Sign in to use this feature.

Years

Between: -

Subjects

remove_circle_outline
remove_circle_outline
remove_circle_outline
remove_circle_outline
remove_circle_outline
remove_circle_outline
remove_circle_outline
remove_circle_outline
remove_circle_outline

Journals

Article Types

Countries / Regions

Search Results (49)

Search Parameters:
Keywords = niche breadth and overlap

Order results
Result details
Results per page
Select all
Export citation of selected articles as:
21 pages, 3382 KB  
Article
Dietary Analysis of Commercial Fish (Families Mullidae and Sparidae) from Bay of Cádiz, Southern Spain: An Integrative Approach
by José Manuel Guerra-García, Sandra Calero-Cano, Pablo Arechavala-Lopez, Juan Lucas Cervera-Currado and Iñigo Donázar-Aramendía
Fishes 2025, 10(12), 650; https://doi.org/10.3390/fishes10120650 - 16 Dec 2025
Abstract
A combination of stomach contents analysis (SCA) and nitrogen (δ15N) and carbon (δ13C) stable isotope analysis (SIA) was used to assess the trophic structure of nine fish species (two belonging to the family Mullidae, Mullus barbatus and Mullus surmuletus [...] Read more.
A combination of stomach contents analysis (SCA) and nitrogen (δ15N) and carbon (δ13C) stable isotope analysis (SIA) was used to assess the trophic structure of nine fish species (two belonging to the family Mullidae, Mullus barbatus and Mullus surmuletus, and seven belonging to the family Sparidae, Diplodus sargus, Diplodus vulgaris, Pagellus acarne, Pagellus erythrinus, Pagrus auriga, Pagrus pagrus, and Sparus aurata) with high commercial value in the Bay of Cádiz, Southern Spain. A total of 91 different food items were identified in the stomachs, mainly belonging to four animal phyla (Arthropoda, Mollusca, Annelida, and Echinodermata). Crustaceans (primarily decapods and amphipods) were the most common prey consumed by the species of Mullus, Pagrus, and Pagellus, whereas macroalgae, polychaetes, and molluscs were dominant in D. sargus, D. vulgaris, and S. aurata stomachs, respectively. Diet composition and isotopic signature differed among fish species, indicating food partitioning among coexisting species. Some discrepancies appeared when comparing fish trophic level using SCA versus SIA, since SCA provides information on recently consumed items, while SIA generates data about source utilization over a period of several months. Integration of both approaches offers a more comprehensive understanding of feeding strategies. Dietary studies shed light on the trophic ecology of commercial fish species, being the baseline for future ecological modelling and long-term management of marine resources. Full article
19 pages, 2435 KB  
Article
Insights from Fishery Discards: Age and Feeding Habits of Large-Scaled Gurnard (Lepidotrigla cavillone, Lacepède 1801) and Spiny Gurnard (Lepidotrigla dieuzeidei, Blanc & Hureau 1973) in the Gulf of Cádiz (SW Iberian Peninsula)
by Carlos Rodríguez-García, Óscar Lago-Piñeiro, Jesica Sarmiento-Carbajal and Remedios Cabrera-Castro
Fishes 2025, 10(12), 615; https://doi.org/10.3390/fishes10120615 - 1 Dec 2025
Viewed by 236
Abstract
Despite their ecological importance, discarded species with low commercial value are often overlooked in marine research. This study examined the age structure and feeding habits of the large-scaled gurnard (Lepidotrigla cavillone) and the spiny gurnard (Lepidotrigla dieuzeidei) in the [...] Read more.
Despite their ecological importance, discarded species with low commercial value are often overlooked in marine research. This study examined the age structure and feeding habits of the large-scaled gurnard (Lepidotrigla cavillone) and the spiny gurnard (Lepidotrigla dieuzeidei) in the Gulf of Cádiz (SW Iberian Peninsula). A total of 225 specimens were collected during 19 fishing trips at depths of 15–550 m. Ages were estimated from otolith readings, and stomach contents were analysed to describe diet composition, niche breadth, and overlap. Both species showed positive allometric growth, with the most frequent age class being 5+ in L. cavillone and 5+–6+ in L. dieuzeidei. Crustaceans dominated the diet, with mysids accounting for >80% of the index of relative importance (IRI) in L. cavillone, but L. dieuzeidei displayed a broader diet including mysids (45% IRI) and decapods (32% IRI). Feeding patterns varied with time of day, depth, and size, reflecting ontogenetic and environmental influences. Levin’s index indicated stronger specialization in L. cavillone (BA = 0.090) than in L. dieuzeidei (BA = 0.208), while the Schoener index (0.575) showed moderate overlap. These findings provide the first biological insights into these discarded species in Atlantic waters, contributing to ecosystem-based fisheries management. Full article
(This article belongs to the Section Biology and Ecology)
Show Figures

