Dynamic Interactions of Stand Characteristics and Site on Quercus spp. Volume in China Under Climate Change
Abstract
1. Introduction
2. Materials and Methods
2.1. Climatic Data
2.2. Stand Volume Estimation of Quercus spp.
2.3. Classification of Elevation and Age Classes
2.4. Data Analysis
3. Results
3.1. Analysis of Temperature Change
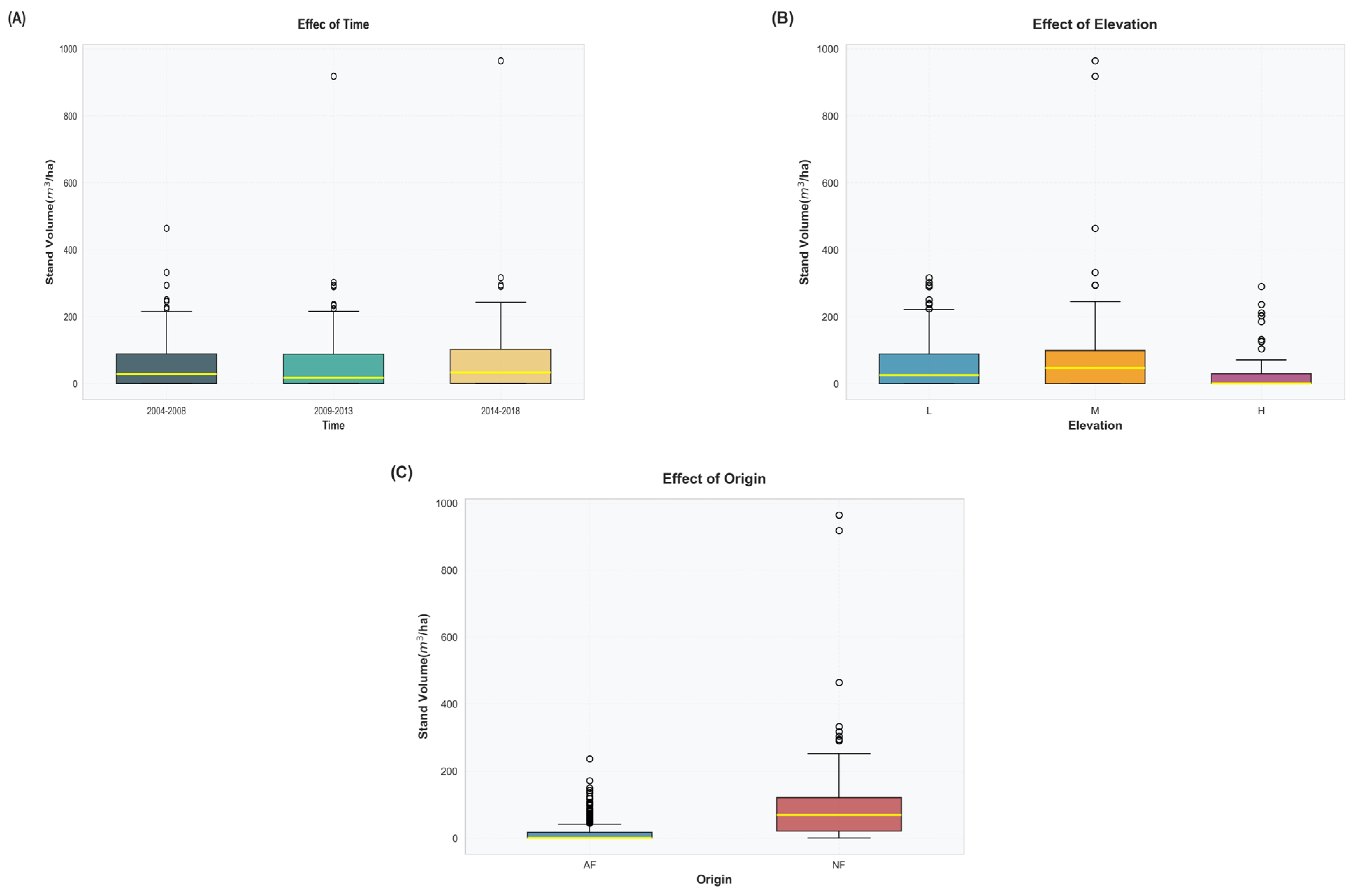
3.2. Comparative Analysis of Quercus spp. Stand Volume Using Multi-Factor ANOVA, Linear Mixed Effects, and Hurdle Models
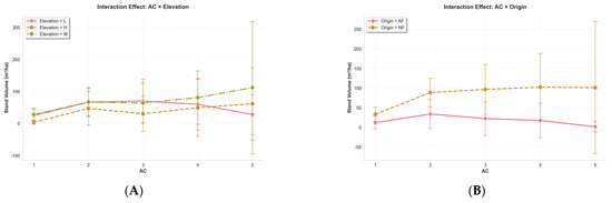
3.3. Interactive Effects of Age, Origin, and Elevation on Quercus spp. Stand Volume Variation
4. Discussion
5. Conclusions
Supplementary Materials
Author Contributions
Funding
Data Availability Statement
Conflicts of Interest
References
- Meng, L.; Zhou, Y.; Gu, L.; Richardson, A.D.; Peñuelas, J.; Fu, Y.; Wang, Y.; Asrar, G.R.; De Boeck, H.J.; Mao, J.; et al. Photoperiod Decelerates the Advance of Spring Phenology of Six Deciduous Tree Species under Climate Warming. Glob. Change Biol. 2021, 27, 2914–2927. [Google Scholar] [CrossRef]
- Xie, Y.; Thammavong, H.T.; Park, D.S. The Ecological Implications of Intra- and Inter-Species Variation in Phenological Sensitivity. New Phytol. 2022, 236, 760–773. [Google Scholar] [CrossRef]
- Arco Molina, J.G.; Altman, J.; Rai, S.; Korznikov, K.; Pejcha, V.; Dvorsky, M.; Doležal, J. Climate Drivers of Pinus Ponderosa Tree Development on Volcanic Tephra Deposits in the Southwestern USA: Insights from Radial Increment and Wood Density Variations. Dendrochronologia 2024, 88, 126242. [Google Scholar] [CrossRef]
- Wang, H.; Duan, A.; Liu, X.; Zhu, A.; Zhang, J. Combining Tree-Ring Growth and Carbon Isotope Data Enhances the Understanding of Climate Sensitivity and Physiological Responses for Chinese Fir in a Common Garden. Agric. For. Meteorol. 2024, 358, 110246. [Google Scholar] [CrossRef]
- Passos, I.; Vila-Viçosa, C.; Gonçalves, J.; Ribeiro, M.M.; Figueiredo, A. Tracking Submediterranean Ecotone Shifts under Climate Change Scenarios Using Marcescent Oaks as Indicators. Sci. Rep. 2025, 15, 39201. [Google Scholar] [CrossRef] [PubMed]
- Zhao, Y.-H.; Jiang, L.-M.; Qiu, L.; Fu, Q.-L.; Tan, S.-L. Climate-Driven “Nowhere to Go” for Alpine Plants: Impact of Climate Change on the Geographic Distribution of Dipsacoideae Species in China. Glob. Ecol. Conserv. 2025, 63, e03892. [Google Scholar] [CrossRef]
