Sign in to use this feature.

Years

Between: -

Subjects

remove_circle_outline
remove_circle_outline
remove_circle_outline
remove_circle_outline
remove_circle_outline
remove_circle_outline
remove_circle_outline

Journals

Article Types

Countries / Regions

Search Results (27)

Search Parameters:
Keywords = neural reward pathways

Order results
Result details
Results per page
Select all
Export citation of selected articles as:
32 pages, 3815 KB  
Article
Temporal Synchrony in Bodily Interaction Enhances the Aha! Experience: Evidence for an Implicit Metacognitive Predictive Processing Mechanism
by Jiajia Su and Haosheng Ye
J. Intell. 2025, 13(7), 83; https://doi.org/10.3390/jintelligence13070083 - 7 Jul 2025
Viewed by 993
Abstract
Grounded in the theory of metacognitive prediction error minimization, this study is the first to propose and empirically validate the mechanism of implicit metacognitive predictive processing by which bodily interaction influences the Aha! experience. Three experimental groups were designed to manipulate the level [...] Read more.
Grounded in the theory of metacognitive prediction error minimization, this study is the first to propose and empirically validate the mechanism of implicit metacognitive predictive processing by which bodily interaction influences the Aha! experience. Three experimental groups were designed to manipulate the level of temporal synchrony in bodily interaction: Immediate Mirror Group, Delayed Mirror Group, and No-Interaction Control Group. A three-stage experimental paradigm—Prediction, Execution, and Feedback—was constructed to decompose the traditional holistic insight task into three sequential components: solution time prediction (prediction phase), riddle solving (execution phase), and self-evaluation of Aha! experience (feedback phase). Behavioral results indicated that bodily interaction significantly influenced the intensity of the Aha! experience, likely mediated by metacognitive predictive processing. Significant or marginally significant differences emerged across key measures among the three groups. Furthermore, fNIRS results revealed that low-frequency amplitude during the “solution time prediction” task was associated with the Somato-Cognitive Action Network (SCAN), suggesting its involvement in the early predictive stage. Functional connectivity analysis also identified Channel 16 within the reward network as potentially critical to the Aha! experience, warranting further investigation. Additionally, the high similarity in functional connectivity patterns between the Mirror Game and the three insight tasks implies that shared neural mechanisms of metacognitive predictive processing are engaged during both bodily interaction and insight. Brain network analyses further indicated that the Reward Network (RN), Dorsal Attention Network (DAN), and Ventral Attention Network (VAN) are key neural substrates supporting this mechanism, while the SCAN network was not consistently involved during the insight formation stage. In sum, this study makes three key contributions: (1) it proposes a novel theoretical mechanism—implicit metacognitive predictive processing; (2) it establishes a quantifiable, three-stage paradigm for insight research; and (3) it outlines a dynamic neural pathway from bodily interaction to insight experience. Most importantly, the findings offer an integrative model that bridges embodied cognition, enactive cognition, and metacognitive predictive processing, providing a unified account of the Aha! experience. Full article
(This article belongs to the Section Studies on Cognitive Processes)
Show Figures

Figure 1

20 pages, 2843 KB  
Review
Neural Mechanisms and Alterations of Sweet Sensing: Insights from Functional Magnetic Resonance Imaging Studies
by Tobias Long, Colette C. Milbourn, Alison Smith, Kyaw Linn Su Khin, Amanda J. Page, Iskandar Idris, Qian Yang, Richard L. Young and Sally Eldeghaidy
Life 2025, 15(7), 1075; https://doi.org/10.3390/life15071075 - 5 Jul 2025
Viewed by 1833
Abstract
Sweet sensing is a fundamental sensory experience that plays a critical role not only in food preference, reward and dietary behaviour but also in glucose metabolism. Sweet taste receptors (STRs), composed of a heterodimer of taste receptor type 1 member 2 (T1R2) and [...] Read more.
Sweet sensing is a fundamental sensory experience that plays a critical role not only in food preference, reward and dietary behaviour but also in glucose metabolism. Sweet taste receptors (STRs), composed of a heterodimer of taste receptor type 1 member 2 (T1R2) and member 3 (T1R3), are now recognised as being widely distributed throughout the body, including the gastrointestinal tract. Preclinical studies suggest these receptors are central to nutrient and glucose sensing, detecting energy availability and triggering metabolic and behavioural responses to maintain energy balance. Both internal and external factors tightly regulate their signalling pathways, and dysfunction within these systems may contribute to the development of metabolic disorders such as obesity and type 2 diabetes (T2D). Functional magnetic resonance imaging (fMRI) has provided valuable insights into the neural mechanisms underlying sweet sensing by mapping brain responses to both lingual/oral and gastrointestinal sweet stimuli. This review highlights key findings from fMRI studies and explores how these neural responses are modulated by metabolic state and individual characteristics such as body mass index, habitual intake and metabolic health. By integrating current evidence, this review advances our understanding of the complex interplay between sweet sensing, brain responses, and health and identifies key gaps and directions for future research in nutritional neuroscience. Full article
(This article belongs to the Special Issue New Advances in Neuroimaging and Brain Functions: 2nd Edition)
Show Figures

