Insights from Fishery Discards: Age and Feeding Habits of Large-Scaled Gurnard (Lepidotrigla cavillone, Lacepède 1801) and Spiny Gurnard (Lepidotrigla dieuzeidei, Blanc & Hureau 1973) in the Gulf of Cádiz (SW Iberian Peninsula)
Abstract
1. Introduction
2. Materials and Methods
2.1. Study Area and Sampling Design
2.2. Sampling Process
2.3. Data Analysis
3. Results
3.1. Biometric Analysis
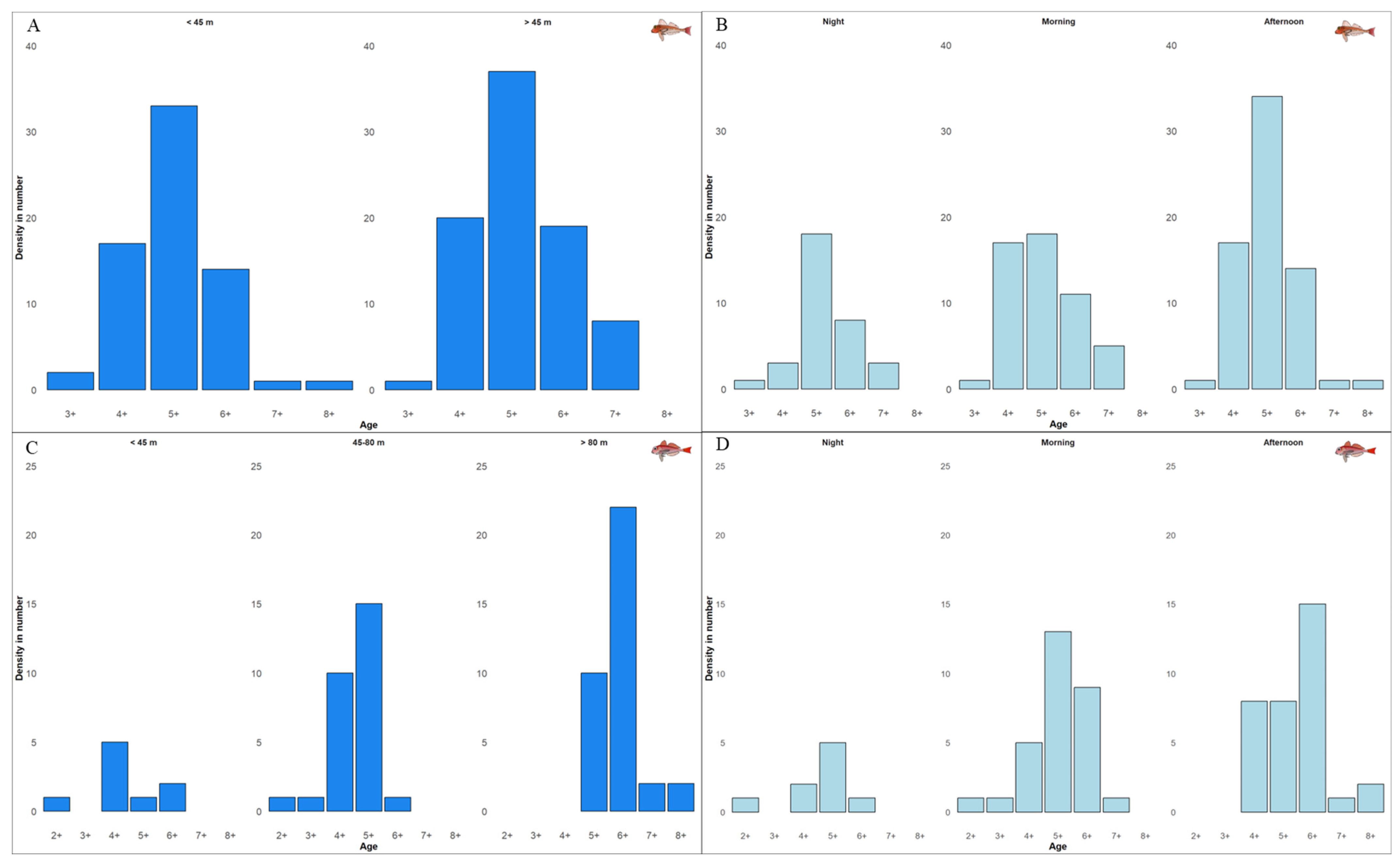
3.2. Age Determination
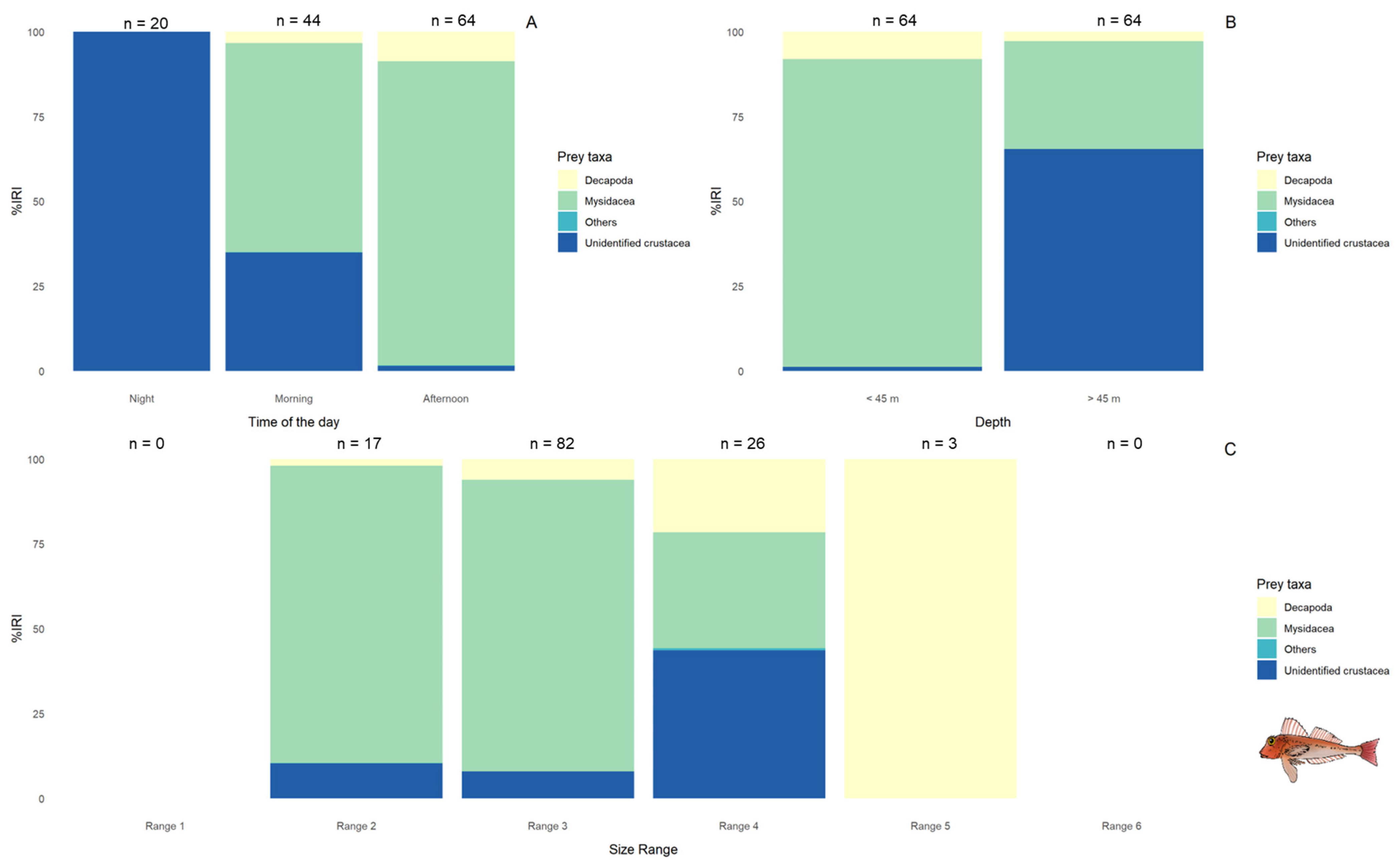
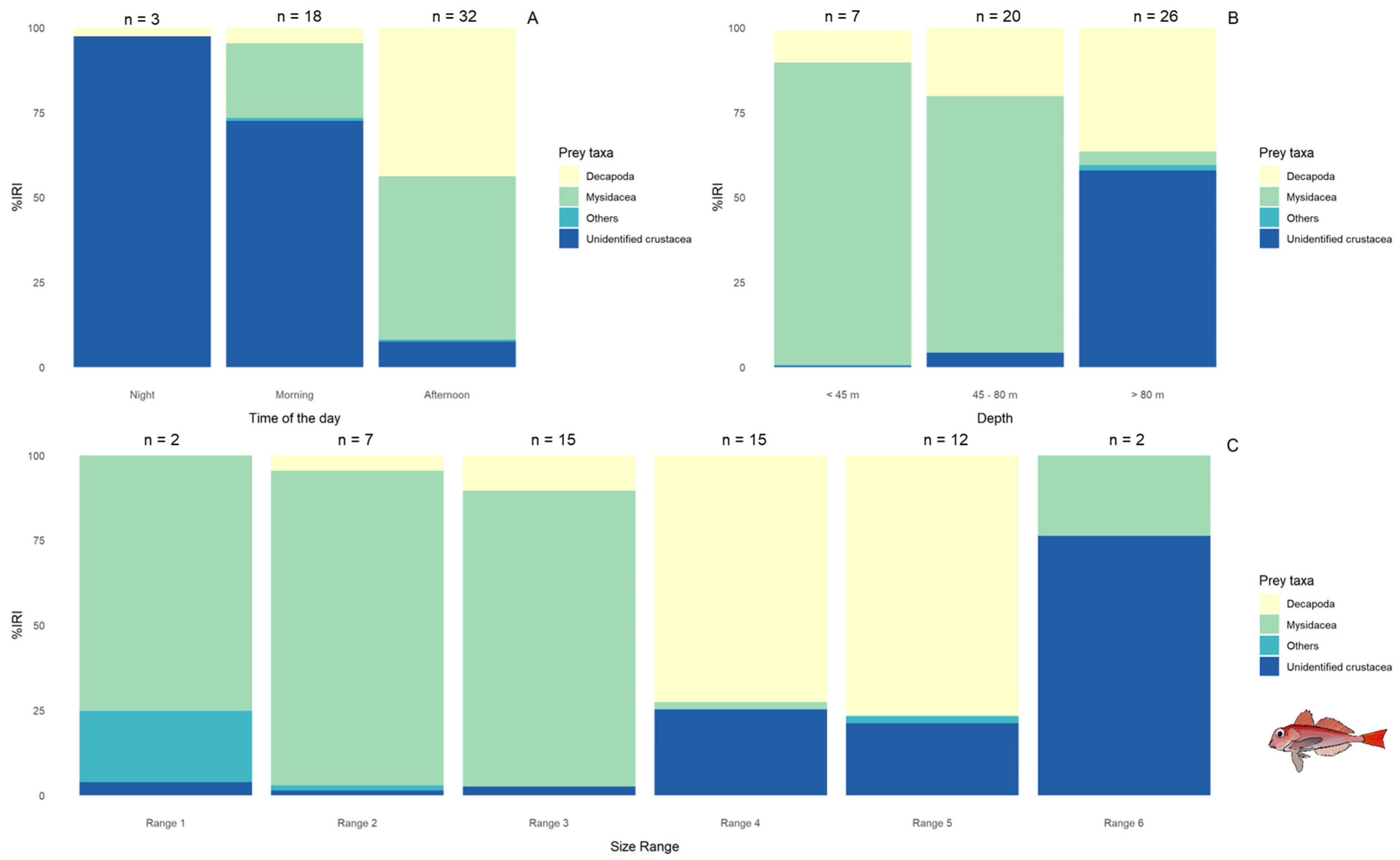
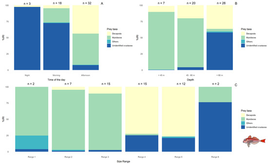
3.3. Feeding Habits
4. Discussion
5. Conclusions
Author Contributions
Funding
Institutional Review Board Statement
Data Availability Statement
Acknowledgments
Conflicts of Interest
References
- Mineva, T.D. Efectos Negativos del Sector Pesquero en el Medio Marino. Ph.D. Thesis, Universitat Politècnica de València, Valencia, Spain, 2021. [Google Scholar]