- Liu, B.; Liao, C.; Chang, Y. Changing Dynamic of Tree Species Composition and Diversity: A Case Study of Secondary Forests in Northern China in Response to Climate Change. Forests 2024, 15, 322. [Google Scholar] [CrossRef]
- Root, T.L.; Price, J.T.; Hall, K.R.; Schneider, S.H.; Rosenzweig, C.; Pounds, J.A. Fingerprints of Global Warming on Wild Animals and Plants. Nature 2003, 421, 57–60. [Google Scholar] [CrossRef]
- Fu, Y.; Liu, C.; He, H.S.; Wang, S.; Wang, L.; Xie, Z. Assessing the Impact of Climate Warming on Tree Species Composition and Distribution in the Forest Region of Northeast China. Front. Plant Sci. 2024, 15, 1430025. [Google Scholar] [CrossRef]
- Subedi, S.C.; Drake, S.; Adhikari, B.; Coggeshall, M.V. Climate-Change Habitat Shifts for the Vulnerable Endemic Oak Species(Quercus arkansana Sarg.). J. For. Res. 2024, 35, 117–127. [Google Scholar] [CrossRef]
- Sun, S.; Zhang, Y.; Huang, D.; Wang, H.; Cao, Q.; Fan, P.; Yang, N.; Zheng, P.; Wang, R. The Effect of Climate Change on the Richness Distribution Pattern of Oaks (Quercus L.) in China. Sci. Total Environ. 2020, 744, 140786. [Google Scholar] [CrossRef]
- Mirhashemi, H.; Heydari, M.; Ahmadi, K.; Karami, O.; Kavgaci, A.; Matsui, T.; Heung, B. Species Distribution Models of Brant’s Oak (Quercus Brantii Lindl.): The Impact of Spatial Database on Predicting the Impacts of Climate Change. Ecol. Eng. 2023, 194, 107038. [Google Scholar] [CrossRef]
- Vigren, C.; Vospernik, S.; Morin, X.; Toïgo, M.; Bielak, K.; Bravo, F.; Heym, M.; Löf, M.; Pach, M.; Ponette, Q.; et al. Divergent Regional Volume Growth Responses of Scots Pine and Oak Stands to Climate Change in Europe. Sci. Total Environ. 2025, 969, 178858. [Google Scholar] [CrossRef]
- Xu, X.; Wang, Z.; Rahbek, C.; Lessard, J.-P.; Fang, J. Evolutionary History Influences the Effects of Water–Energy Dynamics on Oak Diversity in Asia. J. Biogeogr. 2013, 40, 2146–2155. [Google Scholar] [CrossRef]
- Zhang, M.-G.; Zhou, Z.-K.; Chen, W.-Y.; Cannon, C.H.; Raes, N.; Slik, J.W.F. Major Declines of Woody Plant Species Ranges under Climate Change in Yunnan, China. Divers. Distrib. 2014, 20, 405–415. [Google Scholar] [CrossRef]
- Xu, Y.; Ding, Y.H.; Zhao, Z.C. Confidence Analysis of NCEP/NCAR 50-Year Global Reanalyzed Data in Climate Change Research in China. J. Appl. Meteor. Sci. 2001, 12, 337–347. [Google Scholar]
- Qin, Y.; He, X.; Guo, H.; Zhou, C.; Zeng, W.; Chen, X.; Lei, X. National Growth Models for Stand Basal Area, Volume, and Biomass in Chinese Larch Plantations: Integrating Stand Structure and Species Effects. Trees For. People 2025, 21, 100943. [Google Scholar] [CrossRef]