Figure 1

18 pages, 1065 KB  
Review
Multimodal Neuroimaging of Obesity: From Structural-Functional Mechanisms to Precision Interventions
by Wenhua Liu, Na Li, Dongsheng Tang, Lang Qin and Zhiqiang Zhu
Brain Sci. 2025, 15(5), 446; https://doi.org/10.3390/brainsci15050446 - 25 Apr 2025
Cited by 1 | Viewed by 1938
Abstract
Purpose: Obesity’s metabolic consequences are well documented; however, its neurobiological underpinnings remain elusive. This systematic review addresses a critical gap by synthesizing evidence on obesity-induced neuroplasticity across structural, functional, and molecular domains through advanced neuroimaging. Methods: According to PRISMA guidelines, we systematically searched [...] Read more.
Purpose: Obesity’s metabolic consequences are well documented; however, its neurobiological underpinnings remain elusive. This systematic review addresses a critical gap by synthesizing evidence on obesity-induced neuroplasticity across structural, functional, and molecular domains through advanced neuroimaging. Methods: According to PRISMA guidelines, we systematically searched (2015–2024) across PubMed/Web of Science, employing MeSH terms: (“Obesity” [Majr]) AND (“Neuroimaging” [Mesh] OR “Magnetic Resonance Imaging” [Mesh]). A total of 104 studies met the inclusion criteria. The inclusion criteria required the following: (1) multimodal imaging protocols (structural MRI/diffusion tensor imaging/resting-state functional magnetic resonance imaging (fMRI)/positron emission tomography (PET)); (2) pre-/post-intervention longitudinal design. Risk of bias was assessed via the Newcastle-Ottawa Scale. Key Findings: 1. Structural alterations: 7.2% mean gray matter reduction in prefrontal cortex (Cohen’s d = 0.81). White matter integrity decline (FA reduction β = −0.33, p < 0.001) across 12 major tracts. 2. Functional connectivity: Resting-state hyperactivity in mesolimbic pathways (fALFF + 23%, p-FDR < 0.05). Impaired fronto–striatal connectivity (r = −0.58 with BMI, 95% CI [−0.67, −0.49]). 3. Interventional reversibility: Bariatric surgery restored prefrontal activation (Δ = +18% vs. controls, p = 0.002). Neurostimulation (transcranial direct current stimulation (tDCS) enhanced cognitive control (post-treatment β = 0.42, p = 0.009). Conclusion: 1. Obesity induces multidomain neural reorganization beyond traditional reward circuits. 2. Neuroimaging biomarkers (e.g., striatal PET-dopamine binding potential) predict intervention outcomes (AUC = 0.79). 3. Precision neuromodulation requires tripartite integration of structural guidance, functional monitoring, and molecular profiling. Findings highlight neuroimaging’s pivotal role in developing stage-specific therapeutic strategies. Full article
(This article belongs to the Special Issue Application of MRI in Brain Diseases)
Show Figures