Figure 1

14 pages, 3890 KB  
Article
Competition and Environmental Stress Impacts on Trophic Performance of Three Sympatric Insectivorous Lizard Species in Eastern Spain
by Robby M. Drechsler and Juan S. Monrós
Sci 2025, 7(4), 146; https://doi.org/10.3390/sci7040146 - 11 Oct 2025
Viewed by 455
Abstract
Trophic ecology is an important aspect to consider when studying interactions between species, especially in ecologically similar species. We studied the trophic ecology of three sympatric insectivorous lizards in a dune system in the Eastern Iberian Peninsula: Acanthodactylus erythrurus, Psammodromus algirus and [...] Read more.
Trophic ecology is an important aspect to consider when studying interactions between species, especially in ecologically similar species. We studied the trophic ecology of three sympatric insectivorous lizards in a dune system in the Eastern Iberian Peninsula: Acanthodactylus erythrurus, Psammodromus algirus and Psammodromus edwardsianus. We obtained a total of 485 faecal samples and found 18 different prey groups. The trophic niche breath analysis showed that A. erythrurus was the most specialised species of the three. We also considered two different habitat types and, interestingly, both Psammodromus species had wider trophic niches in the more extreme habitat type where arthropod diversity is expected to be lower. Trophic niche overlaps were especially low between P. algirus and A. erythrurus, indicating resource partitioning, and higher between both Psammodromus species in the suboptimal habitat type. Our results lead to the conclusion that environmental stress could favour trophic generalism (increased trophic niche breadth). This is a very interesting result, especially in the context of climate change and habitat alteration. Full article
Show Figures

Figure 1

8 pages, 491 KB  
Article
Comparison on the Prey Remains of Reintroduced Lesser Kestrels (Falco naumanni Fleischer, 1818) Colonies in Bulgaria
by Rusko Petrov, Gradimir Gradev and Dilian Georgiev
Diversity 2025, 17(10), 685; https://doi.org/10.3390/d17100685 - 30 Sep 2025
Viewed by 452
Abstract
This study presents preliminary data on the diet composition of reintroduced Lesser Kestrels (Falco naumanni) in two restored colonies in Bulgaria—near Stara Zagora and in the Sakar Mountains at Levka village—based on pellet analysis. A total of 103 and 48 identifiable [...] Read more.
This study presents preliminary data on the diet composition of reintroduced Lesser Kestrels (Falco naumanni) in two restored colonies in Bulgaria—near Stara Zagora and in the Sakar Mountains at Levka village—based on pellet analysis. A total of 103 and 48 identifiable prey items (occurrences in the pellets) were recovered from the respective sites. Insects (particularly Coleoptera) dominated the diet at both colonies, but some differences were observed in the occurrence of vertebrate prey. Birds (Aves) were the second most common category in Stara Zagora, while small mammals (Mammalia) were more prevalent in Sakar. Annelids were detected only in Stara Zagora, and millipedes (Diplopoda) only in Sakar. Synthetic materials were found in pellets from Stara Zagora, suggesting plastic ingestion. Levins’ index indicated similar niche breadths (1.915 vs. 2.008), and Pianka’s index showed a high dietary overlap (0.981), pointing to broadly similar trophic preferences despite local prey availability. Full article
(This article belongs to the Section Animal Diversity)
Show Figures

