Sign in to use this feature.

Years

Between: -

Subjects

remove_circle_outline
remove_circle_outline
remove_circle_outline
remove_circle_outline
remove_circle_outline
remove_circle_outline
remove_circle_outline
remove_circle_outline
remove_circle_outline

Journals

Article Types

Countries / Regions

Search Results (95)

Search Parameters:
Keywords = non-invasive lipid indices

Order results
Result details
Results per page
Select all
Export citation of selected articles as:
18 pages, 1029 KB  
Article
Associations Between Systemic Inflammatory Markers, Metabolic Dysfunction, and Liver Fibrosis Scores in Patients with MASLD
by Ragaey Ahmad Eid, Ahmed Moheyeldien Hamed, Sara O. Elgendy, Khalid M. Orayj, Ahmed R. N. Ibrahim, Ahmed M. Abdel Hamied, Engy A. Wahsh, Maha Youssif, Hoda Rabea, Yasmin M. Madney, Dina Attia and Shaymaa Nafady
Metabolites 2026, 16(1), 25; https://doi.org/10.3390/metabo16010025 - 25 Dec 2025
Viewed by 430
Abstract
Background: Metabolic dysfunction-associated steatotic liver disease (MASLD) has emerged as a global health challenge due to its complex pathophysiological processes. Systemic inflammation may profoundly affect disease progression, but the correlation between inflammatory markers and disease severity remains inadequately explored. This cross-sectional analysis within [...] Read more.
Background: Metabolic dysfunction-associated steatotic liver disease (MASLD) has emerged as a global health challenge due to its complex pathophysiological processes. Systemic inflammation may profoundly affect disease progression, but the correlation between inflammatory markers and disease severity remains inadequately explored. This cross-sectional analysis within a prospective cohort evaluated associations of inflammatory markers (IL-6, TNF-α, hsCRP) with MASLD severity (five non-invasive scores) and metabolic indices, primarily with early-stage disease (66.7% mild fibrosis by TE). Methods: We recruited 120 patients diagnosed with MASLD. Assessment included anthropometric measurements, laboratory analyses, and non-invasive fibrosis evaluation using five validated scoring systems (APRI, FIB-4, NAFLD fibrosis score, FAST score, and transient elastography). Inflammatory markers were quantified using high-sensitivity ELISA techniques. Medication/comorbidities were recorded (statins 23.3%, diabetes drugs 26.7%), and multivariate regressions and FDR correction were applied. Results: Patients showed remarkably elevated inflammatory markers compared to reference ranges: IL-6 (15.1 ± 9.3 pg/mL), TNF-α (38.8 ± 29.1 pg/mL), and hsCRP (12.3 ± 11.1 mg/L). No correlations were found between inflammatory markers and disease severity across any non-invasive scoring system. However, TNF-α correlated significantly with waist circumference (r = 0.28, p = 0.002) and ALT (r = 0.19, p = 0.03), while showing inverse correlations with total cholesterol (r = −0.27, p = 0.03) and LDL (r = −0.22, p = 0.02). In contrast, hsCRP correlated positively with LDL (r = 0.20, p = 0.02) and WBC count (r = 0.24, p = 0.008). Conclusion: This study reveals a dissociation between systemic inflammatory markers and hepatic fibrosis severity in MASLD. Inflammatory Markers showed stronger metabolic associations than fibrosis, limiting their utility as fibrosis surrogates in early MASLD. These findings support a dual-pathway approach to MASLD management, targeting metabolic and hepatic components independently. The divergent associations of TNF-α and hsCRP with lipid profiles suggest distinct inflammatory mechanisms in MASLD. Full article
(This article belongs to the Special Issue Metabolomics and MASLD: Pathways, Biomarkers, and Clinical Insights)
Show Figures

Graphical abstract

19 pages, 3961 KB  
Article
Retinal Degeneration in Alzheimer’s Disease 5xFAD Mice Fed DHA-Enriched Diets
by Mário S. Pinho, Husaifa Ahfaz, Sandra Carvalho, Jorge Correia, Maria Spínola, José M. Pestana, Narcisa M. Bandarra and Paula A. Lopes
Cells 2026, 15(1), 8; https://doi.org/10.3390/cells15010008 - 19 Dec 2025
Viewed by 558
Abstract
Alzheimer’s disease (AD) is marked by cognitive decline, and also by retinal degeneration. Having in mind that docosahexaenoic acid (DHA, 22:6n − 3) is a safe, low-cost, and pivotal fatty acid for brain health and sustained cognitive function, this study exploits environmentally friendly [...] Read more.
Alzheimer’s disease (AD) is marked by cognitive decline, and also by retinal degeneration. Having in mind that docosahexaenoic acid (DHA, 22:6n − 3) is a safe, low-cost, and pivotal fatty acid for brain health and sustained cognitive function, this study exploits environmentally friendly non-fish sources as potential dietary supplements enriched with DHA to prevent or reverse AD. Forty 5xFAD transgenic male mice, aged five weeks old, were randomly distributed by five body weight-matched dietary groups (with eight animals each) and fed isocaloric diets based on the AIN-93M standard formulation for rodents for 6 months. Except for the control feed (without supplementation), each diet contained a modified lipidic fraction supplemented with 2% of the following: (1) linseed oil (LSO, rich in alpha-linolenic acid (ALA, 18:3n − 3)); (2) cod liver oil (fish oil, FO, rich in both DHA and eicosapentaenoic acid (EPA, 20:5n − 3)); (3) Schizochytrium sp. microalga oil (Schizo, with 40% of DHA); and (4) commercial DHASCO (DHASCO, with 70% of DHA). The aim of this study was to measure retinal neural layer thickness, calculate ganglion cell layer (GCL) density, and assess retinal injury by means of immunohistochemical staining for β-amyloid plaques deposition, TAU protein levels, and IBA1, as hallmark features of AD progression, in order to elucidate the effects of different dietary DHA treatments in Alzheimer’s retinas. Although no statistical differences were observed across retinal layer thicknesses depending on the diet (p > 0.05), there was a consistent pattern for slightly increased retinal thickness in 5xFAD mice fed fish oil relative to the others for the measurement of total layers, in general and for the inner segment/outer segment layer, the outer nuclear layer, the outer plexiform layer, the inner nuclear layer, and the inner plexiform layer, in particular. The ganglion cell layer (GCL) density was increased in 5xFAD mice fed the DHASCO oil diet relative to the control (p < 0.05), suggesting a benefit of DHA supplementation on the number of viable ganglion cells. No positive staining was observed for β-amyloid plaques deposition or the neuroinflammatory marker, IBA1, corroborating previous findings in human AD retinas. Conversely, the internal retinal layers showed intense TAU immunostaining. Immnunostained TAU area was significantly reduced in 5xFAD mice fed a fish oil diet compared to control (p < 0.05), although the number of TAU-positive cells did not differ across diets (p > 0.05). The retinal protected integrity derived from the benefits of DHA supplementation found, either from fish oil or DHASCO oil, underscores the potential of retinal biomarkers as non-invasive indicators of cognitive decline and overall brain health, opening new avenues for investigating AD pathophysiology in the retina. Full article
(This article belongs to the Special Issue Advances in the Discovery of Retinal Degeneration)
Show Figures

