Sign in to use this feature.

Years

Between: -

Subjects

remove_circle_outline
remove_circle_outline
remove_circle_outline
remove_circle_outline
remove_circle_outline
remove_circle_outline
remove_circle_outline

Journals

Article Types

Countries / Regions

Search Results (98)

Search Parameters:
Keywords = nonequilibrium molecular dynamics simulations

Order results
Result details
Results per page
Select all
Export citation of selected articles as:
15 pages, 4854 KB  
Article
Atomic-Scale Mechanisms of Catalytic Recombination and Ablation in Knitted Graphene Under Hyperthermal Atomic Oxygen Exposure
by Yating Pan, Yunpeng Zhu, Donghui Zhang and Ning Wei
C 2025, 11(3), 67; https://doi.org/10.3390/c11030067 - 2 Sep 2025
Viewed by 815
Abstract
Effective ablative thermal protection systems are essential for ensuring the structural integrity of hypersonic vehicles subjected to extreme aerothermal loads. However, the microscopic reaction mechanisms at the gas–solid interface, particularly under non-equilibrium high-enthalpy conditions, remain poorly understood. This study employs reactive molecular dynamics [...] Read more.
Effective ablative thermal protection systems are essential for ensuring the structural integrity of hypersonic vehicles subjected to extreme aerothermal loads. However, the microscopic reaction mechanisms at the gas–solid interface, particularly under non-equilibrium high-enthalpy conditions, remain poorly understood. This study employs reactive molecular dynamics (RMD) simulations with the ReaxFF-C/H/O force field to investigate the atomic-scale ablation behavior of a graphene-based knitted graphene structure impacted by atomic oxygen (AO). By systematically varying the AO incident kinetic energy (from 0.1 to 8.0 eV) and incidence angle (from 15° to 90°), we reveal the competing interplay between catalytic recombination and ablation processes. The results show that the catalytic recombination coefficient of oxygen molecules reaches a maximum at 5.0 eV, where surface-mediated O2 formation is most favorable. At higher energies, the reaction pathway shifts toward enhanced CO and CO2 production due to increased carbon atom ejection and surface degradation. Furthermore, as the AO incidence angle increases, the recombination efficiency decreases linearly, while C-C bond breakage intensifies due to stronger vertical energy components. These findings offer new insights into the anisotropic surface response of knitted graphene structures under hyperthermal oxygen exposure and provide valuable guidance for the design and optimization of next-generation thermal protection materials for hypersonic flight. Full article
(This article belongs to the Special Issue 10th Anniversary of C — Journal of Carbon Research)
Show Figures

Figure 1

12 pages, 2376 KB  
Article
Investigating Helium-Induced Thermal Conductivity Degradation in Fusion-Relevant Copper: A Molecular Dynamics Approach
by Xu Yu, Hanlong Wang and Hai Huang
Materials 2025, 18(15), 3702; https://doi.org/10.3390/ma18153702 - 6 Aug 2025
Viewed by 495
Abstract
Copper alloys are critical heat sink materials for fusion reactor divertors due to their high thermal conductivity (TC) and strength, yet their performance under extreme particle bombardment and heat fluxes in future tokamaks requires enhancement. While neutron-induced transmutation helium affects the properties of [...] Read more.
Copper alloys are critical heat sink materials for fusion reactor divertors due to their high thermal conductivity (TC) and strength, yet their performance under extreme particle bombardment and heat fluxes in future tokamaks requires enhancement. While neutron-induced transmutation helium affects the properties of copper, the atomistic mechanisms linking helium bubble size to thermal transport remain unclear. This study employs non-equilibrium molecular dynamics (NEMD) simulations to isolate the effect of bubble diameter (10, 20, 30, 40 Å) on TC in copper, maintaining a constant He-to-vacancy ratio of 2.5. Results demonstrate that larger bubbles significantly impair TC. This reduction correlates with increased Kapitza thermal resistance and pronounced lattice distortion from outward helium diffusion, intensifying phonon scattering. Phonon density of states (PDOS) analysis reveals diminished low-frequency peaks and an elevated high-frequency peak for bubbles >30 Å, confirming phonon confinement and localized vibrational modes. The PDOS overlap factor decreases with bubble size, directly linking microstructural evolution to thermal resistance. These findings elucidate the size-dependent mechanisms of helium bubble impacts on thermal transport in copper divertor materials. Full article
(This article belongs to the Special Issue Advances in Computation and Modeling of Materials Mechanics)
Show Figures

