Sign in to use this feature.

Years

Between: -

Subjects

remove_circle_outline
remove_circle_outline
remove_circle_outline
remove_circle_outline
remove_circle_outline
remove_circle_outline
remove_circle_outline
remove_circle_outline
remove_circle_outline

Journals

remove_circle_outline
remove_circle_outline
remove_circle_outline
remove_circle_outline
remove_circle_outline
remove_circle_outline
remove_circle_outline
remove_circle_outline
remove_circle_outline
remove_circle_outline
remove_circle_outline
remove_circle_outline
remove_circle_outline
remove_circle_outline
remove_circle_outline
remove_circle_outline
remove_circle_outline
remove_circle_outline
remove_circle_outline
remove_circle_outline

Article Types

Countries / Regions

remove_circle_outline
remove_circle_outline
remove_circle_outline
remove_circle_outline
remove_circle_outline
remove_circle_outline
remove_circle_outline

Search Results (2,748)

Search Parameters:
Keywords = natural cancer drugs

Order results
Result details
Results per page
Select all
Export citation of selected articles as:
14 pages, 5119 KB  
Review
Antibodies as Tools for Characterization, Isolation and Production Enhancement of Anti-Cancer Drugs and Steroidal Hormones from Ginsenoside and Solasodine Glycoside: A Review
by Yukihiro Shoyama
Antibodies 2026, 15(1), 10; https://doi.org/10.3390/antib15010010 (registering DOI) - 19 Jan 2026
Abstract
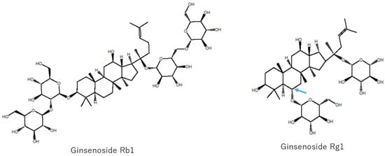
There are a vast number of monoclonal antibodies (MAbs) against biological components; however, the number for natural products is less than 50. MAbs against ginsenosides, i.e., dammarane triterpene glycosides contained in ginseng, were prepared to develop an Eastern blotting method that can estimate [...] Read more.
There are a vast number of monoclonal antibodies (MAbs) against biological components; however, the number for natural products is less than 50. MAbs against ginsenosides, i.e., dammarane triterpene glycosides contained in ginseng, were prepared to develop an Eastern blotting method that can estimate the number of bound sugars and pharmacological activity. Meanwhile, as a method for producing ginsenoside Rg3, which is used as an anti-cancer drug, an affinity column for ginsenoside Rb1 was prepared to isolate the raw material ginsenoside Rb1 in a single step, and a method for obtaining ginsenoside Rg3 through fermentation was proposed. A unique MAb capable of detecting all solasodine glycosides contained in Solanum plants was created to prepare an affinity column capable of isolating solasodine glycosides from S. khasianum fruit in a single step. The single-chain variable fragment gene was induced from the MAb against solasodine glycoside and introduced into the hairy root system of S. khasianum, thereby increasing the solasodine glycoside content more than twofold. As a result, we recognized that this method can be used to breed plants with higher concentrations of plant secondary metabolites like solasodine glycosides. The above results collectively demonstrate that solasodine glycoside can be isolated from S. khasianum in high yields and that this compound enables the production of steroids in high yields through a one-step chemical reaction. Full article
(This article belongs to the Section Antibody Discovery and Engineering)
Show Figures

