Antibodies as Tools for Characterization, Isolation and Production Enhancement of Anti-Cancer Drugs and Steroidal Hormones from Ginsenoside and Solasodine Glycoside: A Review
Abstract
1. Introduction
2. Methods for Analyzing Natural Products Using MAbs
2.1. Eastern Blotting for Ginsenosides and Solasodine Glycosides
2.2. Preparation of a Single-Chain Fv MAb Against Solamargine and Its Application
2.3. Purification via Immunoaffinity Column Conjugation of MAb for Ginsenosides and Solasodine Glycosides
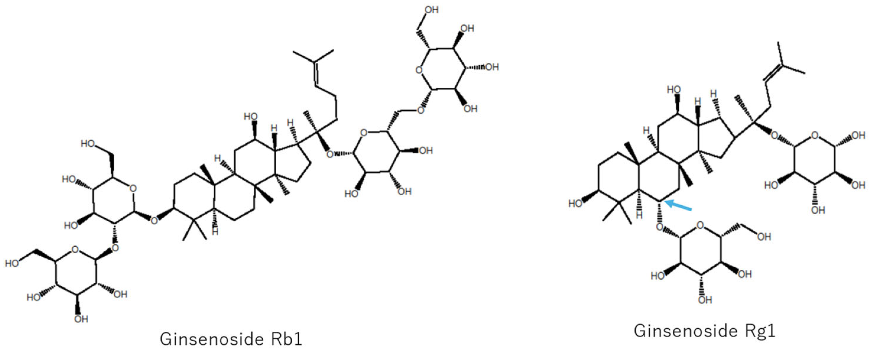
3. Preparation of the Anti-Cancer Drugs Ginsenosides Rd and Rg3 from Ginsenoside Rb1 via Fermentation
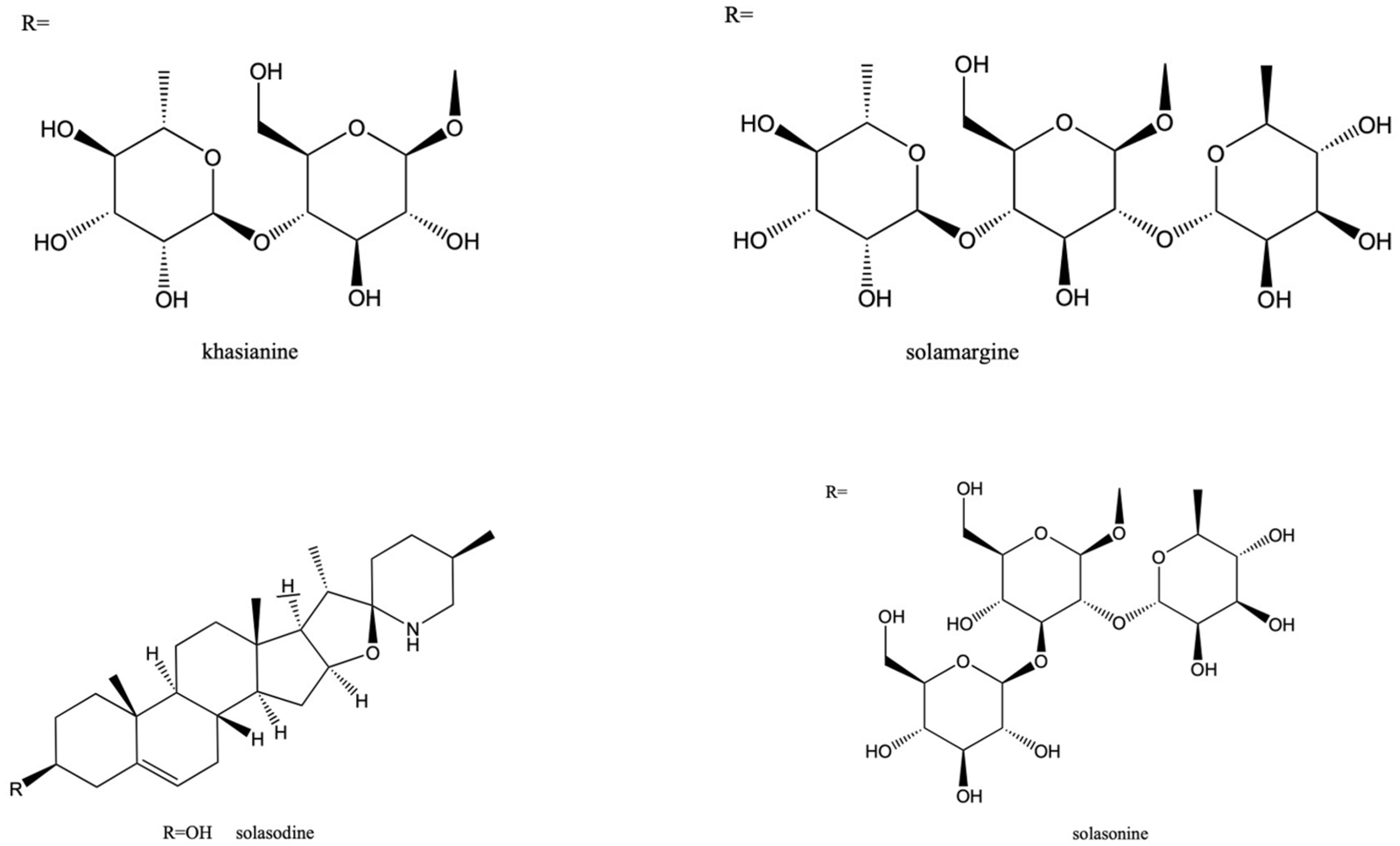
4. Preparation of Steroid Hormone from Solasodine Glycosides
5. Conclusions
Funding
Institutional Review Board Statement
Informed Consent Statement
Data Availability Statement
Acknowledgments
Conflicts of Interest
References
- Pérez-Flores, J.G.; García-Curiel, L.; Pérez-Escalante, E.; Contreras-López, E.; Aguilar-Lira, G.Y.; Ángel-Jijón, C.; González-Olivares, L.G.; Baena-Santillán, E.S.; Ocampo-Salinas, I.O.; Guerrero-Solano, J.A.; et al. Plant Antimicrobial Compounds and Their Mechanisms of Action on Spoilage and Pathogenic Bacteria: A Bibliometric Study and Literature Review. Appl. Sci. 2025, 15, 3516. [Google Scholar] [CrossRef]
- Lichota, A.; Gwozdzinski, K. Anticancer Activity of Natural Compounds from Plant and Marine Environment. Int. J. Mol. Sci. 2018, 19, 3533. [Google Scholar] [CrossRef]
- Rosendo, A.Y.; Filho, V.C.; Ferreira, J.; Calixto, J.B. The use of Natural Products as Sources of New Analgesic Drugs. Stud. Nat. Prod. Chem. 2005, 30, 191–212. [Google Scholar] [CrossRef]
- Nair, A.; Chattopadhyay, D.; Saha, B. Chapter 17. Plant-Derived Immunomodulators. In Advancements in Herbal Products as Novel Drug Leads; Academic Press: Cambridge, MA, USA, 2019; pp. 435–499. [Google Scholar] [CrossRef]
- Ray, S.; Saini, M.K. Cure and prevention of cardiovascular diseases: Herbs for heart. Clin. Phytosci. 2021, 7, 64. [Google Scholar] [CrossRef]
- Irungu, B.; Okari, E.; Nyangi, M.; Njeru, S.; Koech, L. Potential of medicinal plants as antimalarial agents: A review of work done at Kenya Medical Research Institute. Front. Pharmacol. 2023, 14, 1268924. [Google Scholar] [CrossRef] [PubMed]
- Veeresham, C. Natural products derived from plants as a source of drugs. J. Adv. Pharm. Technol. Res. 2012, 3, 200–201. [Google Scholar] [CrossRef]
- D’Urso, G.; Capuano, A.; Fantasma, F.; Chini, M.G.; Felice, V.D.; Saviano, G.; Lauro, G.; Casapullo, A.; Bifulco, G.; Iorizzi, M. The Role of LC-MS in Profiling Bioactive Compounds from Plant Waste for Cosmetic Applications: A General Overview. Plants 2025, 14, 2284. [Google Scholar] [CrossRef]