Figure 1

20 pages, 967 KB  
Article
A Comprehensive Investigation of the Two-Phonon Characteristics of Heat Conduction in Superlattices
by Pranay Chakraborty, Milad Nasiri, Haoran Cui, Theodore Maranets and Yan Wang
Crystals 2025, 15(7), 654; https://doi.org/10.3390/cryst15070654 - 17 Jul 2025
Viewed by 674
Abstract
The Anderson localization of phonons in disordered superlattices has been proposed as a route to suppress thermal conductivity beyond the limits imposed by conventional scattering mechanisms. A commonly used signature of phonon localization is the emergence of the nonmonotonic dependence of thermal conductivity [...] Read more.
The Anderson localization of phonons in disordered superlattices has been proposed as a route to suppress thermal conductivity beyond the limits imposed by conventional scattering mechanisms. A commonly used signature of phonon localization is the emergence of the nonmonotonic dependence of thermal conductivity κ on system length L, i.e., a κ-L maximum. However, such behavior has rarely been observed. In this work, we conduct extensive non-equilibrium molecular dynamics (NEMD) simulations, using the LAMMPS package, on both periodic superlattices (SLs) and aperiodic random multilayers (RMLs) constructed from Si/Ge and Lennard-Jones materials. By systematically varying acoustic contrast, interatomic bond strength, and average layer thickness, we examine the interplay between coherent and incoherent phonon transport in these systems. Our two-phonon model decomposition reveals that coherent phonons alone consistently exhibit a strong nonmonotonic κ-L. This localization signature is often masked by the diffusive, monotonically increasing contribution from incoherent phonons. We further extract the ballistic-limit mean free paths for both phonon types, and demonstrate that incoherent transport often dominates, thereby concealing localization effects. Our findings highlight the importance of decoupling coherent and incoherent phonon contributions in both simulations and experiments. This work provides new insights and design principles for achieving phonon Anderson localization in superlattice structures. Full article
(This article belongs to the Section Crystal Engineering)
Show Figures

Figure 1

22 pages, 4441 KB  
Article
Understanding Shock Response of Body-Centered Cubic Molybdenum from a Specific Embedded Atom Potential
by Yichen Jiang, Yanchun Leng, Xiaoli Chen and Chaoping Liang
Metals 2025, 15(6), 685; https://doi.org/10.3390/met15060685 - 19 Jun 2025
Viewed by 485
Abstract
Extreme conditions induced by shock exert unprecedented force on crystal lattice and push atoms away from their equilibrium positions. Nonequilibrium molecular dynamics (MD) simulations are one of the best ways to describe material behavior under shock but are limited by the availability and [...] Read more.
Extreme conditions induced by shock exert unprecedented force on crystal lattice and push atoms away from their equilibrium positions. Nonequilibrium molecular dynamics (MD) simulations are one of the best ways to describe material behavior under shock but are limited by the availability and reliability of potential functions. In this work, a specific embedded atom (EAM) potential of molybdenum (Mo) is built for shock and tested by quasi-isentropic and piston-driven shock simulations. Comparisons of the equation of state, lattice constants, elastic constants, phase transitions under pressure, and phonon dispersion with those in the existing literature validate the reliability of our EAM potential. Quasi-isentropic shock simulations reveal that critical stresses for the beginning of plastic deformation follow a [111] > [110] > [100] loading direction for single crystals, and then polycrystal samples. Phase transitions from BCC to FCC and BCC to HCP promote plastic deformation for single crystals loading along [100] and [110], respectively. Along [111], void directly nucleates at the stress concentration area. For polycrystals, voids always nucleate on the grain boundary and lead to early crack generation and propagation. Piston-driven shock loading confirms the plastic mechanisms observed from quasi-isentropic shock simulation and provides further information on the spall strength and spallation process. Full article
(This article belongs to the Special Issue Mechanical Structure Damage of Metallic Materials)
Show Figures

