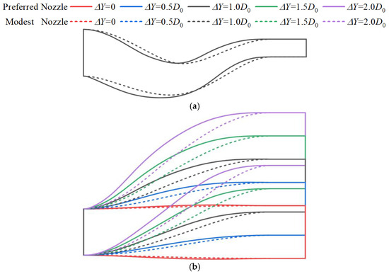
2.1. Geometry of Double Serpentine Nozzle
2.2. Numerical Method
2.3. Evaluation Index
3. Results and Discussion
3.1. Influence of ΔZ (ΔY = 0)
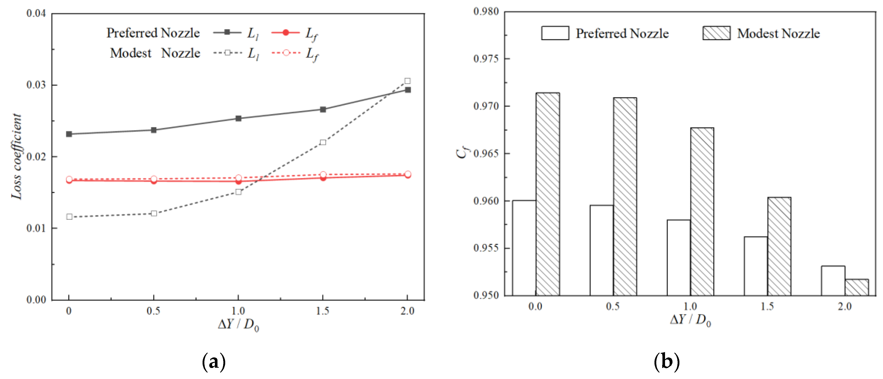
3.2. Influence of ΔY (ΔZ = −0.50D0)
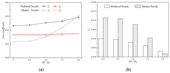
3.3. Influence of ΔY (ΔZ = 0.10D0)
3.4. Influence of ΔY (ΔZ = 1.00D0)
4. Conclusions
- (1)
- For the ‘Preferred Nozzle’, the vertical offset (ΔZ) has a significant impact on its aerodynamic performance. When ΔZ = −0.50D0, the recirculation zone induced by the high-curvature lower wall at the first ‘S’ section entrance becomes the most critical flow feature, leading to a consistently high local loss coefficient and an axial thrust coefficient below 0.96. However, when ΔZ ≥ 0.10D0, aside from the local high-Ma regions and high shear stress areas near the upper wall at the exit of the first ‘S’ section and the lower wall at the exit of the second ‘S’ section, the flow velocity and wall shear stress distribution inside the nozzle transition more uniformly, with the axial thrust coefficient remaining above 0.97.
- (2)
- For the ‘Preferred Nozzle’, the spanwise offset (ΔY) has little effect on its aerodynamic performance. Particularly when ΔZ ≥ 0.10D0, the local losses and friction losses remain nearly unchanged across different ΔY, with the axial thrust coefficient staying above 0.97, and the maximum difference being only around 0.17%. Therefore, when designing the serpentine exhaust system buried within the flying wing layout, the spanwise offset of the nozzle can be adjusted within an appropriate vertical offset to accommodate the internal space requirements for other equipment and components in the fuselage without significantly affecting the engine’s thrust performance.
- (3)
- For the ‘Modest Nozzle’, when ΔY = 0 and ΔZ ≤ 0.10D0, there are localized high-Ma regions near the upper wall at the exit of the first ‘S’ section and the lower wall at the exit of the second ‘S’ section. The local loss coefficient remains low, staying below the friction loss coefficient, while the nozzle’s thrust coefficient remains around 0.97. However, when ΔY = 0 and ΔZ ≥ 0.50D0, complex wave structures formed by the continuous reflection of expansion waves in the constant-area extension section lead to significant flow losses. This causes a sharp increase in the local loss coefficient, which exceeds the friction loss coefficient, resulting in a rapid decline in the nozzle’s thrust coefficient.
- (4)
- For the ‘Modest Nozzle’, the spanwise offset has a significant impact on its performance. The variation in the spanwise centerline rate results in increased curvature on the left wall at the exit of the second ‘S’ section, which induces localized high-Ma flow and generates complex wave structures within the constant-area extension section. This leads to a rapid increase in local flow losses. Additionally, a complex high shear stress distribution will be observed on the wall of the constant-area extension section, though it has minimal impact on the friction loss coefficient. The axial thrust coefficient decreases rapidly.