- McKenzie, Z. A Reconstruction and Comparison of Grand Bahama Pine Forest Age during the Pre-Major Hurricane Era Using Ridge Regression and Nested Linear Mixed-Effects Model. Trees For. People 2024, 18, 100723. [Google Scholar] [CrossRef]
- Li, Y.; Kang, X.; Zhang, Q.; Guo, W. Modelling Tree Mortality across Diameter Classes Using Mixed-Effects Zero-Inflated Models. J. For. Res. 2020, 31, 131–140. [Google Scholar] [CrossRef]
- Symonds, M.E. Faculty Opinions Recommendation of IPCC, 2021: Summary for Policymakers. In Climate Change 2021: The Physical Science Basis. Contribution of Working Group I to the Sixth Assessment Report of the Intergovernmental Panel on Climate Change; Cambridge University Press: Cambridge, UK, 2021. [Google Scholar]
- Pachauri, R.K.; Allen, M.R.; Barros, V.R.; Broome, J.; Cramer, W.; Christ, R.; Church, J.A.; Clarke, L.; Dahe, Q.; Dasgupta, P.; et al. Climate Change 2014: Synthesis Report. Contribution of Working Groups I, II and III to the Fifth Assessment Report of the Intergovernmental Panel on Climate Change; Pachauri, R., Meyer, L., Eds.; IPCC Fifth Assessment Report; Intergovernmental Panel on Climate Change: Geneva, Switzerland, 2014. [Google Scholar]
- Wang, Y.; Wang, Z.; Wang, J.; Li, W. Transient and Lagged Response of Seasonal Vegetation Changes to Climate in China during the Past Two Decades. Geogr. Geo-Inf. Sci. 2020, 36, 33–40+76. [Google Scholar]
- Gao, J.; Yang, B.; Mura, C.; Boucher, Y.; Rossi, S. Increased Inter-Annual Variability in Budburst Dates towards the Northern Range Edge of Black Spruce. Agric. For. Meteorol. 2023, 333, 109410. [Google Scholar] [CrossRef]
- Wang, J.; Rousseau, R.J.; Himes, A.; Siegert, C.; Ouyang, Y.; Renninger, H.J. Migrating Populus with Climate Change: Phenology, Coppice Management, Cold Spell Susceptibility, Leaf Dynamics, and Biomass Production. For. Ecosyst. 2025, 14, 100343. [Google Scholar] [CrossRef]
- Parmesan, C.; Morecroft, M.D.; Trisurat, Y. Terrestrial and Freshwater Ecosystems and Their Services. In Climate Change 2022: Impacts, Adaptation and Vulnerability. Contribution of Working Group II to the Sixth Assessment Report of the Intergovernmental Panel on Climate Change; Cambridge University Press: Cambridge, UK; New York, NY, USA, 2022. [Google Scholar]