Figure 1

15 pages, 340 KB  
Article
Refining MASLD Phenotypes: Clinical, Metabolic, and Elastographic Differences Between Adipose Tissue Dysfunction and Obesity-Driven Disease
by Tudor Cosma, Lucretia Avram, Valer Donca, Alin Grosu, Laurentiu Stoicescu, Elena Buzdugan, Andrada Nemes, Andrei-Mihai Balan and Dana Crisan
Nutrients 2025, 17(24), 3940; https://doi.org/10.3390/nu17243940 - 17 Dec 2025
Viewed by 353
Abstract
Background/Objectives: Metabolic dysfunction-associated steatotic liver disease (MASLD) is a heterogeneous condition shaped by metabolic dysfunction, adipose tissue distribution, inflammatory activation, and body composition. Understanding how these factors interact across distinct clinical phenotypes is essential for improving diagnostic accuracy and risk stratification. This study [...] Read more.
Background/Objectives: Metabolic dysfunction-associated steatotic liver disease (MASLD) is a heterogeneous condition shaped by metabolic dysfunction, adipose tissue distribution, inflammatory activation, and body composition. Understanding how these factors interact across distinct clinical phenotypes is essential for improving diagnostic accuracy and risk stratification. This study aimed to compare metabolic, inflammatory, and elastographic profiles between MASLD subgroups defined by adipose tissue dysfunction (ATD) and obesity, and to identify pathways linking metabolic dysregulation to hepatic fibrosis. Methods: We conducted a cross-sectional observational study including 178 adult participants evaluated clinically, biochemically, and by bioimpedance and shear wave elastography. Participants ranged in age from 19 to 82 years. Patients were stratified into a non-MASLD control group and two MASLD subgroups: MASLD with ATD (G1) and MASLD with obesity (G2). Anthropometric data, lipid profile, glycemic markers, cytokines (IL-6, IL-10, TNF-α), liver stiffness, and non-invasive fibrosis indices were compared across groups using standard statistical testing. Results: Patients with MASLD showed higher liver stiffness, triglycerides, and IL-6/IL-10 levels than controls. Between MASLD phenotypes, the ATD group (G1) exhibited a more inflammatory and dysmetabolic profile, with significantly higher triglycerides, IL-6 levels, neutrophil counts, and creatinine, alongside trends suggesting early sarcopenic changes. In contrast, the obese phenotype (G2) demonstrated greater hepatic structural involvement, including higher liver stiffness and BMI, AST/ALT ratio and Diabetes (BARD) scores, despite more favorable inflammatory parameters. Several associations between liver stiffness, IL-6, and glycemic control approached but did not reach statistical significance. Conclusions: MASLD progression appears to follow two complementary but distinct mechanisms: an inflammatory, adipose dysfunction pathway dominated by IL-6 activation and early anabolic decline, and a metabolic-overload pathway driven by obesity. Phenotype-specific evaluation integrating inflammatory markers, metabolic indices, and elastographic parameters may improve risk stratification and inform personalized therapeutic strategies. Full article
(This article belongs to the Section Nutrition and Metabolism)
Show Figures