- Hoffmann, T.; Krug, D.; Hüttel, S.; Müller, R. Improving natural products identification through targeted LC-MS/MS in an untargeted secondary metabolomics work flow. Anal. Chem. 2014, 86, 10780–10788. [Google Scholar] [CrossRef]
- Wachełko, O.; Szpot, P.; Tusiewicz, K.; Nowak, K.; Chłopaś-Konowałek, A.; Zawadzki, M. An ultra-sensitive UHPLC-QqQ-MS/MS method for determination of 54 benzodiazepines (pharmaceutical drugs, NPS and metabolites) and z-drugs in biological samples. Talanta 2022, 251, 123816. [Google Scholar] [CrossRef]
- Jun-Ichi, S.; Noppavan, J.; Kunisuke, N.; Tadao, T. Production and characterization of high-affinity monoclonal antibodies against morphine. Mol. Immunol. 1988, 25, 937–943. [Google Scholar] [CrossRef]
- Shoyama, Y.; Fukada, T.; Tanaka, T.; Kusai, A.; Nojima, K. Direct determination of opium alkaloid-bovine serum albumin conjugate by matrix-assisted laser desorption/ionization mass spectrometry. Biol. Pharm. Bull. 1993, 16, 1051–1053. [Google Scholar] [CrossRef]
- Shoyama, Y. Studies on Natural Products Using Monoclonal Antibodies: A Review. Antibodies 2021, 10, 43. [Google Scholar] [CrossRef]
- Kussia, G.G.; Tessema, T.S. The Potential of Single-Chain Variable Fragment Antibody: Role in Future Therapeutic and Diagnostic Biologics. J. Immunol. Res. 2024, 2024, 1804038. [Google Scholar] [CrossRef]
- Yusakul, G.; Nuntawong, P.; Sakamoto, S.; Na Bhuket, P.R.; Kohno, T.; Kikkawa, N.; Rojsitthisak, P.; Shimizu, K.; Tanaka, H.; Morimoto, S. Bacterial Expression of a Single-Chain Variable Fragment (scFv) Antibody against Ganoderic Acid A: A Cost-Effective Approach for Quantitative Analysis Using the scFv-Based Enzyme-Linked Immunosorbent Assay. Biol. Pharm. Bull. 2017, 40, 1767–1774. [Google Scholar] [CrossRef]
- Paudel, M.K.; Takei, A.; Sakoda, J.; Juengwatanatrakul, T.; Sasaki-Tabata, K.; Putalun, W.; Shoyama, Y.; Tanaka, H.; Morimoto, S. Preparation of a Single-Chain Variable Fragment and a Recombinant Antigen-Binding Fragment against the Anti-Malarial Drugs, Artemisinin and Artesunate, and Their Application in an ELISA. Anal. Chem. 2012, 84, 2002–2008. [Google Scholar] [CrossRef]
- Yusakul, G.; Sakamoto, S.; Tanaka, H.; Morimoto, S. Efficient expression of single chain variable fragment antibody against paclitaxel using the Bombyx mori nucleopolyhedrovirus bacmid DNA system and its characterizations. J. Nat. Med. 2016, 70, 592–601. [Google Scholar] [CrossRef]
- Sakamoto, S.; Komatsu, S.; Moriyasu, A.; Yusakul, G.; Putalun, W.; Nuntawong, P.; Tanaka, H.; Morimoto, S. Single-chain variable fragment antibodies targeting the antileukemia agent harringtonine for enzyme-linked immunosorbent assay development. J. Immunoass. Immunochem. 2025, 46, 519–534. [Google Scholar] [CrossRef] [PubMed]