Figure 1

17 pages, 2395 KB  
Article
Species Composition and Ecological Niche Overlap of Alien and Endemic Plants in South Korea: Insights from the National Ecosystem Survey
by Byeong-Joo Park and Kwangil Cheon
Forests 2025, 16(9), 1485; https://doi.org/10.3390/f16091485 - 18 Sep 2025
Viewed by 727
Abstract
Biodiversity conservation in South Korea faces increasing challenges from alien plant invasions. These invasions threaten endemic species uniquely adapted to specialized habitats, making it crucial to understand their ecological interactions. This study quantitatively compared the species composition, ecological niches, and species turnover patterns [...] Read more.
Biodiversity conservation in South Korea faces increasing challenges from alien plant invasions. These invasions threaten endemic species uniquely adapted to specialized habitats, making it crucial to understand their ecological interactions. This study quantitatively compared the species composition, ecological niches, and species turnover patterns of alien and endemic plants in South Korea using data from the National Ecosystem Survey. Non-metric multidimensional scaling (NMDS) and multi-response permutation procedure (MRPP) analyses revealed significant compositional heterogeneity between groups. Kernel density estimation (KDE) revealed niche overlap in water-related factors (precipitation, water yield), but clear separation in topographic and climatic variables (altitude, slope, temperature). Alien plants exhibited broader niche breadths, confirming their ecological generalist traits, whereas endemic species displayed narrower niches confined to specialized habitats. Zeta diversity analysis indicated slower species turnover in alien species, suggesting niche assimilation and habitat homogenization. Both groups fit a power-law model, emphasizing deterministic environmental filtering. These findings highlight the ecological risks posed by alien species to stability of endemic plant communities and underscore the importance of targeted, science-based management strategies. Full article
Show Figures

Figure 1

19 pages, 3081 KB  
Article
Integrating a Newcomer: Niche Differentiation and Habitat Use of Eurasian Red Squirrels and Native Species in a Forest Reserve Under Human Disturbance
by Wuyuan Zhang, Xiaoxiao Liu, Tong Zhang and Guofa Cui
Forests 2025, 16(8), 1360; https://doi.org/10.3390/f16081360 - 21 Aug 2025
Viewed by 1185
Abstract
Understanding the integration of newly recorded species into forest ecosystems is essential for evaluating their ecological impacts on native wildlife diversity. In this study, we examined the spatial and temporal niche dynamics of three sympatric squirrel species within the Labagoumen nature reserve, a [...] Read more.
Understanding the integration of newly recorded species into forest ecosystems is essential for evaluating their ecological impacts on native wildlife diversity. In this study, we examined the spatial and temporal niche dynamics of three sympatric squirrel species within the Labagoumen nature reserve, a temperate forest located in northern China. Particular emphasis was placed on the recently documented Eurasian red squirrel (Sciurus vulgaris) and its potential interactions with two native species: Père David’s rock squirrel (Sciurotamias davidianus) and the Siberian chipmunk (Tamias sibiricus). Using camera trapping data from 91 sites (2019–2024), we examined habitat use, activity rhythms, and niche overlap under contrasting levels of human disturbance. A total of 3419 independent effective photos of squirrels were recorded. S. vulgaris showed a broader spatial distribution and a higher relative abundance index (RAI) in the tourist area, while native species were more abundant in the non-tourist area. All three species showed similar annual activity patterns based on the monthly relative abundance index (MRAI), although native species exhibited an additional activity peak in June–July. Temporal niche overlap (Cih) and the coefficient of overlap (Δ) between S. vulgaris and native species increased during the tourist season, suggesting synchronized activity under high disturbance. In contrast, lower overlap in the non-tourist season indicated stronger temporal partitioning. The daily activity rhythm of S. vulgaris remained stable, while native species displayed more variability, especially in non-tourist areas. S. vulgaris also exhibited a significantly broader spatial niche breadth (Bi), suggesting greater habitat exploitation and adaptability. Non-metric multidimensional scaling (NMDS) revealed no significant spatial segregation among the three species, indicating successful integration of S. vulgaris into the local community. Our findings emphasize the competitive advantage of S. vulgaris and demonstrate how human activities can restructure forest small mammal assemblages by altering spatiotemporal niche partitioning. We recommend long-term ecological monitoring to assess species diversity changes and guide adaptive conservation strategies. Full article
Show Figures