- (5)
- When designing a serpentine nozzle, the following recommendations should be followed: when ΔZ ≥ 0.10D0, a wide range of spanwise offsets (0 ≤ ΔY ≤ 2.0D0) does not significantly negatively impact the axial thrust performance; when −0.25D0 ≤ ΔZ < 0.10D0, a moderate spanwise offset also has minimal effect on the thrust coefficient, though larger spanwise offsets should be avoided; when ΔZ < −0.25D0, the nozzle thrust coefficient rapidly decreases to around 0.96, and the thrust coefficient decreases further as the spanwise offset increases, so this design should be completely discarded.
Author Contributions
Funding
Data Availability Statement
Conflicts of Interest
Abbreviations
| CFD | Computational Fluid Dynamic |
| UAV | Unmanned Aerial Vehicle |
| DA | Distribution of Area |
| DCV1 | Distribution of Centerline for the First ‘S’ section in the Vertical direction |
| DCV2 | Distribution of Centerline for the Second ‘S’ section in the Vertical direction |
| DCS | Distribution of Centerline in the Spanwise direction |
| Nomenclature | |
| A | Area (m2) |
| Cf | Axial thrust coefficient (dimensionless) |
| D | Diameter (m) |
| F | Axial thrust (N) |
| H | Height (m) |
| L | Axial length (m) |
| Mass flow rate (kg/s) | |
| P | Pressure (Pa) |
| T | Temperature (K) |
| W | Width (m) |
| x, y, z | Coordinates (m) |
| Greek letters | |
| ρ | Density (kg/m3) |
| ΔZ | Vertical offset (m) |
| Subscripts | |
| amb | Ambient |
| b | Bypass flow |
| c | Core flow, exhaust cone |
| e | Nozzle exit |
| i | Ideal state |
| m | Annular mixer |
| r | Residual |
| 0 | Entrance section, nozzle inlet |
| 1 | First ‘S’ section |
| 2 | Second ‘S’ section |
| 3 | Constant area extension section |
| Superscripts | |
| * | Total parameters |
References
- Zhou, Z.Y.; Huang, J. Mixed design of radar/infrared stealth for advanced fighter intake and exhaust system. Aerosp. Sci. Technol. 2021, 110, 106490. [Google Scholar] [CrossRef]
- Zhang, S.L.; Yang, Q.Z.; Wang, R.; Wang, X.F. Multi-Objective Bayesian Optimization Design of Elliptical Double Serpentine Nozzle. Aerospace 2024, 11, 48. [Google Scholar] [CrossRef]
- Yu, K.; Wang, Y.Y.; Zhang, W.; Shen, P.; Qian, M.D.; Liu, Y.F.; Zhang, K.H. A planarized Mo/ZnS multilayer film for infrared stealth at high temperature. Case Stud. Therm. Eng. 2023, 49, 103193. [Google Scholar] [CrossRef]
- Zhao, Z.J.; Deng, X.; Luo, Z.B.; Peng, W.Q.; Zhang, J.Y.; Liu, J.F. Flight control of a flying wing aircraft based on circulation control using synthetic jet actuators. Chin. J. Aeronaut. 2023, 36, 152–164. [Google Scholar] [CrossRef]
- Vaitheeswaran, S.M.; Gowthami, T.S.; Prasad, S.; Yathirajam, B. Monostatic radar cross section of flying wing delta planforms. Eng. Sci. Technol. Int. J. 2017, 20, 467–481. [Google Scholar] [CrossRef]
- Cheng, W.; Wang, Z.X.; Zhou, L.; Sun, X.L.; Shi, J.W. Investigation of infrared signature of serpentine nozzle for turbofan. J. Thermophys. Heat Transf. 2019, 33, 170–178. [Google Scholar] [CrossRef]
- Cheng, W.; Wang, Z.X.; Zhou, L.; Shi, J.W.; Sun, X.L. Infrared signature of serpentine nozzle with engine swirl. Aerosp. Sci. Technol. 2019, 86, 794–804. [Google Scholar] [CrossRef]
- Abdelmotalib, H.M.; Changwook, L.; Yechan, S.; Jeekeun, L. A Computational Study of Two-Dimensional Serpentine Nozzle Performance with Different Annular Mixer Configurations. Int. J. Mech. Sci. 2021, 208, 106690. [Google Scholar] [CrossRef]
- He, Y.B.; Yang, Q.Z.; Gao, X. Comprehensive optimization design of aerodynamic and electromagnetic scattering characteristics of serpentine nozzle. Chin. J. Aeronaut. 2021, 34, 118–128. [Google Scholar] [CrossRef]