- FAO. The State of World Fisheries and Aquaculture 2024. FAO. 2024. Available online: https://openknowledge.fao.org/handle/20.500.14283/cd0683en (accessed on 20 April 2025).
- FAO. The State of World Fisheries and Aquaculture 2020; FAO: Rome, Italy, 2020; p. 200. [Google Scholar]
- Raju, S.; Rajan, R. By-catch and Discard Management towards Sustainable Fisheries. In Revolutionizing Fisheries Management and Conservation: The Role of AI and GPS; Sahu, A., Ranjan, D., Satkar, S., Iqbal, G., Kumar, N., Eds.; International Books & Periodical Supply Service: New Delhi, India, 2025; p. 221. [Google Scholar]
- Sherley, R.B.; Ladd-Jones, H.; Garthe, S.; Stevenson, O.; Votier, S.C. Scavenger communities and fisheries waste: North Sea discards support 3 million seabirds, 2 million fewer than in 1990. Fish Fish. 2020, 21, 132–145. [Google Scholar] [CrossRef]
- De la Cruz, A.; Rodríguez-García, C.; Cabrera-Castro, R.; Arroyo, G.M. Correlation between seabirds and fisheries varies by species at fine-scale pattern. ICES J. Mar. Sci. 2023, 80, 2427–2440. [Google Scholar] [CrossRef]
- Hureau, J.-C. Triglidae. In Fishes of the North-Eastern Atlantic and the Mediterranean Vol. 3; Whitehead, P.J.P., Bauchot, M.-L., Hureau, J.-C., Nielsen, J., Tortonese, E., Eds.; UNESCO: Paris, France, 1986; pp. 1230–1238. [Google Scholar]
- Bauchot, M.L. Poissons osseux. In Fiches FAO D’identification pour les Besoins de la Pêche. (rev. 1). Méditerranée et mer Noire. Zone de pêche 37. Vol. II; Fischer, W., Bauchot, M.L., Schneider, M., Eds.; Commission des Communautés Européennes and FAO: Rome, Italy, 1987; pp. 891–1421. [Google Scholar]
- Froese, R.; Pauly, D. FishBase. World Wide Web Electronic Publication. Available online: https://www.fishbase.org (accessed on 20 April 2025).
- FAO. FishStat. Global Capture Production QUANTITY (1950–2023). Available online: https://fao.org/fishery/statisticsquery/en/capture/capture_quantity (accessed on 15 September 2025).