Figure 1

34 pages, 1261 KB  
Review
Molecular Pathways, Neural Circuits and Emerging Therapies for Self-Injurious Behaviour
by Kristina Zhang, George M. Ibrahim and Flavia Venetucci Gouveia
Int. J. Mol. Sci. 2025, 26(5), 1938; https://doi.org/10.3390/ijms26051938 - 24 Feb 2025
Cited by 3 | Viewed by 2392
Abstract
Nonsuicidal self-injurious behaviour (SIB) is a debilitating manifestation of physical aggression commonly observed across neurodevelopmental, psychiatric, and genetic disorders. This behaviour arises from a multifactorial aetiology involving genetic predispositions, epigenetic modifications, neurotransmitter dysregulation, and environmental stressors. Dysregulation in dopaminergic, serotonergic, glutamatergic, and GABAergic [...] Read more.
Nonsuicidal self-injurious behaviour (SIB) is a debilitating manifestation of physical aggression commonly observed across neurodevelopmental, psychiatric, and genetic disorders. This behaviour arises from a multifactorial aetiology involving genetic predispositions, epigenetic modifications, neurotransmitter dysregulation, and environmental stressors. Dysregulation in dopaminergic, serotonergic, glutamatergic, and GABAergic systems has been implicated in the pathophysiology of SIB, alongside structural and functional abnormalities within fronto-limbic-striatal circuits. These disruptions impair key processes, such as emotional regulation, reward processing, and behavioural inhibition, contributing to the emergence and reinforcement of SIB. Advances in preclinical research using genetic, lesion-based, pharmacological, and environmental animal models have been instrumental in elucidating the molecular and neurocircuitry underpinnings of SIB. Emerging neuromodulation therapies targeting critical nodes within the fronto-limbic-striatal network, particularly deep brain stimulation, have shown promise in treating severe, refractory SIB and improving quality of life. This review integrates current evidence from clinical studies, molecular research, and preclinical models to provide a comprehensive overview of the pathophysiology of SIB and therapeutic approaches. By focusing on the molecular mechanisms and neural circuits underlying SIB, we highlight the translational potential of emerging pharmacological and neuromodulatory therapies. A deeper understanding of these pathways will pave the way for precision-based interventions, bridging the gap between molecular research and clinical applications in SIB and related conditions. Full article
(This article belongs to the Special Issue Molecular Research in Aggressive Behavior)
Show Figures

Figure 1

20 pages, 1119 KB  
Review
The Neural Correlations of Olfactory Associative Reward Memories in Drosophila
by Yu-Chun Lin, Tony Wu and Chia-Lin Wu
Cells 2024, 13(20), 1716; https://doi.org/10.3390/cells13201716 - 17 Oct 2024
Cited by 1 | Viewed by 3034
Abstract
Advancing treatment to resolve human cognitive disorders requires a comprehensive understanding of the molecular signaling pathways underlying learning and memory. While most organ systems evolved to maintain homeostasis, the brain developed the capacity to perceive and adapt to environmental stimuli through the continuous [...] Read more.
Advancing treatment to resolve human cognitive disorders requires a comprehensive understanding of the molecular signaling pathways underlying learning and memory. While most organ systems evolved to maintain homeostasis, the brain developed the capacity to perceive and adapt to environmental stimuli through the continuous modification of interactions within a gene network functioning within a broader neural network. This distinctive characteristic enables significant neural plasticity, but complicates experimental investigations. A thorough examination of the mechanisms underlying behavioral plasticity must integrate multiple levels of biological organization, encompassing genetic pathways within individual neurons, interactions among neural networks providing feedback on gene expression, and observable phenotypic behaviors. Model organisms, such as Drosophila melanogaster, which possess more simple and manipulable nervous systems and genomes than mammals, facilitate such investigations. The evolutionary conservation of behavioral phenotypes and the associated genetics and neural systems indicates that insights gained from flies are pertinent to understanding human cognition. Rather than providing a comprehensive review of the entire field of Drosophila memory research, we focus on olfactory associative reward memories and their related neural circuitry in fly brains, with the objective of elucidating the underlying neural mechanisms, thereby advancing our understanding of brain mechanisms linked to cognitive systems. Full article
(This article belongs to the Special Issue Drosophila: Contribution to Cell Research)
Show Figures