Figure 1

40 pages, 1078 KB  
Review
Therapeutic Potential of Bovine Colostrum- and Milk-Derived Exosomes in Cancer Prevention and Treatment: Mechanisms, Evidence, and Future Perspectives
by Yusuf Serhat Karakülah, Yalçın Mert Yalçıntaş, Mikhael Bechelany and Sercan Karav
Pharmaceuticals 2026, 19(1), 168; https://doi.org/10.3390/ph19010168 - 17 Jan 2026
Viewed by 81
Abstract
Due to their therapeutic potential and effects on cells, exosomes derived from bovine colostrum (BCE) and milk (BME) are molecules that have been at the center of recent studies. Their properties include the ability to cross biological barriers, their natural biocompatibility, and their [...] Read more.
Due to their therapeutic potential and effects on cells, exosomes derived from bovine colostrum (BCE) and milk (BME) are molecules that have been at the center of recent studies. Their properties include the ability to cross biological barriers, their natural biocompatibility, and their structure, which enable them to act as stable nanocarriers. Exosomes derived from milk and colostrum stand out in cancer prevention and treatment due to these properties. BMEs can be enriched with bioactive peptides, lipids, and nucleic acids. The targeted drug delivery capacity of BMEs can be made more efficient through these enrichment processes. For example, BME enriched with an iRGD peptide and developed using hypoxia-sensitive lipids selectively transported drugs and reduced the survival rate of triple-negative breast cancer (TNBC) cells. ARV-825-CME formulations increased antitumor activity in some cancer types. The anticancer effects of exosomes are supported by these examples. In addition to their anticancer activities, exosomes also exhibit effects that maintain immune balance. BME and BCE can regulate inflammatory responses with their miRNA and protein loads. These effects of BMEs have been demonstrated in studies on colon, breast, liver, and lung cancers. The findings support the safety and scalability of these effects. However, significant challenges remain in terms of their large-scale isolation, load heterogeneity, and regulatory standardization. Consequently, BMEs represent a new generation of biogenic nanoplatforms at the intersection of nutrition, immunology, and oncology, paving the way for innovative therapeutic approaches. Full article
23 pages, 1039 KB  
Review
Advanced Liposomal Systems for Cancer Therapy with Focus on Lipid–Polymer Hybrids and Cell Membrane-Coated Liposomes
by Paraskevi Zagana and Alexandra Paxinou
Future Pharmacol. 2026, 6(1), 6; https://doi.org/10.3390/futurepharmacol6010006 - 16 Jan 2026
Viewed by 93
Abstract
Since their discovery in the 1960s, liposomes have become a versatile platform for drug delivery in cancer research, capable of carrying both hydrophilic and hydrophobic drugs. Throughout the past decades, liposomes have evolved to improve stability, blood circulation time, and targeting ability, overcoming [...] Read more.
Since their discovery in the 1960s, liposomes have become a versatile platform for drug delivery in cancer research, capable of carrying both hydrophilic and hydrophobic drugs. Throughout the past decades, liposomes have evolved to improve stability, blood circulation time, and targeting ability, overcoming many disadvantages of early formulations. Lipid–polymer hybrid liposomes (LPHLs), a third-generation nanoparticle model, are vesicles where polymers are incorporated in or around the lipid bilayer to increase their stability, to control drug release, and to provide multifunctional capabilities. More recently, cell membrane-coated (CMC) liposomes, which consist of “core” liposomes (preformed liposomes) cloaked in natural cell membranes, have emerged as an even more innovative approach, offering superior immune evasion and highly selective targeting, which are both particularly promising for cancer therapy. Preclinical studies in cancer models demonstrate that these advanced liposomal systems improve pharmacokinetics and therapeutic outcomes. They hold significant potential for developing next-generation, personalized nanomedicines for cancer and other complex diseases. However, challenges related to large-scale production, long-term stability, and safety evaluation remain. Full article
Show Figures

Figure 1

20 pages, 3474 KB  
Article
A Marine Anticancer Cinnamyloxyl Derivative with Unique Binding Sites at Carbonic Anhydrase IX (CAIX) Inhibits Adenocarcinomic A549 Cells
by Shailaja Vommi Lakshmipathy, Christina Vijayaraghavan Sathyanathan, Mohanapriya Dandapani Chinambedu, Mohanraj Gopikrishnan, Abhinand Ponneri Adithavarman, Sadras Panchatcharam Thyagarajan and Mary Elizabeth Gnanambal Krishnan
Pharmaceuticals 2026, 19(1), 132; https://doi.org/10.3390/ph19010132 - 12 Jan 2026
Viewed by 201
Abstract
Background: Many inhibitors have been discovered to target hypoxia-induced carbonic anhydrase IX (CAIX) due to its critical role in lung cancers. This study discovers a novel compound, 3-(E-3,4-dihydroxycinnamaoyloxyl)-2-hydroxypropyl-9Z,12Z-octadeca-9,12-dienoate, which is produced by the seagrass Cymodocea serrulata and has binding sites at CAIX that [...] Read more.
Background: Many inhibitors have been discovered to target hypoxia-induced carbonic anhydrase IX (CAIX) due to its critical role in lung cancers. This study discovers a novel compound, 3-(E-3,4-dihydroxycinnamaoyloxyl)-2-hydroxypropyl-9Z,12Z-octadeca-9,12-dienoate, which is produced by the seagrass Cymodocea serrulata and has binding sites at CAIX that are distinct from those of current inhibitors. Methods: Compound and reference drug treatment for cell lines; Cell viability: MTT; Staining: Ao/PI/DAPI; MMP shifts and cell cycle: FACS; Gene and protein expression of CAIX, BAX, BAD: qPCR and Western blotting. Results: The compound binds to the CAIX protein, raises extracellular pH, and kills A549 cells [IC50: 11.61 µM], producing results that are lower than those of the reference drug doxorubicin [13.7 µM]. The substance depolarised the electrical potential of the mitochondrial membrane, caused S-phase arrest, and fragmented DNA. Additionally, it downregulated CAIX by 0.9 times while increasing apoptotic mRNA, BAX and BAD by 5.2 and 3.08 times, respectively, as demonstrated by qPCR. Between 0 and 24 h, the untreated hypoxic cells had a ΔpHe of 0.15, but the compound-treated cells had a ΔpHe of 0.6 indicative of intracellular acidosis. MD simulations verify the stability of the CAIX–C1 complex for more than 100 ns, and in silico studies show a strong binding affinity of the molecule to CAIX [−7.55 kcal/mol]. Conclusions: This implies that the amount of extracellular alkalosis was increased by the combination of treatment and hypoxia induction. As a result, when the cells were deprived of O2, the compound provided less defense against ROS. The compound binds to the glutamine and alanine amino acids at positions 242 and 392, respectively, at the central Zn atom of CAIX, which sets it apart from conventional sulphonamide CAIX inhibitors. This naturally occurring compound may be a potent CAIX inhibitor with newer binding sites, which could help treat hypoxic lung cancers. Full article
(This article belongs to the Special Issue Identification and Extraction of Bioactive Compounds from Marine Life)
Show Figures