Figure 1

16 pages, 5434 KB  
Article
Screening of Salivary Biomarkers of Bisphosphonate-Related Osteonecrosis of the Jaw in a Diabetic Rat Model
by Ke Qin, Masato Nakagawa, Yoichi Sumi, Baiyan Zhang, Mamoru Uemura and Yoshitomo Honda
Curr. Issues Mol. Biol. 2025, 47(12), 1002; https://doi.org/10.3390/cimb47121002 - 28 Nov 2025
Viewed by 335
Abstract
Diabetes is a significant risk factor for bisphosphonate-related osteonecrosis of the jaw (BRONJ), a severe oral complication with limited treatment options. Salivary testing offers a noninvasive approach for monitoring BRONJ risk; however, few studies have investigated salivary biomarkers in BRONJ. This study screened [...] Read more.
Diabetes is a significant risk factor for bisphosphonate-related osteonecrosis of the jaw (BRONJ), a severe oral complication with limited treatment options. Salivary testing offers a noninvasive approach for monitoring BRONJ risk; however, few studies have investigated salivary biomarkers in BRONJ. This study screened salivary biomarkers that reflect the progression of BRONJ under diabetic conditions. A diabetic BRONJ rat model was established to screen for diabetes-related biochemical biomarkers in saliva. Streptozotocin (STZ) administration elevated blood glucose and glycated albumin levels and altered lipid and renal function markers, confirming diabetes induction. Subsequent zoledronic acid (ZA) administration and extraction of the maxillary first molar delayed epithelialization, inflammatory cell infiltration, bone exposure, and necrosis in extraction sockets, indicating successful establishment of a diabetic BRONJ model. This model showed reductions in submandibular and sublingual gland size, as well as in acinar cell number. Although salivary secretion volume was reduced, saliva samples were successfully collected from all groups. Screening identified elevated urea nitrogen (UN) and total ketone bodies (T-KB) in the STZ + ZA group. These findings suggest that salivary UN and T-KB may reflect disease progression and serve as potential biomarkers for predicting BRONJ risk under diabetic conditions. Full article
Show Figures

Graphical abstract

27 pages, 6249 KB  
Article
Chlorophyll Fluorescence and Biochemical Biomarkers Reveal Plasticizer Di-n-Butyl Phthalate-Induced Stress in Azolla pinnata
by Hari Dev Chaudhary, Upma Bhatt and Vineet Soni
Plants 2025, 14(23), 3629; https://doi.org/10.3390/plants14233629 - 28 Nov 2025
Viewed by 551
Abstract
Phthalates, particularly di-n-butyl phthalate (DBP), are persistent plasticizers that pose serious ecological risks to aquatic environments. This study evaluated the phytotoxic effects of DBP on the aquatic fern Azolla pinnata through morphological, biochemical, and photosynthetic responses. Plants were exposed to graded DBP concentrations [...] Read more.
Phthalates, particularly di-n-butyl phthalate (DBP), are persistent plasticizers that pose serious ecological risks to aquatic environments. This study evaluated the phytotoxic effects of DBP on the aquatic fern Azolla pinnata through morphological, biochemical, and photosynthetic responses. Plants were exposed to graded DBP concentrations (0–10 mg/L) for 4 and 8 days. Increasing DBP levels caused visible symptoms including frond chlorosis, necrosis, and root inhibition. Biochemically, total chlorophyll content declined by up to 95%, while malondialdehyde (MDA) levels increased by approximately 300% at 10 mg/L, confirming severe lipid peroxidation. Antioxidant enzymes showed biphasic trends: superoxide dismutase (SOD) and catalase (CAT) activities rose under moderate stress but declined by ~73% and ~78%, respectively, at the highest concentration, indicating oxidative enzyme suppression. Chlorophyll fluorescence analysis revealed strong, dose-dependent inhibition of photosystem II efficiency, characterized by reduced performance indices (PIabs, PIcs) and quantum yields (фPo, фEo), alongside increased фDo and Fo/Fm, indicating enhanced energy dissipation and photoinhibition. Overall, DBP exposure disrupted oxidative balance and PSII function in A. pinnata, demonstrating its high sensitivity to phthalate toxicity and validating chlorophyll fluorescence as a rapid, non-invasive biomonitoring tool for assessing aquatic pollutant stress. Full article
(This article belongs to the Section Plant Modeling)
Show Figures

Figure 1

22 pages, 2194 KB  
Article
On the Antimicrobial Potential of Asparagopsis armata’s Ethanol Extract: A New Multiple-Industry Bio-Product?
by Rafael Félix, Pedro Dias, Adriana P. Januário, Carina Félix, Andreu Blanco, Filipa Amaro, Paula Guedes de Pinho, Patrícia Valentão and Marco F. L. Lemos
Int. J. Mol. Sci. 2025, 26(23), 11358; https://doi.org/10.3390/ijms262311358 - 24 Nov 2025
Viewed by 474
Abstract
The identification and development of novel antimicrobials is a crucial challenge in the face of increasing antibiotic and antimycotic resistance. As such, there is growing interest in exploring the chemical diversity of natural sources, such as invasive seaweeds such as Asparagopsis armata. [...] Read more.
The identification and development of novel antimicrobials is a crucial challenge in the face of increasing antibiotic and antimycotic resistance. As such, there is growing interest in exploring the chemical diversity of natural sources, such as invasive seaweeds such as Asparagopsis armata. The valorization of such sources can further contribute to the development of bio-based industries, aligning with societal goals for environmental and economic sustainability. Therefore, a solid-liquid extraction method was performed using ethanol, and the obtained extract was studied for chemical composition elucidation, bioactivity, and toxicity evaluation. Analysis by GC-MS revealed some major chromatographic peaks, including floridoside (2-α-O-D-galactopyranosyl glycerol), glycerol, and oleamide. Also, several other smaller peaks were tentatively attributed to Low Molecular Weight Carbohydrate Derivatives, including isosaccharino-1,4-lactone, which had only been reported once in nature. The extract demonstrated significant antioxidant activity as measured by Ferric Reducing Antioxidant Potential and Oxygen Radical Absorption Capacity, but not by Lipid Peroxidation Inhibitory Potential assays, which is in line with its polar nature. The extract exhibited antimicrobial activity against various microorganisms, with a MIC of 2 mg/mL observed for Staphylococcus epidermidis, Vibrio parahaemolyticus, and the three yeast strains tested. Moreover, the extract inhibited the growth and phenotypic changes in filamentous fungi, which may result in reduced virulence. Specifically, the extract inhibited sporulation in Aspergillus fumigatus and orange pigmentation in Fusarium graminearum, possibly by a reduction in the production of aurofusarin, rubrofusarin, and mycotoxins. In vitro cell viability assays in 3T3, RAW264.7, and HaCaT demonstrated the extract was not cytotoxic or presented low cytotoxicity at concentrations up to 0.1 mg/mL, but a strong cytotoxic effect was observed at 1 mg/mL. At non-cytotoxic concentrations, the ethanol extract inhibited up to 48% of NO production in LPS-stimulated RAW264.7. This may indicate that anti-inflammatory activity may add to the antimicrobial activity in human and animal systemic and topical applications of the extract. In this work, new molecules were reported in A. armata, and the bioactivities reported were novel for this extract and algal species—especially through the choice of uncommon but very relevant pathogens to study. Our findings are a valuable contribution to addressing challenges in human and animal health, food and feed technology, as well as animal husbandry and agriculture. Full article
(This article belongs to the Special Issue Advances and Emerging Trends in Marine Natural Products)
Show Figures