- Enderle, L.; Gribbe, S.; Coners, H.; Leuschner, C.; Hertel, D. Impact of a 2 °C Warmer Climate on the Fine Root System of European Beech, Sessile Oak, Scots Pine, and Douglas Fir in Central European Lowland Forests. Ecosystems 2025, 28, 49. [Google Scholar] [CrossRef]
- Skiadaresis, G.; Leban, J.-M.; Schnabel, F.; Schwarz, J.; Guillemot, J.; Potvin, C.; Bauhus, J. Interacting and Dynamic Effects of Species and Structural Diversity Promote Annual Woody Biomass Production in a Tropical Tree Diversity Experiment. For. Ecol. Manag. 2025, 593, 122844. [Google Scholar] [CrossRef]
- Chen, L.; Ren, C.; Zhang, B.; Wang, Z.; Liu, M.; Man, W.; Liu, J. Improved Estimation of Forest Stand Volume by the Integration of GEDI LiDAR Data and Multi-Sensor Imagery in the Changbai Mountains Mixed Forests Ecoregion (CMMFE), Northeast China. Int. J. Appl. Earth Obs. Geoinf. 2021, 100, 102326. [Google Scholar] [CrossRef]
- Liu, N.; Van den Bulcke, J.; Van Acker, J.; Liu, F.; Gao, C.; Yu, J.; Su, X.; Liu, C.; Huang, Q. Enhancing Large-Diameter Timber Production: Evaluating Poplars by Genotype and Spacing. Ind. Crop. Prod. 2025, 223, 120148. [Google Scholar] [CrossRef]
- Long, S.L. Study on Self-Thinning Law and Growth Model of Oak Natural Forest in Hunan Province. Ph.D. Thesis, Central South University of Forestry & Technology, Changsha, China, 2021. [Google Scholar]
- Sun, S.X. The Effect of Climate Change on the Potential Distribution Pattern of Oaks (Quercus L.) and Its Richness in China. Ph.D. Thesis, Shandong University, Jinan, China, 2021. [Google Scholar]
- Joshi, V.C.; Sundriyal, R.C.; Chandra, N.; Arya, D. Unlocking Nature’s Hidden Treasure: Unveiling Forest Status, Biomass and Carbon Wealth in the Binsar Wildlife Sanctuary, Uttarakhand for Climate Change Mitigation. Environ. Chall. 2024, 14, 100825. [Google Scholar] [CrossRef]
- Tian, Y.; Lu, J.; Wang, X.; Yang, L. Response of Population Structure of Quercus aquifolioides to Altitude Gradient in Sejila Mountain. J. Sichuan For. Sci. Technol. 2023, 44, 74–81. [Google Scholar]
- Gao, W.Q. Population Dynamics and Environmental Interpretation of Quercus variabilis in Different Geographical Gradients. Ph.D. Thesis, Chinese Academy of Forestry, Beijing, China, 2017. [Google Scholar]
- Chen, S.; You, C.; Zhang, Z.; Xu, Z. Predicting the Potential Distribution of Quercus oxyphylla in China under Climate Change Scenarios. Forests 2024, 15, 1033. [Google Scholar] [CrossRef]