- Sakamoto, S.; Putalun, W.; Pongkitwitoon, B.; Juengwatanatrakul, T.; Shoyama, Y.; Tanaka, H.; Morimoto, S. Modulation of plumbagin production in Plumbago zeylanica using a single-chain variable fragment antibody against plumbagin. Plant Cell Rep. 2012, 31, 103–110. [Google Scholar] [CrossRef] [PubMed]
- Putalun, W.; Taura, F.; Qing, W.; Matsushita, H.; Tanaka, H.; Shoyama, Y. Single-chain Fv Antibody Stimulates Biosynthesis of Secondary Metabolites in Plants. Plant Cell Rep. 2002, 22, 344–349. [Google Scholar] [CrossRef] [PubMed]
- Matsukizono, M.; Kamegawa, M.; Tanaka, K.; Kohra, S.; Arizono, K.; Hamazoe, Y.; Sugimura, K. Characterization of a Single Chain Fv Antibody that Reacts with Free Morphine. Antibodies 2013, 2, 93–112. [Google Scholar] [CrossRef]
- Putalun, W.; Tanaka, H.; Sakamoto, S.; Shoyama, Y. Molecular Breeding of Solasodine Glycoside for Solanum khasianum using Anti-Solamargine Single-Chain Fv Gene. Med. Arom. Plants 2013, 2, 124. [Google Scholar] [CrossRef]
- Hammock, B.D. Biotinylated single-chain variable fragment-based enzyme-linked immunosorbent assay for glycocholic acid. Analyst 2018, 143, 2057–2065. [Google Scholar] [CrossRef]
- Fan, W.; Fan, L.; Wang, Z.; Mei, Y.; Liu, L.; Li, L.; Yang, L.; Wang, Z. Rare ginsenosides: A unique perspective of ginseng research. J. Adv. Res. 2024, 66, 303–328. [Google Scholar] [CrossRef] [PubMed]
- Ru, W.; Wang, D.; Xu, Y.; He, X.; Sun, Y.-E.; Qian, L.; Zhou, X.; Qin, Y. Chemical constituents and bioactivities of Panax ginseng (C. A. Mey.). Drug Discov. Ther. 2015, 9, 23–32. [Google Scholar] [CrossRef]
- Li, S. Compendium of Materia Medica; Beijing Ancient Books Press: Beijing, China, 1994; Volume 12, p. 334. [Google Scholar]
- Chen, X.-J.; Zhang, X.-J.; Shui, Y.-M.; Wan, J.-B.; Gao, J.-L. Anticancer Activities of Protopanaxadiol- and Protopanaxatriol-Type Ginsenosides and Their Metabolites. Evid.-Based Complement. Altern. Med. 2016, 2016, 5738694. [Google Scholar] [CrossRef] [PubMed]
- Lee, J.I.; Ha, Y.W.; Choi, T.W.; Kim, H.J.; Kim, S.-M.; Jang, H.-J.; Choi, J.-H.; Choi, M.H.; Chung, B.C.; Sethi, G.; et al. Cellular Uptake of Ginsenosides in Korean White Ginseng and Red Ginseng and Their Apoptotic Activities in Human Breast Cancer Cells. Planta Medica 2010, 77, 133–140. [Google Scholar] [CrossRef]
- Wang, C.-Z.; Anderson, S.; Du, W.; He, T.-C.; Yuan, C.-S. Red ginseng and cancer treatment. Chin. J. Nat. Med. 2016, 14, 7–16. [Google Scholar] [CrossRef] [PubMed]
- Lu, C.; Lv, J.; Dong, L.; Jiang, N.; Wang, Y.; Fan, B.; Wang, F.; Liu, X. Neuroprotective Effect of Ginsenoside Rh1 on Scopolamine-Induced Cognitive Dysfunctions. Neuropsychiatry 2018, 8, 749–760. [Google Scholar]