Figure 1

19 pages, 3286 KB  
Article
Climate Change Alters Ecological Niches and Distribution of Two Major Forest Species in Korea, Accelerating the Pace of Forest Succession
by Sang Kyoung Lee, Dong-Ho Lee, Yeo Bin Park, Do Hun Ryu, Jun Mo Kim, Eui-Joo Kim, Jae Hoon Park, Ji Won Park, Kyeong Mi Cho, Ji Hyun Seo, Sang Pil Lee, Seung Jun Lee, Ji Su Ko, Hye Jeong Jang and Young Han You
Forests 2025, 16(8), 1331; https://doi.org/10.3390/f16081331 - 15 Aug 2025
Viewed by 1043
Abstract
Temperate forest ecosystems in Korea are currently undergoing a successional transition from Pinus densiflora Siebold & Zucc. (evergreen conifer) communities to Quercus mongolica Fisch. ex Ledeb. (deciduous broadleaf) communities. This study aimed to assess interspecific differences in ecological responses to climate change [Representative [...] Read more.
Temperate forest ecosystems in Korea are currently undergoing a successional transition from Pinus densiflora Siebold & Zucc. (evergreen conifer) communities to Quercus mongolica Fisch. ex Ledeb. (deciduous broadleaf) communities. This study aimed to assess interspecific differences in ecological responses to climate change [Representative Concentration Pathway (RCP) 4.5] by evaluating changes in ecological niche characteristics and species distribution. Controlled-environment experiments, principal component analysis (PCA), and MaxEnt species distribution modeling were employed to quantify and predict ecological shifts in the two dominant species under climate change scenarios. Both species exhibited increases in niche breadth and interspecific overlap under climate change conditions. However, Q. mongolica showed a more pronounced increase in niche breadth compared to P. densiflora, indicating greater ecological flexibility and adaptive potential to warming conditions. According to the MaxEnt model projections, climate change is expected to result in an approximate 30% reduction in suitable habitat for P. densiflora in lowland areas. In contrast, Q. mongolica is projected to expand its suitable habitat by over 80%, notably in both low-elevation (below 800 m) and high-elevation (above 1400 m) zones, without being restricted to any specific altitudinal range. Our findings suggest that climate change may increase ecological similarity between P. densiflora and Q. mongolica, thereby raising the potential for interspecific competition. This convergence in niche traits could contribute to an accelerated successional transition, although actual competitive interactions in natural ecosystems require further empirical validation. Consequently, Korean forests are likely to transform into predominantly deciduous forest ecosystems under future climate conditions. Full article
(This article belongs to the Section Forest Ecology and Management)
Show Figures

Figure 1

35 pages, 1374 KB  
Article
Sustainable Development of Industry-Specific Universities in China Under the “Double First-Class” Initiative: A Niche Perspective
by Bin Dong, Yuchen Wang, Bo Chen, Ruijun Zhang and Shengzhong Zhang
Sustainability 2025, 17(13), 5736; https://doi.org/10.3390/su17135736 - 22 Jun 2025
Cited by 3 | Viewed by 3577
Abstract
China has made a major strategic decision to build world-class universities and first-class disciplines (abbreviation: Double First-Class), aimed at enhancing the global competitiveness of Chinese higher education. Industry-specific universities have a special historical evolution and distinctive characteristics. China’s industry-specific universities have always played [...] Read more.
China has made a major strategic decision to build world-class universities and first-class disciplines (abbreviation: Double First-Class), aimed at enhancing the global competitiveness of Chinese higher education. Industry-specific universities have a special historical evolution and distinctive characteristics. China’s industry-specific universities have always played an important role in the higher education system and made significant contributions to the development of the country. However, the “Double First-Class” initiative presents both opportunities and challenges for industry-specific universities. This paper employs the SWOT analysis method to conduct a qualitative analysis of industry-specific universities and proposes a strategic matrix for decision-making. At the same time, from a niche perspective, this paper explores the sustainable development strategies of these institutions within the initiative through the calculation of niche breadth, niche overlap, and their relationship analysis. The research results indicate that the “Double First-Class” initiative has played a positive role in promoting the expansion of universities’ ecological niches. However, it has also led to excessive niche overlap and intense competition. Industry-specific universities face opportunities and challenges in terms of structure, strategy, and policy for their sustainable development. Key findings highlight the importance of strategic alignment with national demand, industry cooperation, and policy orientation for sustainable growth. This paper proposes recommendations for the construction of a sustainable development framework, implementation of strategic initiatives, and policy guidance for universities with industrial characteristics from three perspectives: government, industry, and universities. Full article
(This article belongs to the Section Sustainable Education and Approaches)
Show Figures