- Marano, C.A.; Marsan, R.; Marzano, M.C.; Ungaro, N. Note sull’accrescimento di Lepidotrigla cavillone (Lacepède, 1802)–Osteichthyes, Triglidae-nelle acque del basso Adriatico. Biol. Mar. Mediterr. 1999, 6, 584–586. [Google Scholar]
- Caragitsou, E.; Papaconstantinou, C. Food and feeding habits of large scale gurnard, Lepidotrigla cavillone (Triglidae) in Greek Seas. Cybium 1990, 14, 95–104. [Google Scholar]
- Labropoulou, M.; Machias, A. Effect of habitat selection on the dietary patterns of two triglid species. Mar. Ecol. Prog. Ser. 1998, 173, 275–288. [Google Scholar] [CrossRef]
- Terrats, A.; Petrakis, G.; Papaconstantinou, C. Feeding habits of Aspitrigla cuculus (L., 1758) (red gurnard), Lepidotrigla cavillone (Lac., 1802) (large scale gurnard) and Trigloporus lastoviza (Brunn., 1768) (rock gurnard) around Cyclades and Dodecanese Islands (E. Mediterranean). Mediterr. Mar. Sci. 2000, 1, 91–104. [Google Scholar] [CrossRef]
- İlkyaz, A.T.; Metin, G.; Soykan, O.; Kinacigil, H.T. Growth and reproduction of large-scaled gurnard (Lepidotrigla cavillone Lacepède, 1801) (Triglidae) in the central Aegean Sea, eastern Mediterranean. Turk. J. Zool. 2010, 34, 471–478. [Google Scholar] [CrossRef]
- Başusta, A.; Özer, E.İ.; Girgin, H. Akdeniz deki Lepidotrigla dieuzeidei (Blanc & Hureau, 1973) Populasyonunda Otolit Biyometrisi-Balık Uzunluğu Arasındaki İlişki. Aquac. Stud. 2013, 3, 3–9. [Google Scholar] [CrossRef]
- Dobroslavić, T.; Sulić Šprem, J.; Prusina, I.; Kožul, V.; Glamuzina, B.; Bartulović, V. Reproduction biology of large--scaled gurnard Lepidotrigla cavillone (L acepède, 1801) from the southern Adriatic Sea (Croatia). J. Appl. Ichthyol. 2015, 31, 49–53. [Google Scholar] [CrossRef]
- Dobroslavić, T.; Conides, A.; Šprem, J.S.; Glamuzina, B.; Bartulović, V. Reproductive strategy of spiny gurnard Lepidotrigla dieuzeidei Blanc and Hureau, 1973 from the south-eastern Adriatic Sea. Acta Adriat. 2021, 62, 49–62. [Google Scholar] [CrossRef]
- Bellodi, A.; Asciutto, E.; Malara, D.; Longo, F.; Agus, B.; Bacchiani, C.; Follesa, M.C.; Porcu, C.; Mangano, M.C.; Battaglia, P. Age determination, growth and otolith shape analysis of Lepidotrigla cavillone from Sardinian and Sicilian waters (Mediterranean Sea). J. Fish Biol. 2025, 107, 1018–1029. [Google Scholar] [CrossRef]
- Colloca, F.; Cardinale, M.; Ardizzone, G.D. Biology, spatial distribution and population dynamics of Lepidotrigla cavillone (Pisces: Triglidae) in the Central Tyrrhenian Sea. Fish. Res. 1997, 32, 21–32. [Google Scholar] [CrossRef]
- González-García, E.; Rueda, J.L.; Bruque, G.; López-González, N.; Fernández-Salas, L.M.; Farias, C.; Díaz del Río, V. Evaluación espacial de la actividad pesquera de arrastre en un campo somero de volcanes de fango del Golfo de Cádiz/Spatial assessment of trawling activity in a shallow mud volcano field of the Gulf of Cádiz. In Proceedings of the VIII Simposio MIA15, Málaga, Spain, 21–23 September 2015; Available online: https://files.core.ac.uk/download/71779831.pdf (accessed on 20 April 2025).
- Llope, M.; de Carvalho-Souza, G.F.; Baldó, F.; González-Cabrera, C.; Jiménez, M.P.; Licandro, P.; Vilas, C. Gulf of Cadiz zooplankton: Community structure, zonation and temporal variation. Prog. Oceanogr. 2020, 186, 102379. [Google Scholar] [CrossRef]
- Reyes-Martínez, M.J.; Miró, J.M.; Vicente, L.; Megina, C.; Donázar-Aramendía, I.; García-Gómez, J.C.; González-Gordillo, J.I. Mesozooplankton assemblage in the gulf of cádiz estuaries: Taxonomic and trait-based approaches. Mar. Environ. Res. 2024, 198, 106554. [Google Scholar] [CrossRef] [PubMed]
- Llope, M. The ecosystem approach in the Gulf of Cadiz. A perspective from the southernmost European Atlantic regional sea. ICES J. Mar. Sci. 2017, 74, 382–390. [Google Scholar] [CrossRef]
- Casaucao, A.; González-Ortegón, E.; Jiménez, M.P.; Teles-Machado, A.; Plecha, S.; Peliz, A.J.; Laiz, I. Assessment of the spawning habitat, spatial distribution, and Lagrangian dispersion of the European anchovy (Engraulis encrasicolus) early stages in the Gulf of Cadiz during an apparent anomalous episode in 2016. Sci. Total. Environ. 2021, 781, 146530. [Google Scholar] [CrossRef]
- Miró, J.M.; Megina, C.; Donázar-Aramendía, I.; Reyes-Martínez, M.J.; Sánchez-Moyano, J.E.; García-Gómez, J.C. Environmental factors affecting the nursery function for fish in the main estuaries of the Gulf of Cadiz (south-west Iberian Peninsula). Sci. Total. Environ. 2020, 737, 139614. [Google Scholar] [CrossRef]
- Gulland, J.A.; García, S. Observed patterns in multispecies fisheries. In Explotation of Marine Communities; May, R.M., Ed.; Springer: Berlin/Heidelberg, Germany, 1984; pp. 155–190. [Google Scholar]
- European Union. Regulation (EU) 2019/1241 of the European Parliament and of the Council of 20 June 2019 on the Conservation of Fisheries Resources and the Protection of Marine Ecosystems Through Technical Measures, Amending Council Regulations (EC) No 1967/2006, (EC) No 1224/2009 and Regulations (EU) No 1380/2013, (EU) 2016/1139, (EU) 2018/973, (EU) 2019/472 and (EU) 2019/1022 of the European Parliament and of the Council, and Repealing Council Regulations (EC) No 894/97, (EC) No 850/98, (EC) No 2549/2000, (EC) No 254/2002, (EC) No 812/2004 and (EC) No 2187/2005). Official Journal of the European Union, L 198, 25 July 2019, pp. 105–201. Available online: https://eur-lex.europa.eu/eli/reg/2019/1241/oj/eng (accessed on 20 April 2025).