Figure 1

60 pages, 604 KB  
Review
Sperm-Derived Extracellular Vesicles (Sperm-EVs), Emerging Biomarkers and Functional Modulators in Male Infertility and Assisted Reproduction
by Charalampos Voros, Fotios Chatzinikolaou, Georgios Papadimas, Spyridon Polykalas, Despoina Mavrogianni, Aristotelis-Marios Koulakmanidis, Diamantis Athanasiou, Vasiliki Kanaka, Maria Kanaka, Kyriakos Bananis, Antonia Athanasiou, Aikaterini Athanasiou, Ioannis Papapanagiotou, Dimitrios Vaitsis, Charalampos Tsimpoukelis, Maria Anastasia Daskalaki, Marianna Theodora, Nikolaos Thomakos, Panagiotis Antsaklis, Dimitrios Loutradis and Georgios Daskalakisadd Show full author list remove Hide full author list
Genes 2025, 16(12), 1400; https://doi.org/10.3390/genes16121400 - 22 Nov 2025
Viewed by 1497
Abstract
Background/Objectives: Approximately 50% of infertility cases are attributable to male factors; yet conventional semen examination can not identify the molecular abnormalities that hinder sperm functionality. Extracellular vesicles (EVs) derived from sperm, such as testicular EVs, prostasomes, and epididymosomes, have become important modulators of [...] Read more.
Background/Objectives: Approximately 50% of infertility cases are attributable to male factors; yet conventional semen examination can not identify the molecular abnormalities that hinder sperm functionality. Extracellular vesicles (EVs) derived from sperm, such as testicular EVs, prostasomes, and epididymosomes, have become important modulators of oocyte activation, sperm maturation, capacitation, acrosome stability, motility, and early embryonic development. This study aimed to evaluate the potential diagnostic and translational uses of sperm-associated extracellular vesicles (EVs) in male infertility and assisted reproduction, while also consolidating recent insights on their origins, composition, and functional significance. Methods: A focused narrative search of PubMed (2000–2025) was conducted using backward and forward citation tracking. Studies that qualified included human clinical cohorts, functional sperm extracellular vesicle tests, and omics analyses using MISEV-aligned extracellular vesicle isolation and characterisation methodologies. When human mechanistic understanding was constrained, knowledge from animal research was selectively integrated. Results: The cargo signatures specific to the source identified in sperm-derived and seminal EVs encompass proteins, small RNAs, lipids, and enzymatic modules that govern sperm maturation, capacitation, acrosome reaction, redox balance, calcium signalling, zona binding, and DNA integrity. Density-resolved seminal extracellular vesicle subfractions (EV-H/EV-M/EV-L) have unique functional and proteomic characteristics linked to progesterone-induced hyperactivation, oxidative stress, and motility. Asthenozoospermia and oligoasthenoteratozoospermia are associated with changes in extracellular vesicle composition, reduced embryonic developmental potential, compromised oocyte activation (related to PLCζ), and increased sperm DNA fragmentation. Numerous EV-related miRNA and protein signatures may predict TESE results, identify functional sperm anomalies not recognised by conventional semen analysis, and differentiate between obstructive and non-obstructive azoospermia. Conclusions: The available findings indicate that sperm-derived extracellular vesicles are significant functional regulators of sperm physiology and may serve as valuable non-invasive indicators for male infertility. The standardisation of EV isolation, characterisation, and clinical validation is essential prior to widespread use; nonetheless, their integration into liquid biopsy methods and assisted reproductive technology processes represents a significant improvement. Full article
(This article belongs to the Section Human Genomics and Genetic Diseases)
21 pages, 5181 KB  
Article
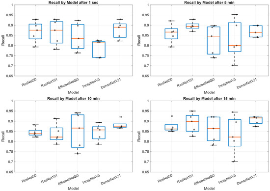
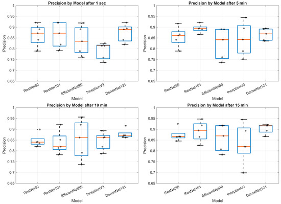
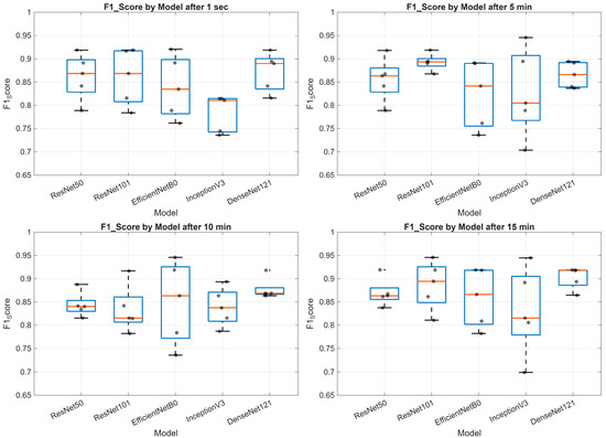
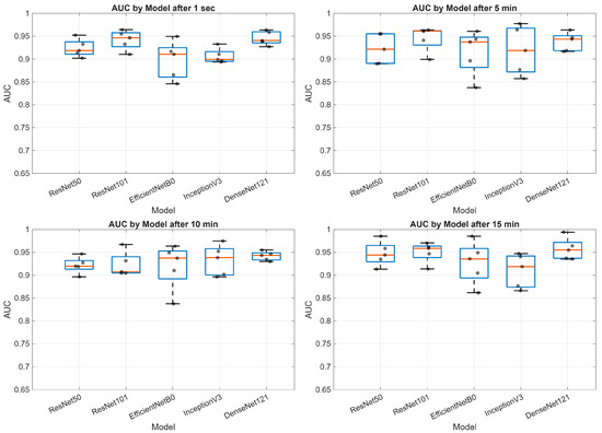
AI-Based Image Time-Series Analysis of the Niacin Skin Flush Test in Schizophrenia and Bipolar Disorder
by Ryszard Sitarz, Arkadiusz Syta, Robert Karpiński, Anna Machrowska, Joanna Róg, Kaja Karakuła, Dariusz Juchnowicz and Hanna Karakuła-Juchnowicz
Appl. Sci. 2025, 15(23), 12368; https://doi.org/10.3390/app152312368 - 21 Nov 2025
Viewed by 378
Abstract
Psychotic disorders such as schizophrenia (SCH) and bipolar affective disorder (BD) are associated with lipid metabolism abnormalities and inflammatory dysregulation. The niacin skin flush test (NSFT) has long been investigated as a non-invasive indicator of these disturbances. This study used deep learning models [...] Read more.
Psychotic disorders such as schizophrenia (SCH) and bipolar affective disorder (BD) are associated with lipid metabolism abnormalities and inflammatory dysregulation. The niacin skin flush test (NSFT) has long been investigated as a non-invasive indicator of these disturbances. This study used deep learning models to assess the diagnostic utility of SKINREMS, a computerized system for automated temporal analysis of skin flush responses. The study included a total of 188 participants, comprising individuals with psychotic disorders and healthy controls. Sequential skin images were recorded after topical application of methyl nicotinate. Five convolutional neural network architectures—ResNet50, ResNet101, DenseNet121, InceptionV3, and EfficientNetB0—were evaluated for their performance in analyzing these time-dependent dermatological responses in a binary classification task. Accuracy, precision, recall, F1-score, and AUC were calculated at four time points (frames 1, 10, 20, 30). The models demonstrated distinct temporal performance profiles. ResNet50 showed consistent high performance across all time points, making it suitable for clinical environments requiring stable predictions. DenseNet121 achieved the highest AUC (up to 0.99) after 15 min, indicating its potential in extended monitoring. EfficientNetB0 offered gradual performance improvement with lower computational demands, while InceptionV3 was most effective at intermediate time points. ResNet101 showed initial high performance but declined mid-phase. AUC remained stable across all models, suggesting robust discriminative capability over time. This study highlights the importance of selecting appropriate deep learning architectures based on the temporal dynamics of biological responses. The findings demonstrate potential for future clinical application of AI in non-invasive diagnostics of psychotic spectrum disorders. Full article
Show Figures