Figure 1

14 pages, 3851 KB  
Article
Dietary Differentiation Mitigates Interspecific Interference Competition Between Sympatric Pallas’s Cats (Otocolobus manul) and Red Foxes (Vulpes vulpes)
by Dong Wang, Quanbang Li, Jingyu Gao, Luyi Hou, Yanjun Zou and Xinming Lian
Animals 2025, 15(9), 1267; https://doi.org/10.3390/ani15091267 - 29 Apr 2025
Cited by 1 | Viewed by 871
Abstract
The comparative analysis of the feeding ecology among sympatric small carnivores reveals both differentiation and overlap in resource utilization patterns, which serves as a critical pathway for understanding interspecific interactions and maintaining ecosystem stability. In this study, we collected fecal samples from sympatric [...] Read more.
The comparative analysis of the feeding ecology among sympatric small carnivores reveals both differentiation and overlap in resource utilization patterns, which serves as a critical pathway for understanding interspecific interactions and maintaining ecosystem stability. In this study, we collected fecal samples from sympatric Pallas’s cats (Otocolobus manul, n = 26) and red foxes (Vulpes vulpes, n = 13) within the Sanjiangyuan National Park (SNP) in China. Subsequently, DNA barcoding technology was employed to analyze the dietary composition and interspecific differences of these two small carnivores. The results demonstrated that both species primarily prey on plateau pikas (Ochotona curzoniae) and small rodents. Despite a high trophic niche overlap between Pallas’s cats and red foxes (Ojk = 0.81), interspecific competition is mitigated through differentiate feeding proportions of shared prey species. Furthermore, the trophic niche breadth of red foxes (B = 267.89) exceeds that of Pallas’s cats (B = 162.94), reflecting a greater diversity of prey resources utilized by red foxes. Consequently, the two small carnivores achieve sympatric coexistence via differentiated resource utilization. These findings enhance our understanding of the coexistence mechanisms within carnivore communities and provide a scientific basis for the conservation of wildlife in the SNP. Full article
(This article belongs to the Section Ecology and Conservation)
Show Figures

Figure 1

18 pages, 1712 KB  
Article
Characteristics of Nocturnal Insect Communities in Semi-Arid Regions: A Case Study at the Habahu National Nature Reserve of Ningxia, China
by Kang Lou, Dian Yu, Caihua Zhang and Houhun Li
Forests 2025, 16(4), 659; https://doi.org/10.3390/f16040659 - 10 Apr 2025
Viewed by 731
Abstract
To explore the spatiotemporal niche characteristics and changing regularities of insect communities under lamps in a semi-arid region, this paper analyzed Levins’ niche breadth index and the Pianka niche overlap index of 10 orders and 19 selected common families or superfamilies of insect [...] Read more.
To explore the spatiotemporal niche characteristics and changing regularities of insect communities under lamps in a semi-arid region, this paper analyzed Levins’ niche breadth index and the Pianka niche overlap index of 10 orders and 19 selected common families or superfamilies of insect communities under lamps from April to September 2018 at six vegetation sites in the Habahu National Nature Reserve, a rare desert grassland–wetland reserve in China. The results indicated the following: (1) Different taxa possess varying spatiotemporal, temporal, and spatial niche breadths, suggesting that insects effectively utilized resources in the Habahu Nature Reserve. (2) Among these groups, in terms of the orders aspect, Lepidoptera had the largest temporal niche breadth, the Hemiptera had the largest spatial niche breadth, and Lepidoptera, Coleoptera, and Hemiptera had relatively large spatiotemporal niche breadths, while Odonata had the smallest niche breadth in all three aspects. The orders of Coleoptera and Lepidoptera had the largest spatiotemporal niche overlap value, while Odonata and Diptera had the smallest. (3) In terms of the common families (superfamilies) aspect, Noctuidae had the largest temporal niche breadth and spatiotemporal niche breadth, while Hydrophilidae had the smallest. The spatial niche breadth of Sphingidae was the largest, while Corixidae was the smallest. Noctuidae and Pyraloidea had the largest spatiotemporal niche overlap value among these herbivore groups, Miridae and Chrysopidae, among the herbivore to predatory groups, and Noctuidae and Braconidae, among the herbivore to parasitic groups. This lays a theoretical foundation for developing Chrysopidae and Braconidae as biological control taxa in the Habahu Nature Reserve. Full article
Show Figures