Graphical abstract

15 pages, 1586 KB  
Article
Local Equilibrium Approximation in Non-Equilibrium Thermodynamics of Diffusion
by Kim R. Kristiansen and Bjørn Hafskjold
Entropy 2025, 27(4), 400; https://doi.org/10.3390/e27040400 - 8 Apr 2025
Cited by 1 | Viewed by 799
Abstract
Local equilibrium approximation (LEA) is a central assumption in many applications of non-equilibrium thermodynamics involving the transport of energy, mass, and momentum. However, assessing the validity of the LEA remains challenging due to the limited development of tools for characterizing non-equilibrium states compared [...] Read more.
Local equilibrium approximation (LEA) is a central assumption in many applications of non-equilibrium thermodynamics involving the transport of energy, mass, and momentum. However, assessing the validity of the LEA remains challenging due to the limited development of tools for characterizing non-equilibrium states compared to equilibrium states. To address this, we have developed a theory based on kinetic theory, which provides a nonlinear extension of the telegrapher’s equation commonly discussed in non-equilibrium frameworks that extend beyond LEA. A key result of this theory is a steady-state diffusion equation that accounts for the constraint imposed by available thermal energy on the diffusion flux. The theory is suitable for analysis of steady-state composition profiles and can be used to quantify the deviation from the local equilibrium. To validate the theory and test LEA, we performed molecular dynamics simulations on a two-component system where the two components had identical physical properties. The results show that deviation from the local equilibrium can be systematically quantified, and for the diffusion process we have studied here, we have confirmed that LEA remains accurate even under extreme concentration gradients in gas mixtures. Full article
Show Figures

Figure 1

18 pages, 6523 KB  
Article
Thermal Transport in Polyethylene Reinforced with H/CH3/C2H5 Functionalized Graphene: A Molecular Dynamics Study
by Nava Zarkhah, Mostafa Baghani, Daniel George, Ali Rajabpour, Majid Baniassadi and Mohammadreza Aghaei
Energies 2025, 18(7), 1647; https://doi.org/10.3390/en18071647 - 25 Mar 2025
Cited by 2 | Viewed by 715
Abstract
Effective thermal management in polymer-based materials remains a critical challenge due to their inherently low thermal conductivity, driving the need for advanced nanocomposites. This study develops non-equilibrium molecular dynamics (NEMD) simulations to investigate the thermal transport properties of polyethylene (PE) reinforced with graphene [...] Read more.
Effective thermal management in polymer-based materials remains a critical challenge due to their inherently low thermal conductivity, driving the need for advanced nanocomposites. This study develops non-equilibrium molecular dynamics (NEMD) simulations to investigate the thermal transport properties of polyethylene (PE) reinforced with graphene functionalized by hydrogen (H), methyl (CH3), and ethyl (C2H5) groups with volume fractions of 5–30%. The interfacial thermal conductance (ITC) between PE and graphene increases significantly with functionalization, reaching 2.50 × 108 W/m2K with 30% ethyl coverage, a 250% enhancement compared to 8.8 × 107 W/m2K for pristine graphene. The effective thermal conductivity of the PE/functionalized graphene composite peaks at 0.42 W/mK with 30% hydrogen coverage, a 17.4% improvement over the 0.36 W/mK of PE/pristine graphene, though still 6.5% below pure PE (0.45 W/mK). Analysis of the vibrational density of states reveals that ethyl groups maximize phonon coupling at the interface, explaining their superior ITC enhancement. These findings offer quantitative insights into optimizing polymer nanocomposites for thermal management applications, such as microelectronics and energy storage systems, where efficient heat dissipation is important. Full article
(This article belongs to the Section J1: Heat and Mass Transfer)
Show Figures