Figure 1

19 pages, 320 KB  
Review
Food Addiction
by Haley Krupa, Ashley N. Gearhardt, Anne Lewandowski and Nicole M. Avena
Brain Sci. 2024, 14(10), 952; https://doi.org/10.3390/brainsci14100952 - 24 Sep 2024
Cited by 7 | Viewed by 6605
Abstract
In this review, we aim to draw a connection between drug addiction and overconsumption of highly palatable food (OHPF) by discussing common behaviors and neurochemical pathways shared by these two states. OHPF can stimulate reward pathways in the brain that parallel those triggered [...] Read more.
In this review, we aim to draw a connection between drug addiction and overconsumption of highly palatable food (OHPF) by discussing common behaviors and neurochemical pathways shared by these two states. OHPF can stimulate reward pathways in the brain that parallel those triggered by drug use, increasing the risk of dependency. Behavioral similarities between food and drug addiction can be addressed by tracking their stages: loss of control when eating (bingeing), withdrawal, craving, sensitization, and cross-sensitization. The brain adapts to addiction by way of the mesolimbic dopamine system, endogenous opioids and receptors, acetylcholine and dopamine balance, and adaptations of serotonin in neuroanatomy. Studies from the current literature are reviewed to determine how various neurological chemicals contribute to the reinforcement of drug addiction and OHPF. Finally, protocols for treating food addiction are discussed, including both clinical and pharmacological modalities. There is consistent evidence that OHPF changes brain chemistry and leads to addiction in similar ways to drugs. However, more long-term research is needed on food addiction, binge eating, and their neurobiological effects. Full article
22 pages, 26133 KB  
Article
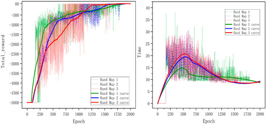
Improved Double Deep Q-Network Algorithm Applied to Multi-Dimensional Environment Path Planning of Hexapod Robots
by Liuhongxu Chen, Qibiao Wang, Chao Deng, Bo Xie, Xianguo Tuo and Gang Jiang
Sensors 2024, 24(7), 2061; https://doi.org/10.3390/s24072061 - 23 Mar 2024
Cited by 10 | Viewed by 2200
Abstract
Detecting transportation pipeline leakage points within chemical plants is difficult due to complex pathways, multi-dimensional survey points, and highly dynamic scenarios. However, hexapod robots’ maneuverability and adaptability make it an ideal candidate for conducting surveys across different planes. The path-planning problem of hexapod [...] Read more.
Detecting transportation pipeline leakage points within chemical plants is difficult due to complex pathways, multi-dimensional survey points, and highly dynamic scenarios. However, hexapod robots’ maneuverability and adaptability make it an ideal candidate for conducting surveys across different planes. The path-planning problem of hexapod robots in multi-dimensional environments is a significant challenge, especially when identifying suitable transition points and planning shorter paths to reach survey points while traversing multi-level environments. This study proposes a Particle Swarm Optimization (PSO)-guided Double Deep Q-Network (DDQN) approach, namely, the PSO-guided DDQN (PG-DDQN) algorithm, for solving this problem. The proposed algorithm incorporates the PSO algorithm to supplant the traditional random selection strategy, and the data obtained from this guided approach are subsequently employed to train the DDQN neural network. The multi-dimensional random environment is abstracted into localized maps comprising current and next level planes. Comparative experiments were performed with PG-DDQN, standard DQN, and standard DDQN to evaluate the algorithm’s performance by using multiple randomly generated localized maps. After testing each iteration, each algorithm obtained the total reward values and completion times. The results demonstrate that PG-DDQN exhibited faster convergence under an equivalent iteration count. Compared with standard DQN and standard DDQN, reductions in path-planning time of at least 33.94% and 42.60%, respectively, were observed, significantly improving the robot’s mobility. Finally, the PG-DDQN algorithm was integrated with sensors onto a hexapod robot, and validation was performed through Gazebo simulations and Experiment. The results show that controlling hexapod robots by applying PG-DDQN provides valuable insights for path planning to reach transportation pipeline leakage points within chemical plants. Full article
(This article belongs to the Section Sensors and Robotics)
Show Figures

