Next Article in Journal
Silica-Driven Bandgap Engineering in Cobalt Ferrite Nanoparticles for Efficient Removal of Mercapto Contaminants Under Sunlight Irradiation
Previous Article in Journal
Numerical Simulation of Mechanical Parameters of Oil Shale Rock in Minfeng Subsag
Previous Article in Special Issue
Incorporation of Control Parameters into a Kinetic Model for Decarburization During Basic Oxygen Furnace (BOF) Steelmaking
 
 
Font Type:
Arial Georgia Verdana
Font Size:
Aa Aa Aa
Line Spacing:
Column Width:
Background:
Article

Stirring Optimization of Consteel EAF Based on Multi-Phase Flow Water-Model Simulation

1
Metallurgical Technology Institute, Central Iron and Steel Research Institute, Beijing 100081, China
2
Steel Industry Green and Intelligent Manufacturing Technology Center, China Iron and Steel Research Institute Group, Beijing 100081, China
3
National Key Laboratory of Metallurgical Intelligent Manufacturing System, Beijing 100081, China
4
Material Digital R and D Center, China Iron and Steel Research Institute Group, Beijing 100081, China
*
Author to whom correspondence should be addressed.
Processes 2026, 14(3), 482; https://doi.org/10.3390/pr14030482
Submission received: 16 December 2025 / Revised: 4 January 2026 / Accepted: 6 January 2026 / Published: 29 January 2026
(This article belongs to the Special Issue Advanced Ladle Metallurgy and Secondary Refining)

Abstract

Optimizing stirring methods is crucial for enhancing the efficiency of the Electric Arc Furnace (EAF) production process. This study explores the mixing characteristics of a 150-ton Consteel EAF. The similarity ratio between the water model and the prototype is 1:8. The average mixing time (AMT) was employed as the criterion to evaluate various stirring methods, including the horizontal deflection angle of side-blowing, non-uniform bottom-blowing layouts, and their combinations. A new ice whose composition was a 35 wt% sugar solution was used to simulate the movement and bonding of scrap steel. The melting and temperature difference were compared in this way. The conclusions are as follows: (1) The side blowing lances with a certain angle of horizontal deflection are more conducive to the mixing of the molten pool. The preferred side-blowing lances’ horizontal deflection angle is 10°. (2) The preferred bottom blowing layout is EKO. The bottom blowing layout needs to pay attention to the offset between the bottom blowing nozzles. Bottom blowing nozzles cannot be too far or too close. Rational non-uniform layout of bottom blowing is better than uniform. (3) The preferred combined stirring layout is the EKN, combined with side blowing, with counterclockwise deflection of 10° in the horizontal direction. Gas injection of side blowing and bottom blowing exhibits complementary action zones, thereby achieving enhanced stirring uniformity in the molten bath. But it is necessary to consider the bottom-blowing and side-blowing positions to avoid the local kinetic energy loss caused by airflow offset. At the same time, the deflection angle of the side-blowing lances should be consistent with the direction of the circulation formed by the non-uniform bottom blowing. (4) Under the rational combined stirring method, the scrap steel moved faster, and the bonding phenomenon was significantly reduced. And the temperature difference decreased the fastest. In summary, the rational combined stirring method is the most preferred method for mixing.

1. Introduction

As an important foundational industry, the “iron and steel industry” is also a major source of global carbon emissions [1,2]. The production structure of the industry remains characterized by the coexistence of the “long process” (blast furnace–basic oxygen furnace) and the “short process” (Electric Arc Furnace, EAF). Compared with the “long process”, “short process” has gradually attracted more attention [3,4,5]. It is due to less investment, flexible production organization and less energy consumption and carbon emissions [4,6,7]. There are many kinds of EAFs. According to the feeding method, it can be divided into open-top EAF and horizontal continuous feeding EAF. Consteel EAF is a typical horizontal continuous feeding EAF capable of continuous preheating, continuous feeding and continuous smelting. Under an oxygen consumption of 35 m3/t, the smelting power consumption is below 330 kWh/t when charging cold scrap. With a 30% hot metal charge, this value drops to below 240 kWh/t. Concurrently, CO2 emissions per ton of crude steel range from 0.5 to 0.7 tons [8]. Although Consteel EAF has the advantage of low energy consumption, it also faces the challenge of insufficient stirring kinetic energy within the furnace.
There are many dead zones in the molten pool, including the feeding zone and the eccentric bottom tapping (EBT) zone. The presence of these dead zones leads to significant inhomogeneity in temperature and chemical composition throughout the EAF molten pool. The temperature difference between the top and bottom of the molten pool can reach 21~50 °C/m [9]. Consequently, production efficiency is reduced, and final product composition becomes inconsistent, ultimately hindering the efficient operation of the Consteel EAF process.
Metallurgical workers have conducted a lot of research on the above problems [10]. At present, the methods for increasing the stirring intensity of the molten pool include side blowing, bottom blowing, and combined stirring technology [11,12,13]. Ding [14] investigated the equipment features of 100-ton EAFs from PRAXAIR, BSE, and various other companies. A comparison of technical parameters and operational metrics revealed that employing a furnace wall oxygen lance optimizes oxygen supply and improves production efficiency. Zeng et al. [15] used computational fluid dynamics (CFD) to study how different deflection angles of the oxygen lance impact the molten pool. The results show that the flow velocity in the core area increases as the vertical angle of the oxygen lance decreases. Furthermore, as the deflection angle of the oxygen lance along the normal line increases, the proportion of the dead zones in the molten pool decreases. However, it is noteworthy that excessively small or large horizontal deflection angles can lead to increased erosion of the furnace lining. The layout of side-blowing lances under different EAF types is different. And their stirring effect is highly dependent on specific molten pool characteristics. Therefore, analysis must be tailored to the individual furnace design.
The benefits of bottom-blowing technology have been acknowledged in industrial practice [16]. Consequently, its application in EAF has been increasing to enhance overall process efficiency. For instance, by adding bottom-blowing layout, the consumption of metallurgy process in Xining Special Steel was reduced by 5.836 kg/t, with the decarburization rate increasing by 0.011% [17]. Wang et al. [18] reported the effect of the bottom blowing on a 90-ton EAF. The analysis indicates that the bottom-blowing system of the EAF can enhance stirring energy and improve the steel–slag reaction interface. It results in a more uniform composition and temperature of the molten steel, which creates optimal conditions for smelting. In work by Zhang et al. [19], it is indicated that the closer the bottom-blowing hole is to the EBT zone, the more effective the stirring effect becomes. Liu et al. [13] investigated the influence of varying bottom-blowing gas flow rates within the EBT zone on EAF smelting performance. The results show that increasing the bottom-blowing stirring intensity in the EBT zone is beneficial to the mixing of the molten pool. Additionally, some studies indicate that the non-uniform bottom-blowing layout can induce horizontal rotation motion in the molten pool, which shortens the mixing time [20]. The research discussed above primarily considers the impact of bottom-blowing layout and gas flow rate within the EBT zone on the mixing process. However, scrap steel is consistently added at the horizontal feeding area of the Consteel EAF. It has a dead zone that is absent in traditional open-cover electric furnaces [21]. Therefore, when designing a bottom-blowing system for the Consteel EAF, it is crucial to account for the melting behavior of scrap at this continuous feeding point.
Combined stirring methods have also been investigated. The results demonstrate that it can significantly enhance molten pool stirring and increase the decarburization rate. Li et al. [22] utilized numerical simulation to examine the average mixing time (AMT) and velocity distribution within the molten pool. Four configurations were compared: single side blowing, single bottom blowing, bottom blowing combined with side blowing, and bottom blowing combined with swirling side blowing. The flow velocities under the four conditions mentioned above were 0.007 m/s, 0.012 m/s, 0.150 m/s, and 0.280 m/s, respectively. It indicates that the average velocity of bottom blowing combined with swirl side blowing is 133.3% higher than that of bottom blowing alone. The above studies expound on the advantages of the combined stirring method in the mixing of molten pool. However, the influence of the dead zones in the EBT zone and the horizontal feeding is not considered. Furthermore, the interaction between the bottom blowing and the side blowing still needs to be explored.
For the Consteel EAF, the melting and bonding behaviors of scrap steel significantly influence the mixing dynamics within the molten pool. In water modeling studies, brine-based ice has been widely employed to simulate scrap melting [23,24,25]. However, a significant limitation of this approach is the absence of observable bonding between the ice blocks during experimentation. It is difficult to simulate the bonding phenomenon during the melting process of scrap steel. Therefore, developing an ice analog with a modified composition is essential to improve the fidelity of such experiments.
Although the aforementioned studies offer valuable insights for optimizing molten pool mixing, their conclusions are not directly applicable to the Consteel EAF. There are a few discussions regarding the side blowing, non-uniform bottom-blowing layout, and combined stirring mode of Consteel EAF, which require further investigation. This paper aims to explore the mixing behavior and preferred mixing methods of the Consteel EAF under different mixing techniques. With a 150-ton Consteel EAF as the prototype, a water model was constructed based on a similarity ratio of 1:8. The model was used to simulate both single and combined stirring processes. The average mixing time (AMT) served as the criterion for evaluating composition uniformity during mixing. Based on the simulations, the preferred methods were determined, including the optimal horizontal deflection angle for side-blowing lances, an effective bottom-blowing layout, and the most efficient combined stirring method for the prototype furnace. Subsequently, the mixing behavior of the three layouts was verified from melting behavior of scrap steel and temperature uniformity. This work provides a practical reference for optimizing Consteel EAF operations, aiming to shorten the smelting cycle, reduce power consumption, and improve molten steel uniformity.