Figure 1

16 pages, 373 KB  
Article
Adsorption Kinetics Model of Hydrogen on Graphite
by Jean-Marc Simon and Guilherme Carneiro Queiroz da Silva
Entropy 2025, 27(3), 229; https://doi.org/10.3390/e27030229 - 23 Feb 2025
Viewed by 873
Abstract
A new kinetic equation for the adsorption and desorption of H2 on graphite is derived based on the adsorption and desorption equilibrium rates obtained from the molecular dynamics. These rates are proportional to the activity in the gas and the adsorbed phase [...] Read more.
A new kinetic equation for the adsorption and desorption of H2 on graphite is derived based on the adsorption and desorption equilibrium rates obtained from the molecular dynamics. These rates are proportional to the activity in the gas and the adsorbed phase and thus do not obey Langmuir kinetics. The new equation offers a new route for understanding experimental results. It is used to simulate the kinetics under different thermodynamic conditions, both isothermal and non-isothermal. The characteristic times of adsorption and desorption are in good agreement with the data from the literature. The relation between the kinetics and the mass flow equation is discussed within the framework of the non-equilibrium thermodynamics of heterogeneous systems. Finally, expressions for the transport coefficients are proposed for both the transfer of mass and the coupling between the mass and heat fluxes. Full article
Show Figures

Figure 1

17 pages, 5697 KB  
Article
Alkali Halide Aqueous Solutions Under Pressure: A Non-Equilibrium Molecular Dynamics Investigation of Thermal Transport and Thermodiffusion
by Guansen Zhao and Fernando Bresme
Entropy 2025, 27(2), 193; https://doi.org/10.3390/e27020193 - 13 Feb 2025
Cited by 2 | Viewed by 1059
Abstract
Thermal gradients induce thermodiffusion in aqueous solutions, a non-equilibrium effect arising from the coupling of thermal and mass fluxes. While thermal transport processes have garnered significant attention under standard conditions, thermal transport at high pressures and temperatures, typical of the Earth’s crust, has [...] Read more.
Thermal gradients induce thermodiffusion in aqueous solutions, a non-equilibrium effect arising from the coupling of thermal and mass fluxes. While thermal transport processes have garnered significant attention under standard conditions, thermal transport at high pressures and temperatures, typical of the Earth’s crust, has escaped scrutiny. Non-equilibrium thermodynamics theory and non-equilibrium molecular dynamics simulations provide an excellent means to quantify thermal transport under extreme conditions and establish a connection between the behaviour of the solutions and their microscopic structure. Here, we investigate the thermal conductivity and thermal diffusion of NaCl and LiCl solutions in the GPa pressure regime, targeting temperatures between 300 K and 1000 K at 1 molal concentration. We employ non-equilibrium molecular dynamics simulations along with the Madrid-2019 and TIP4P/2005 force fields. The thermal conductivity of the solutions increases significantly with pressure, and following the behaviour observed at standard pressure, the thermal conductivity is lower than that of pure water. The reduction in thermal conductivity is significant in the GPa pressure regime, ∼3% for 1 molal NaCl and LiCl solutions. We demonstrate that under GPa pressure conditions, the solutions feature thermophobic behaviour, with ions migrating towards colder regions. The pronounced impact of pressure is more evident in LiCl solutions, which display a thermophilic to thermophobic “transition” at pressures above 0.25 GPa. We discuss a correlation between the solution’s thermophobicity and the disruption of the water hydrogen bond structure at high pressure, where the water structure resembles that observed in simple liquids. Full article
Show Figures