- Liang, H.-Y.; Zhang, P.-P.; Zhang, X.-L.; Zheng, Y.-Y.; Huang, Y.-R.; Zheng, G.-Q.; Lin, Y. Preclinical systematic review of ginsenoside Rg1 for cognitive impairment in Alzheimer’s disease. Aging 2021, 13, 7549–7569. [Google Scholar] [CrossRef]
- Yang, Y.; Wang, L.; Zhang, C.; Guo, Y.; Li, J.; Wu, C.; Jiao, J.; Zheng, H. Ginsenoside Rg1 improves Alzheimer’s disease by regulating oxidative stress, apoptosis, and neuroinflammation through Wnt/GSK-3β/β-catenin signaling pathway. Chem. Biol. Drug Des. 2022, 99, 884–896. [Google Scholar] [CrossRef]
- Quan, Q.; Ma, X.; Li, M.; Li, X.; Yuan, H. Ginsenoside Rg1 promotes β-amyloid peptide degradation through inhibition of the ERK/PPARγ phosphorylation pathway in an Alzheimer’s disease neuronal model. Exp. Ther. Med. 2023, 27, 31. [Google Scholar] [CrossRef] [PubMed]
- Shi, D.-D.; Huang, Y.-H.; Lai, C.S.W.; Dong, C.M.; Ho, L.C.; Li, X.-Y.; Wu, E.X.; Li, Q.; Wang, X.-M.; Chen, Y.-J.; et al. Ginsenoside Rg1 Prevents Chemotherapy-Induced Cognitive Impairment: Associations with Microglia-Mediated Cytokines, Neuroinflammation, and Neuroplasticity. Mol. Neurobiol. 2019, 56, 5626–5642. [Google Scholar] [CrossRef] [PubMed]
- Oh, H.-M.; Cho, C.-K.; Son, C.-G. Experimental Evidence for the Anti-Metastatic Action of Ginsenoside Rg3: A Systematic Review. Int. J. Mol. Sci. 2022, 23, 9077. [Google Scholar] [CrossRef]
- Li, J.; Huang, Q.; Yao, Y.; Ji, P.; Mingyao, E.; Chen, J.; Zhang, Z.; Qi, H.; Liu, J.; Chen, Z.; et al. Biotransformation, Pharmacokinetics, and Pharmacological Activities of Ginsenoside Rd Against Multiple Diseases. Front. Pharmacol. 2022, 13, 909363. [Google Scholar] [CrossRef] [PubMed]
- Tanaka, H.; Fukuda, N.; Shoyam, Y. Formation of monoclonal antibody against a major ginseng component, ginsenoside Rb1 and its characterization. Cytotechnology 1999, 29, 115–120. [Google Scholar] [CrossRef]
- Fukuda, N.; Tanaka, H.; Shoyama, Y. Formation of monoclonal antibody against a major ginseng component, ginsenoside Rg1 and its characterization. Monoclonal antibody for a ginseng saponin. Cytotechnology 2000, 34, 197–204. [Google Scholar] [CrossRef]
- Morinaga, O.; Tanaka, H.; Shoyama, Y. Detection and quantification of ginsenoside Re in ginseng samples by a chromatographic immunostaining method using monoclonal antibody against ginsenoside Re. J. Chromatogr. B 2006, 830, 100–104. [Google Scholar] [CrossRef]
- Nah, J.-J.; Song, J.-Y.; Choi, S.; Kim, S.-C.; Rhim, H.W.; Oh, T.H.; Lee, S.-M.; Nah, S.-Y. Preparation of Monoclonal Antibody against Ginsenoside Rf and Its Enzyme Immunoassay. Biol. Pharm. Bull. 2000, 23, 523–526. [Google Scholar] [CrossRef][Green Version]
