Heat Transport Hysteresis Generated Through Frequency Switching of a Time-Dependent Temperature Gradient
Abstract
1. Introduction
2. Model Details
- is the energy flux in/out of the system
- is the energy flux associated with the left bath
- is the energy flux associated with the right bath
3. Derivation of Energy Flux Expressions
3.1. Free Particle
3.2. Harmonic Oscillator
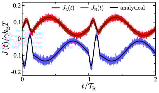
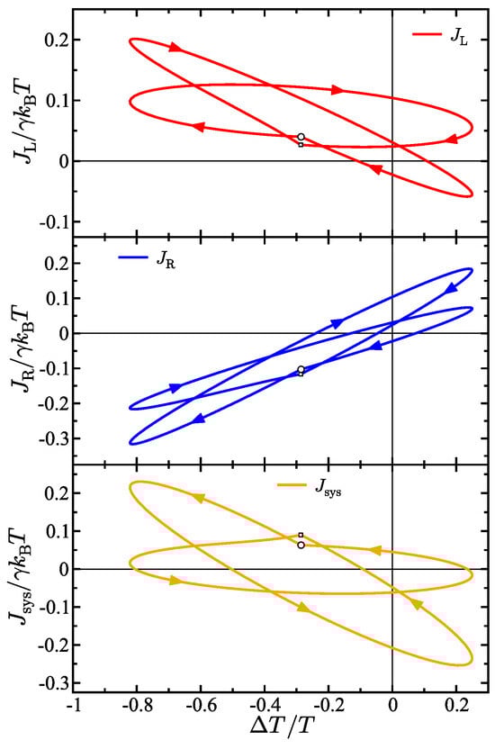
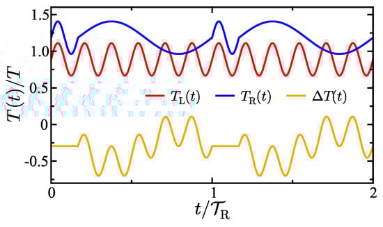
4. Heat Transport Hysteresis
5. Conclusions
Author Contributions
Funding
Data Availability Statement
Acknowledgments
Conflicts of Interest
Abbreviation
| TDNES | Time-dependent nonequilibrium state |
References
- Ben-Abdallah, P. Thermal memristor and neuromorphic networks for manipulating heat flow. AIP Adv. 2017, 7, 065002. [Google Scholar] [CrossRef]
- Ordonez-Miranda, J.; Ezzahri, Y.; Tiburcio-Moreno, J.A.; Joulain, K.; Drevillon, J. Radiative Thermal Memristor. Phys. Rev. Lett. 2019, 123, 025901. [Google Scholar] [CrossRef] [PubMed]
- Chen, R.; Gibson, T.; Craven, G.T. Energy transport between heat baths with oscillating temperatures. Phys. Rev. E 2023, 108, 024148. [Google Scholar] [CrossRef] [PubMed]
- Lebowitz, J.L. Stationary Nonequilibrium Gibbsian Ensembles. Phys. Rev. 1959, 114, 1192–1202. [Google Scholar] [CrossRef]
- Rieder, Z.; Lebowitz, J.L.; Lieb, E. Properties of a Harmonic Crystal in a Stationary Nonequilibrium State. J. Math. Phys. 1967, 8, 1073–1078. [Google Scholar] [CrossRef]
- Casher, A.; Lebowitz, J.L. Heat Flow in Regular and Disordered Harmonic Chains. J. Math. Phys. 1971, 12, 1701–1711. [Google Scholar] [CrossRef]
- Cahill, D.G.; Ford, W.K.; Goodson, K.E.; Mahan, G.D.; Majumdar, A.; Maris, H.J.; Merlin, R.; Phillpot, S.R. Nanoscale thermal transport. J. Appl. Phys. 2003, 93, 793–818. [Google Scholar] [CrossRef]
- Segal, D.; Nitzan, A. Spin-Boson Thermal Rectifier. Phys. Rev. Lett. 2005, 94, 034301. [Google Scholar] [CrossRef]
- Segal, D.; Agarwalla, B.K. Vibrational Heat Transport in Molecular Junctions. Annu. Rev. Phys. Chem. 2016, 67, 185–209. [Google Scholar] [CrossRef]
- Galperin, M.; Nitzan, A.; Ratner, M.A. Heat conduction in molecular transport junctions. Phys. Rev. B 2007, 75, 155312. [Google Scholar] [CrossRef]
- Narayana, S.; Sato, Y. Heat Flux Manipulation with Engineered Thermal Materials. Phys. Rev. Lett. 2012, 108, 214303. [Google Scholar] [CrossRef] [PubMed]
- Maldovan, M. Sound and heat revolutions in phononics. Nature 2013, 503, 209–217. [Google Scholar] [CrossRef]
- Leitner, D.M. Energy Flow in Proteins. Annu. Rev. Phys. Chem. 2008, 59, 233–259. [Google Scholar] [CrossRef] [PubMed]
- Leitner, D.M. Thermal Boundary Conductance and Thermal Rectification in Molecules. J. Phys. Chem. B 2013, 117, 12820–12828. [Google Scholar] [CrossRef] [PubMed]
- Brandner, K.; Saito, K.; Seifert, U. Thermodynamics of Micro- and Nano-Systems Driven by Periodic Temperature Variations. Phys. Rev. X 2015, 5, 031019. [Google Scholar] [CrossRef]
- Li, N.; Ren, J.; Wang, L.; Zhang, G.; Hänggi, P.; Li, B. Colloquium: Phononics: Manipulating heat flow with electronic analogs and beyond. Rev. Mod. Phys. 2012, 84, 1045–1066. [Google Scholar] [CrossRef]