Figure 1

12 pages, 908 KB  
Article
Seasonal Variations in the Foraging Strategies of Plateau Pikas (Ochotona curzoniae)
by Longming Dong, Xincheng Cai, Ruixun Gan, Jing Zhang, Rui Dong, Kechi Dong, Limin Hua and Rui Zhou
Animals 2025, 15(7), 902; https://doi.org/10.3390/ani15070902 - 21 Mar 2025
Cited by 2 | Viewed by 929
Abstract
This study investigates the foraging habits and dietary niche characteristics of plateau pikas (Ochotona curzoniae) by analyzing differences between the cold and warm seasons using stable isotope analysis of carbon and nitrogen in liver, muscle, and fur organs. The results indicated [...] Read more.
This study investigates the foraging habits and dietary niche characteristics of plateau pikas (Ochotona curzoniae) by analyzing differences between the cold and warm seasons using stable isotope analysis of carbon and nitrogen in liver, muscle, and fur organs. The results indicated that in the cold season, the plant species incorporated into different organs were more diverse than in the warm season, with varying contribution rates for each plant species. Potentilla anserina made the most significant contribution to the plateau pika’s diet during the cold season, while Kobresia humilis had the highest contribution in the warm season. The trophic niche width of liver and muscle organs was broader in the cold season compared to the warm season, while the trophic niche width of the fur organ was narrower in the cold season. Additionally, long-term dietary information derived from muscle and fur organs showed a wider niche breadth compared to short-term dietary information obtained from the liver organ. Across both seasons, organ niche overlap was highest in fur, followed by muscle, and lowest in the liver. In conclusion, short-term food source information (derived from the liver organ) indicated fewer food types and a smaller niche breadth. In contrast, long-term food source information (obtained from muscle and fur organs) included a greater variety of food types and a larger niche breadth. Additionally, niche overlap was more pronounced on the long-term scale compared to the short-term scale. These findings highlight the adaptive feeding strategies of plateau pikas in response to varying seasonal food availability and the ecological importance of their dietary flexibility in maintaining energy balance in challenging environments. Full article
(This article belongs to the Section Mammals)
Show Figures

Figure 1

21 pages, 758 KB  
Article
Breeding Snowy Owls Are Obligate Lemming Predators in Utqiaġvik, Alaska: Results from 30 Years of Study
by Denver W. Holt, Matthew D. Larson, Mathew T. Seidensticker and Stephen P. Hiro
Diversity 2025, 17(3), 209; https://doi.org/10.3390/d17030209 - 14 Mar 2025
Cited by 1 | Viewed by 1535
Abstract
For 30 years (1992–2021), we collected pellets and pellet fragments and recorded prey cached in Snowy Owl (Bubo scandiacus) nests during the breeding season in Utqiaġvik, Alaska. About 14,000 pellets from an estimated 700 Snowy Owls yielded 43,689 prey items, while [...] Read more.
For 30 years (1992–2021), we collected pellets and pellet fragments and recorded prey cached in Snowy Owl (Bubo scandiacus) nests during the breeding season in Utqiaġvik, Alaska. About 14,000 pellets from an estimated 700 Snowy Owls yielded 43,689 prey items, while caches in 284 nests yielded 3334 prey items. The owls ate thirty-seven species of vertebrates: one species of fish, five species of mammals, and thirty-one species of birds. Based on the pellet analysis, lemmings represented 99.0% of the total prey, with brown lemmings (Lemmus trimucronatus) representing 94.6%, collared lemmings (Dicrostonyx groenlandicus) representing 3.1%, and unidentified lemmings representing 1.3%. All other species were <1%. Based on the prey cached in nests, lemmings represented about 90.0% (89.9%) of the total prey (n = 3334), with brown lemmings representing 88.0% (87.9%), collared lemmings representing 1.9%, and unidentified lemmings representing <1%. Birds represented only 10.0% of the prey cached in nests, although many species were eaten. Food niche breadth (FNB) and dietary evenness (DIEV) scores from pellets were narrow for the prey identified within a group or species. FNB and DIEV scores from the prey cached in nests were also narrow for the prey identified within a group or species. There was almost complete dietary overlap when comparing the prey from pellets with the prey from caches. Biomass estimates from brown lemmings (178 kg) cached in nests were 59 times more than those from collared lemmings (3 kg). Biomass estimates for large birds were misleading, as the owls mainly ate the breast, humerus, and femur muscles. Our study supports a general consensus that Snowy Owls are obligate lemming specialists during the breeding season in Utqiaġvik. In fact, they depend almost entirely on one species of lemming—the brown lemming. Consequently, anthropogenic or natural factors that impact lemming populations and distributions will directly affect Snowy Owl populations. Full article
(This article belongs to the Special Issue Conservation and Ecology of Raptors—2nd Edition)
Show Figures