2. Materials and Methods

2.1. Principles and Methods

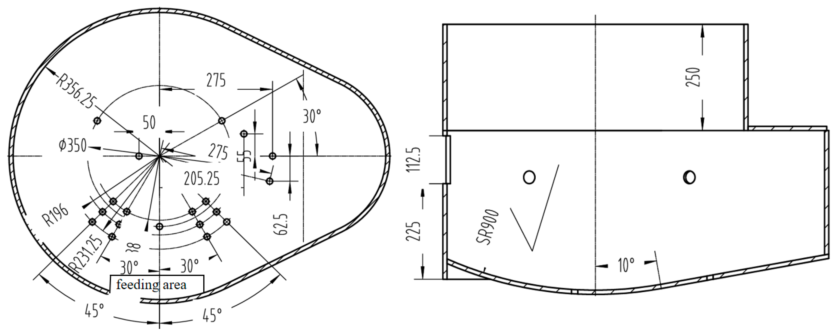
Based on similarity theory, the fluid was assumed to be incompressible, and a water modeling approach was adopted for this study [26]. The model size was calculated according to the similarity ratio of 1:8. Figure 1 shows the model parameters.
The gas flow rate for the experiments was determined based on the similarity criteria. When simulating gas–liquid two-phase flow in the EAF using a water model, the effects of gravity, viscous force, and inertial force must be considered. There are two similar criterion that can reflect the relationship between these forces. The Froude number (Fr) represents the ratio of inertial force to gravitational force, while the Reynolds number (Re) represents the ratio of inertial force to viscous force. Therefore, similarity of gas–liquid two-phase flow between the water model and the prototype EAF requires that the Reynolds and Froude numbers be equal, that is, R e w a t e r = R e s t e e l , F r w a t e r = F r s t e e l . In this study, the Reynolds numbers of the prototype and the model are both in the second self-modeling area, so even if the Reynolds numbers are not equal, flow similarity can still be achieved. Thus, it is only necessary to ensure that the Froude numbers are equal. Furthermore, for gas–liquid two-phase flow, the density difference between phases must be accounted for. By disregarding the time similarity ratio, the modified Froude(Fr′) number is adopted, which more accurately characterizes the motion of the gas phase. According to the aforementioned theory, and disregarding the chemical reactions involved in the smelting process as well as the effect of slag on the molten pool, the similarity ratio between the model and the prototype was selected as 1:8. The gas volume parameters were calculated according to the equal modified Froude number of the model and the prototype.
F r g , m = F r g , p
ρ g , m u m 2 ( ρ l , m ρ g , m ) g d m = ρ g , p u p 2 ( ρ l , p ρ g , p ) g d p
In the formula, ‘Fr’ represents the modified Froude number, ‘u’ represents the velocity, ‘ρ’ represents the density, the subscript ‘m’ represents the model, and the subscript ‘p’ represents the prototype. In the case of ignoring the time similarity ratio,
Q g , m = Q g , p λ 2.5 ρ g , p ( ρ l , m ρ g , m ) ρ g , m ( ρ l , p ρ g , p )
Q’ represents the gas flow and ‘λ’ represents the similarity ratio.
For the volume of side blowing, the oxygen consumption is approximately 25 Nm3/t of steel according to research on the production of Consteel EAF. The prototype for this experiment is a 150-ton Consteel EAF, which consumes 3750 m3 of oxygen during the smelting of the flat molten pool. Based on this, the side-blowing gas flow rate for the prototype was set at 800 Nm3/h. This prototype rate translates to a single-lance flow rate of 30 L/min in the model. So, the flow rate of five side-blowing lances in the water model experiment was 150 L/min.
For bottom blowing, a single-lance flow rate of 100 L/min was adopted for the prototype. Based on the similarity criteria, the corresponding single-lance flow rate for the water model was calculated to be 0.24 L/min. The correction process needs to consider the local resistance coefficient and the diameter ratio of the outlet to the inlet. Due to the localized loss resulting from the abrupt decrease in the diameter of the experimental bottom-blowing device, the input gas volume must be adjusted by the local resistance coefficient. According to fluid mechanics theory [27], the local resistance coefficient can be calculated to be 0.43. For the bottom-blowing pipe used in water model experiment, the ratio of the outlet diameter to the inlet diameter of the pipe is 1:7. The numerical value was then substituted into the Bernoulli equation to adjust the gas volume. The experimental bottom blowing input gas flow rate was calculated to be 15 L/min.
According to the experience of previous studies, this paper uses ice as a tracer to simulate scrap steel. Shukla et al. [28] derived that the melting process of scrap steel is equal to the phase variable (Ph) of ice in the water model by Buckingham Pi theorem. The expression of Ph is as follows:
Ph = ΔH/(CPS·ΔT)
ΔH is the latent heat of fusion (J/kg), CPS is the specific heat of solid [J/(kg·K)], and ΔT is the degree of superheat (K). Ph represents the thermodynamic characteristics of the phase transition process. The similarity of Ph indicates that the effect of fluid flow on heat transfer is analogous during the phase change (melting or solidification) of both scrap steel and ice. It provides theoretical support for using ice to simulate the melting process of scrap steel. However, conventional brine-based ice fails to simulate the bonding phenomenon that occurs between scrap pieces during melting. Therefore, a new composite of ice is needed to optimize the experiment. It has been reported that ice prepared from a sugar solution exhibits a pronounced bonding tendency during melting [29]. Based on this finding, a 35 wt% sugar solution was prepared and frozen into spherical with a diameter of 30 mm for the experiments. For the speed of addition, When the prototype feeding speed is 5 t/min, the feeding speed of the model can be calculated to be 1.39 kg/min. It is important to highlight that the mixing dynamics of the molten pool during a unit time of continuous feeding exhibit similarities. In this study, a total ice mass of 1 kg was used. This mass was fed into the model over a duration of 43 s. The number of blocks of ice added was about 150. In addition, the speed of ice movement was tracked by machine vision. After the establishment of the plane rectangular coordinate system, the displacement of the feature points in the continuous frame is tracked according to the characteristics of the ice. The average velocity of the ice was calculated over specified time intervals.