- Lloris, D. Ictiofauna Marina: Manual de Identificación de los Peces Marinos de la Península Ibérica y Balears; Omega: Barcelona, Spain, 2015. [Google Scholar]
- Waldron, M.E.; Kerstan, M. Age validation in horse mackerel (Trachurus trachurus) otoliths. ICES J. Mar. Sci. 2001, 58, 806–813. [Google Scholar] [CrossRef]
- Hayward, P.J.; Ryland, J.S. Handbook of the Marine Fauna of North-West Europe; Oxford University Press: Oxford, UK, 1995. [Google Scholar]
- Ricker, W.E. Computation and Interpretation of Biological Statistics of Fish Populations; Bulletin of Fisheries Research Agency. Board Canada: Ottawa, ON, Canada, 1975; p. 382. [Google Scholar]
- Froese, R. Cube law, condition factor and weight–length relationships: History, meta-analysis and recommendations. J. Appl. Ichthyol. 2006, 22, 241–253. [Google Scholar] [CrossRef]
- Hyslop, E.J. Stomach contents analysis—A review of methods and their application. J. Fish Biol. 1980, 17, 411–429. [Google Scholar] [CrossRef]
- Gibson, R.N.; Ezzi, I.A. Feeding relationships of a demersal fish assemblage on the west coast of Scotland. J. Fish Biol. 1987, 31, 55–69. [Google Scholar] [CrossRef]
- Krebs, C.J. Ecological Methodology; Longman: London, UK, 1989. [Google Scholar]
- Stergiou, K.I. Feeding habits of the Lessepsian migrant Siganus luridus in the eastern Mediterranean, its new environment. J. Fish Biol. 1988, 33, 531–543. [Google Scholar] [CrossRef]
- Langton, R.W. Diet overlap between the Atlantic cod Gadus morhua, silver hake Merluccius bilinearis and fifteen other northwest Atlantic finfish. Fish. Bull. 1982, 80, 745–759. [Google Scholar]
- Ferry, L.A.; Caillet, G.M. Sample size and data analysis: Are we characterizing and comparing diet properly? In Feeding Ecology and Nutrition in Fish, Symposium Proceedings; MacKinlay, D., Shearer, K., Eds.; American Fisheries Society: San Francisco, CA, USA, 1996; pp. 71–80. [Google Scholar]
- Matić-Skoko, S.; Tutman, P.; Bojanić Varezić, D.; Skaramuca, D.; Đikić, D.; Lisičić, D.; Skaramuca, B. Food preferences of the Mediterranean moray eel, Muraena helena (Pisces: Muraenidae), in the southern Adriatic Sea. Mar. Biol. Res. 2014, 10, 807–815. [Google Scholar] [CrossRef]
- Castro-Gutiérrez, J.; García-González, A.; Rodríguez-García, C.; Domínguez-Bustos, Á.R.; Cabrera-Castro, R. Age, growth, and feeding of boarfish, Capros aper (Linnaeus, 1758) in the Southwest of the Iberian Peninsula. Mar. Biol. Res. 2023, 19, 466–479. [Google Scholar] [CrossRef]
- Bray, J.R.; Curtis, J.T. An ordination of the upland forest communities of southern Wisconsin. Ecol. Monogr. 1957, 27, 326–349. [Google Scholar] [CrossRef]
- Anderson, M.J. A new method for non-parametric multivariate analysis of variance. Austral Ecol. 2001, 26, 32–46. [Google Scholar] [CrossRef]
- Anderson, M.J. Permutation tests for univariate or multivariate analysis of variance and regression. Can. J. Fish. Aquat. Sci. 2001, 58, 626–639. [Google Scholar] [CrossRef]
- Anderson, M.J.; ter Braak, C.J.F. Permutation tests for multifactorial analysis of variance. J. Stat. Comput. Simul. 2003, 73, 85–113. [Google Scholar] [CrossRef]
- Clarke, K.R. Non-parametric multivariate analyses of changes in community structure. Aust. J. Ecol. 1993, 18, 117–143. [Google Scholar] [CrossRef]
- Warton, D.I.; Wright, T.W.; Wang, Y. Distance-based multivariate analyses confound location and dispersion effects. Methods Ecol. Evol. 2012, 3, 89–101. [Google Scholar] [CrossRef]
- R Core Team. R: A Language and Environment for Statistical Computing; R Foundation for Statistical Computing: Vienna, Austria, 2025; Available online: https://www.R-project.org/ (accessed on 26 April 2025).
- Wickham, H.; Averick, M.; Bryan, J.; Chang, W.; McGowan, L.D.A.; François, R.; Grolemund, G.; Hayes, A.; Henry, L.; Hester, J.; et al. Welcome to the Tidyverse. J. Open Source Softw. 2019, 4, 1686. [Google Scholar] [CrossRef]
- Wickham, H. Dplyr: A Grammar of Data Manipulation; R package version 1.1. 2. 2023. Available online: https://dplyr.tidyverse.org (accessed on 26 April 2025).
- Wickham, H. Ggplot2: Elegant Graphics for Data Analysis; Springer: New York, NY, USA, 2009. [Google Scholar]
- Grolemund, G.; Wickham, H. Dates and times made easy with lubridate. J. Stat. Softw. 2011, 40, 1–25. [Google Scholar] [CrossRef]
- Oksanen, J.; Simpson, G.; Blanchet, F.; Kindt, R.; Legendre, P.; Minchin, P.; O’Hara, R.; Solymos, P.; Stevens, M.; Szoecs, E.; et al. Vegan: Community Ecology Package. R Package Version 2.6-4. Available online: https://cran.r-project.org/web/packages/vegan/index.html (accessed on 20 April 2025).