Figure 1

56 pages, 606 KB  
Review
‘‘Non-Invasive Extracellular Vesicle Biomarkers in Endometriosis, Molecular Signatures Linking Pelvic Inflammation, Oocyte Quality, and IVF Outcomes’’
by Charalampos Voros, Fotios Chatzinikolaou, Ioakeim Sapantzoglou, Georgios Papadimas, Spyridon Polykalas, Despoina Mavrogianni, Aristotelis-Marios Koulakmanidis, Diamantis Athanasiou, Vasiliki Kanaka, Maria Kanaka, Kyriakos Bananis, Antonia Athanasiou, Aikaterini Athanasiou, Ioannis Papapanagiotou, Dimitrios Vaitsis, Charalampos Tsimpoukelis, Maria Anastasia Daskalaki, Marianna Theodora, Nikolaos Thomakos, Panagiotis Antsaklis, Dimitrios Loutradis and Georgios Daskalakisadd Show full author list remove Hide full author list
Curr. Issues Mol. Biol. 2025, 47(11), 956; https://doi.org/10.3390/cimb47110956 - 17 Nov 2025
Viewed by 1600
Abstract
Endometriosis impairs fertility by interfering with ovarian function, embryonic development, and endometrial receptivity. Extracellular vesicles (EVs) are recognised as non-invasive biomarkers that may indicate biological processes based on their lipid, protein, and microRNA composition. This narrative review synthesises current data on extracellular vesicle [...] Read more.
Endometriosis impairs fertility by interfering with ovarian function, embryonic development, and endometrial receptivity. Extracellular vesicles (EVs) are recognised as non-invasive biomarkers that may indicate biological processes based on their lipid, protein, and microRNA composition. This narrative review synthesises current data on extracellular vesicle (EV) signatures in serum/plasma, menstrual blood, follicular fluid, and uterine fluid in endometriosis patients using assisted reproductive technology (ART). We highlight critical EV-mediated processes, such as progesterone signalling, fibrosis, angiogenesis, inflammation, and metabolism, and their associations with oocyte competence, embryo development, and implantation. Certain EV-miRNA profiles, including miR-22-3p, miR-320a, the miR-200 family, and miR-145-5p, have shown use for diagnostic and prognostic purposes in various investigations. These characteristics are associated with live birth, implantation, and blastocyst quality. We propose a clinical framework that incorporates (i) menstrual-blood EVs for non-invasive endotyping, (ii) serum/plasma EV profiling for baseline risk stratification, and (iii) pre-transfer uterine-fluid EV evaluation to inform embryo-transfer decisions. Translation requires standardisation, cycle phase control, and prior validation. EVs may serve as a beneficial instrument for personalised in vitro fertilisation operations for ladies experiencing infertility due to endometriosis. Full article
(This article belongs to the Section Molecular Medicine)
20 pages, 2376 KB  
Article
Serum Fourier-Transform Infrared Spectroscopy with Machine Learning for Screening of Pediatric Acute Lymphoblastic Leukemia: A Proof-of-Concept Study
by Aneta Kowal, Paweł Jakubczyk, Wioletta Bal, Zuzanna Piasecka, Klaudia Szuler, Kornelia Łach, Katarzyna Sopel, Józef Cebulski and Radosław Chaber
Cancers 2025, 17(21), 3548; https://doi.org/10.3390/cancers17213548 - 1 Nov 2025
Viewed by 791
Abstract
Background: Acute lymphoblastic leukemia (ALL) is the most common childhood malignancy, yet diagnosis still relies primarily on invasive bone-marrow procedures and advanced laboratory assays. Non-invasive, rapid, and cost-effective tools remain an unmet need. Fourier-transform infrared (FTIR) spectroscopy has shown promise for detecting cancer-associated [...] Read more.