2.2. Materials and Steps

In this study, AMT is used as a standard to judge the uniformity of components in the mixing process. The experimental apparatus is illustrated in Figure 2. The primary components of the experimental setup included an EAF model, a large non-lubrication air compressor, a mixing time measurement system, a camera, a gas flowmeter, a side-blowing lance, a bottom-blowing nozzle, and a conductivity meter, among others. The specific equipment is shown in Table 1.
The experimental steps for measuring the mixing time were as follows: Firstly, water was injected into the water model until it reached the appropriate liquid level. Once the water injection was complete, the calibrated conductivity meter probe was secured. Then, the positions of the side-blowing lances and the bottom-blowing layout were adjusted. The blowing and stirring process was then activated. The locations of the model injection element, the conductivity meter, and the adding position of saturated salt water were illustrated in Figure 3. Once the flow field in the water model reached a steady state, 50 mL of saturated saltwater was injected at the specified location shown in Figure 3. The mixing time was then measured by monitoring the conductivity change with a conductivity meter. Each experimental condition was repeated at least five times to ensure the standard deviation of the measured mixing times was below 3 s. If the standard deviation from five replicates exceeded this threshold, additional replicates were performed until the criterion was met. For each condition, five mixing time measurements that satisfied the standard deviation criterion were averaged to determine the AMT. Then, experiments were carried out under the conditions of side blowing at different horizontal deflection angles, non-uniform bottom-blowing layout and combined stirring combined with side blowing and bottom blowing to obtain AMT. A longer AMT indicates poorer mixing efficiency, whereas a shorter AMT signifies better mixing performance.
To evaluate the mixing dynamics and the simulated scrap melting behavior for the three selected conditions, ice was added to the water model. The experimental steps were as follows: Initially, following the layout of the experimental apparatus, water was introduced to the designated liquid level, and the stirring gas was activated. Once the molten pool achieved stability, the temperatures at four designated measurement points were recorded, and the melting process was documented via video recording. Subsequently, ice was added to the feeding area. The temperatures at the four measurement points were recorded at one-minute intervals. The temperature differential within the molten pool was represented by the variations in temperature across the four points, which were documented a total of four times. Finally, the ice movement was tracked by machine vision to obtain the average speed of ice movement.

3. Results

3.1. Selection of Preferred Measuring Points

Prior to the formal experiments, the optimal position for the conductivity probe had to be determined. To ensure representative measurements, potential detection points were required to exhibit minimal signal fluctuation and to be as representative of the entire pool as possible. The following five points in Figure 4 were alternative points for conductivity detection. Each point was measured five times, and the AMT and standard deviation are shown in Table 2.
According to the experimental results, test points 1 and 2 near the feeding point reached the mixing in a short time, and test points 3 and 4 far away from the feeding point needed a long time to mix. This demonstrates that when points 1 and 2 showed stable conductivity readings, points 3 and 4 had not yet achieved homogeneity. Therefore, points 1 and 2 are not suitable for representing the overall mixing status of the molten pool. Because when the composition of 1 and 2 was stable, it was impossible to determine whether the entire molten pool reached a mixed state, and it was impossible to determine whether a product with uniform composition can be obtained. The AMT of test point 5 was significantly shorter than that of the other four points with the largest standard deviation. Consequently, this point was excluded from further consideration. The mixing time of the remaining test points 3 and 4 was similar, but the standard deviation of the test point 3 was larger, indicating that the test stability of the point is lower than that of the test point 4. In summary, this study selects test point 4 as the conductivity meter probe placement point.

3.2. Preferred Layout Based on Component Uniformity

3.2.1. Preferred Side-Blowing Deflection Angle

In the experiment, the five side-blowing lances were fixed at a vertical inclination angle of 45° and operated at a total gas flow rate of 150 L/min. The horizontal deflection angle of the lances was varied. They were tested at both counterclockwise and clockwise deflection angles of 0°, 5°, 10°, 15°, and 20°. The mixing time was subsequently measured to determine AMT. The resulting AMT values for different counterclockwise and clockwise deflection angles are presented in Figure 5 and Figure 6.
For both clockwise and counterclockwise deflection, the side-blowing angle of 10° yielded the shortest AMT. Compared to the baseline 0° deflection, the 10° configuration reduced the AMT by 29% for counterclockwise and 33% for clockwise deflection. Therefore, a side-blowing deflection angle of 10° was identified as the preferred setting.
The gas jet from a side-blowing lance exerts both a downward force and a horizontal force component parallel to the bath surface. At a 0° deflection angle, the horizontal component of the jet is directed toward the center of the molten pool. The component in the tangential direction of the wall is almost zero. Consequently, although significant stirring energy is imparted in the direction of the jet, a global horizontal circulation flow within the bath is not established. There is still a dead zone with weak stirring intensity between each side-blowing lance. When the side-blowing lances deflect at a certain angle, the jet surface becomes a fan-shaped area. It enhances the stirring of the center and causes the horizontal circulation of the molten pool. With the increase in the deflection angle of the side-blowing lances, the kinetic energy of the horizontal circulation increases. So, in the actual industrial production, under the same gas volume, too small and too large side-blowing angles are not conducive to the mixing of the molten pool. When the side-blowing lances are horizontally deflected by 10°, it takes into account the stirring in the center and the driving force of the horizontal circulation, which is the preferred side-blowing deflection angle.
However, under side blowing alone, the gas jets predominantly impact and stir only the upper region of the molten pool, whereas the lower part is still the dead zone. The overall mixing time of the experiment is long, and the improvement ability of the molten pool mixing is limited.