- Rubio-Cuadrado, Á.; Montes, F.; Alberdi, I.; Cañellas, I.; Aulló-Maestro, I.; Sánchez-Salguero, R.; Hevia, A.; Pérez-Cruzado, C.; Molina-Valero, J.A.; Camarero, J.J. Analyses from Stand to Tree Level Allow Disentangling the Effects of Age, Size, Origin and Competition on Tree Growth Sensitivity to Climate in Natural and Afforested Scots Pine Forests. Agric. For. Meteorol. 2024, 355, 110148. [Google Scholar] [CrossRef]
- Lin, Z.; Yong, H.; Tianxiang, L.; Qiang, D.; Kunmei, D. Age Effects on Stand Biomass Allocations to Different Components: A Case Study in Forests of Cunninghamia Lanceolata and Pinus Massoniana. J. Grad. Sch. Chin. Acad. Sci. 2005, 22, 170–178. [Google Scholar]
- Chayaporn, P.; Sasaki, N.; Venkatappa, M.; Abe, I. Assessment of the Overall Carbon Storage in a Teak Plantation in Kanchanaburi Province, Thailand—Implications for Carbon-Based Incentives. Clean. Environ. Syst. 2021, 2, 100023. [Google Scholar] [CrossRef]
- Vangi, E.; Dalmonech, D.; Morichetti, M.; Grieco, E.; Giannetti, F.; D’Amico, G.; Nakhavali, M.; Chirici, G.; Collalti, A. Stand Age and Climate Change Effects on Carbon Increments and Stock Dynamics. Forests 2024, 15, 1120. [Google Scholar] [CrossRef]
- Luo, T.; Shi, P.; Luo, J.; Ouyang, H. Distribution Patterns of Aboveground Biomass in Tibetan Alpine Vegetation Transects. Acta Phytoecol. Sin. 2002, 26, 668–676. [Google Scholar]
- Jiang, S.; Liang, Y.; Chang, R.; Huang, C.; Ma, T.; Liu, B.; Wu, M.; Zhang, P. Responses of Chuanxi Spruce Forest Biomass to Climate Change on the Tibetan Plateau. Chin. J. Ecol. 2020, 39, 3903–3912. [Google Scholar]
- Wang, Y.; Liu, Y.; Chen, P.; Song, J.; Fu, B. Interannual Precipitation Variability Dominates the Growth of Alpine Grassland Above-Ground Biomass at High Elevations on the Tibetan Plateau. Sci. Total Environ. 2024, 931, 172745. [Google Scholar] [CrossRef]
- Davis, E.L.; Brown, R.; Daniels, L.; Kavanagh, T.; Gedalof, Z. Regional Variability in the Response of Alpine Treelines to Climate Change. Clim. Chang. 2020, 162, 1365–1384. [Google Scholar] [CrossRef]
- Du, H.; Li, M.-H.; Rixen, C.; Zong, S.; Stambaugh, M.; Huang, L.; He, H.S.; Wu, Z. Sensitivity of Recruitment and Growth of Alpine Treeline Birch to Elevated Temperature. Agric. For. Meteorol. 2021, 304–305, 108403. [Google Scholar] [CrossRef]
- Yang, L.; Li, W. The Underground Root Biomass and C Storage in Different Forest Ecosystems of Changbai Mountains in China. J. Nat. Resour. 2003, 18, 204–209. [Google Scholar]