Figure 1

16 pages, 732 KB  
Hypothesis
Toward an Etiology of Spaceflight Neuroplastic Syndrome: Evolutionary Science Leads to New Hypotheses and Program Priorities
by Margaret Boone Rappaport and Christopher J. Corbally
NeuroSci 2023, 4(4), 247-262; https://doi.org/10.3390/neurosci4040021 - 25 Sep 2023
Cited by 3 | Viewed by 2712
Abstract
Evolutionary theory is applied to recent neuroscientific findings on factors associated with risk-and-reward systems, and consequently, aspects of human decision making in spaceflight. Factors include enzymes aiding metabolic pathways of dopamine and serotonin; neurotrophic factors supporting neuronal functioning and plasticity; and genes associated [...] Read more.
Evolutionary theory is applied to recent neuroscientific findings on factors associated with risk-and-reward systems, and consequently, aspects of human decision making in spaceflight. Factors include enzymes aiding metabolic pathways of dopamine and serotonin; neurotrophic factors supporting neuronal functioning and plasticity; and genes associated with serotonin and dopamine systems. Not all factors are at risk in spaceflight. Some remain stable. It is hypothesized that neural deconditioning in spaceflight arises from faulty signals sent to the brain and gut in attempting to adapt phenotypically to a novel space environment. There is a mismatch between terrestrial selection pressures during human evolution and conditions of cosmic radiation, microgravity, and higher CO2, which together cause scattered results. A contrary question is broached: Given these findings, why are human sequelae not worse? Discussion of programmatic issues then focuses on methodologies to determine the suitability of civilians for spaceflight, an issue that grows more pressing while more varied populations prepare for spaceflight in LEO and on, and in orbit around the Moon. Full article
Show Figures

Figure 1

16 pages, 3539 KB  
Article
Chronic Exposure to High Fat Diet Affects the Synaptic Transmission That Regulates the Dopamine Release in the Nucleus Accumbens of Adolescent Male Rats
by Wladimir Plaza-Briceño, Victoria B. Velásquez, Francisco Silva-Olivares, Karina Ceballo, Ricardo Céspedes, Gonzalo Jorquera, Gonzalo Cruz, Jonathan Martínez-Pinto, Christian Bonansco and Ramón Sotomayor-Zárate
Int. J. Mol. Sci. 2023, 24(5), 4703; https://doi.org/10.3390/ijms24054703 - 28 Feb 2023
Cited by 11 | Viewed by 4193
Abstract
Obesity is a pandemic caused by many factors, including a chronic excess in hypercaloric and high-palatable food intake. In addition, the global prevalence of obesity has increased in all age categories, such as children, adolescents, and adults. However, at the neurobiological level, how [...] Read more.
Obesity is a pandemic caused by many factors, including a chronic excess in hypercaloric and high-palatable food intake. In addition, the global prevalence of obesity has increased in all age categories, such as children, adolescents, and adults. However, at the neurobiological level, how neural circuits regulate the hedonic consumption of food intake and how the reward circuit is modified under hypercaloric diet consumption are still being unraveled. We aimed to determine the molecular and functional changes of dopaminergic and glutamatergic modulation of nucleus accumbens (NAcc) in male rats exposed to chronic consumption of a high-fat diet (HFD). Male Sprague-Dawley rats were fed a chow diet or HFD from postnatal day (PND) 21 to 62, increasing obesity markers. In addition, in HFD rats, the frequency but not amplitude of the spontaneous excitatory postsynaptic current is increased in NAcc medium spiny neurons (MSNs). Moreover, only MSNs expressing dopamine (DA) receptor type 2 (D2) increase the amplitude and glutamate release in response to amphetamine, downregulating the indirect pathway. Furthermore, NAcc gene expression of inflammasome components is increased by chronic exposure to HFD. At the neurochemical level, DOPAC content and tonic dopamine (DA) release are reduced in NAcc, while phasic DA release is increased in HFD-fed rats. In conclusion, our model of childhood and adolescent obesity functionally affects the NAcc, a brain nucleus involved in the hedonic control of feeding, which might trigger addictive-like behaviors for obesogenic foods and, through positive feedback, maintain the obese phenotype. Full article
(This article belongs to the Special Issue State-of-the-Art Molecular Neurobiology in Chile)
Show Figures