- Limsuwanchote, S.; Wungsintaweekul, J.; Yusakul, G.; Han, J.-Y.; Sasaki-Tabata, K.; Tanaka, H.; Shoyama, Y.; Morimoto, S. Preparation of a Monoclonal Antibody against Notoginsenoside R1, a Distinctive Saponin from Panax notoginseng, and Its Application to Indirect Competitive ELISA. Planta Medica 2014, 80, 337–342. [Google Scholar] [CrossRef]
- Joo, E.J.; Ha, Y.W.; Shin, H.; Son, S.H.; Kim, Y.S. Generation and Characterization of Monoclonal Antibody to Ginsenoside Rg3. Biol. Pharm. Bull. 2009, 32, 548–552. [Google Scholar] [CrossRef][Green Version]
- Qu, H.; Wang, Y.; Shan, W.; Zhang, Y.; Feng, H.; Sai, J.; Wang, Q.; Zhao, Y. Development of ELISA for detection of Rh1 and Rg2 and potential method of immunoaffinity chromatography for separation of epimers. J. Chromatogr. B 2015, 985, 197–205. [Google Scholar] [CrossRef]
- Shan, S.; Tanaka, H.; Shoyama, Y. Enzyme-Linked Immunosorbent Assay for Glycyrrhizin Using Anti-Glycyrrhizin Monoclonal Antibody and an Eastern Blotting Technique for Glucuronides of Glycyrrhetic Acid. Anal. Chem. 2001, 73, 5784–5790. [Google Scholar] [CrossRef]
- Fukuda, N.; Tanaka, H.; Shoyama, Y. Applications of ELISA, Western blotting and immunoaffinity concentration for survey of ginsenosides in crude drugs of Panax species and traditional Chinese herbal medicines. Analyst 2000, 125, 1425–1429. [Google Scholar] [CrossRef] [PubMed]
- Fukuda, N.; Tanaka, H.; Shoyama, Y. Isolation of the Pharmacologically Active Saponin Ginsenoside Rb1 from Ginseng by Immunoaffinity Column Chromatography. J. Nat. Prod. 2000, 63, 283–285. [Google Scholar] [CrossRef] [PubMed]
- Quan, L.-H.; Min, J.-W.; Yang, D.-U.; Kim, Y.-J.; Yang, D.-C. Enzymatic biotransformation of ginsenoside Rb1 to 20(S)-Rg3 by recombinant β-glucosidase from Microbacterium esteraromaticum. Appl. Microbiol. Biotechnol. 2012, 94, 377–384. [Google Scholar] [CrossRef]
- Kaunda, J.S.; Zhang, Y.-J. The genus solanum: An ethnopharmacological, phytochemical and biological properties review. Nat. Prod. Bioprospect. 2019, 9, 77–137. [Google Scholar] [CrossRef]
- Gogoi, R.; Sarma, N.; Pandey, S.K.; Lal, M. Phytochemical constituents and pharmacological potential of Solanum khasianum C.B. Clarke., extracts: Special emphasis on its skin whitening, anti-diabetic, acetylcholinesterase and genotoxic activities. Trends Phytochem. Res. 2021, 5, 47–61. [Google Scholar]
- Jarald, E.E.; Edwin, S.; Saini, V.; Deb, L.; Gupta, V.B.; Wate, S.P.; Busari, K.P. Anti-inflammatory and anthelmintic activities of Solanum khasianum Clarke. Nat. Prod. Res. 2008, 22, 269–274. [Google Scholar] [CrossRef]
- Chirumamilla, P.; Taduri, S. Assessment of in vitro anti-inflammatory, antioxidant and antidiabetic activities of Solanum khasianum Clarke. Vegetos 2023, 36, 575–582. [Google Scholar] [CrossRef]