Figure 1

25 pages, 4926 KB  
Review
Progress in Plastic Work–Heat Conversion of Metallic Crystals
by Peng-Fei Yue, Shao-Dan Yang, Yan Gao, Rong-Hao Shi, Guo-Shang Zhang, Zhi-Yuan Zhu, Dong Han and Ke-Xing Song
Crystals 2025, 15(2), 164; https://doi.org/10.3390/cryst15020164 - 8 Feb 2025
Viewed by 983
Abstract
The Taylor–Quinney coefficient (TQC) is a critical parameter quantifying the thermal conversion of plastic work during deformation in metallic crystals. This review provides a comprehensive summary of recent advances in TQC research, spanning experimental, theoretical, and computational perspectives. The fundamental principles of the [...] Read more.
The Taylor–Quinney coefficient (TQC) is a critical parameter quantifying the thermal conversion of plastic work during deformation in metallic crystals. This review provides a comprehensive summary of recent advances in TQC research, spanning experimental, theoretical, and computational perspectives. The fundamental principles of the TQC are introduced, emphasizing its thermodynamic background and dependence on microstructural features. Experimental studies demonstrate how the strain rate, temperature, and microstructure influence the TQC, with advanced techniques such as infrared thermography and high-speed imaging enabling precise measurements under dynamic conditions. Theoretical models, including internal variable frameworks and nonequilibrium thermodynamics, offer insights into the energy distribution mechanisms and provide predictive capabilities across diverse loading scenarios. Computational simulations, using methods like finite element analysis and molecular dynamics, reveal multiscale thermal conversion mechanisms and the role of dislocation motion and localized heat accumulation in governing TQC values. Challenges and opportunities for TQC research are highlighted, including the need for multiscale modeling, the exploration of complex stress states, and applications under extreme environments. Future directions should focus on integrating advanced experimental techniques and computational models to optimize material design and performance. This review aims to deepen the understanding of the TQC and its implications for energy dissipation and material reliability in high-performance applications. Full article
Show Figures

Figure 1

17 pages, 658 KB  
Article
Heat Transport Hysteresis Generated Through Frequency Switching of a Time-Dependent Temperature Gradient
by Renai Chen and Galen T. Craven
Entropy 2025, 27(1), 18; https://doi.org/10.3390/e27010018 - 30 Dec 2024
Cited by 1 | Viewed by 1090
Abstract
A stochastic energetics framework is applied to examine how periodically shifting the frequency of a time-dependent oscillating temperature gradient affects heat transport in a nanoscale molecular model. We specifically examine the effects that frequency switching, i.e., instantaneously changing the oscillation frequency of the [...] Read more.
A stochastic energetics framework is applied to examine how periodically shifting the frequency of a time-dependent oscillating temperature gradient affects heat transport in a nanoscale molecular model. We specifically examine the effects that frequency switching, i.e., instantaneously changing the oscillation frequency of the temperature gradient, has on the shape of the heat transport hysteresis curves generated by a particle connected to two thermal baths, each with a temperature that is oscillating in time. Analytical expressions are derived for the energy fluxes in/out of the system and the baths, with excellent agreement observed between the analytical expressions and the results from nonequilibrium molecular dynamics simulations. We find that the shape of the heat transport hysteresis curves can be significantly altered by shifting the frequency between fast and slow oscillation regimes. We also observe the emergence of features in the hysteresis curves such as pinched loops and complex multi-loop patterns due to the frequency shifting. The presented results have implications in the design of thermal neuromorphic devices such as thermal memristors and thermal memcapacitors. Full article
(This article belongs to the Special Issue Stochastic Thermodynamics of Microscopic Systems)
Show Figures

Figure 1

29 pages, 11222 KB  
Article
Computational Study on Flow Characteristics of Shocked Light Backward-Triangular Bubbles in Polyatomic Gas
by Salman Saud Alsaeed and Satyvir Singh
Axioms 2024, 13(12), 843; https://doi.org/10.3390/axioms13120843 - 1 Dec 2024
Cited by 1 | Viewed by 779
Abstract
This study computationally examined the Richtmyer–Meshkov instability (RMI) evolution in a helium backward-triangular bubble immersed in monatomic argon, diatomic nitrogen, and polyatomic methane under planar shock wave interactions. Using high-fidelity numerical simulations based on the compressible Navier–Fourier equations based on the Boltzmann–Curtiss kinetic [...] Read more.
This study computationally examined the Richtmyer–Meshkov instability (RMI) evolution in a helium backward-triangular bubble immersed in monatomic argon, diatomic nitrogen, and polyatomic methane under planar shock wave interactions. Using high-fidelity numerical simulations based on the compressible Navier–Fourier equations based on the Boltzmann–Curtiss kinetic framework and simulated via a modal discontinuous Galerkin scheme, we analyze the complex interplay of shock-bubble dynamics. Key findings reveal distinct thermal non-equilibrium effects, vorticity generation, enstrophy evolution, kinetic energy dissipation, and interface deformation across gases. Methane, with its molecular complexity and higher viscosity, exhibits the highest levels of vorticity production, enstrophy, and kinetic energy, leading to pronounced Kelvin–Helmholtz instabilities and enhanced mixing. Conversely, argon, due to its simpler atomic structure, shows weaker deformation and mixing. Thermal non-equilibrium effects, quantified by the Rayleigh–Onsager dissipation function, are most significant in methane, indicating delayed energy relaxation and intense turbulence. This study highlights the pivotal role of molecular properties, specific heat ratio, and bulk viscosity in shaping RMI dynamics in polyatomic gases, offering insights on uses such as high-speed aerodynamics, inertial confinement fusion, and supersonic mixing. Full article
Show Figures