- Wickham, H. Reshaping Data with the reshape Package. J. Stat. Softw. 2007, 21, 1–20. [Google Scholar] [CrossRef]
- Wickham, H. Forcats: Tools for Working with Categorical Variables (Factors). 2023. Available online: https://forcats.tidyverse.org/ (accessed on 20 April 2025).
- Wickham, H. Modelr: Modelling Functions that Work with the Pipe. R Package Version 0.1.11. Available online: https://CRAN.R-project.org/package=modelr (accessed on 20 April 2025).
- Auguie, B. GridExtra: Miscellaneous Functions for “Grid” Graphics. R Package Version 2.3. Available online: https://CRAN.R-project.org/package=gridExtra (accessed on 20 April 2025).
- Wickham, H.; Hester, J.; Chang, W.; Bryan, J. Devtools: Tools to Make Developing R Packages Easier. R Package Version 2.4.5. Available online: https://CRAN.R-project.org/package=devtools (accessed on 20 April 2025).
- Başusta, A.; Başusta, N.; Calta, M.; Ozcan, E.I. A study on age and growth characteristics of spiny gurnard (Lepidotrigla dieuzeidei Blanc & Hureau, 1973), northeastern Mediterranean Sea. J. Appl. Ichthyol. 2017, 33, 966–970. [Google Scholar] [CrossRef]
- Graham, N.; Ferro, R.S.T.; Karp, W.A.; MacMullen, P. Fishing practice, gear design, and the ecosystem approach—Three case studies demonstrating the effect of management strategy on gear selectivity and discards. ICES J. Mar. Sci. 2007, 64, 744–750. [Google Scholar] [CrossRef]
- Torres, M.A.; Ramos, F.; Sobrino, I. Length–weight relationships of 76 fish species from the Gulf of Cadiz (SW Spain). Fish. Res. 2012, 127, 171–175. [Google Scholar] [CrossRef]
- Olim, S.; Borges, T.C. Weight–length relationships for eight species of the family Triglidae discarded on the south coast of Portugal. J. Appl. Ichthyol. 2006, 22, 257–259. [Google Scholar] [CrossRef]
- Vallisneri, M.; Montanini, S.; Stagioni, M. Size at maturity of triglid fishes in the Adriatic Sea, northeastern Mediterranean. J. Appl. Ichthyol. 2012, 28, 123–125. [Google Scholar] [CrossRef]
- Rodríguez-García, C.; Castro-Gutiérrez, J.; Domínguez-Bustos, Á.R.; García-González, A.; Cabrera-Castro, R. Every fish counts: Challenging length–weight relationship bias in discards. Fishes 2023, 8, 222. [Google Scholar] [CrossRef]
- Toğulga, M.; Uçkun, D.; Akalın, S. Study on the biology of the large-scaled gurnard (Lepidotrigla cavillone Lacepede, 1801) in the Gülbahçe Bay (Aegean Sea). Ege Univ. J. Fish. Aquat. Sci. 2000, 17, 71–84. [Google Scholar]
- Weatherley, A.H.; Gill, H.S. Growth increases produced by bovine growth hormone in grass pickerel, Esox americanus vermiculatus (Le Sueur), and the underlying dynamics of muscle fiber growth. Aquaculture 1987, 65, 55–66. [Google Scholar] [CrossRef]
- Tanaka, Y. Trait response in communities to environmental change: Effect of interspecific competition and trait covariance structure. Theor. Ecol. 2010, 5, 83–98. [Google Scholar] [CrossRef]
- Loutrage, L.; Anik, B.; Chouvelon, T.; Spitz, J. High trophic specialization structures the epi-to bathypelagic fish community in the Bay of Biscay. Deep. Sea Res. Part I: Oceanogr. Res. Pap. 2024, 209, 104347. [Google Scholar] [CrossRef]
- Dobroslavić, T. Biološko-Ekološke Karakteristike Kokotića Lepidotrigla dieuzeidei Blanc & Hureau, 1973 i Kokotića Oštruljića Lepidotrigla cavillone (Lacepede, 1801) na Području Južnog Jadrana. Ph.D. Thesis, University of Split, Split, Kroatien, 2015. [Google Scholar]
- Boudaya, L.; Neifar, L.; Taktak, A.; Ghorbel, M.; Bouain, A. Diet of Chelidonichthys obscurus and Chelidonichthys lastoviza (Pisces: Triglidae) from the Gulf of Gabes (Tunisia). J. Appl. Ichthyol. 2007, 23, 646–653. [Google Scholar] [CrossRef]
- Iwasa, Y. Vertical migration of zooplankton: A game between predator and prey. Am. Nat. 1982, 120, 171–180. [Google Scholar] [CrossRef]
- Barberá, C. Misidáceos (Peracarida: Crustacea) Asociados a Fanerógamas Marinas en el SE Ibérico. Ph.D. Thesis, Universitat d’Alacant/Universidad de Alicante, San Vicente del Raspeig, Spain, 2002. [Google Scholar]
- Bandara, K.; Varpe, Ø.; Wijewardene, L.; Tverberg, V.; Eiane, K. Two hundred years of zooplankton vertical migration research. Biol. Rev. 2021, 96, 1547–1589. [Google Scholar] [CrossRef]