- Kumar, R.; Khan, M.I.; Prasad, M. Badruddeen Solasodine: A Perspective on their roles in Health and Disease. Res. J. Pharm. Technol. 2019, 12, 2571–2576. [Google Scholar] [CrossRef]
- Daunter, B.; Cham, B. Solasodine glycosides. In vitro preferential cytotoxicity for human cancer cells. Cancer Lett. 1990, 55, 209–220. [Google Scholar] [CrossRef]
- Hameeda, A.; Ijaza, S.; Mohammadb, I.S.; Muhammadc, K.S.; Akhtara, N.; Khana, H.M.S. Aglycone solanidine and solasodine derivatives: A natural approach towards cancer. Biomed. Pharmacother. 2017, 94, 446–457. [Google Scholar] [CrossRef]
- Zhuang, Y.; Wu, C.; Zhou, J.; Chen, X.; Wu, J.; Jiang, S.; Peng, H.; Zou, X.; Liu, J.; Wu, D.; et al. Solasodine inhibits human colorectal cancer cells through suppression of the AKT/glycogen synthase kinase-3β/β-catenin pathway. Cancer Sci. 2017, 108, 2248–2264. [Google Scholar] [CrossRef]
- Pavani, C.; Shasthree, T. Qualitative screening and Quantitative determination of secondary metabolites from different plant extracts of Solanum khasianum Clarke. Res. J. Chem. Environ. 2022, 26, 113–123. [Google Scholar] [CrossRef]
- Mahato, S.B.; Sahu, N.P.; Ganguly, A.N.; Kasai, R.; Tanaka, O. Steroidal alkaloids from Solanum khasianum: Application of 13C NMR spectroscopy to their structural elucidation. Phytochemistry 1980, 19, 2017–2020. [Google Scholar] [CrossRef]
- Wang, Y.; Wang, T.; Liu, W.; Luo, G.; Lu, G.; Zhang, Y.; Wang, H. Anticancer effects of solasonine: Evidence and possible mechanisms. Biomed. Pharmacother. 2024, 171, 116146. [Google Scholar] [CrossRef] [PubMed]
- Munari, C.C.; de Oliveira, P.F.; Campos, J.C.L.; Martins, S.d.P.L.; Da Costa, J.C.; Bastos, J.K.; Tavares, D.C. Antiproliferative activity of Solanum lycocarpum alkaloidic extract and their constituents, solamargine and solasonine, in tumor cell lines. J. Nat. Med. 2013, 68, 236–241. [Google Scholar] [CrossRef] [PubMed]
- Zhang, H.; Lv, J.-L.; Zheng, Q.-S.; Li, J. Active components of Solanum nigrum and their antitumor effects: A literature review. Front. Oncol. 2023, 13, 1329957. [Google Scholar] [CrossRef]
- Lan, X.; Lu, M.; Fang, X.; Cao, Y.; Sun, M.; Shan, M.; Gao, W.; Wang, Y.; Yu, W.; Luo, H. Anti-Colorectal Cancer Activity of Solasonin from Solanum nigrum L. via Histone Deacetylases-Mediated p53 Acetylation Pathway. Molecules 2023, 28, 6649. [Google Scholar] [CrossRef] [PubMed]
- Ishiyama, M.; Shoyama, Y.; Murakami, H.; Shinohara, H. Production of monoclonal antibodies and development of an ELISA for solamargine. Cytotechnology 1996, 18, 153–158. [Google Scholar] [CrossRef]