- Seok, H.R.; Seong, J.J.; Rho, S.M. Effects of cross-sectional shape on the low observability of double serpentine nozzles. Aerosp. Sci. Technol. 2024, 155, 109593. [Google Scholar]
- Mahulikar, S.P.; Sonawane, H.R.; Rao, G.A. Infrared signature studies of aerospace vehicles. Prog. Aerosp. Sci. 2007, 43, 218–245. [Google Scholar] [CrossRef]
- Hui, Z.H.; Shi, J.W.; Zhou, L.; Wang, Z.X.; Liu, Y.Q. Experimental investigation of serpentine nozzles for turbofan. Aerosp. Sci. Technol. 2021, 117, 106892. [Google Scholar] [CrossRef]
- Crowe, D.S.; Martin, C.L. Hot streak characterization of high-performance double-serpentine exhaust nozzles at design conditions. J. Propuls. Power 2019, 35, 501–511. [Google Scholar] [CrossRef]
- Shan, Y.; Zhou, X.M.; Tan, X.M.; Zhang, J.Z.; Wu, Y.H. Parametric design method and performance analysis of double S-shaped nozzles. Int. J. Aerosp. Eng. 2019, 2019, 4694837. [Google Scholar] [CrossRef]
- Wei, X.; Shi, X.J.; Ji, H.H. Influence of geometric parameters on aerodynamic characteristics of serpentine convergent-divergent nozzle. Chin. J. Aeronaut. 2024, in press. [CrossRef]
- Rajkumar, P.; Sekar, T.C.; Kushari, A.; Mody, B.; Uthup, B. Flow characterization for a shallow single serpentine nozzle with aft deck. J. Propuls. Power 2017, 33, 1130–1139. [Google Scholar] [CrossRef]
- Meng, Y.B.; Shi, J.W.; Zhou, L.; Wang, Z.X. Numerical investigation on flow characteristics of multi-stream supersonic nozzle with serpentine configuration. Aerosp. Sci. Technol. 2024, 144, 108799. [Google Scholar] [CrossRef]
- Sun, X.L. Investigation on Design Method and Performance Estimation of Low Observable S-Shaped Nozzle. Ph.D. Dissertation, Northwestern Polytechnical University, Xi’an, China, 2018. [Google Scholar]
- Sun, X.L.; Wang, Z.X.; Zhou, L.; Liu, Z.W.; Shi, J.W. Influences of design parameters on a double serpentine convergent nozzle. J. Eng. Gas Turbines Power 2016, 138, 072301. [Google Scholar] [CrossRef]
- Sun, X.L.; Wang, Z.X.; Zhou, L.; Shi, J.W.; Cheng, W. Flow characteristics of double serpentine convergent nozzle with different inlet configuration. J. Eng. Gas Turbines Power 2018, 140, 082602. [Google Scholar]
- Sun, X.L.; Wang, Z.X.; Zhou, L.; Shi, J.W.; Liu, Z.W. Experimental and computational investigation of double serpentine nozzle. Proc. Inst. Mech. Eng. Part G J. Aerosp. Eng. 2014, 229, 2035–2050. [Google Scholar] [CrossRef]
- Sun, P.; Zhou, L.; Wang, Z.X.; Shi, J.W. Influences of geometric parameters on serpentine nozzles for turbofan. Aerosp. Sci. Technol. 2023, 136, 108224. [Google Scholar] [CrossRef]
- Zhang, X.Y.; Shan, Y.; Zhang, J.Z. Optimization and sensitivity analysis of double serpentine nozzles within confined layouts by response surface methodology. Therm. Sci. Eng. Prog. 2023, 43, 102002. [Google Scholar] [CrossRef]
- Meng, Y.B.; Shi, J.W.; Zhou, L.; Zhang, Y.; Wang, Z.X. Design method for multi-dimensional deflected serpentine nozzle with abnormal exit. Acta Aeronaut. Astronaut. Sin. 2024, 45, 128930. [Google Scholar]
- Zhang, X.Y.; Shan, Y.; Zhang, J.Z.; Wu, Z.C. Optimization for aerodynamic performance of double serpentine nozzles with spanwise offsets using Taguchi-based CFD analysis. Chin. J. Aeronaut. 2023, 36, 1–17. [Google Scholar] [CrossRef]
- Zhou, X.M. Aerodynamic and Infrared Radiation Characteristics of Low Observable Double S-Shaped Nozzles. Master’s Dissertation, Nanjing University of Aeronautics and Astronautics, Nanjing, China, 2018. [Google Scholar]
- Gao, X. Investigation on the Infrared Radiation and Radar Scattering Characteristics of Aircraft and Engine. Ph.D. Dissertation, Northwestern Polytechnical University, Xi’an, China, 2016. [Google Scholar]