- Caddy, J.F.; Sharp, G.D. An ecological Framework for Marine Fishery Investigations; Food & Agriculture Org.: Rome, Italy, 1986; 152p. [Google Scholar]
- Cartes, J.E.; Sorbe, J.C. Deep-water mysids of the Catalan Sea: Species composition, bathymetric and near-bottom distribution. J. Mar. Biol. Assoc. UK 1995, 75, 187–197. [Google Scholar] [CrossRef]
- García Lafuente, J.; Ruiz, J. The Gulf of Cádiz pelagic ecosystem: A review. Prog. Oceanogr. 2007, 74, 228–251. [Google Scholar] [CrossRef]
- Reyes-Martínez, M.J.; Ruiz-Delgado, M.C.; Sánchez-Moyano, J.E.; García-García, F.J. Biodiversity and distribution of macroinfauna assemblages on sandy beaches along the Gulf of Cadiz (SW Spain). Sci. Mar. 2015, 79, 367–377. [Google Scholar] [CrossRef]
- Park, J.M.; Gaston, T.F.; Williamson, J.E. Resource partitioning in gurnard species using trophic analyses: The importance of temporal resolution. Fish. Res. 2017, 186, 301–310. [Google Scholar] [CrossRef]
- Labropoulou, M.; Tserpes, G.; Tsimenides, N. Age, Growth and Feeding Habits of the Brown Comber Serranus hepatus (Linnaeus, 1758) on the Cretan Shelf. Estuarine, Coast. Shelf Sci. 1998, 46, 723–732. [Google Scholar] [CrossRef]
- Ross, S.T. Patterns of resource partitioning in searobins (Pisces: Triglidae). Copeia 1977, 1977, 561–571. [Google Scholar] [CrossRef]
- Froneman, P.W. Feeding ecology of the mysid, Mesopodopsis wooldridgei, in a temperate estuary along the eastern seaboard of South Africa. J. Plankton Res. 2001, 23, 999–1008. [Google Scholar] [CrossRef]
- Moffat, A.M.; Jones, M.B. Correlation of the distribution of Mesopodopsis slabberi (Crustacae, Mysidacea) with physico-chemical gradients in a partially-mixed estuary (Tamar, England). Aquat. Ecol. 1993, 27, 155–162. [Google Scholar] [CrossRef]
- Keast, A. Trophic and spatial interrelationships in the fish species of an Ontario temperate lake. Environ. Biol. Fishes 1978, 3, 7–31. [Google Scholar] [CrossRef]
- Wallace, R.K. An assessment of diet-overlap indexes. Trans. Am. Fish. Soc. 1981, 110, 72–76. [Google Scholar] [CrossRef]
- Bailey, R.M.; Harrison, H.M., Jr. Food habits of the southern channel catfish (Ictalurus lacustris punctatus) in the Des Moines River, Iowa. Trans. Am. Fish. Soc. 1948, 75, 110–138. [Google Scholar] [CrossRef]
- Griffiths, D. Prey availability and the food of predators. Ecology 1975, 56, 1209–1214. [Google Scholar] [CrossRef]
- Rodríguez-García, C.; Gonçalves Neto, J.B.; García-Romero, C.; Domínguez-Bustos, Á.R.; Cabrera-Castro, R. Feeding habits of two shark species: Velvet belly, Etmopterus spinax (Linnaeus, 1758) and blackmouth catshark, Galeus melastomus (Rafinesque, 1810), present in fishing discards in the Gulf of Cádiz. Environ. Biol. Fishes 2024, 107, 159–172. [Google Scholar] [CrossRef]
- Bachiller, E.; Giménez, J.; Albo-Puigserver, M.; Pennino, M.G.; Marí-Mena, N.; Esteban, A.; Lloret-Lloret, E.; Bellido, J.M.; Coll, M. Trophic niche overlap between round sardinella (Sardinella aurita) and sympatric pelagic fish species in theWestern Mediterranean. Ecol. Evol. 2021, 11, 16126–16142. [Google Scholar] [CrossRef]
- Pennino, M.G.; Coll, M.; Albo-Puigserver, M.; Fernández-Corredor, E.; Steenbeek, J.; Giráldez, A.; González, M.; Esteban, A.; Bellido, J.M. Current and future influence of environmental factors on small pelagic fish distributions in the Northwestern Mediterranean Sea. Front. Mar. Sci. 2020, 7, 622. [Google Scholar] [CrossRef]
- Cengiz, Ö. Length-weight relationships of eight discarded flatfish species from Gallipoli Peninsula (Northern Aegean Sea, Türkiye): An evaluation for ecosystem-based fisheries management. Palawan Sci. 2022, 14, 26–34. [Google Scholar] [CrossRef]
- Carpentieri, P.; Colloca, F.; Cardinale, M.; Belluscio, A.; Ardizzone, G.D. Feeding habits of European hake (Merluccius merluccius) in the central Mediterranean Sea. Fish. Bull. 2005, 103, 411–416. [Google Scholar]









| Age | n | Mean TL (cm) | Standard Deviation | TL Range (cm) | ||||
|---|---|---|---|---|---|---|---|---|
| L. cavillone | L. dieuzeidei | L. cavillone | L. dieuzeidei | L. cavillone | L. dieuzeidei | L. cavillone | L. dieuzeidei | |
| 2+ | - | 2 | - | 4.20 | - | 0.283 | - | 4.0–4.4 |