Figure 1

17 pages, 4218 KB  
Article
Exogenous Cannabinoids Impair Effort-Related Decision-Making via Affecting Neural Synchronization between the Anterior Cingulate Cortex and Nucleus Accumbens
by Zahra Fatahi, Mohammad Fatahi, Mirmohammadali Mirramezani Alizamini, Ahmad Ghorbani, Mohammad Ismail Zibaii and Abbas Haghparast
Brain Sci. 2023, 13(3), 413; https://doi.org/10.3390/brainsci13030413 - 27 Feb 2023
Cited by 1 | Viewed by 2189
Abstract
Humans and animals frequently make an endeavor-based choice based on assessing reinforcement value and response costs. The cortical-limbic-striatal pathway mediates endeavor-based choice behavior, including the nucleus accumbens (NAc) and the anterior cingulate cortex (ACC). Furthermore, cannabinoid agonists demonstratively impairs decision-making processes. In this [...] Read more.
Humans and animals frequently make an endeavor-based choice based on assessing reinforcement value and response costs. The cortical-limbic-striatal pathway mediates endeavor-based choice behavior, including the nucleus accumbens (NAc) and the anterior cingulate cortex (ACC). Furthermore, cannabinoid agonists demonstratively impairs decision-making processes. In this study, neural synchronization and functional connectivity between the NAc and ACC while endeavor-related decision-making and reaching reward were evaluated. The effect of exogenous cannabinoids on this synchronization was then assessed. A T-maze decision-making task with a differential expense (low vs. high endeavor) and remuneration (low vs. high remuneration) was performed and local field potentials (LFP) from the ACC and NAc were registered simultaneously. Results showed functional connectivity during endeavor-related decision-making while the animals chose the high endeavor/high remuneration in both regions’ delta/beta (1–4 and 13–30 Hertz) frequency bands. Furthermore, functional connectivity existed between both areas in delta/theta (1–4 and 4–12) frequencies while reaching a remuneration. However, neural simultaneity was not observed while the animals received cannabinoid agonists, making a decision and reaching remuneration. The obtained results demonstrated that functional connectivity and neural simultaneity between the NAc and ACC in delta/beta and delta/theta frequencies have a role in endeavor-related decision-making and reaching remuneration, respectively. The effect of exogenous cannabinoids on decision-making impairment is relevant to changes in the ACC and NAC brain wave frequencies. Full article
(This article belongs to the Section Neuropharmacology and Neuropathology)
Show Figures

Figure 1

13 pages, 2331 KB  
Article
Investigating the Modulation of the VTA Neurons in Nicotine-Exposed Pups during Early Maturation Using Optogenetics
by Austin Ganaway, Yoshinori Sunaga, Yasumi Ohta, Jun Ohta, Metin Akay and Yasemin M. Akay
Int. J. Mol. Sci. 2023, 24(3), 2280; https://doi.org/10.3390/ijms24032280 - 23 Jan 2023
Cited by 2 | Viewed by 2529
Abstract
Advancing the understanding of the relationship between perinatal nicotine addiction and the reward mechanism of the brain is crucial for uncovering and implementing new treatments for addiction control and prevention. The mesolimbic pathway of the brain, also known as the reward pathway, consists [...] Read more.
Advancing the understanding of the relationship between perinatal nicotine addiction and the reward mechanism of the brain is crucial for uncovering and implementing new treatments for addiction control and prevention. The mesolimbic pathway of the brain, also known as the reward pathway, consists of two main areas that regulate dopamine (DA) and addiction-related behaviors. The ventral tegmental area (VTA) releases DA when stimulated, causing the propagation of neuronal firing along the pathway. This ends in the release of DA into the extracellular space of the nucleus accumbens (NAc), which is directly modulated by the uptake of DA. Much research has been conducted on the effects of nicotine addiction, but little research has been conducted concerning nicotine addiction and the mesolimbic pathway regarding maturation due to the small brain size. In this study, we apply our novel microstimulation experimental system to rat pups that have been perinatally exposed to nicotine. By using our self-fabricated photo-stimulation (PS) device, we can stimulate the VTA and collect dialysate, which is then used to estimate DA released into the NAc. The proposed platform has demonstrated the potential to monitor neural pathways as the pups mature. Full article
(This article belongs to the Special Issue Development of Dopaminergic Neurons 2.0)
Show Figures