- Putalun, W.; Tanaka, H.; Yahara, S.; Lhieochaiphan, S.; Shoyama, Y. Survey of Solasodine-Type Glycoalkaloids by Western Blotting and ELISA Using Anti-solamargine Monoclonal Antibody. Biol. Pharm. Bull. 2000, 23, 72–75. [Google Scholar] [CrossRef][Green Version]
- Ohnuma, M.; Teramura, H.; Shimada, H. A simple method to establish an efficient medium suitable for potato regeneration. Plant Biotechnol. 2020, 37, 25–30. [Google Scholar] [CrossRef]
- Faizal, A.; Geelen, D. Saponins and their role in biological processes in plants. Phytochem. Rev. 2013, 12, 877–893. [Google Scholar] [CrossRef]
- Francisco, R.d.B.; Martinoia, E. The Vacuolar Transportome of Plant Specialized Metabolites. Plant Cell Physiol. 2018, 59, 1326–1336. [Google Scholar] [CrossRef] [PubMed]
- Putalun, W. Technology of Compact MAb and its Application for Medicinal Plant Breeding Named as Missile Type Molecular Breeding. Curr. Cancer Drug Targets 2011, 8, 24–31. [Google Scholar] [CrossRef]
- Begum, T.; Munda, S.; Gupta, T.; Gogoi, R.; Choubey, V.K.; Chanda, S.K.; Lekhak, H.; Sastry, G.N.; Lal, M. Stability estimation through multivariate approach among solasodine-rich lines of Solanum khasianum (C.B. Clarke): An important industrial plant. Front. Plant Sci. 2023, 14, 1143778. [Google Scholar] [CrossRef] [PubMed]
- Fecker, L.F.; Kaufmann, A.; Commandeur, U.; Commandeur, J.; Koenig, R.; Burgermeister, W. Expression of single-chain antibody fragments (scFv) specific for beet necrotic yellow vein virus coat protein or 25 kDa protein in Escherichia coli and Nicotiana benthamiana. Plant Mol. Biol. 1996, 32, 979–986. [Google Scholar] [CrossRef]
- Fecker, L.F.; Koenig, R.; Obermeier, C. Nicotiana benthamiana plants expressing beet necrotic yellowvein virus (BNYVV) coat protein-specific scFv are partiallyprotected against the establishment of the virus in the early stages of infection and its pathogenic effectsin the late stages of infection. Arch. Virol. 1997, 142, 1857–1863. [Google Scholar] [CrossRef]
- Satheeshkumar, P.K. Expression of Single Chain Variable Fragment (scFv) Molecules in Plants: A Comprehensive Update. Mol. Biotechnol. 2020, 62, 151–167. [Google Scholar] [CrossRef]
- Putalun, W.; Tanaka, H.; Shoyama, Y. Rapid separation of solasodine glycosides by an immunoaffinity column using anti-solamargine monoclonal antibody. Cytotechnology 1999, 31, 153–158. [Google Scholar] [CrossRef]
- Kitagawa, I.; Taniyama, T.; Shibuya, H.; Noda, T.; Yoshikawa, M. Chemical Studies on Crude Drug Processing. V. On the Constituents of Ginseng Radix Rubra (2): Comparison of the Constituents of White Ginseng and Red Ginseng Prepared from the Same Panax ginseng Root. Yakugaku Zasshi 1987, 107, 495–505. [Google Scholar] [CrossRef] [PubMed]