Background: Acute lymphoblastic leukemia (ALL) is the most common childhood malignancy, yet diagnosis still relies primarily on invasive bone-marrow procedures and advanced laboratory assays. Non-invasive, rapid, and cost-effective tools remain an unmet need. Fourier-transform infrared (FTIR) spectroscopy has shown promise for detecting cancer-associated biochemical changes in biofluids and cells. Methods: Serum from pediatric ALL patients and controls (n = 103; ALL = 45, controls = 58: healthy = 14, hematology controls = 44 with anemia, thrombocytopenia, leukopenia, and pancytopenia) was analyzed using FTIR. Spectra (800–1800, 2800–3500 cm−1) were preprocessed with baseline correction, derivative filtering, and normalization. Group differences were assessed statistically, and logistic regression with stratified 10-fold cross-validation was applied; Receiver operating characteristic (ROC)\precision–recall (PR) analyses were based on out-of-fold predictions. Results: Distinct spectral alterations were observed between ALL and controls. Leukemia samples showed higher amide I (~1640 cm−1) and amide II (~1545 cm−1) absorbance, lower lipid-related bands (~1450, ~2920 cm−1), and increased nucleic-acid–associated signals (~1080 cm−1). Differences were significant (q < 0.05) with moderate effect sizes. Logistic regression achieved area under the curve (AUC) ≈ 0.80 with sensitivity ~0.73–0.84 across practical decision thresholds (0.50 → 0.30) and higher recall attainable at the expense of specificity. Principal component analysis (PCA)\hierarchical cluster analysis (HCA) indicated partial but consistent group separation, aligning with supervised performance. Conclusions: Serum FTIR spectroscopy shows promise for distinguishing pediatric ALL from controls by reflecting disease-related metabolic changes. The technique is rapid, label-free, and requires only small serum volumes. Our findings represent proof-of-concept, and validation in larger, multi-center studies is needed before clinical implementation can be considered. Full article
(This article belongs to the Special Issue Recent Advances in Hematological Malignancies in Children)
Show Figures

Graphical abstract

19 pages, 2322 KB  
Article
Dose-Dependent Effects of Boron on Photosynthetic and Oxidative Processes in Young Sugar Beet (Beta vulgaris L.) Plants
by Ferenc Csima, Richárd Hoffmann, Gabriella Kazinczi and Ildikó Jócsák
Stresses 2025, 5(4), 61; https://doi.org/10.3390/stresses5040061 - 16 Oct 2025
Viewed by 665
Abstract
Sugar beet (Beta vulgaris L.) is very sensitive to fluctuations in micronutrient availability, and either an excess or a shortage of boron (B) may reduce the plant’s development and its ability to withstand stress. B is essential for photosynthesis and cell wall [...] Read more.
Sugar beet (Beta vulgaris L.) is very sensitive to fluctuations in micronutrient availability, and either an excess or a shortage of boron (B) may reduce the plant’s development and its ability to withstand stress. B is essential for photosynthesis and cell wall integrity, but the physiological requirements for an optimal supply during early development remain unclear. The photosynthetic efficiency and oxidative stress reactions of sugar beet seedlings were tested under five different B concentrations: 0, 50, 500, 1000, and 2000 µM H3BO3. Integrating non-invasive methods like SPAD, delayed fluorescence (DF), and maximum quantum efficiency of PSII (Fv/Fm) with red–green–blue (RGB) imaging enabled the detailed processing of both the initial and decay phases of DF. According to the results, SPAD and Fv/Fm were not sensitive indicators of early B stress; however, DF decay slopes and red–green–blue pixel distribution distinguished between optimum (500 µM), inadequate (0 µM), and hazardous (2000 µM) treatments. Moreover, lipid oxidation-related biochemical analyses were used to evaluate the ferric reducing antioxidant capacity (FRAP) and malondialdehyde (MDA) concentration. At the extremes of insufficiency and toxicity, MDA levels demonstrated enhanced lipid peroxidation, while FRAP increased with B concentration. The outcome of the research revealed optimum (500 µM) and toxicity-inducing (2000 µM) concentrations at early stages of sugar beet development. The study highlights that the combined use of DF kinetics and RGB analysis provides valuable, non-invasive markers for the early identification of B-stress, which is also confirmed by biochemical indicators, thereby promoting more efficient micronutrient management in sugar beet cultivation. Full article
(This article belongs to the Collection Feature Papers in Plant and Photoautotrophic Stresses)
Show Figures