Figure 1

19 pages, 3927 KB  
Article
Kinetics of γ-LiAlO2 Formation out of Li2O-Al2O3 Melt—A Molecular Dynamics-Informed Non-Equilibrium Thermodynamic Study
by Sanchita Chakrabarty, Danilo Alencar De Abreu, Iyad Alabd Alhafez, Olga Fabrichnaya, Nina Merkert, Alena Schnickmann, Thomas Schirmer, Ursula E. A. Fittschen and Michael Fischlschweiger
Solids 2024, 5(4), 561-579; https://doi.org/10.3390/solids5040038 - 12 Nov 2024
Cited by 1 | Viewed by 1925
Abstract
Slags generated from pyrometallurgical processing of spent Li-ion batteries are reservoirs of Li compounds that, on recycling, can reintegrate Li into the material stream. In this context, γ-LiAlO2 is a promising candidate that potentially increases recycling efficiency due to its high Li [...] Read more.
Slags generated from pyrometallurgical processing of spent Li-ion batteries are reservoirs of Li compounds that, on recycling, can reintegrate Li into the material stream. In this context, γ-LiAlO2 is a promising candidate that potentially increases recycling efficiency due to its high Li content and favorable morphology for separation. However, its solidification kinetics depends on melt compositions and cooling strategies. The Engineered Artificial Minerals approach aims to optimize process conditions that maximize the desired solid phases. To realize this goal, understanding the coupled influence of external cooling kinetics and internal kinetics of solid/liquid interface migration and mass and thermal diffusion on solidification is critical. In this work, the solidification of γ-LiAlO2 from a Li2O-Al2O3 melt is computationally investigated by applying a non-equilibrium thermodynamic model to understand the influence of varying processing conditions on crystallization kinetics. A strategy is illustrated that allows the effective utilization of thermodynamic information obtained by the CALPHAD approach and molecular dynamics-generated diffusion coefficients to simulate kinetic-dependent solidification. Model calculations revealed that melts with compositions close to γ-LiAlO2 remain comparatively unaffected by the external heat extraction strategies due to rapid internal kinetic processes. Kinetic limitations, especially diffusion, become significant for high cooling rates as the melt composition deviates from the stoichiometric compound. Full article
Show Figures

Figure 1

14 pages, 5857 KB  
Article
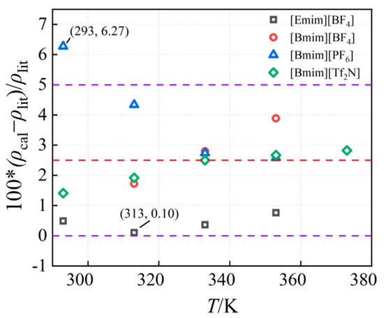
Molecular Dynamic Simulations of the Physical Properties of Four Ionic Liquids
by Jing Fan, Yuting Pan, Zhiqiang Gao and Hongwei Qu
Int. J. Mol. Sci. 2024, 25(20), 11217; https://doi.org/10.3390/ijms252011217 - 18 Oct 2024
Viewed by 1569
Abstract
In this study, the molecular structure models of four ionic liquids were created, the reverse nonequilibrium molecular dynamics simulation (RNEMD) approach was used to predict their densities and viscosities, and their thermal conductivity was simulated using the non-equilibrium molecular dynamic simulation method (NEMD). [...] Read more.
In this study, the molecular structure models of four ionic liquids were created, the reverse nonequilibrium molecular dynamics simulation (RNEMD) approach was used to predict their densities and viscosities, and their thermal conductivity was simulated using the non-equilibrium molecular dynamic simulation method (NEMD). The calculated results of ionic liquid densities were compared with the data in the literature; most of the variances are around 2.5%, and the maximum relative deviation was less than 6.27%; viscosity values were compared with the experimental data, with a maximum relative deviation of −8.96% and a minimum relative deviation of −2.72%. The simulated thermal conductivity has a good linear relationship with respect to temperature and pressure, which is in good agreement. This study provides a reference for molecular dynamics simulation to measure the physical properties of ionic liquids, which is important for the development of ionic liquids. Full article
(This article belongs to the Section Physical Chemistry and Chemical Physics)
Show Figures