Figure 1

23 pages, 2206 KB  
Review
Sodium Homeostasis, a Balance Necessary for Life
by Antonio Bernal, María A. Zafra, María J. Simón and Javier Mahía
Nutrients 2023, 15(2), 395; https://doi.org/10.3390/nu15020395 - 12 Jan 2023
Cited by 54 | Viewed by 14305
Abstract
Body sodium (Na) levels must be maintained within a narrow range for the correct functioning of the organism (Na homeostasis). Na disorders include not only elevated levels of this solute (hypernatremia), as in diabetes insipidus, but also reduced levels (hyponatremia), as in cerebral [...] Read more.
Body sodium (Na) levels must be maintained within a narrow range for the correct functioning of the organism (Na homeostasis). Na disorders include not only elevated levels of this solute (hypernatremia), as in diabetes insipidus, but also reduced levels (hyponatremia), as in cerebral salt wasting syndrome. The balance in body Na levels therefore requires a delicate equilibrium to be maintained between the ingestion and excretion of Na. Salt (NaCl) intake is processed by receptors in the tongue and digestive system, which transmit the information to the nucleus of the solitary tract via a neural pathway (chorda tympani/vagus nerves) and to circumventricular organs, including the subfornical organ and area postrema, via a humoral pathway (blood/cerebrospinal fluid). Circuits are formed that stimulate or inhibit homeostatic Na intake involving participation of the parabrachial nucleus, pre-locus coeruleus, medial tuberomammillary nuclei, median eminence, paraventricular and supraoptic nuclei, and other structures with reward properties such as the bed nucleus of the stria terminalis, central amygdala, and ventral tegmental area. Finally, the kidney uses neural signals (e.g., renal sympathetic nerves) and vascular (e.g., renal perfusion pressure) and humoral (e.g., renin–angiotensin–aldosterone system, cardiac natriuretic peptides, antidiuretic hormone, and oxytocin) factors to promote Na excretion or retention and thereby maintain extracellular fluid volume. All these intake and excretion processes are modulated by chemical messengers, many of which (e.g., aldosterone, angiotensin II, and oxytocin) have effects that are coordinated at peripheral and central level to ensure Na homeostasis. Full article
(This article belongs to the Special Issue Salt Appetite and Diet)
Show Figures

Figure 1

14 pages, 2206 KB  
Perspective
Dopamine and Beyond: Implications of Psychophysical Studies of Intracranial Self-Stimulation for the Treatment of Depression
by Vasilios Pallikaras and Peter Shizgal
Brain Sci. 2022, 12(8), 1052; https://doi.org/10.3390/brainsci12081052 - 8 Aug 2022
Cited by 4 | Viewed by 4001
Abstract
Major depressive disorder is a leading cause of disability and suicide worldwide. Consecutive rounds of conventional interventions are ineffective in a significant sub-group of patients whose disorder is classified as treatment-resistant depression. Significant progress in managing this severe form of depression has been [...] Read more.
Major depressive disorder is a leading cause of disability and suicide worldwide. Consecutive rounds of conventional interventions are ineffective in a significant sub-group of patients whose disorder is classified as treatment-resistant depression. Significant progress in managing this severe form of depression has been achieved through the use of deep brain stimulation of the medial forebrain bundle (MFB). The beneficial effect of such stimulation appears strong, safe, and enduring. The proposed neural substrate for this promising clinical finding includes midbrain dopamine neurons and a subset of their cortical afferents. Here, we aim to broaden the discussion of the candidate circuitry by exploring potential implications of a new “convergence” model of brain reward circuitry in rodents. We chart the evolution of the new model from its predecessors, which held that midbrain dopamine neurons constituted an obligatory stage of the final common path for reward seeking. In contrast, the new model includes a directly activated, non-dopaminergic pathway whose output ultimately converges with that of the dopaminergic neurons. On the basis of the new model and the relative ineffectiveness of dopamine agonists in the treatment of depression, we ask whether non-dopaminergic circuitry may contribute to the clinical efficacy of deep brain stimulation of the MFB. Full article
Show Figures