| 3+ | 2 | 1 | 6.40 | 5.60 | 0.424 | - | 6.1–6.7 | 5.6 |
| 4+ | 37 | 15 | 7.71 | 7.26 | 0.887 | 0.906 | 6.2–10.6 | 5.0–8.8 |
| 5+ | 70 | 26 | 8.12 | 9.13 | 0.775 | 1.3 | 6.2–14.2 | 6.9–11.2 |
| 6+ | 33 | 25 | 9.28 | 10.87 | 1.396 | 1.14 | 6.5–11.4 | 7.4–12.6 |
| 7+ | 8 | 2 | 10.00 | 11.60 | 1.175 | 0.849 | 8.0–11.4 | 11.0–12.2 |
| 8+ | 1 | 2 | 11.20 | 13.45 | - | 0.495 | 11.2 | 13.1–13.8 |
| Lepidotrigla cavillone | Lepidotrigla dieuzeidei | |||||||
|---|---|---|---|---|---|---|---|---|
| Taxa | %F | %Cn | %Cw | %IRI | %F | %Cn | %Cw | %IRI |
| CRUSTACEA | ||||||||
| Decapoda | ||||||||
| Brachyura Not identified | 26.56 | 4.94 | 4.16 | 2.53 | 9.43 | 2.59 | 2.84 | 0.89 |
| Caridea Not identified | 14.06 | 9.36 | 14.12 | 3.45 | 30.19 | 16.14 | 42.14 | 30.38 |
| Galathea sp. | 11.72 | 3.65 | 1.96 | 0.69 | 7.55 | 2.31 | 0.48 | 0.36 |
| Cumacea | ||||||||
| Cumacea Not identified | 3.13 | 0.45 | 0.33 | 0.03 | ||||
| Copepoda | ||||||||
| Copepoda Not identified | 0.78 | 0.19 | 0.20 | <0.01 | ||||
| Mysidacea | ||||||||
| Lophogaster typicus | 3.77 | 1.44 | 14.35 | 1.03 | ||||
| Mysidacea Not identified | 58.59 | 69.04 | 66.02 | 82.75 | 32.08 | 56.48 | 24.84 | 45.04 |
| Amphipoda | ||||||||
| Amphipoda Not identified | 1.56 | 0.13 | 0.22 | 0.01 | ||||
| Gammaridae | 0.78 | 0.13 | 0.01 | <0.01 | ||||
| Other crustacea | 42.19 | 11.73 | 12.11 | 10.52 | 41.51 | 16.71 | 13.91 | 21.95 |
| MOLLUSCA | ||||||||
| Bivalvia | ||||||||
| Bivalvia Not identified | 3.77 | 0.58 | 1.27 | 0.12 | ||||
| Gasteropoda | ||||||||
| Gasteropoda Not identified | 0.78 | 0.06 | 0.47 | <0.01 | ||||
| OSTEICHTHYES | ||||||||
| Not identified fishes | 3.13 | 0.26 | 0.37 | 0.02 | 1.89 | 0.29 | 0.14 | 0.01 |
| Fish eggs | 3.77 | 3.46 | 0.04 | 0.23 | ||||
| ALGAE | ||||||||
| Algae Not identified | 0.78 | 0.06 | 0.02 | <0.01 | ||||
| Group | n |
|---|---|
| Night | 20 |
| Morning | 44 |
| Afternoon | 64 |
| <45 m | 64 |
| >45 m | 64 |
| Range 2 | 17 |
| Range 3 | 82 |
| Range 4 | 26 |
| Range 5 | 3 |
Disclaimer/Publisher’s Note: The statements, opinions and data contained in all publications are solely those of the individual author(s) and contributor(s) and not of MDPI and/or the editor(s). MDPI and/or the editor(s) disclaim responsibility for any injury to people or property resulting from any ideas, methods, instructions or products referred to in the content. |
© 2025 by the authors. Licensee MDPI, Basel, Switzerland. This article is an open access article distributed under the terms and conditions of the Creative Commons Attribution (CC BY) license (https://creativecommons.org/licenses/by/4.0/).
Share and Cite
Rodríguez-García, C.; Lago-Piñeiro, Ó.; Sarmiento-Carbajal, J.; Cabrera-Castro, R. Insights from Fishery Discards: Age and Feeding Habits of Large-Scaled Gurnard (Lepidotrigla cavillone, Lacepède 1801) and Spiny Gurnard (Lepidotrigla dieuzeidei, Blanc & Hureau 1973) in the Gulf of Cádiz (SW Iberian Peninsula). Fishes 2025, 10, 615. https://doi.org/10.3390/fishes10120615
Rodríguez-García C, Lago-Piñeiro Ó, Sarmiento-Carbajal J, Cabrera-Castro R. Insights from Fishery Discards: Age and Feeding Habits of Large-Scaled Gurnard (Lepidotrigla cavillone, Lacepède 1801) and Spiny Gurnard (Lepidotrigla dieuzeidei, Blanc & Hureau 1973) in the Gulf of Cádiz (SW Iberian Peninsula). Fishes. 2025; 10(12):615. https://doi.org/10.3390/fishes10120615
Chicago/Turabian StyleRodríguez-García, Carlos, Óscar Lago-Piñeiro, Jesica Sarmiento-Carbajal, and Remedios Cabrera-Castro. 2025. "Insights from Fishery Discards: Age and Feeding Habits of Large-Scaled Gurnard (Lepidotrigla cavillone, Lacepède 1801) and Spiny Gurnard (Lepidotrigla dieuzeidei, Blanc & Hureau 1973) in the Gulf of Cádiz (SW Iberian Peninsula)" Fishes 10, no. 12: 615. https://doi.org/10.3390/fishes10120615
APA StyleRodríguez-García, C., Lago-Piñeiro, Ó., Sarmiento-Carbajal, J., & Cabrera-Castro, R. (2025). Insights from Fishery Discards: Age and Feeding Habits of Large-Scaled Gurnard (Lepidotrigla cavillone, Lacepède 1801) and Spiny Gurnard (Lepidotrigla dieuzeidei, Blanc & Hureau 1973) in the Gulf of Cádiz (SW Iberian Peninsula). Fishes, 10(12), 615. https://doi.org/10.3390/fishes10120615