Figure 1

17 pages, 1401 KB  
Article
The Impact of Antidiabetic Therapy on Liver Injury, Steatosis, and Fibrosis in Patients with Type 2 Diabetes and Metabolic Dysfunction-Associated Steatotic Liver Disease
by Oana Albai, Adina Braha, Romulus Timar, Sandra Lazăr, Simona Popescu and Bogdan Timar
Medicina 2025, 61(10), 1850; https://doi.org/10.3390/medicina61101850 - 15 Oct 2025
Viewed by 1054
Abstract
Background and Objectives: Metabolic dysfunction-associated steatotic liver disease (MASLD) is closely linked with type 2 diabetes mellitus (T2D) and obesity. Despite its growing prevalence, effective pharmacological interventions remain limited, with antidiabetic agents such as glucagon-like peptide-1 receptor agonists (GLP-1 RA) and sodium-glucose [...] Read more.
Background and Objectives: Metabolic dysfunction-associated steatotic liver disease (MASLD) is closely linked with type 2 diabetes mellitus (T2D) and obesity. Despite its growing prevalence, effective pharmacological interventions remain limited, with antidiabetic agents such as glucagon-like peptide-1 receptor agonists (GLP-1 RA) and sodium-glucose cotransporter-2 inhibitors (SGLT2i) showing emerging promise. This study aimed to evaluate the impact of different antidiabetic therapies on hepatic steatosis, fibrosis, and cardiometabolic risk factors in patients with T2D and MASLD from Romania. Materials and Methods: We conducted a prospective observational study involving 256 patients with T2D and MASLD followed up for 6 months. Assessed parameters included anthropometry, glycemic indices, lipid profile, renal function, liver enzymes, and non-invasive evaluation of hepatic steatosis and fibrosis. Patients were 53% women, had a median age of 63 years, a median BMI of 32.2 kg/m2, a median baseline CAP of 281 dB/m, a FibroScan of 8.9 kPa, and an HbA1c of 8.0%. Results: CAP decreased significantly from 281 to 245 dB/m, p < 0.0001; FibroScan from 8.9 to 8.0 kPa, p < 0.0001. The largest changes were observed in the GLP-1 RA subgroup (CAP −50 dB/m, FibroScan −1.0 kPa, weight −8.0 kg, HbA1c −0.7%), and in the SGLT2i subgroup (CAP −30.5 dB/m, FibroScan −0.7 kPa, weight −4.0 kg, HbA1c −0.5%). In regression analysis, independent factors associated with CAP improvement included GLP-1 RA therapy (β = 44.5, 95% CI 38.3–50.6, p < 0.0001), SGLT2i therapy (β = 23.4, 95% CI 15.7–31.1, p < 0.0001), and ≥10% weight loss (β = 23.2, 95% CI 12–34.4, p < 0.0001). For FibroScan improvement, GLP-1 RA (β = 1.0, 95% CI 0.8–1.2, p < 0.0001) and SGLT2i (β = 0.5, 95% CI 0.3–0.7, p < 0.0001) therapies were both significant. Conclusions: Antidiabetic therapy, particularly GLP-1 RA, was significantly associated with improvement in hepatic steatosis, fibrosis, and cardiometabolic risk in T2D patients with MASLD beyond the weight reduction effect. However, weight loss and lipid modulation enhance these benefits, supporting the development of integrated therapeutic strategies for this high-risk population. Full article
(This article belongs to the Section Endocrinology)
Show Figures