- Dubi, Y.; Di Ventra, M. Colloquium: Heat flow and thermoelectricity in atomic and molecular junctions. Rev. Mod. Phys. 2011, 83, 131–155. [Google Scholar] [CrossRef]
- Lim, J.S.; López, R.; Sánchez, D. Dynamic thermoelectric and heat transport in mesoscopic capacitors. Phys. Rev. B 2013, 88, 201304. [Google Scholar] [CrossRef]
- Craven, G.T.; Nitzan, A. Electron transfer across a thermal gradient. Proc. Natl. Acad. Sci. USA 2016, 113, 9421–9429. [Google Scholar] [CrossRef] [PubMed]
- Zhu, J.; Liu, Y.; He, D. Effects of interplay between disorder and anharmonicity on heat conduction. Phys. Rev. E 2021, 103, 062121. [Google Scholar] [CrossRef]
- Ordonez-Miranda, J.; Anufriev, R.; Nomura, M.; Volz, S. Net heat current at zero mean temperature gradient. Phys. Rev. B 2022, 106, L100102. [Google Scholar] [CrossRef]
- Wei, X.; Hernandez, R. Heat Transfer Enhancement in Tree-Structured Polymer Linked Gold Nanoparticle Networks. J. Phys. Chem. Lett. 2023, 14, 9834–9841. [Google Scholar] [CrossRef]
- Sharony, I.; Chen, R.; Nitzan, A. Stochastic simulation of nonequilibrium heat conduction in extended molecular junctions. J. Chem. Phys. 2020, 153, 144113. [Google Scholar] [CrossRef] [PubMed]
- Dmitriev, S.V.; Kuzkin, V.A.; Krivtsov, A.M. Nonequilibrium thermal rectification at the junction of harmonic chains. Phys. Rev. E 2023, 108, 054221. [Google Scholar] [CrossRef] [PubMed]
- Dastgeer, G.; Shahzad, Z.M.; Chae, H.; Kim, Y.H.; Ko, B.M.; Eom, J. Bipolar Junction Transistor Exhibiting Excellent Output Characteristics with a Prompt Response against the Selective Protein. Adv. Funct. Mater. 2022, 32, 2204781. [Google Scholar] [CrossRef]
- Dastgeer, G.; Nisar, S.; Rasheed, A.; Akbar, K.; Chavan, V.D.; kee Kim, D.; Wabaidur, S.M.; Zulfiqar, M.W.; Eom, J. Atomically engineered, high-speed non-volatile flash memory device exhibiting multibit data storage operations. Nano Energy 2024, 119, 109106. [Google Scholar] [CrossRef]
- Chen, R.; Gibson, T.; Craven, G.T. Molecular heat transport across a time-periodic temperature gradient. J. Chem. Phys. 2024, 160, 194305. [Google Scholar] [CrossRef] [PubMed]
- Craven, G.T.; Nitzan, A. Electron hopping heat transport in molecules. J. Chem. Phys. 2023, 158, 174306. [Google Scholar] [CrossRef]
- Segal, D.; Nitzan, A. Heat rectification in molecular junctions. J. Chem. Phys. 2005, 122, 194704. [Google Scholar] [CrossRef] [PubMed]
- Wu, G.; Li, B. Thermal rectification in carbon nanotube intramolecular junctions: Molecular dynamics calculations. Phys. Rev. B 2007, 76, 085424. [Google Scholar] [CrossRef]
- Segal, D. Single Mode Heat Rectifier: Controlling Energy Flow Between Electronic Conductors. Phys. Rev. Lett. 2008, 100, 105901. [Google Scholar] [CrossRef]
- Wu, L.A.; Segal, D. Sufficient Conditions for Thermal Rectification in Hybrid Quantum Structures. Phys. Rev. Lett. 2009, 102, 095503. [Google Scholar] [CrossRef] [PubMed]
- Craven, G.T.; He, D.; Nitzan, A. Electron-Transfer-Induced Thermal and Thermoelectric Rectification. Phys. Rev. Lett. 2018, 121, 247704. [Google Scholar] [CrossRef]
- Simón, M.A.; Alaña, A.; Pons, M.; Ruiz-García, A.; Muga, J.G. Heat rectification with a minimal model of two harmonic oscillators. Phys. Rev. E 2021, 103, 012134. [Google Scholar] [CrossRef] [PubMed]