Figure 1

15 pages, 3307 KB  
Article
Common Species in the Subtropical Evergreen Broad-Leaved Forest: Dominance in Adaptation Mechanisms and Resource Utilization Capabilities
by Huan He, Haibao Ren, Guijing Li, Yali Ding, Xinliang Wu, Lina Wang, Ansa Rebi and Shuyu He
Forests 2024, 15(12), 2239; https://doi.org/10.3390/f15122239 - 20 Dec 2024
Viewed by 1673
Abstract
When species of different abundance coexist, their ecological strategies remain uncertain. Assessing the functional diversity and niche characteristics of species with different levels of abundance contributes to understanding vegetation properties and is essential for species conservation. Based on the species abundance of 380 [...] Read more.
When species of different abundance coexist, their ecological strategies remain uncertain. Assessing the functional diversity and niche characteristics of species with different levels of abundance contributes to understanding vegetation properties and is essential for species conservation. Based on the species abundance of 380 plots in the Gutianshan subtropical evergreen broad-leaved forest in the Zhejiang Province of China, woody plants were categorized as common species (86 species), occasional species (87 species), and rare species (79 species). Plant functional traits, including maximum height, seed dispersal modes, first flowering stage, flowering duration, and fruit length, were used to assess the functional diversity of the community of common, occasional, and rare species, while 15 environmental factors were used to evaluate their Levins’ niche breadth and Pianka’s niche overlap. The results showed that rare species have the highest functional evenness, while functional dispersion and Rao’s quadratic entropy were higher for common species (2.05 and 5.07, respectively) compared to occasional species (1.57 and 3.10) and rare species (1.35 and 2.48). Furthermore, the 15-dimensional mean value of niche breadth of common species (ranging from 0.277 to 0.955) was also higher than that of occasional (ranging from 0.193 to 0.710) and rare species (ranging from 0.100 to 0.345), and the same trend was also observed in niche overlap. The results suggest that common species have diverse functional traits and a greater ability to adapt to the environment and use resources, whereas occasional species have a limited ability to use the environment. Rare species are evenly distributed within functional space to reduce direct competition with other species, but they thrive only under specific environmental conditions, mainly following a K reproductive strategy. Niche differentiation mechanisms are important determinants of species coexistence in subtropical evergreen broad-leaved forests. In summary, more attention and greater efforts should be paid to the conservation of rare species. Our findings could help forest managers in the restoration and conservation of subtropical forests. Full article
(This article belongs to the Special Issue Biodiversity in Forests: Management, Monitoring for Conservation)
Show Figures