Figure 1

18 pages, 10067 KB  
Article
Viscosity of Asphalt Binder through Equilibrium and Non-Equilibrium Molecular Dynamics Simulations
by Xiancheng Hu, Xiaohan Huang, Yuanbin Zhou, Jiandong Zhang and Hongquan Lu
Buildings 2024, 14(9), 2827; https://doi.org/10.3390/buildings14092827 - 8 Sep 2024
Cited by 2 | Viewed by 1495
Abstract
Viscosity is a curial indicator for evaluating asphalt performance, representing its ability to resist deformation under external forces. The Green–Kubo integral in equilibrium molecular dynamics simulations and the Muller-Plathe algorithm in reverse non-equilibrium molecular dynamics simulations were used to calculate the asphalt viscosity. [...] Read more.
Viscosity is a curial indicator for evaluating asphalt performance, representing its ability to resist deformation under external forces. The Green–Kubo integral in equilibrium molecular dynamics simulations and the Muller-Plathe algorithm in reverse non-equilibrium molecular dynamics simulations were used to calculate the asphalt viscosity. Meanwhile, the key parameters of both methods were rationalized. The results show that in equilibrium calculations, using a 1/t weighting for the viscosity integral curve results in a well-fitted curve that closely matches the original data. The isotropy of the asphalt model improves for atomic counts exceeding 260,000, rendering viscosity calculations more reasonable. When the viscosity did not converge, it increased linearly with the number of atoms. In non-equilibrium calculations, the number of region divisions had almost no effect on the viscosity value. A momentum exchange period of 20 timesteps exhibits a favorable linear trend in velocity gradients, and an ideal momentum exchange period was found to be between 10 and 20 timesteps. As the model size increased, the linear relationship with the shear rate became more pronounced, and the isotropy of the asphalt system improved. Using an orthogonal simulation box with a side length of 75 Å effectively meets the computational requirements. Full article
(This article belongs to the Section Building Materials, and Repair & Renovation)
Show Figures

Figure 1

19 pages, 1558 KB  
Article
Effects of Particle Migration on the Relaxation of Shock Wave Collisions
by Hao Li, Bo Xu, Zixiang Yan, Xinyu Zhang, Chongjie Mo, Quanxi Xue, Xiazi Xiao and Hao Liu
Entropy 2024, 26(9), 724; https://doi.org/10.3390/e26090724 - 25 Aug 2024
Viewed by 1361
Abstract
The non-equilibrium characteristics during the shock relaxation process hold a foundational position in various fields. In contrast to the propagation of a single shock wave, the collision process of two shock waves exhibits distinct non-equilibrium features. Employing non-equilibrium molecular dynamics, we simulated the [...] Read more.
The non-equilibrium characteristics during the shock relaxation process hold a foundational position in various fields. In contrast to the propagation of a single shock wave, the collision process of two shock waves exhibits distinct non-equilibrium features. Employing non-equilibrium molecular dynamics, we simulated the collision of ultra-strong shock waves in a classical gas system, investigating the relationship between equilibrium relaxation time and shock intensity. Tracking the spatial migration of microscopic particles in the shock collision region during the relaxation process, we observed a significant contribution of particle migration to the average energy changes during relaxation. The discussion on particle migration provides a valuable new perspective for understanding the microscopic mechanisms of the relaxation process. Full article
(This article belongs to the Section Non-equilibrium Phenomena)
Show Figures

Figure 1

Back to TopTop