- Liu, S.; Liu, S.; Mi, Q.; Yin, P.; Xue, T.; Yu, X.; Meng, X.; Wang, L.; Bi, Y. Changes in Active Components and Antioxidant Properties of Ginseng Fermented by Lactobacillus plantarum. Food Sci. 2023, 44, 252–259. [Google Scholar]
- Lee, H.Y.; Lee, J.H.; Shin, E.-C.; Cho, D.Y.; Jung, J.G.; Kim, M.J.; Bin Jeong, J.; Kang, D.; Kang, S.S.; Cho, K.M. Changes in Chemical Compositions and Antioxidant Activities from Fresh to Fermented Red Mountain-Cultivated Ginseng. Molecules 2022, 27, 4550. [Google Scholar] [CrossRef] [PubMed]
- Vronen, P.J.E. Potato Glycoalkaloids as Starting Material for the Synthesis of Steroid Hormones. Doctoral Dissertation, Wageningen University, Wageningen, The Netherlands; pp. 77–78.











| Plant Component | Plant Resource | Reference |
|---|---|---|
| Ganoderic acid | Ganoderma lucidum | [15] |
| Artemisinin | Artemisia annua | [16] |
| Paclitaxel | Taxus brevifolia | [17] |
| Harringtonine | Cephalotaxus harringtonii | [18] |
| Plumbagin | Plumbago zeylanica | [19] |
| Solamargine | Solanum khasianum | [20,22] |
| Morphine | Papaver somuniterum | [21] |
| Glycocholic acid | (Bile; animal) | [23] |
Disclaimer/Publisher’s Note: The statements, opinions and data contained in all publications are solely those of the individual author(s) and contributor(s) and not of MDPI and/or the editor(s). MDPI and/or the editor(s) disclaim responsibility for any injury to people or property resulting from any ideas, methods, instructions or products referred to in the content. |
© 2026 by the author. Licensee MDPI, Basel, Switzerland. This article is an open access article distributed under the terms and conditions of the Creative Commons Attribution (CC BY) license.
Share and Cite
Shoyama, Y. Antibodies as Tools for Characterization, Isolation and Production Enhancement of Anti-Cancer Drugs and Steroidal Hormones from Ginsenoside and Solasodine Glycoside: A Review. Antibodies 2026, 15, 10. https://doi.org/10.3390/antib15010010
Shoyama Y. Antibodies as Tools for Characterization, Isolation and Production Enhancement of Anti-Cancer Drugs and Steroidal Hormones from Ginsenoside and Solasodine Glycoside: A Review. Antibodies. 2026; 15(1):10. https://doi.org/10.3390/antib15010010
Chicago/Turabian StyleShoyama, Yukihiro. 2026. "Antibodies as Tools for Characterization, Isolation and Production Enhancement of Anti-Cancer Drugs and Steroidal Hormones from Ginsenoside and Solasodine Glycoside: A Review" Antibodies 15, no. 1: 10. https://doi.org/10.3390/antib15010010
APA StyleShoyama, Y. (2026). Antibodies as Tools for Characterization, Isolation and Production Enhancement of Anti-Cancer Drugs and Steroidal Hormones from Ginsenoside and Solasodine Glycoside: A Review. Antibodies, 15(1), 10. https://doi.org/10.3390/antib15010010