- Kuo, D.M.T.; Chang, Y.C. Thermoelectric and thermal rectification properties of quantum dot junctions. Phys. Rev. B 2010, 81, 205321. [Google Scholar] [CrossRef]
- Li, B.; Wang, L.; Casati, G. Thermal Diode: Rectification of Heat Flux. Phys. Rev. Lett. 2004, 93, 184301. [Google Scholar] [CrossRef] [PubMed]
- Hu, B.; He, D.; Yang, L.; Zhang, Y. Thermal rectifying effect in macroscopic size. Phys. Rev. E 2006, 74, 060201. [Google Scholar] [CrossRef]
- Roberts, N.; Walker, D. A review of thermal rectification observations and models in solid materials. Int. J. Therm. Sci. 2011, 50, 648–662. [Google Scholar] [CrossRef]
- Martínez-Pérez, M.J.; Fornieri, A.; Giazotto, F. Rectification of electronic heat current by a hybrid thermal diode. Nat. Nanotechnol. 2015, 10, 303–307. [Google Scholar] [CrossRef] [PubMed]
- Zhao, H.; Yang, X.; Wang, C.; Lu, R.; Zhang, T.; Chen, H.; Zheng, X. Progress in thermal rectification due to heat conduction in micro/nano solids. Mater. Today Phys. 2023, 30, 100941. [Google Scholar] [CrossRef]
- Romero-Bastida, M.; Martínez-Torres, B.A. Thermal rectification in mass-asymmetric one-dimensional anharmonic oscillator lattices with and without a ballistic spacer. J. Phys. Condens. Matter 2023, 36, 025302. [Google Scholar] [CrossRef]
- Li, B.; Wang, L.; Casati, G. Negative differential thermal resistance and thermal transistor. Appl. Phys. Lett. 2006, 88, 143501. [Google Scholar] [CrossRef]
- Ben-Abdallah, P.; Biehs, S.A. Near-Field Thermal Transistor. Phys. Rev. Lett. 2014, 112, 044301. [Google Scholar] [CrossRef]
- Joulain, K.; Drevillon, J.; Ezzahri, Y.; Ordonez-Miranda, J. Quantum Thermal Transistor. Phys. Rev. Lett. 2016, 116, 200601. [Google Scholar] [CrossRef]
- Wang, S.; Cottrill, A.L.; Kunai, Y.; Toland, A.R.; Liu, P.; Wang, W.J.; Strano, M.S. Microscale solid-state thermal diodes enabling ambient temperature thermal circuits for energy applications. Phys. Chem. Chem. Phys. 2017, 19, 13172–13181. [Google Scholar] [CrossRef] [PubMed]
- Craven, G.T.; Nitzan, A. Electron transfer at thermally heterogeneous molecule-metal interfaces. J. Chem. Phys. 2017, 146, 092305. [Google Scholar] [CrossRef]
- Odebowale, A.A.; Berhe, A.M.; Hattori, H.T.; Miroshnichenko, A.E. Modeling and Analysis of a Radiative Thermal Memristor. Appl. Sci. 2024, 14, 2633. [Google Scholar] [CrossRef]
- Seifert, U. Stochastic thermodynamics, fluctuation theorems and molecular machines. Rep. Prog. Phys. 2012, 75, 126001. [Google Scholar] [CrossRef]
- Van den Broeck, C. Stochastic thermodynamics: A brief introduction. In Physics of Complex Colloids; IOS Press: Amsterdam, The Netherlands, 2013; Volume 184, pp. 155–193. [Google Scholar]
- Reimann, P. Brownian motors: Noisy transport far from equilibrium. Phys. Rev. 2002, 361, 57–265. [Google Scholar] [CrossRef]
- Brey, J.; Casado, J. Generalized Langevin equations with time-dependent temperature. J. Stat. Phys. 1990, 61, 713–722. [Google Scholar] [CrossRef]
- Popov, A.V.; Hernandez, R. Ontology of temperature in nonequilibrium systems. J. Chem. Phys. 2007, 126, 244506. [Google Scholar] [CrossRef] [PubMed]