- Lee, C.; Boedicker, C. Subsonic diffuser design and performance for advanced fighter aircraft. In Proceedings of the Aircraft Design Systems and Operations Meeting, Colorado Springs, CO, USA, 14–16 October 1985. [Google Scholar]
- Yan, P.P.; Gao, W.Q.; Meng, X.Y.; Wang, H.L.; Niu, Q.L.; Dong, S.K. A numerical study on the influence of multiple nozzles on the infrared radiation signatures of liquid rocket exhaust plumes. Case Stud. Therm. Eng. 2024, 61, 104835. [Google Scholar] [CrossRef]
- Pan, C.X.; Zhang, J.Z.; Shan, Y. Effects of exhaust temperature on helicopter infrared signature. Appl. Therm. Eng. 2013, 51, 529–538. [Google Scholar]
- Hui, Z.H.; Shi, J.W.; Lin, W.T.; Zhou, L.; Wang, Z.X.; Liu, Y.Q. Experimental investigation and numerical analysis on high-efficiency shock vectoring control serpentine nozzles. Chin. J. Aeronaut. 2024, 37, 296–324. [Google Scholar] [CrossRef]
- Ai, J.Q.; Zhou, L.; Yang, Q.Z. Serpentine Stealth Nozzle; National Defense Industry Press: Beijing, China, 2017; pp. 27–61. [Google Scholar]































| Dimensionless Parameter | Value |
|---|---|
| Dc/D0 | 0.31 |
| Dm/D0 | 0.72 |
| Lm/D0 | 0.23 |
| L0/D0 | 0.32 |
| L/D0 | 4.80 |
| L1/L2 | 1 |
| L3/L | 0.16 |
| Ae/A0 | 0.55 |
| We/He | 3 |
| ΔZ/D0 | −0.50~1.50 |
| ΔY/D0 | 0~2.0 |
| Nozzle Type | Distribution of Area (DA) | Distribution of Centerline | ||
|---|---|---|---|---|
| 1st ‘S’ Section in Vertical Direction (DCV1) | 2nd ‘S’ Section in Vertical Direction (DCV2) | Spanwise Direction (DCS) | ||
| Preferred Nozzle | #A1 | #L3 | #L3 | #L3 |
| Modest Nozzle | #A2 | #L2 | #L2 | #L2 |
| Undesirable Nozzle | #A3 | #L1 | #L1 | #L1 |
| Location | Boundary Type | Pressure (kPa) | Temperature (K) | Species of Gas | Ma |
|---|---|---|---|---|---|
| Core inlet | Pressure inlet | 67.9 | 736.7 | N2: 0.706, CO2: 0.209, H2O: 0.085 | |
| Bypass inlet | Pressure inlet | 69.5 | 311.6 | N2: 0.767, O2: 0.233 | |
| Outflow field | Pressure far-field | 22.7 | 216.8 | N2: 0.767, O2: 0.233 | 0.8 |
| Pressure outlet | 22.7 | 216.8 | N2: 0.767, O2: 0.233 |
Disclaimer/Publisher’s Note: The statements, opinions and data contained in all publications are solely those of the individual author(s) and contributor(s) and not of MDPI and/or the editor(s). MDPI and/or the editor(s) disclaim responsibility for any injury to people or property resulting from any ideas, methods, instructions or products referred to in the content. |
© 2025 by the authors. Licensee MDPI, Basel, Switzerland. This article is an open access article distributed under the terms and conditions of the Creative Commons Attribution (CC BY) license (https://creativecommons.org/licenses/by/4.0/).
Share and Cite
Zhang, X.; Shan, Y.; Zhang, J. Influence of Vertical/Spanwise Offsets on Aerodynamic Performance of Double Serpentine Nozzles. Aerospace 2025, 12, 171. https://doi.org/10.3390/aerospace12030171
Zhang X, Shan Y, Zhang J. Influence of Vertical/Spanwise Offsets on Aerodynamic Performance of Double Serpentine Nozzles. Aerospace. 2025; 12(3):171. https://doi.org/10.3390/aerospace12030171
Chicago/Turabian StyleZhang, Xuyong, Yong Shan, and Jingzhou Zhang. 2025. "Influence of Vertical/Spanwise Offsets on Aerodynamic Performance of Double Serpentine Nozzles" Aerospace 12, no. 3: 171. https://doi.org/10.3390/aerospace12030171
APA StyleZhang, X., Shan, Y., & Zhang, J. (2025). Influence of Vertical/Spanwise Offsets on Aerodynamic Performance of Double Serpentine Nozzles. Aerospace, 12(3), 171. https://doi.org/10.3390/aerospace12030171