3.2.2. Preferred Bottom-Blowing Layout

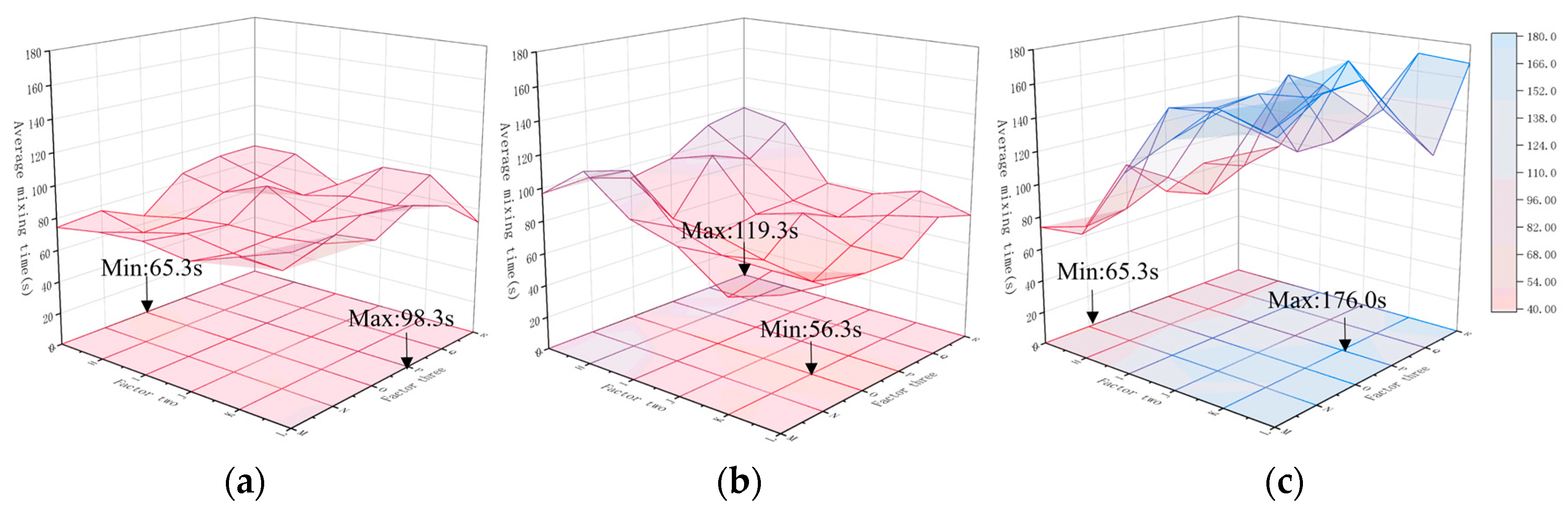
The EAF molten pool is not a symmetrical geometry, and the flow field formed by uniform bottom blowing is not evenly distributed inside the molten pool. It results in the formation of dead zones. In the Consteel EAF, two major dead zones are prevalent horizontally: the feeding zone and the (EBT) zone. Directly applying a uniform bottom-blowing layout (a typical ABC layout for open-top furnaces) to the Consteel EAF results in insufficient stirring intensity at the feeding point. The low intensity hinders the melting of scrap steel and the mixing of the molten pool. In contrast, a non-uniform bottom-blowing layout, with gas injection points concentrated near the feeding and EBT zones, can enhance the local stirring intensity. Based on the above theory, in this experiment, three points, D/E/F, were set in the EBT area as the bottom-blowing layout alternative points, which was the first experimental factor. Similarly, two sets of points in the feeding area—G through L and M through R—were defined as the second and third experimental factors, respectively. The full factorial combination of these three factors resulted in 108 experimental configurations, as illustrated in Figure 7. The experiment was conducted under a total gas flow rate of 45 L/min across three bottom-blowing nozzles. These experimental groups were subsequently compared to a uniform bottom-blowing configuration operating under the same gas flow conditions.
The experimental results showed that the AMT with ABC layout was 103.3 s. The AMT with non-uniform bottom-blowing layout is shown in Figure 8. The AMT of 36 groups of experiments based on the D point was 65.3~98.3 s, which was shorter than that of the ABC layout. AMT under the DGO layout was the shortest. Based on the 36 groups of experiments on the basis of the E point, 31 groups were shorter than the ABC layout. The AMT was 56.3~119.3 s, and the shortest was EKO. For the bottom-blowing experiments based on the F point, there were 12 groups in which AMT was shorter than the ABC layout. The AMT was 57.3~119.3 s, and the FGN layout had the shortest AMT. Figure 9 is the preferred layout in each group. EKO is the preferred layout of 108 groups. Compared with the uniform bottom blowing, the AMT of the preferred bottom-blowing layout EKO is reduced by 45%. Comparing the trends of the three figures, AMT changes show a trend of D < E < F while changing the position of a certain point. It means that the closer the area where the bottom-blowing point is located, the greater the change of AMT caused by the change of each point.
The bottom-blowing airflow contributes to the upward impact force, while the upward air column is rolled back downwards. The effect on the molten pool includes the impact force of the gas–liquid interface and the stirring force of the gas floating. For a single bottom blowing, the farther away from the center of the airflow, the higher the degree of kinetic energy attenuation. In the interaction of bottom blowing, the selection needs to pay attention to the distance between each bottom-blowing nozzle. If the nozzles are too close, the horizontal component offsets each other. Under the same gas volume, the stirring kinetic energy pool becomes smaller. Conversely, if the nozzles are too far apart, the attenuated horizontal momentum of each jet is insufficient for them to interact effectively. So, it cannot promote each other to form a circulation in the molten pool. So, in the actual industrial production, when arranging the bottom blowing, the position between the nozzles should be considered. At a rational distance, the driving forces generated by a non-uniform array of nozzles interact constructively to establish a directed circulation pattern within the molten pool. It is beneficial to promote stirring in the horizontal and vertical directions of the molten pool.
However, it still has a dead zone between the nozzles at the bottom of the molten pool. At the same time, the kinetic energy of the bottom-blowing layout is mainly concentrated in the lower part of the molten pool, and the stirring capacity of the upper part of the molten pool is limited, and the effect of enhancing the uniformity of the molten pool is still limited.