- Popov, A.V.; Hernandez, R. Temperature-driven irreversible generalized Langevin equation can capture the nonequilibrium dynamics of two dissipated coupled oscillators. Phys. Rev. E 2013, 88, 032145. [Google Scholar] [CrossRef]
- Ford, I.J.; Laker, Z.P.L.; Charlesworth, H.J. Stochastic entropy production arising from nonstationary thermal transport. Phys. Rev. E 2015, 92, 042108. [Google Scholar] [CrossRef] [PubMed]
- Brandner, K.; Seifert, U. Periodic thermodynamics of open quantum systems. Phys. Rev. E 2016, 93, 062134. [Google Scholar] [CrossRef]
- Awasthi, S.; Dutta, S.B. Oscillating states of periodically driven anharmonic Langevin systems. Phys. Rev. E 2021, 103, 062143. [Google Scholar] [CrossRef]
- Portugal, P.; Brange, F.; Flindt, C. Effective temperature pulses in open quantum systems. Phys. Rev. Res. 2022, 4, 043112. [Google Scholar] [CrossRef]
- Lanoiselée, Y.; Stanislavsky, A.; Calebiro, D.; Weron, A. Temperature and friction fluctuations inside a harmonic potential. Phys. Rev. E 2022, 106, 064127. [Google Scholar] [CrossRef] [PubMed]
- Kuzkin, V.A.; Krivtsov, A.M. Ballistic resonance and thermalization in the Fermi-Pasta-Ulam-Tsingou chain at finite temperature. Phys. Rev. E 2020, 101, 042209. [Google Scholar] [CrossRef]
- Chen, R.; Craven, G.T. The effect of temperature oscillations on energy storage rectification in harmonic systems. J. Phys. Condens. Matter 2024, 36, 405201. [Google Scholar] [CrossRef]
- Bernardo, M.; Budd, C.; Champneys, A.R.; Kowalczyk, P. Piecewise-Smooth Dynamical Systems: Theory and Applications; Springer Science & Business Media: Berlin/Heidelberg, Germany, 2008; Volume 163. [Google Scholar]
- Bonet, C.; Jeffrey, M.R.; Martín, P.; Olm, J.M. Ageing of an oscillator due to frequency switching. Commun. Nonlinear Sci. Numer. Simul. 2021, 102, 105950. [Google Scholar] [CrossRef]
- Bonet, C.; Jeffrey, M.R.; Martín, P.; Olm, J.M. Novel slow–fast behaviour in an oscillator driven by a frequency-switching force. Commun. Nonlinear Sci. Numer. Simul. 2023, 118, 107032. [Google Scholar] [CrossRef]
- Han, X.; Bi, Q. Sliding fast–slow dynamics in the slowly forced Duffing system with frequency switching. Chaos Solitons Fractals 2023, 169, 113270. [Google Scholar] [CrossRef]
- Jiang, S.; Han, X.; Yu, H. A novel route to bursting by frequency switching in the slowly forced Duffing system. Nonlinear Dyn. 2024, 112, 19013–19022. [Google Scholar] [CrossRef]
- Sekimoto, K. Langevin Equation and Thermodynamics. Prog. Theor. Phys. Supp. 1998, 130, 17–27. [Google Scholar] [CrossRef]
- Craven, G.T.; Chen, R.; Nitzan, A. Upside/Downside statistical mechanics of nonequilibrium Brownian motion. II. Heat transport and energy partitioning of a free particle. J. Chem. Phys. 2018, 149, 104103. [Google Scholar] [CrossRef]
- Craven, G.T.; Nitzan, A. Upside/Downside statistical mechanics of nonequilibrium Brownian motion. I. Distributions, moments, and correlation functions of a free particle. J. Chem. Phys. 2018, 148, 044101. [Google Scholar] [CrossRef]
- Barato, A.C.; Roldán, E.; Martínez, I.A.; Pigolotti, S. Arcsine Laws in Stochastic Thermodynamics. Phys. Rev. Lett. 2018, 121, 090601. [Google Scholar] [CrossRef] [PubMed]
- Sabhapandit, S. Heat and work fluctuations for a harmonic oscillator. Phys. Rev. E 2012, 85, 021108. [Google Scholar] [CrossRef]