Graphical abstract

17 pages, 872 KB  
Review
Natural Compounds in Gastric Cancer Therapy: Molecular Mechanisms and Potential Treatment Options
by Alexandra Dimaki, Lydia Lazaridou, Kalliopi Vakalou, Vasilios Zervas, Dimitra Bartzi, Kyriaki Tsagkidou, Panagiotis Dimitrios Papadopoulos, Konstantinos Eleftherios Koumarelas and Grigorios Christodoulidis
Int. J. Mol. Sci. 2026, 27(2), 753; https://doi.org/10.3390/ijms27020753 - 12 Jan 2026
Viewed by 246
Abstract
Gastric cancer (GC) is the fifth most common type of cancer and a leading cause of cancer-related deaths worldwide. Surgery remains the most effective treatment, but new therapeutic strategies are urgently needed. The use of natural polyphenolic compounds such as curcumin (CUR) and [...] Read more.
Gastric cancer (GC) is the fifth most common type of cancer and a leading cause of cancer-related deaths worldwide. Surgery remains the most effective treatment, but new therapeutic strategies are urgently needed. The use of natural polyphenolic compounds such as curcumin (CUR) and resveratrol (RSV) has played a significant role in this effort. This review provides a comprehensive overview of the current applications and molecular mechanisms of curcumin and resveratrol in gastric cancer, highlighting their therapeutic potential and translational relevance. Analytically, CUR induces apoptosis, endoplasmic stress and cell cycle arrest. On the other hand, resveratrol enhances apoptosis and reduces inflammation. Both compounds increase cancer cell sensitivity to chemotherapy and help prevent chemoresistance, highlighting their potential as molecular enhancers in anticancer therapy. Combined with standard therapeutic drugs, they represent an innovative strategy for GC treatment. By presenting these innovative approaches, this review offers a global perspective on how their administration could shape future treatment strategies. Full article
Show Figures

Figure 1

19 pages, 6074 KB  
Article
Albumin Nanoparticles Harness Activated Neutrophils to Cross Vascular Barriers for Targeted Subcutaneous and Orthotopic Colon Cancer Therapy
by Zhifan Luo, Liuqing Dong, Yujie Zhang and Mingzhen Zhang
J. Funct. Biomater. 2026, 17(1), 36; https://doi.org/10.3390/jfb17010036 - 10 Jan 2026
Viewed by 353
Abstract
Colorectal cancer (CRC) therapy faces challenges due to limited drug penetration across the blood–tumor barrier. Neutrophils, with their natural ability to migrate to inflamed and tumor sites, offer a promising cell-mediated delivery strategy. This study developed albumin nanoparticles loaded with 6-shogaol (NPs/6-shogaol) and [...] Read more.
Colorectal cancer (CRC) therapy faces challenges due to limited drug penetration across the blood–tumor barrier. Neutrophils, with their natural ability to migrate to inflamed and tumor sites, offer a promising cell-mediated delivery strategy. This study developed albumin nanoparticles loaded with 6-shogaol (NPs/6-shogaol) and utilized activated neutrophils as carriers to transport the nanoparticles across vascular barriers for colon cancer therapy. The physicochemical properties, biocompatibility, and targeting efficiency of the NPs were evaluated in vitro and in vivo. The formulated NPs/6-shogaol exhibited favorable physicochemical properties, including a uniform nano-scale size (~150 nm), negative zeta potential, and high drug loading efficiency. In both subcutaneous and orthotopic colon cancer models, neutrophil-mediated delivery significantly enhanced tumor accumulation of 6-shogaol, inhibited tumor growth, and induced apoptosis by suppressing neutrophil elastase (NE) expression. Notably, no significant systemic toxicity was observed. This neutrophil-hitchhiking albumin nanoplatform provides a targeted and biocompatible strategy for effective colon cancer therapy. Full article
(This article belongs to the Special Issue Nanomaterials for Drug Targeting and Drug Delivery (2nd Edition))
Show Figures