Figure 1

23 pages, 474 KB  
Review
A High-Sugar Diet Consumption, Metabolism and Health Impacts with a Focus on the Development of Substance Use Disorder: A Narrative Review
by Kacper Witek, Karolina Wydra and Małgorzata Filip
Nutrients 2022, 14(14), 2940; https://doi.org/10.3390/nu14142940 - 18 Jul 2022
Cited by 62 | Viewed by 32361
Abstract
Carbohydrates are important macronutrients in human and rodent diet patterns that play a key role in crucial metabolic pathways and provide the necessary energy for proper body functioning. Sugar homeostasis and intake require complex hormonal and nervous control to proper body energy balance. [...] Read more.
Carbohydrates are important macronutrients in human and rodent diet patterns that play a key role in crucial metabolic pathways and provide the necessary energy for proper body functioning. Sugar homeostasis and intake require complex hormonal and nervous control to proper body energy balance. Added sugar in processed food results in metabolic, cardiovascular, and nervous disorders. Epidemiological reports have shown enhanced consumption of sweet products in children and adults, especially in reproductive age and in pregnant women, which can lead to the susceptibility of offspring’s health to diseases in early life or in adulthood and proneness to mental disorders. In this review, we discuss the impacts of high-sugar diet (HSD) or sugar intake during the perinatal and/or postnatal periods on neural and behavioural disturbances as well as on the development of substance use disorder (SUD). Since several emotional behavioural disturbances are recognized as predictors of SUD, we also present how HSD enhances impulsive behaviour, stress, anxiety and depression. Apart from the influence of HSD on these mood disturbances, added sugar can render food addiction. Both food and addictive substances change the sensitivity of the brain rewarding neurotransmission signalling. The results of the collected studies could be important in assessing sugar intake, especially via maternal dietary patterns, from the clinical perspective of SUD prevention or pre-existing emotional disorders. Methodology: This narrative review focuses on the roles of a high-sugar diet (HSD) and added sugar in foods and on the impacts of glucose and fructose on the development of substance use disorder (SUD) and on the behavioural predictors of drugs abuse. The literature was reviewed by two authors independently according to the topic of the review. We searched the PubMed and Scopus databases and Multidisciplinary Digital Publishing Institute open access scientific journals using the following keyword search strategy depending on the theme of the chapter: “high-sugar diet” OR “high-carbohydrate diet” OR “sugar” OR “glucose” OR “fructose” OR “added sugar” AND keywords. We excluded inaccessible or pay-walled articles, abstracts, conference papers, editorials, letters, commentary, and short notes. Reviews, experimental studies, and epidemiological data, published since 1990s, were searched and collected depending on the chapter structure. After the search, all duplicates are thrown out and full texts were read, and findings were rescreened. After the selection process, appropriate papers were included to present in this review. Full article
(This article belongs to the Special Issue Diet and Disease Development: Present and Future)
Show Figures

Graphical abstract

32 pages, 12535 KB  
Article
Potential Cross Talk between Autism Risk Genes and Neurovascular Molecules: A Pilot Study on Impact of Blood Brain Barrier Integrity
by Rekha Jagadapillai, Xiaolu Qiu, Kshama Ojha, Zhu Li, Ayman El-Baz, Shipu Zou, Evelyne Gozal and Gregory N. Barnes
Cells 2022, 11(14), 2211; https://doi.org/10.3390/cells11142211 - 15 Jul 2022
Cited by 16 | Viewed by 5555
Abstract
Autism Spectrum Disorder (ASD) is a common pediatric neurobiological disorder with up to 80% of genetic etiologies. Systems biology approaches may make it possible to test novel therapeutic strategies targeting molecular pathways to alleviate ASD symptoms. A clinical database of autism subjects was [...] Read more.
Autism Spectrum Disorder (ASD) is a common pediatric neurobiological disorder with up to 80% of genetic etiologies. Systems biology approaches may make it possible to test novel therapeutic strategies targeting molecular pathways to alleviate ASD symptoms. A clinical database of autism subjects was queried for individuals with a copy number variation (CNV) on microarray, Vineland, and Parent Concern Questionnaire scores. Pathway analyses of genes from pathogenic CNVs yielded 659 genes whose protein–protein interactions and mRNA expression mapped 121 genes with maximal antenatal expression in 12 brain regions. A Research Domain Criteria (RDoC)-derived neural circuits map revealed significant differences in anxiety, motor, and activities of daily living skills scores between altered CNV genes and normal microarrays subjects, involving Positive Valence (reward), Cognition (IQ), and Social Processes. Vascular signaling was identified as a biological process that may influence these neural circuits. Neuroinflammation, microglial activation, iNOS and 3-nitrotyrosine increase in the brain of Semaphorin 3F- Neuropilin 2 (Sema 3F-NRP2) KO, an ASD mouse model, agree with previous reports in the brain of ASD individuals. Signs of platelet deposition, activation, release of serotonin, and albumin leakage in ASD-relevant brain regions suggest possible blood brain barrier (BBB) deficits. Disruption of neurovascular signaling and BBB with neuroinflammation may mediate causative pathophysiology in some ASD subgroups. Although preliminary, these data demonstrate the potential for developing novel therapeutic strategies based on clinically derived data, genomics, cognitive neuroscience, and basic neuroscience methods. Full article
(This article belongs to the Special Issue Blood–Brain Barrier: From Physiology to Disease and Back)
Show Figures

Figure 1

Back to TopTop