Figure 1

15 pages, 3277 KB  
Article
Warming Increases Ecological Niche of Leymus chinensis but Is Detrimental to Species Diversity in Inner Mongolia Temperate Grasslands
by Xingbo Zhang, Zhiqiang Wan, Rui Gu, Lingman Dong, Xuemeng Chen, Xi Chun, Haijun Zhou and Weiqing Zhang
Agronomy 2024, 14(10), 2425; https://doi.org/10.3390/agronomy14102425 - 19 Oct 2024
Cited by 1 | Viewed by 1216
Abstract
Dominant species are crucial in regulating the structure and productivity of plant communities. Adaptation strategies to climate change vary among the dominant species of different life types. However, the responses of the ecological niches of dominant species to warming and precipitation in semi-arid [...] Read more.
Dominant species are crucial in regulating the structure and productivity of plant communities. Adaptation strategies to climate change vary among the dominant species of different life types. However, the responses of the ecological niches of dominant species to warming and precipitation in semi-arid grasslands and their impacts on community structure and function are unknown. This study involved conducting a long-term experimental simulation of warming and increased precipitation on grasslands in Inner Mongolia and studying population dynamics, ecological niches, and their responses to the structure and function of the community species of two dominant plants, L. chinensis (perennial rhizome grass) and S. krylovii (perennial clumped grass). The results show that the niche width of L. chinensis increased and S. krylovii decreased under warming and increased precipitation conditions. The overlap of L. chinensis and S. krylovii decreased under the same conditions. The niche widths of L. chinensis and S. krylovii were 1.22 for the control (C), 1.19 and 1.04 under warming (W) conditions, 1.27 and 0.97 under warming plus precipitation (WP) conditions, and 1.27 and 1.24 under the conditions of precipitation addition (P). The niche overlap of L. chinensis and S. krylovii were 0.72 in C, 0.69 in W, 0.68 in WP, and 0.82 in P. The biomass share and importance value of L. chinensis increased, and those of S. krylovii decreased in response to warming and precipitation. The effects of warming on species diversity and community stability are primarily influenced by the effects on the niche breadth of S. krylovii. Combined with our previous study, L. chinensis will offer more resources in communities in warmer and wetter steppe climates in the future. However, this is not conducive to community diversity. Full article
(This article belongs to the Section Grassland and Pasture Science)
Show Figures

Figure 1

15 pages, 3986 KB  
Article
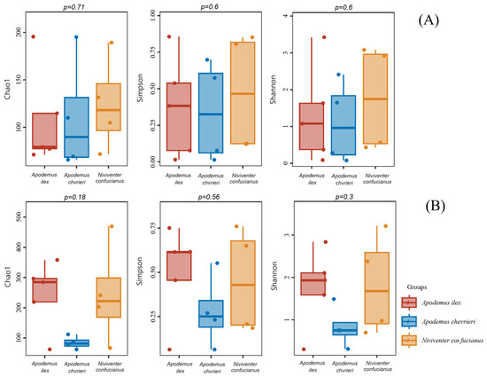
Ecological Niche Characteristics of the Diets of Three Sympatric Rodents in the Meili Snow Mountain, Yunnan
by Feng Qin, Mengru Xie, Jichao Ding, Yongyuan Li and Wenyu Song
Animals 2024, 14(16), 2392; https://doi.org/10.3390/ani14162392 - 18 Aug 2024
Viewed by 1877
Abstract
Understanding the dietary preferences and ecological niche characteristics of mammals not only reveals their adaptive strategies under environmental changes but also reveals the interspecific relationships and coexistence mechanisms among sympatric species. Nevertheless, such data are scarce for rodents inhabiting areas spanning a wide [...] Read more.
Understanding the dietary preferences and ecological niche characteristics of mammals not only reveals their adaptive strategies under environmental changes but also reveals the interspecific relationships and coexistence mechanisms among sympatric species. Nevertheless, such data are scarce for rodents inhabiting areas spanning a wide altitude range. This study employed DNA metabarcoding technology to analyze the stomach contents of Apodemus ilex, Apodemus chevrieri, and Niviventer confucianus, aiming to investigate their dietary compositions and diversity in the Meili Snow Mountain in Yunnan Province, China. Levins’s and Pianka’s indices were used to compare the interspecific niche breadth and niche overlaps. The results revealed the following: (1) Insecta (relative abundance: 59.4–78.4%) and Clitellata (relative abundance: 5.2–25.5%) were the primary animal food sources for the three species, while Magnoliopsida (relative abundance: 90.3–99.9%) constitutes their main plant food source. Considerable interspecific differences were detected in the relative abundance of primary animal and plant foods among the three species; (2) There was partial overlap in the genus-level animal food between A. ilex and N. confucianus (Ojk = 0.4648), and partial overlap in plant food between A. ilex and A. chevrieri (Ojk = 0.3418). However, no overlap exists between A. chevrieri and N. confucianus, either in animal or plant food; (3) There were no significant interspecific differences in the α-diversity of animal and plant foods among the three species. The feeding strategies and ecological niche variations of these rodents support the niche differentiation hypothesis, indicating that they have diversified in their primary food sources. This diversification may be a strategy to reduce competition and achieve long-term coexistence by adjusting the types and proportions of primary foods consumed. Full article
(This article belongs to the Section Ecology and Conservation)
Show Figures

Figure 1

Back to TopTop