3.2.3. Preferred Combined Stirring Method

Side blowing primarily agitates the upper region of the molten pool, whereas bottom blowing is more effective in the lower region. Therefore, a combined mode integrating side and bottom blowing is expected to leverage their complementary actions, thereby enhancing overall stirring efficiency. Firstly, a key question is whether a consistently preferred side-blowing deflection angle exists when coupled with bottom blowing. To address this, the average mixing time (AMT) was measured for side blowing at counterclockwise deflection angles of 0°, 5°, 10°, 15°, and 20°, under both uniform and non-uniform bottom-blowing layouts. The experimental results of AMT with different bottom-blowing layouts and side-blowing angles are presented in Figure 10.
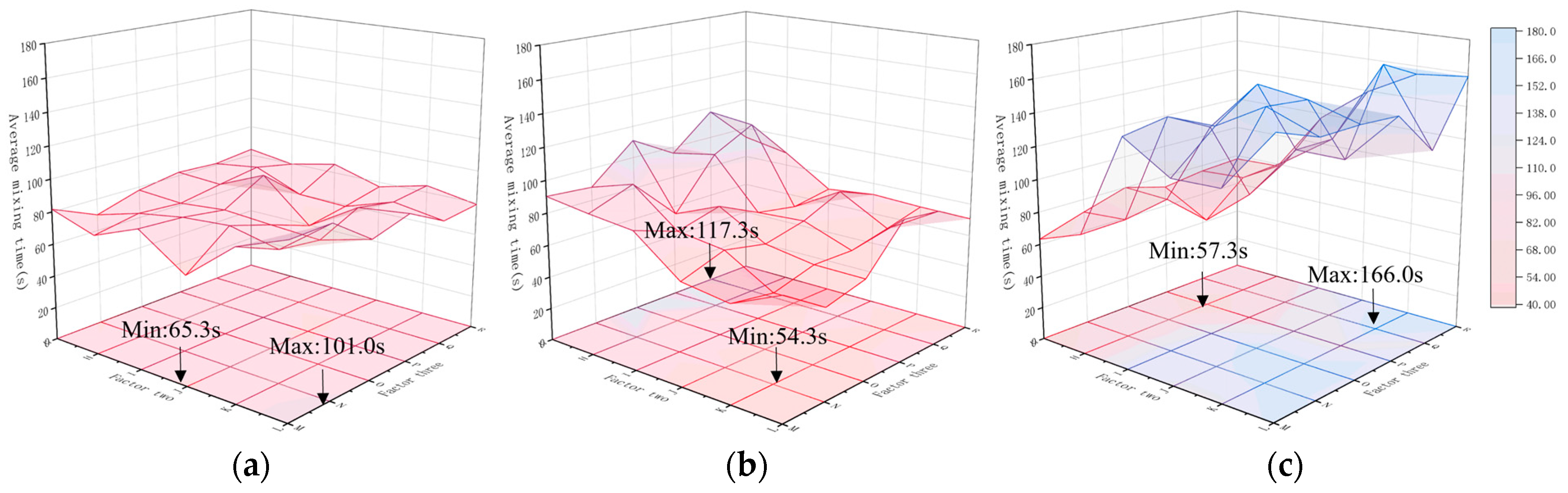
According to Figure 10, under different bottom-blowing layouts, a side-blowing deflection angle of 10° resulted in the shortest AMT. Therefore, in subsequent experiments, the side blow was chosen to be deflected by 10°. In the experiment aimed at optimizing the combined stirring method of bottom blowing combined with side blowing, the total flow rate of the five side-blowing lances was 150 L/min, while the total flow rate of the three bottom-blowing nozzles was 45 L/min.
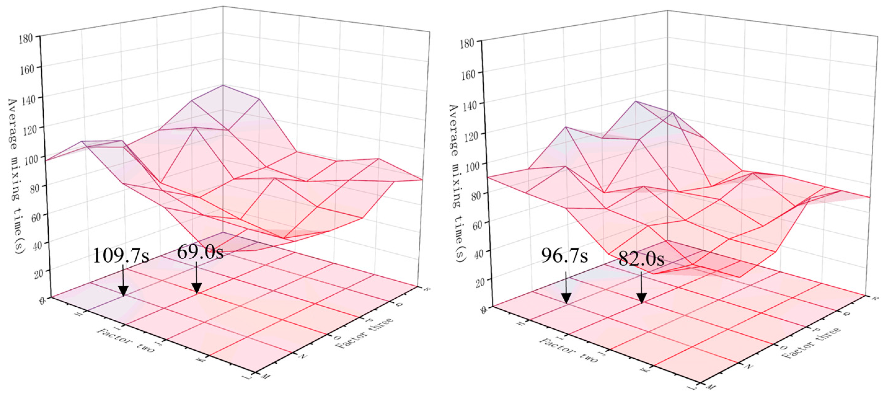
The results of AMT combined with counterclockwise 10° side blowing and 108 kinds of bottom-blowing layouts are shown in Figure 11. In the 36 groups of experiments based on the D point, the AMT of the DJM layout + 10° side-blowing combination was the shortest, of which the AMT was 65.3 s. Among the 36 experiment groups based on the E point, the shortest AMT was the EKN layout combined with 10° side blowing with 54.3 s. For the 36 bottom-blowing experiments based on point F, the combination of the FHP layout with 10° side blowing produces the shortest AMT of 57.3 s. Figure 12 shows the preferred layout in each group. In addition, the AMT with the ABC layout combined with 10° side blowing was 111 s. AMT under the EKN bottom-blowing layout with counterclockwise 10° side blowing was the shortest. Compared with the combined stirring method with uniform bottom blowing, the AMT of EKN combined with counterclockwise 10° side blowing is reduced by 51%.
Comparing the data under simple bottom blowing and combined stirring (Figure 13), it can be found that not all the AMT of bottom blowing will be shortened after adding side blowing. This is exemplified in the following analysis. In some groups, the mixing time becomes shorter after increasing side blowing, while for other groups, it becomes longer.
Bottom blowing combined with side blowing may promote stirring or hinder mixing. Two primary mechanisms can account for this impairment. In the vertical plane, the direction of side blowing and bottom blowing is opposite. Due to the improper selection of the position, the airflow in the vertical direction of the side-blowing airflow and the bottom-blowing airflow offset each other. In the horizontal plane, the direction of the component force in the horizontal direction of the side blowing is opposite to the circulation trend formed by the non-uniform bottom blowing. This opposition disrupts the intended overall circulation direction within the bath. Therefore, in the actual industrial production, attention should be paid to staggering a certain position or angle. This prevents local cancelation of the gas streams and intensifies stirring in dead zones. Additionally, the horizontal deflection of the side-blowing jet should be aligned with the circulation direction induced by the non-uniform bottom blowing to avoid counteracting the flow. In the case of avoiding the above two offsets, the AMT with non-uniform bottom blowing combined with side blowing is the shortest.
Furthermore, based on the preceding analysis, a supplementary experiment was conducted on combined stirring configurations combining bottom blowing with clockwise side blowing. The aim was to verify whether the specific combined stirring method—combining the EKN bottom-blowing layout with counterclockwise 10° side blowing—indeed represented the optimal configuration for the prototype Consteel EAF. Experimental results confirmed that no other configuration achieved a shorter AMT. Therefore, the combined stirring method integrating the EKN bottom-blowing layout with counterclockwise 10° side blowing was conclusively identified as the optimal method for the prototype Consteel EAF.