- Dhar, A.; Dandekar, R. Heat transport and current fluctuations in harmonic crystals. Phys. A 2015, 418, 49–64. [Google Scholar] [CrossRef]
- Reddy, P.; Jang, S.Y.; Segalman, R.A.; Majumdar, A. Thermoelectricity in Molecular Junctions. Science 2007, 315, 1568–1571. [Google Scholar] [CrossRef] [PubMed]
- Tan, A.; Balachandran, J.; Sadat, S.; Gavini, V.; Dunietz, B.D.; Jang, S.Y.; Reddy, P. Effect of Length and Contact Chemistry on the Electronic Structure and Thermoelectric Properties of Molecular Junctions. J. Am. Chem. Soc. 2011, 133, 8838–8841. [Google Scholar] [CrossRef] [PubMed]
- Lee, W.; Kim, K.; Jeong, W.; Zotti, L.A.; Pauly, F.; Cuevas, J.C.; Reddy, P. Heat dissipation in atomic-scale junctions. Nature 2013, 498, 209–212. [Google Scholar] [CrossRef] [PubMed]
- Kim, Y.; Jeong, W.; Kim, K.; Lee, W.; Reddy, P. Electrostatic control of thermoelectricity in molecular junctions. Nat. Nanotech. 2014, 9, 881–885. [Google Scholar] [CrossRef]
- Capozzi, B.; Xia, J.; Adak, O.; Dell, E.J.; Liu, Z.F.; Taylor, J.C.; Neaton, J.B.; Campos, L.M.; Venkataraman, L. Single-molecule diodes with high rectification ratios through environmental control. Nat. Nanotech. 2015, 10, 522–527. [Google Scholar] [CrossRef]
- Cui, L.; Hur, S.; Akbar, Z.A.; Klöckner, J.C.; Jeong, W.; Pauly, F.; Jang, S.Y.; Reddy, P.; Meyhofer, E. Thermal conductance of single-molecule junctions. Nature 2019, 572, 628–633. [Google Scholar] [CrossRef] [PubMed]
- Mosso, N.; Sadeghi, H.; Gemma, A.; Sangtarash, S.; Drechsler, U.; Lambert, C.; Gotsmann, B. Thermal Transport through Single-Molecule Junctions. Nano Lett. 2019, 19, 7614–7622. [Google Scholar] [CrossRef]
- Zimbovskaya, N.A.; Nitzan, A. Energy, Work, Entropy, and Heat Balance in Marcus Molecular Junctions. J. Phys. Chem. B 2020, 124, 2632–2642. [Google Scholar] [CrossRef] [PubMed]





Disclaimer/Publisher’s Note: The statements, opinions and data contained in all publications are solely those of the individual author(s) and contributor(s) and not of MDPI and/or the editor(s). MDPI and/or the editor(s) disclaim responsibility for any injury to people or property resulting from any ideas, methods, instructions or products referred to in the content. |
© 2024 by the authors. Licensee MDPI, Basel, Switzerland. This article is an open access article distributed under the terms and conditions of the Creative Commons Attribution (CC BY) license (https://creativecommons.org/licenses/by/4.0/).
Share and Cite
Chen, R.; Craven, G.T. Heat Transport Hysteresis Generated Through Frequency Switching of a Time-Dependent Temperature Gradient. Entropy 2025, 27, 18. https://doi.org/10.3390/e27010018
Chen R, Craven GT. Heat Transport Hysteresis Generated Through Frequency Switching of a Time-Dependent Temperature Gradient. Entropy. 2025; 27(1):18. https://doi.org/10.3390/e27010018
Chicago/Turabian StyleChen, Renai, and Galen T. Craven. 2025. "Heat Transport Hysteresis Generated Through Frequency Switching of a Time-Dependent Temperature Gradient" Entropy 27, no. 1: 18. https://doi.org/10.3390/e27010018
APA StyleChen, R., & Craven, G. T. (2025). Heat Transport Hysteresis Generated Through Frequency Switching of a Time-Dependent Temperature Gradient. Entropy, 27(1), 18. https://doi.org/10.3390/e27010018