Figure 1

24 pages, 4414 KB  
Article
Investigating the Molecular Mechanisms of the Anticancer Effects of Eugenol and Cinnamaldehyde Against Colorectal Cancer (CRC) Cells In Vitro
by Alberto Bernacchi, Maria Chiara Valerii, Renato Spigarelli, Nikolas Kostantine Dussias, Fernando Rizzello and Enzo Spisni
Int. J. Mol. Sci. 2026, 27(2), 649; https://doi.org/10.3390/ijms27020649 - 8 Jan 2026
Viewed by 163
Abstract
Colorectal cancer is one of the leading causes of cancer-associated mortality, and multifactorial resistance remains one of the main challenges in its treatment. Essential oils and their main compounds show interesting anticancer properties, but their mechanism of action is yet to be defined. [...] Read more.
Colorectal cancer is one of the leading causes of cancer-associated mortality, and multifactorial resistance remains one of the main challenges in its treatment. Essential oils and their main compounds show interesting anticancer properties, but their mechanism of action is yet to be defined. This study aims to assess the cytotoxic effects of eugenol (EU) and cinnamaldehyde (CN) on colorectal cancer (CRC) cells, highlighting possible mechanisms of action. These compounds were tested on normal immortalized colonocytes (NCM-460) and two CRC cell lines: Caco-2, a human colon epithelial adenocarcinoma cell line, and SW-620, colon cancer cells derived from a lymph node metastatic site. The efficacy of EU and CN was evaluated through CellTiter-Glo® and clonogenic assays and by determining proinflammatory cytokine secretion. Transcriptome analysis was used to identify possible pathways affected by EU and CN treatments. The results confirmed that EU and CN were selectively cytotoxic and pro-apoptotic against CRC cells, with different putative mechanisms. While EU drove cytotoxicity through robust transcriptional remodeling, CN yielded a stronger anti-inflammatory action. We confirmed that EU and CN are promising natural candidates in CRC prevention and treatment, even in association with chemotherapeutic drugs. Full article
Show Figures

Figure 1

44 pages, 2030 KB  
Review
Recent Developments in Protein-Based Hydrogels for Advanced Drug Delivery Applications
by Giuseppe Scopelliti, Claudia Ferraro, Ortensia Ilaria Parisi and Marco Dattilo
Pharmaceutics 2026, 18(1), 74; https://doi.org/10.3390/pharmaceutics18010074 - 6 Jan 2026
Viewed by 330
Abstract
Protein-based hydrogels are increasingly recognized as promising biomaterials for advanced drug delivery, owing to their biocompatibility, biodegradability, and ability to recreate extracellular matrix-like environments. By tailoring the protein source, crosslinking strategy, molecular architecture, and functionalization, these hydrogels can be engineered to mimic the [...] Read more.
Protein-based hydrogels are increasingly recognized as promising biomaterials for advanced drug delivery, owing to their biocompatibility, biodegradability, and ability to recreate extracellular matrix-like environments. By tailoring the protein source, crosslinking strategy, molecular architecture, and functionalization, these hydrogels can be engineered to mimic the mechanical and biological features of native tissues. Protein-derived hydrogels are currently explored across biomedical and pharmaceutical fields, including drug delivery systems, wound healing, tissue engineering, and, notably, cancer therapy. In recent years, growing attention has been directed toward natural protein hydrogels because of their inherent bioactivity and versatile physicochemical properties. This review provides an updated overview of protein-based hydrogel classification, properties, and fabrication methods. It highlights several widely studied natural proteins, such as gelatin, collagen, silk fibroin, soy protein, casein, and whey protein, that can form hydrogels through physical, chemical, or enzymatic crosslinking. These materials offer tunable mechanical behavior, controllable degradation rates, and abundant functional groups that support efficient drug loading and the development of stimuli-responsive platforms. Furthermore, we examine current advances in their application as drug delivery systems, with particular emphasis on cancer treatment. Protein-based hydrogels have demonstrated the ability to protect therapeutic molecules, provide sustained or targeted release, and enhance therapeutic effectiveness. Although critical challenges, such as batch-to-batch variability, sterilization-induced denaturation, and the requirement for comprehensive long-term immunogenicity assessment, must still be addressed to enable successful translation from preclinical studies to clinical application, ongoing advances in the design and functionalization of natural protein hydrogels highlight their promise as next-generation platforms for precision drug delivery. Full article
(This article belongs to the Section Drug Delivery and Controlled Release)
Show Figures