3.3. Melting Behavior of Scrap Steel and Temperature Uniformity of Scrap Steel Under Preferred Layout

The uniformity of EAF is mainly governed by two key aspects: composition uniformity and temperature uniformity. At the same time, the melting behavior of scrap steel also has an important influence on the mixing of molten pool. Section 3.2 explored the three stirring methods from the perspective of composition uniformity. Then, ice composed of a 35 wt% sugar solution was used to explore the perspective of flow field behavior of the scrap melting process and temperature uniformity. The experimental groups are as shown in Table 3.
Figure 14 shows the movement and melting of ice under different stirring modes.
From the perspective of ice adhesion and motion trajectory in the figure, under condition (a), ice melted slowly. And there was still a small amount of unmelted ice in the molten pool at 3 min after feeding. During melting, the ice exhibited a circulatory motion in the horizontal plane, consistent with the deflection direction of the side-blowing lances. There was no obvious movement in the vertical direction. On the whole, the ice was more concentrated and there was a clear bonding phenomenon.
Under condition (b), the melting rate was higher. Only a minimal amount of fine ice remained in the bath two minutes after feeding. The ice exhibited a discernible circulatory motion in the vertical direction. In the horizontal plane, a gradual counterclockwise circulation, induced by the non-uniform bottom blowing, was observed. Compared to the side-blowing condition, the ice distribution was more dispersed. Furthermore, the strategic placement of bottom-blowing point E resulted in significantly fewer ice pieces entering the EBT zone. Additionally, under the EKN bottom-blowing layout, the trajectories of the ice confirmed that the induced circulation was counterclockwise.
Under condition (c), ice melting was the most rapid, with almost complete melting achieved approximately one minute after feeding. Compared with condition (a), the melting time is shortened by 62%, while it is shortened by 17% compared with condition (b). During the melting process, the ice in the molten pool exhibited both a large horizontal and a small vertical circulation. The bonded ice was less, and the ice was more dispersed. Compared to the flow field behavior of under the three layouts, the side-blowing energy was mainly concentrated in the upper part of the molten pool. The ice was easy to sink in the center of the EAF to form a dead zone. The combined EKN bottom-blowing layout with counterclockwise 10° side blowing promoted circulatory flows in both vertical and horizontal directions. These flows acted collaboratively, particularly in enhancing horizontal circulation, which effectively minimized dead zones and reduced ice adhesion within the molten pool.
Figure 15 is melting time and velocity of ice.
According to the data in the diagram, under condition (c), the ice melting time is shorter, and the movement speed is the fastest. It is consistent with the previous experimental results.
The maximum temperature difference of the four points in the molten pool under the three optimal conditions obtained by the experiment is shown in Figure 16. The initial temperature of water was 16.1 °C.
As shown in the figure, the temperature difference peaked within the first minute following ice addition. At this time, the temperature difference was mainly caused by the uneven heat exchange between the added ice and each part of the molten pool. After adding ice for 1 min, the temperature difference decreased continuously. When the ice was added for two minutes, the temperature difference between (a) and (b) decreased less than that of (c). The temperature difference was 0.1 °C higher than that of (c). When the charging time was 3 min, the temperature difference in the case of (a) remained unchanged, while the cases of (b) and (c) continued to decrease. In the fourth minute, when ice was added under a single stirring condition, the temperature difference was only reduced by 40%. The effect on the uniformity of the molten pool temperature was limited. Under the condition (c), the temperature difference reached 0.1 °C, and the maximum temperature difference was reduced by 80%. The temperature difference decreased the fastest under the EKN bottom-blowing layout + counterclockwise 10° side-blowing layout, and the temperature difference of the molten pool was the smallest. Therefore, the heat exchange efficiency in the molten pool is higher under the combined stirring mode, which is more conducive to the uniformity of the molten pool temperature.
In summary, the combined stirring method can increase the heat exchange area and efficiency to speed up the melting of scrap steel. It is more conducive to the uniformity of the molten pool for industrial production.

4. Discussion

In this paper, a water model was made with a similarity ratio of 1:8 based on a 150-ton Consteel EAF. The physical simulation of side blowing at different angles, different bottom-blowing layouts and the combination of side blowing and bottom blowing was carried out. The experiments yielded key insights for optimizing molten pool stirring technology. From the perspective of side blowing, compared with the side blowing without deflection, the side blowing with a certain angle of deflection is beneficial to the formation of horizontal swirl in the molten pool. It can reduce the dead zones and increase the heat exchange efficiency under the same stirring intensity. The conclusion is applicable to different kinds of EAFs. Regarding bottom blowing, configuring gas injection points near the EBT zone and the feeding point effectively mitigates dead zones. It is of great significance to increase the dispersion of scrap melting in the Consteel EAF, and can be extended to other Consteel EAFs of different sizes. In the combined stirring method, side blowing and bottom blowing primarily agitate the upper and lower regions of the pool, respectively. Their rational combination can effectively diminish cold zones within the molten pool. Furthermore, the circulatory flows induced by side and bottom blowing must be aligned in direction. It can promote local stirring to form a large-scale circulation inside the molten pool, which is more conducive to homogenization. The specific optimal stirring layout for a given EAF must be further determined based on its individual furnace characteristics.
Physical simulation with water models is a simple and effective method to study the fluid behavior in the molten pool of EAFs. However, this method possesses certain inherent limitations. First, the method does not provide a complete and intuitive visualization of the local velocity and direction of fluid flow throughout the model. Therefore, even if the conclusion is representative, more methods are still needed to explore the mechanism. Second, the measurement systems employed inevitably introduce systematic errors. It cannot be ignored that in addition to side blowing and bottom blowing in the EAFs, there are other factors that affect the fluid behavior in the molten pool, such as arc, oxygen-enriched burner, etc. Considering the interaction of these factors is of great significance to the optimization of the molten pool of the EAFs [30].

5. Conclusions

In this paper, a 150-ton Consteel EAF was taken as the prototype, and the water model was made according to the similarity ratio of 1:8 between the model and the prototype. The mixing characteristics of side blowing, non-uniform bottom-blowing layout and bottom blowing combined with side-blowing stirring method under different horizontal deflection angles were explored. The conclusions are as follows:
(1)
The optimal mixing performance was achieved at a side-blowing horizontal deflection angle of 10°, irrespective of the clockwise or counterclockwise deflection direction.
(2)
The EKO bottom-blowing layout was identified as the preferred configuration for the prototype. The spacing between nozzles requires careful optimization, as both excessive proximity and excessive distance are detrimental. Compared to a uniform layout, a rationally non-uniform arrangement enhances mixing by effectively establishing a horizontal circulation within the molten pool.
(3)
Under the combined stirring mode of bottom blowing and side blowing, the preferred layout is the EKN bottom-blowing layout combined with counterclockwise 10° side blowing. When selecting combined stirring, it is necessary to consider the bottom-blowing and side-blowing positions to avoid the local kinetic energy loss caused by airflow offset. At the same time, the deflection angle of the side blowing should be consistent with the direction of the circulation formed by the non-uniform bottom blowing to avoid the offset in the direction of the overall circulation.
(4)
Then, a new composition of ice made of 35 wt% sugar solution is used to simulate the movement and bonding of scrap steel. The melting and temperature difference are compared in this way. According to the experimental results, with the rational combined stirring method, the scrap steel moves faster and the bonding phenomenon is reduced. At the same time, the temperature difference decreases faster. It is the most preferred method for mixing.

Author Contributions

Conceptualization, J.J. and B.N.; Data curation, J.J.; Formal analysis, J.J.; Investigation, J.J., B.N. and T.L.; Project administration, F.S. (Fangqin Shangguan); Resources, F.S. (Fangqin Shangguan) and X.L. (Xiuping Li); Software, G.Z.; Supervision, X.L. (Xiuping Li); Visualization, J.J. and F.S. (Fangbo Shao); Writing—original draft, J.J.; Writing—Review and editing, J.J., B.N. and X.L. (Xiaoping Lin) All authors have read and agreed to the published version of the manuscript.

Funding

China Baowu Iron and Steel Group Co., Ltd. is located in Shanghai, China. It is the world’s leading steel company focusing on a green, intelligent and innovative steel ecosystem. The China Baowu low-carbon metallurgy innovation fund was initiated and established by China Baowu Iron & Steel Group Co., Ltd. This fund focuses on green and low-carbon metallurgical process technology. By supporting fundamental and applied research, technological exploration, and major innovation practices, the initiative aims to facilitate technological progress and industry transformation. The funding number is BWLCF202201.

Data Availability Statement

Data are contained within the article.

Conflicts of Interest

Jiahui Jin is a postgraduate student. Bing Ni is employed by the Steel Industry Green and Intelligent Manufacturing Technology Center, China Iron and Steel Research Institute Group. The remaining authors declare that the research was conducted in the absence of any commercial or financial relationships that could be construed as a potential conflict of interest.