Figure 1

18 pages, 300 KB  
Article
Predicting Beef Fatty Acid Composition from Diet and Plasma Profiles Using Multivariate Models
by Marco Acciaro, Leonardo Sulas, Gianfranca Carta, Sebastiano Banni, Elisabetta Murru, Claudia Manca, Corrado Dimauro, Myriam Fiori, Andrea Cabiddu, Giovanni Antonio Re, Maria Giovanna Molinu, Giovanna Piluzza and Valeria Giovanetti
Animals 2025, 15(20), 2969; https://doi.org/10.3390/ani15202969 - 14 Oct 2025
Viewed by 1041
Abstract
The nutritional value of beef is highly influenced by its fatty acid composition. This study evaluated whether diet proximate analyses or plasma fatty acid profiles could predict the meat fatty acid composition in young beef cattle finished at pasture or with hay- and [...] Read more.
The nutritional value of beef is highly influenced by its fatty acid composition. This study evaluated whether diet proximate analyses or plasma fatty acid profiles could predict the meat fatty acid composition in young beef cattle finished at pasture or with hay- and concentrate-based diets in stalls. Eighteen crossbred animals (Limousine × Sardo-Bruna) were analyzed for plasma and the intramuscular fat composition of Longissimus thoracis (LT) and Musculus gluteus maximus (MGM). A canonical correlation analysis revealed strong relationships between the dietary antioxidant capacity and meat lipid profiles, particularly for α-linolenic acid and conjugated linoleic acid. The redundancy index indicated that diet explained 38% of the variance in LT fatty acids and 20% in MGM. Partial least squares regression achieved a high precision and accuracy (R2 up to 0.94), with a low root mean square error of prediction and high predictive ability (Q2 > 0.85), in predicting the intramuscular fatty acid composition from plasma samples. Overall, (i) animals consuming diets with a higher antioxidant capacity and rich in n-3 precursors (ether extract) have healthier fat profiles, and (ii) plasma fatty acid profiling can be a powerful method for monitoring meat quality. This approach provides farmers with a non-invasive tool to improve meat quality management and promote healthier beef products. Full article
24 pages, 4858 KB  
Article
A Holistic Approach to Metabolic Health Assessment—Analysis of Bioimpedance, Blood, and Saliva Biochemistry in Population Studies—A Pilot Study
by Aleksandra Stawiarska, Renata Francik, Anna Mikulec, Marek Zborowski, Urszula Cisoń-Apanasewicz, Ryszard Gajdosz, Iwona Zaczyk, Halina Potok, Agnieszka Radom, Dorota Ogonowska and Elżbieta Rafa
Metabolites 2025, 15(9), 591; https://doi.org/10.3390/metabo15090591 - 7 Sep 2025
Viewed by 1215
Abstract
Background: Metabolic syndrome is a multifaceted condition involving lipid and carbohydrate metabolism disorders and hypertension, increasing the risk of cardiovascular disease and type 2 diabetes. Accurate diagnosis and prevention require an interdisciplinary approach that includes both traditional lab tests and modern, non-invasive health [...] Read more.
Background: Metabolic syndrome is a multifaceted condition involving lipid and carbohydrate metabolism disorders and hypertension, increasing the risk of cardiovascular disease and type 2 diabetes. Accurate diagnosis and prevention require an interdisciplinary approach that includes both traditional lab tests and modern, non-invasive health assessments. Methods: This study aimed to evaluate metabolic health in adults from the Małopolska Voivodeship by analyzing the relationships between obesity indicators (BMI, waist circumference) and anthropometric, blood, and salivary biomarkers. Sixty-three participants (36 women, 27 men) aged 40–71 underwent body composition analysis (InBody 770), anthropometric measurements, and biochemical tests of blood and saliva. Assessed parameters included body composition (BMI, BFM, FFM, SMM, PBF, VFA, PA), blood pressure, blood biomarkers (glucose, TG, LDL, HDL, HbA1c, insulin, cortisol), and salivary markers (FRAP, DPPH, urea, amylase activity, protein content, pH, buffering capacity). Results: The results showed a strong correlation between body composition and biochemical markers, but the results of the analyzed salivary biomarkers were inconclusive and, in some cases, contradictory to the findings of other authors. Conclusions: Fat mass, cell integrity, and diastolic pressure were key determinants of waist circumference. Our research confirms the validity of using combined diagnostics, bioimpedance, and blood analysis for a comprehensive assessment of metabolic health and indicates the direction for further research using salivary biomarkers. A holistic approach improves risk assessment and strengthens preventive and therapeutic strategies. However, our pilot study showed that the research requires a larger sample size, especially in order to draw representative conclusions regarding salivary biomarkers and their relationship to metabolic health. Full article
(This article belongs to the Special Issue Metabolic Changes in Diet-Mediated Inflammatory Diseases)
Show Figures

Graphical abstract

14 pages, 770 KB  
Article
Diagnostic Accuracy of Anthropometric and Metabolic Indicators for Predicting MASLD: Evidence from a Large Cohort of Spanish Workers Using FLI and LAP
by Juan José Guarro Miguel, Pedro Juan Tárraga López, María Dolores Marzoa Jansana, Ángel Arturo López-González, Pere Riutord Sbert, Carla Busquets-Cortés and José Ignacio Ramirez-Manent
Med. Sci. 2025, 13(3), 160; https://doi.org/10.3390/medsci13030160 - 1 Sep 2025
Viewed by 1102
Abstract
Background: Metabolic-dysfunction-associated steatotic liver disease (MASLD) is a major global health concern associated with insulin resistance, metabolic syndrome, and cardiovascular morbidity. Early identification of at-risk individuals through simple, non-invasive methods is essential, particularly in working populations. Objectives: This study aimed to assess and [...] Read more.
Background: Metabolic-dysfunction-associated steatotic liver disease (MASLD) is a major global health concern associated with insulin resistance, metabolic syndrome, and cardiovascular morbidity. Early identification of at-risk individuals through simple, non-invasive methods is essential, particularly in working populations. Objectives: This study aimed to assess and compare the diagnostic accuracy of four widely used anthropometric and metabolic indicators—body mass index (BMI), waist-to-height ratio (WtHR), triglyceride–glucose index (TyG), and waist–triglyceride index (WTI)—in identifying individuals at risk of metabolic-dysfunction-associated steatotic liver disease (MASLD), as determined by the Fatty Liver Index (FLI) and the Lipid Accumulation Product (LAP), within a large sample of Spanish workers. Methods: A cross-sectional analysis was performed on data from 386,924 Spanish employees aged between 18 and 69 years. Standardized anthropometric and laboratory measurements were obtained as part of routine occupational medical examinations conducted from 2021 to 2023. The presence of NAFLD was inferred using two validated surrogate markers: FLI and LAP. Receiver operating characteristic (ROC) curves and area under the curve (AUC) values were used to assess the discriminatory ability of each index, stratified by sex. Results: WTI and TyG demonstrated the highest diagnostic accuracy for both FLI- and LAP-defined NAFLD, with AUC values >0.95 in both sexes. WTI showed the best overall performance, followed closely by TyG. WtHR outperformed BMI but was less accurate than the metabolic indices. Sex-stratified analyses confirmed consistent patterns, with slightly higher AUCs for TyG and WTI in women. BMI consistently yielded the lowest discriminatory performance. Conclusions: WTI and TyG are superior to BMI and WtHR for non-invasive screening of MASLD in occupational settings. Their simplicity, low cost, and strong predictive value support their integration into routine workplace health surveillance. Sex-specific thresholds and prospective validation are warranted to enhance clinical application. Full article
Show Figures

Figure 1

Back to TopTop