Figure 1

18 pages, 2011 KB  
Article
Non-Canonical Senescence Phenotype in Resistance to CDK4/6 Inhibitors in ER-Positive Breast Cancer
by Aynura Mammadova, Yuan Gu, Ling Ruan, Sunil S. Badve and Yesim Gökmen-Polar
Biomolecules 2026, 16(1), 93; https://doi.org/10.3390/biom16010093 - 6 Jan 2026
Viewed by 162
Abstract
Cyclin-dependent kinase 4/6 inhibitors (CDK4/6i) have transformed the treatment landscape for estrogen receptor-positive (ER+) breast cancer, yet resistance remains a major clinical challenge. Although CDK4/6i induce G1 arrest and therapy-induced senescence (TIS), the exact nature of this senescent state and its contribution [...] Read more.
Cyclin-dependent kinase 4/6 inhibitors (CDK4/6i) have transformed the treatment landscape for estrogen receptor-positive (ER+) breast cancer, yet resistance remains a major clinical challenge. Although CDK4/6i induce G1 arrest and therapy-induced senescence (TIS), the exact nature of this senescent state and its contribution to resistance are not well understood. To explore this, we developed palbociclib- (2PR, 9PR, TPR) and abemaciclib- (2AR, 9AR, TAR) resistant ER+ breast cancer sublines through prolonged drug exposure over six months. Resistant cells demonstrated distinct phenotypic alterations, including cellular senescence, reduced mitochondrial membrane potential, and impaired glycolytic activity. Cytokine profiling and enzyme-linked immunosorbent assay (ELISA) validation revealed a non-canonical senescence-associated secretory phenotype (SASP) characterized by elevated growth/differentiation factor 15 (GDF-15) and serpin E1 (plasminogen activator inhibitor-1, PAI-1) and absence of classical pro-inflammatory interleukins, including IL-1α and IL-6. IL-8 levels were significantly elevated, but no association with epithelial–mesenchymal transition (EMT) was observed. Resistant cells preserved their epithelial morphology, showed no upregulation of EMT markers, and lacked aldehyde dehydrogenase 1-positive (ALDH1+) stem-like populations. Additionally, Regulated upon Activation, Normal T-cell Expressed, and Secreted (RANTES) was strongly upregulated in palbociclib-resistant cells. Together, these findings identify a distinct, non-canonical senescence phenotype associated with CDK4/6i resistance and may provide a foundation for identifying new vulnerabilities in resistant ER+ breast cancers through targeting SASP-related signaling. Full article
Show Figures

Figure 1

37 pages, 2896 KB  
Review
Targeting Cancer-Associated Fibroblasts in Prostate Cancer: Recent Advances and Therapeutic Opportunities
by Peng Chen, Junhao Chen, Peiqin Zhan, Xinni Ye, Li Zhao, Zhongsong Zhang, Jieming Zuo, Hongjin Shi, Xiangyun Li, Songhong Wu, Yuanzhi Fu, Haifeng Wang and Shi Fu
Cancers 2026, 18(1), 151; https://doi.org/10.3390/cancers18010151 - 31 Dec 2025
Viewed by 387
Abstract
Advanced prostate cancer, particularly castration-resistant disease, remains challenging to treat due to intratumoral heterogeneity, immune exclusion, and a suppressive tumor microenvironment. Within this ecosystem, cancer-associated fibroblasts shape tumor–stroma communication, but their marked heterogeneity and plasticity complicate classification and make indiscriminate fibroblast depletion potentially [...] Read more.
Advanced prostate cancer, particularly castration-resistant disease, remains challenging to treat due to intratumoral heterogeneity, immune exclusion, and a suppressive tumor microenvironment. Within this ecosystem, cancer-associated fibroblasts shape tumor–stroma communication, but their marked heterogeneity and plasticity complicate classification and make indiscriminate fibroblast depletion potentially ineffective or even harmful. This review summarizes recent progress in fibroblast origins, functional subtypes, and fibroblast-driven mechanisms that promote tumor progression and therapy resistance, as well as emerging therapeutic opportunities in prostate cancer. We conducted a structured literature search of PubMed, ScienceDirect, and major publisher platforms (including Nature and SpringerLink) from database inception to 15 February 2025, supplemented by targeted manual screening of reference lists. Evidence from single-cell/spatial-omics and mechanistic studies indicates that prostate tumors contain multiple fibroblast programs that occupy distinct niches yet can interconvert. Across these studies, it was found that these fibroblasts contribute to immune suppression, extracellular matrix remodeling and stromal barrier formation, angiogenesis, and metabolic support, collectively limiting drug penetration and reinforcing immune evasion; therapeutic pressure can further rewire fibroblast states and resistance-associated signaling. Overall, the literature supports a shift toward function- and subtype-directed intervention rather than “one-size-fits-all” targeting, with promising directions including precision targeting and reversible reprogramming, rational combination strategies, and localized delivery approaches that reduce stromal barriers while preserving tissue homeostasis in high-risk and treatment-refractory prostate cancer. Full article
Show Figures