Abbreviations

The following abbreviations are used in this manuscript:
EAFElectric Arc Furnace
EBTEccentric Bottom Tapping
AMTAverage Mixing Time

References

  1. Ren, M.; Lu, P.; Liu, X.; Hossain, M.S.; Fang, Y.; Hanaoka, T.; O’Gallachoir, B.; Glynn, J.; Dai, H. Decarbonizing China’s iron and steel industry from the supply and demand sides for carbon neutrality. Appl. Energy 2021, 298, 117209. [Google Scholar] [CrossRef]
  2. Spreitzer, D.; Schenk, J. Reduction of Iron Oxides with Hydrogen—A Review. Steel Res. Int. 2019, 90, 1900108. [Google Scholar] [CrossRef]
  3. Chen, Z.P.; Tian, B.H.; Jiang, X.F.; Wu, W.H.; Wei, G.S.; Zhu, R. Progress and prospects of low-carbon high-efficiency andintelligent steelmaking technologies for electric arc furnaces. Iron Steel 2024, 59, 167–183. [Google Scholar] [CrossRef]
  4. Ramakgala, C.; Danha, G. A review of ironmaking by direct reduction processes: Quality requirements and sustainability. Procedia Manuf. 2019, 35, 242–245. [Google Scholar] [CrossRef]
  5. Kirschen, M.; Hay, T.; Echterhof, T. Process Improvements for Direct Reduced Iron Melting in the Electric Arc Furnace with Emphasis on Slag Operation. Processes 2021, 9, 402. [Google Scholar] [CrossRef]
  6. Dutta, S.K.; Chokshi, Y.B. Electric Furnace Processes, Basic Concepts of Iron and Steel Making; Springer: Singapore, 2020; pp. 401–496. [Google Scholar]
  7. Toulouevski, Y.N.; Zinurov, I.Y. Innovation in Electric Arc Furnace; Springer: Berlin/Heidelberg, Germany, 2010; p. 56. [Google Scholar]
  8. Fruehan, R.J. Oxygen versus EAF steelmaking in the 21st century. Trans. Indian Inst. Met. 2006, 5, 607–617. [Google Scholar]
  9. Wei, G.S.; Zhu, R.; Dong, K.; Ma, G.H.; Cheng, T. Research and analysis on the physical and chemical properties of molten bath with bottom-blowing in EAF steelmaking process. Metall. Mater. Trans. B 2016, 47, 3066. [Google Scholar] [CrossRef]
  10. Yang, L.; Hu, H.; Yang, Z.; Xue, B.; Guo, Y.; Wang, S. A review on bath fluid flow stirring technologies in EAF steelmaking. J. Iron Steel Res. Int. 2021, 28, 1341–1351. [Google Scholar] [CrossRef]
  11. He, C.L.; Zhu, R.; Dong, K.; Qiu, Y.Q.; Sun, K.M. Modeling of an impinging oxygen jet on molten bath surface in 150 t EAF. J. Iron Steel Res. Int. 2011, 18, 13–20. [Google Scholar] [CrossRef]
  12. Alam, M.; Irons, G.; Brooks, G.; Fontana, A. Inclined Jetting and Splashing in Electric Arc Furnace Steelmaking. Trans. Iron Steel Inst. Jpn. 2011, 51, 1439–1447. [Google Scholar] [CrossRef]
  13. Liu, F.H.; Zhu, R.; Dong, K.; Bao, X.; Fan, S.L. Simulation and application of bottom-blowing in electrical are furnace steelmaking process. ISIJ Int. 2015, 55, 2365–2373. [Google Scholar] [CrossRef]
  14. Ding, Y. Wall oxygen lance technology of 100t electric arc furnace. Spec. Steel 2010, 31, 18–19. [Google Scholar] [CrossRef]
  15. Zeng, Z.P.; Du, Q.X.; Wang, Y.; Ma, J. Optimization and simulation of stirring process for 100t electric arc furnace bath and its application. Spec. Steel 2023, 44, 45–52. [Google Scholar] [CrossRef]
  16. Hu, H.; Yang, L.; Guo, Y.; Chen, F.; Wang, S.; Zheng, F.; Li, B. Numerical Simulation of Bottom-Blowing Stirring in Different Smelting Stages of Electric Arc Furnace Steelmaking. Metals 2021, 11, 799. [Google Scholar] [CrossRef]
  17. Gu, Y.L.; Zhu, R.; Dong, K.; Bao, X.; Xie, G.J.; Liu, Z.Q.; Shou, D.; Ma, G.H. Optimization study on bottom blowing process in EAF. Steelmaking 2013, 29, 28–30. [Google Scholar]
  18. Wang, X.Y.; Zhu, R.; Li, G.F.; Li, X. Process effect analysis of bottom stirring system for 90t EAF. Ind. Heat. 2013, 42, 39–41. [Google Scholar] [CrossRef]
  19. Zhang, F.J.; Yang, S.F.; Liu, W.; Sun, H.; Jiao, A.T.; Li, J.S. Mixing and interface mass transfer characteristies of electric arefurnace melt pool with composite stirring process. Iron Steel 2024, 59, 85–98. [Google Scholar] [CrossRef]
  20. Lai, Z.Y.; Xie, Z.; Zhong, L.C. Influence of bottom tuyere configuration on bath stirring in a top and bottom combined blown converter. ISIJ Int. 2008, 48, 793–798. [Google Scholar] [CrossRef]
  21. Memoli, F.; Giavani, C.; Grasselli, A. Consteel EAF and conventional EAF: A comparison in maintenance practices. Stahl Und Eisen 2009, 129, 51. [Google Scholar]
  22. Li, Z.H.; Xie, Q.H.; Li, Y.; Ni, P. Effect of EAF co-injection on flow and mixing behavior of molten pool. Iron Steel 2025, 60, 77–86. [Google Scholar] [CrossRef]
  23. Yang, R.W.; Chen, C.; Lin, Y.C.; Zhao, Y.; Zhao, J.; Zhu, J.J.; Yang, S.S. Water model experiment on motion and melting of scarp in gas stirred reactors. Chin. J. Process Eng. 2022, 22, 954–962. [Google Scholar] [CrossRef]
  24. Pei, K.H.; Chen, C.; Zhao, Y.; Lin, Y.C.; Yang, R.W.; Zhu, J.J.; Wang, T.; Yang, K.; Lin, W.M. Water model experiment on the motion, melting, and mixing of scrap in bottom stirred reactors. Chin. J. Process Eng. 2022, 22, 1601–1612. [Google Scholar] [CrossRef]
  25. Xi, X.J.; Yang, S.F.; Li, J.S.; Wu, J.Q.; Zhao, M.J.; Ye, M.L. Physical model experiment and theoretical analysis of scrap melting process in electric arc furnace combined blowing system. Ironmak. Steelmak. 2020, 47, 748–756. [Google Scholar] [CrossRef]
  26. Shen, Q.Z.; Du, J.M. Metallurgical Transfer Theory; Metallurgical Industry Press: Beijing, China, 2006; p. 123. [Google Scholar]
  27. Zhang, Y.J.; Peng, J.; Zhu, G.W. Fluid Mechanics; Science Press: Beijing, China, 2019; pp. 83–87. [Google Scholar]
  28. Shukla, A.K.; Dmitry, R.; Volkova, O.; Scheller, P.R.; Deo, B. Cold model investigations of melting of ice in a gas-stirred vessel. Metall. Mater. Trans. B 2010, 42, 224–235. [Google Scholar] [CrossRef]
  29. Chenlo, F.; Moreira, R.; Pereira, G.; Ampudia, A. Viscosities of aqueous solutions of sucrose and sodium chloride of interest in osmotic dehydration processes. J. Food Eng. 2002, 54, 347–352. [Google Scholar] [CrossRef]
  30. Conejo, A.N.; Yan, Z. Electric Arc Furnace Stirring: A Review. Steel Res. Int. 2023, 94, 2200864. [Google Scholar] [CrossRef]
Figure 1. Model parameters.
Figure 1. Model parameters.
Processes 14 00482 g001
Figure 2. Water model experiment apparatus system.
Figure 2. Water model experiment apparatus system.
Processes 14 00482 g002
Figure 3. Water model experiment layout diagram.
Figure 3. Water model experiment layout diagram.
Processes 14 00482 g003
Figure 4. The schematic diagram of test point position.
Figure 4. The schematic diagram of test point position.
Processes 14 00482 g004
Figure 5. The AMT of side blowing counterclockwise deflection at different angles.
Figure 5. The AMT of side blowing counterclockwise deflection at different angles.
Processes 14 00482 g005
Figure 6. The AMT of side blowing clockwise deflection at different angles.
Figure 6. The AMT of side blowing clockwise deflection at different angles.
Processes 14 00482 g006
Figure 7. Grouping of experiments.
Figure 7. Grouping of experiments.
Processes 14 00482 g007
Figure 8. The AMT of bottom blowing. (a) AMT of bottom blowing based on D; (b) AMT of bottom blowing based on E; (c) AMT of bottom blowing based on F.
Figure 8. The AMT of bottom blowing. (a) AMT of bottom blowing based on D; (b) AMT of bottom blowing based on E; (c) AMT of bottom blowing based on F.
Processes 14 00482 g008
Figure 9. Preferred layout in each group. (a) Preferred bottom-blowing layout based on D; (b) Preferred bottom-blowing layout based on E; (c) Preferred bottom-blowing layout based on F.
Figure 9. Preferred layout in each group. (a) Preferred bottom-blowing layout based on D; (b) Preferred bottom-blowing layout based on E; (c) Preferred bottom-blowing layout based on F.
Processes 14 00482 g009
Figure 10. The AMT of different bottom-blowing layouts combined with different side-blowing angles.
Figure 10. The AMT of different bottom-blowing layouts combined with different side-blowing angles.
Processes 14 00482 g010
Figure 11. The AMT of combined blowing. (a) AMT of combined blowing based on D; (b) AMT of combined blowing based on E; (c) AMT of combined blowing based on F.
Figure 11. The AMT of combined blowing. (a) AMT of combined blowing based on D; (b) AMT of combined blowing based on E; (c) AMT of combined blowing based on F.
Processes 14 00482 g011
Figure 12. Preferred layout in each group. (a) Preferred combined-blowing layout based on D; (b) Preferred combined-blowing layout based on E; (c) Preferred combined-blowing layout based on F.
Figure 12. Preferred layout in each group. (a) Preferred combined-blowing layout based on D; (b) Preferred combined-blowing layout based on E; (c) Preferred combined-blowing layout based on F.
Processes 14 00482 g012
Figure 13. The AMT of bottom blowing and combined blowing of E.
Figure 13. The AMT of bottom blowing and combined blowing of E.
Processes 14 00482 g013
Figure 14. Ice simulates the melting behavior of molten pool. (a) Melting behavior under condition (a); (b) Melting behavior under condition (b); (c) Melting behavior under condition (c).
Figure 14. Ice simulates the melting behavior of molten pool. (a) Melting behavior under condition (a); (b) Melting behavior under condition (b); (c) Melting behavior under condition (c).
Processes 14 00482 g014
Figure 15. Melting time and velocity of ice.
Figure 15. Melting time and velocity of ice.
Processes 14 00482 g015
Figure 16. The temperature difference of molten pool under different stirring methods.
Figure 16. The temperature difference of molten pool under different stirring methods.
Processes 14 00482 g016
Table 1. Experimental equipment and drug list.
Table 1. Experimental equipment and drug list.
Experimental Equipment/DrugsTypeProducer
large non-lubrication air compressor3LE-4.5/2.5Nanjing compressor Co., Ltd., Nanjing, China
gasholder05259Beijing Boiler Factory Container Manufacturing Branch, Beijing, China
vortex pumpNx090451439Zhejiang Leo Co., Ltd., Zhejiang, China
conductivity standard solutionconductivity = 1413 µs/cm (25 °C)Tianjin Huasheng Chemical Reagent Co., Ltd., Tianjin, China
beakers250 mLBOMEX, Beijing, China
Meilen electronic balanceMTS5000D (d = 0.1 g)Shenzhen Mobil electronics Co., Ltd., Shenzhen, China
conductivity meterSIN-TDS210 (K = 1.07)Hangzhou Joint Measurement Automation Technology Co., Ltd., Hangzhou, China
high-precision red water thermometer−30–50 °C (d = 0.1)Lu Yueting, Suqian, China
Table 2. AMT and standard deviation of 5 test points.
Table 2. AMT and standard deviation of 5 test points.
Test PointAMT(s)Standard Deviation(s)
1343.39
2443.53
3483.24
4471.64
5204.3
Table 3. Experiment groups.
Table 3. Experiment groups.
GroupLayoutVolume (L/min)
Side BlowingBottom Blowing
(a)Preferred side blowing1500
(b)Preferred bottom blowing045
(c)Preferred combined blowing15045
Disclaimer/Publisher’s Note: The statements, opinions and data contained in all publications are solely those of the individual author(s) and contributor(s) and not of MDPI and/or the editor(s). MDPI and/or the editor(s) disclaim responsibility for any injury to people or property resulting from any ideas, methods, instructions or products referred to in the content.

Share and Cite

MDPI and ACS Style

Jin, J.; Ni, B.; Shangguan, F.; Li, X.; Lin, X.; Zhao, G.; Li, T.; Shao, F. Stirring Optimization of Consteel EAF Based on Multi-Phase Flow Water-Model Simulation. Processes 2026, 14, 482. https://doi.org/10.3390/pr14030482

AMA Style

Jin J, Ni B, Shangguan F, Li X, Lin X, Zhao G, Li T, Shao F. Stirring Optimization of Consteel EAF Based on Multi-Phase Flow Water-Model Simulation. Processes. 2026; 14(3):482. https://doi.org/10.3390/pr14030482

Chicago/Turabian Style

Jin, Jiahui, Bing Ni, Fangqin Shangguan, Xiuping Li, Xiaoping Lin, Ge Zhao, Tao Li, and Fangbo Shao. 2026. "Stirring Optimization of Consteel EAF Based on Multi-Phase Flow Water-Model Simulation" Processes 14, no. 3: 482. https://doi.org/10.3390/pr14030482

APA Style

Jin, J., Ni, B., Shangguan, F., Li, X., Lin, X., Zhao, G., Li, T., & Shao, F. (2026). Stirring Optimization of Consteel EAF Based on Multi-Phase Flow Water-Model Simulation. Processes, 14(3), 482. https://doi.org/10.3390/pr14030482

Note that from the first issue of 2016, this journal uses article numbers instead of page numbers. See further details here.

Article Metrics

Back to TopTop