Figure 1

36 pages, 15093 KB  
Systematic Review
Benzotriazole in Cancer: A Systematic Review on Preclinical Evidence and Structure–Activity Relationship
by Gabriel Mardale, Alexandra Prodea, Andreea Munteanu, Mihaela Jorgovan, Sabina Mardale, Victor Cristian Dumitrascu and Codruța Șoica
Pharmaceuticals 2026, 19(1), 77; https://doi.org/10.3390/ph19010077 - 30 Dec 2025
Viewed by 329
Abstract
Background: A benzotriazole is a heterocycle frequently used in medicinal chemistry to obtain potent drug candidates, including anticancer agents. Nonetheless, the available literature lacks a comprehensive review of the in vitro and in vivo studies regarding these derivatives. Thus, our study aims to [...] Read more.
Background: A benzotriazole is a heterocycle frequently used in medicinal chemistry to obtain potent drug candidates, including anticancer agents. Nonetheless, the available literature lacks a comprehensive review of the in vitro and in vivo studies regarding these derivatives. Thus, our study aims to review the preclinical evidence on benzotriazole derivatives that showed potential as anticancer candidates, focusing on the cytotoxicity, mechanisms of action, structure–activity relationship, and methodological rigor of the included studies. Methods: We searched PubMed, Scopus, and Web of Science and included 41 studies in our analysis following the selection process. Additionally, we assessed the risk of bias using the QUIN tool for in vitro and the SYRCLE tool for in vivo studies in order to assess the methodological rigor of the included studies. Results: The benzotriazole derivatives were classified according to their structure in four classes, namely N-derivatives, C-derivatives, fused derivatives, and organometallic compounds. The in vitro results showed that certain derivatives, such as halogen, alkyl-aryl, or natural-base hybrids, can have superior cytotoxicity compared to parent molecules, exerted through multiple mechanisms, such as apoptosis and cell cycle arrest. Additionally, the in vivo analysis highlighted that benzotriazole derivatives can reduce tumor mass in a dose-dependent manner, with only a slight degree of hepatotoxicity reported in one case. However, histopathological data were generally absent or limited and based on a very limited number of in vivo studies. Conclusions: Overall, benzotriazole derivatives remain promising candidates for cancer treatment. However, limited mechanistic and toxicity data, as well as the moderate risk of bias identified across studies, may limit our assessment. Therefore, future studies should employ more rigorous methodologies and explore the underlying anticancer and toxicity mechanisms to fully assess the therapeutic potential of benzotriazole derivatives. Full article
(This article belongs to the Special Issue Heterocyclic Compounds in Medicinal Chemistry, 2nd Edition)
Show Figures

Graphical abstract

26 pages, 2555 KB  
Article
Bactericidal and Antineoplastic Properties of Phyto-Formulated Nano Gold Composite Using Dwarf Copperleaf Plant
by Gayathri Vijayakumar, Abhiraami Kavirajan, Keerthi Neminla and Senthil Kumaran Rangarajulu
Processes 2026, 14(1), 105; https://doi.org/10.3390/pr14010105 - 28 Dec 2025
Viewed by 326
Abstract
Biogenic synthesis of gold nanoparticles using plant extracts has been widely explored for biomedical applications due to its eco-friendly and cost-effective nature. In this study, gold nanoparticles were phytoformulated using an ethanolic extract of dwarf copper leaf. Their physicochemical properties, antineoplastic activity against [...] Read more.
Biogenic synthesis of gold nanoparticles using plant extracts has been widely explored for biomedical applications due to its eco-friendly and cost-effective nature. In this study, gold nanoparticles were phytoformulated using an ethanolic extract of dwarf copper leaf. Their physicochemical properties, antineoplastic activity against MCF-7 breast cancer cells, and bactericidal efficacy against selected pathogenic microorganisms were systematically evaluated. The phyto-synthesized AuNPs show potential as an antineoplastic agent, significantly dropping the viability of MCF-7 breast cancer cells when administered at higher concentrations. Comprehensive characterization revealed that the phyto-formulated AuNPs were predominantly spherical with sizes ranging from 15–38 nm as observed by TEM, while XRD analysis confirmed their crystalline nature. Furthermore, FT-IR analysis determined the plant extract’s functional groups, which served as both reducing and stabilizing agents during synthesis. Additionally, the phyto-formulated AuNPs showed bactericidal efficacy against several microorganisms, including Bacillus cereus, Salmonella typhimurium, Staphylococcus epidermidis, and Serratia species. Particularly, the phyto-formulated AuNPs were effective against B. cereus and Serratia species. The present results showed that the phyto-formulated AuNPs could be used in biomedical contexts for bactericidal action and medication delivery. By using this cost-effective and eco-friendly nanobiotechnology method, AuNPs can enhance drug delivery and efficacy with lower toxicity effects associated with conventional chemotherapies. Full article
(This article belongs to the Special Issue Biological and Pharmacological Activity of Natural Products)
Show Figures

Graphical abstract

47 pages, 15765 KB  
Article
Harnessing Dual Power: Genistein-Loaded Pumpkisomes in Pullulan Microneedles for Potent Antioxidant and Anticancer Therapy Against Ehrlich Ascites Carcinoma and Breast Cancer Cells
by Sammar Fathy Elhabal, Mai S. Shoela, Mohamed Fathi Mohamed Elrefai, Fatma E. Hassan, Suzan Awad AbdelGhany Morsy, Wedian Younis Abdelgawad, Sahar K. Ali, Passant M. Mohie, Amal M. Elsharkawy, Tassneim M. Ewedah, Ibrahim S. Mousa, Marwa A. Fouad, Shady Allam and Ahmed Mohsen Elsaid Hamdan
Pharmaceutics 2026, 18(1), 36; https://doi.org/10.3390/pharmaceutics18010036 - 26 Dec 2025
Viewed by 448
Abstract
Background/Objectives: Breast cancer remains one of the leading causes of cancer-related mortality. Still, limited drug delivery systems for genistein, a powerful natural anticancer agent, draw significant attention. We aimed to develop a co-therapeutic/synergistic dual-compartment system; genistein-loaded pumpkisome nanovesicles (GNS-PKs) incorporated into pullulan microneedle [...] Read more.
Background/Objectives: Breast cancer remains one of the leading causes of cancer-related mortality. Still, limited drug delivery systems for genistein, a powerful natural anticancer agent, draw significant attention. We aimed to develop a co-therapeutic/synergistic dual-compartment system; genistein-loaded pumpkisome nanovesicles (GNS-PKs) incorporated into pullulan microneedle patches (MNs), and to explore its anticancer activity. Methods: GNS-PKs were prepared and characterized for particle size (P.S), polydispersity (PDI), zeta potential (Z.P), encapsulation efficiency (E.E%), and stability. Afterward, they were embedded in pullulan-dissolving microneedle arrays and characterized for release kinetics, mechanical strength, and in vitro cytotoxicity. The in vivo efficacy was evaluated in mice with solid Ehrlich Ascites Carcinoma (EAC), focusing on tumor volume, oxidative stress, inflammatory cytokines, Epidermal Growth Factor (EGFR) expression biomarkers, and histopathological analysis. Results: The optimized nanovesicles had a particle size of 170 nm, a zeta potential of −42 mV, and an entrapment efficiency of up to 92%. Pullulan microneedles demonstrated significantly high mechanical strength and effective deep penetration. In addition to, it markedly decreased MCF-7 cellular viability (IC50 = 3.5 µg/mL). Besides, it had a 76% reduction in tumor volume, significantly increased the antioxidant activity (SOD, CAT, GSH), decreased the levels of inflammatory biomarkers (IL-6, COX-2, NF-κB), and markedly downregulated the EGFR expression (p < 0.0001). Histological study revealed decreased mitotic activity and large tumor cells, with minimal systemic damage. Conclusions: GNS-PKs-pullulan microneedle system offers a hope for an innovative, potent, effective, and non-invasive strategy for breast cancer treatment with high antitumor efficacy. Full article
Show Figures

Graphical abstract

45 pages, 9433 KB  
Review
Drug Discovery Strategies for Kallikrein-Related Peptidases
by Tobias Dreyer, Daniela Schuster, Viktor Magdolen and Peter Goettig
Int. J. Mol. Sci. 2026, 27(1), 225; https://doi.org/10.3390/ijms27010225 - 25 Dec 2025
Viewed by 717
Abstract
Kallikrein-related peptidases (KLKs) are hallmarks of higher vertebrates, in particular of mammals. While the 15 human KLKs occur in nearly all tissues and body fluids and participate in many physiological processes, they are also involved in severe diseases. Among them are prostate, ovarian [...] Read more.
Kallikrein-related peptidases (KLKs) are hallmarks of higher vertebrates, in particular of mammals. While the 15 human KLKs occur in nearly all tissues and body fluids and participate in many physiological processes, they are also involved in severe diseases. Among them are prostate, ovarian and breast cancer, as well as inherited skin and neurological disorders. Thus, KLKs have become targets for inhibitory compounds in academic and commercial research. The most prominent clinical biomarker and anti-cancer target for various approaches is PSA/KLK3. Already in the distant past, natural crude extracts were the source of medicine, while purified natural compounds and their derivatives are still the basis of about 50% of all pharmaceuticals. Nevertheless, structure-based rational design and high-throughput screening of natural and synthetic compound libraries are highly effective approaches for discovering lead compounds in the development of new drugs. Recently, computer-aided virtual or in silico screening has become a rapid method for such discoveries when combined with in vitro assays using protein targets or tests in cell cultures. To date, the successful implementation of artificial intelligence (AI) in the biosciences has significantly contributed to drug discovery. Our review focuses on state-of-the-art strategies and techniques in the context of KLK targets. Full article
(This article belongs to the Special Issue Advances in Protein Structure-Function and Drug Discovery)
Show Figures

Figure 1

13 pages, 4310 KB  
Article
Resveratrol Prevents Breast Cancer Metastasis by Inhibiting Wnt/β-Catenin Pathway-Mediated Epithelial–Mesenchymal Transition
by Xue Fang, En Ma, Runshu Wang, Jingwei Zhang, Yirong Tang, Jinxiao Chen, Weidong Zhu, Da Wo and Dan-ni Ren
Pharmaceuticals 2026, 19(1), 41; https://doi.org/10.3390/ph19010041 - 23 Dec 2025
Viewed by 378
Abstract
Background: Breast cancer is the most prevalent cancer in women, and metastatic breast cancer remains a major cause of cancer-related deaths. Resveratrol (RSV) is a natural compound found in various plants and is known to exhibit various anti-cancer effects. The present study aims [...] Read more.
Background: Breast cancer is the most prevalent cancer in women, and metastatic breast cancer remains a major cause of cancer-related deaths. Resveratrol (RSV) is a natural compound found in various plants and is known to exhibit various anti-cancer effects. The present study aims to investigate the therapeutic effects and mechanisms of RSV in inhibiting breast cancer metastasis in a murine model of 4T1 breast tumor that shares close molecular features with human triple negative breast cancer. Methods: Murine breast cancer 4T1 cells were used to examine the effects of RSV on breast cancer metastasis and epithelial–mesenchymal transition (EMT). In vitro cell proliferation and Transwell migration assays and in vivo 4T1 tumor transplantation models were established in female Balb/c mice to determine the anti-metastatic effects of RSV and its mechanism of action. Results: RSV significantly inhibited 4T1 tumor cell migration and significantly decreased expression levels of EMT markers Snail and Vimentin, as well as the nuclear translocation of β-catenin both in vitro and in vivo. Knockdown of β-catenin similarly reduced the expression levels of EMT markers. RSV significantly decreased the number of lung metastases in 4T1-implanted mice by inhibiting Wnt/β-catenin signaling pathway activation. RSV (150 mg/kg/day) reduced the number of visible tumor metastatic nodules and the histological count of metastatic lung carcinomas by 51.82% and 62.58%, respectively, compared to vehicle administration. Conclusions: Our study provides important new mechanistic insight into the strong anti-cancer effects of RSV in inhibiting 4T1 breast cancer metastasis by preventing Wnt/β-catenin signaling pathway-mediated epithelial–mesenchymal transition. These findings suggest the therapeutic potential of RSV as a promising drug in the treatment of metastatic breast cancer. Full article
(This article belongs to the Section Medicinal Chemistry)
Show Figures

Graphical abstract

Back to TopTop