- Wei, W.; You, W.; Zhang, H.; Yan, T.; Huo, C.; Zhao, G.; Xing, Z. Biomass Carbon Pool of Larch Forests in Liaoning Province. J. Northeast For. Univ. 2011, 39, 26–29. [Google Scholar]
- Takeda, S.; Takahashi, K. Elevational Variation in Abundance of Coarse Woody Debris in Subalpine Forests, Central Japan. For. Ecol. Manag. 2020, 473, 118295. [Google Scholar] [CrossRef]
- Erfu, D.; Xiaofan, W.; Jianjia, Z.; Xiaoli, W. Modeling the Long-Term Impacts of Harvest and Artificial Regeneration on Forest Area and Aboveground Biomass in Red Soil Hilly Region: A Case Study in Moshao Forest Farm of Huitong County. J. Nat. Resour. 2020, 35, 2995–3006. [Google Scholar] [CrossRef]
- Pooja; Prakash, P.; Kumar, P.; Bishist, R.; Kumar, P.; Shilpa; Singh, R.; Bhatia, A.K. Impact of Altitudinal Gradients on Composition, Biomass and Soil Nutrients of Cedrus Deodara Forests in the Northwestern Himalaya. Trees For. People 2025, 21, 100937. [Google Scholar] [CrossRef]






| Elevation | Criteria | Representative Regions and Examples |
|---|---|---|
| High-elevation | - Over 50% of the area exceeds 3000 m - Core zones are located in high-elevation regions | Qinghai–Tibet Plateau (e.g., Tibet, Qinghai) |
| Mid-elevation | - Most areas range between 500 and 3000 m - Core zones are on plateaus or in mountainous regions | Yunnan–Guizhou Plateau, Loess Plateau, Inner Mongolia Plateau, and other mountainous provinces |
| Low-elevation | - Over 50% of the area lies below 500 m - Core zones are on plains, in coastal areas, or hills | Eastern plains, coastal regions, and hilly areas (e.g., eastern provinces) |
| Time | Origin | Elevation | Count | Mean | Std | Min | Max |
|---|---|---|---|---|---|---|---|
| 2004–2008 | AF | H | 10 | 0 | 0 | 0 | 0 |
| M | 25 | 16.43 | 29.37 | 0 | 99.67 | ||
| L | 50 | 19.89 | 36.5 | 0 | 171.58 | ||
| NF | H | 10 | 69.81 | 83.71 | 0 | 212.08 | |
| M | 50 | 95.42 | 88.09 | 0 | 463.75 | ||
| L | 75 | 65.82 | 64.07 | 0 | 294.23 | ||
| 2009–2013 | AF | H | 10 | 0 | 0 | 0 | 0 |
| M | 30 | 10.15 | 24.82 | 0 | 105.67 | ||
| L | 75 | 17.39 | 32.41 | 0 | 150 | ||
| NF | H | 10 | 78.18 | 91.13 | 0 | 236.76 | |
| M | 50 | 109.96 | 134.86 | 0 | 918.12 | ||
| L | 85 | 64.82 | 68.54 | 0 | 302.65 | ||
| 2014–2018 | AF | H | 10 | 0 | 0 | 0 | 0 |
| M | 40 | 10.39 | 25.1 | 0 | 117.09 | ||
| L | 70 | 31.04 | 46.75 | 0 | 237.08 | ||
| NF | H | 10 | 82.05 | 99.55 | 0 | 290.59 | |
| M | 50 | 116.16 | 140.78 | 0 | 964 | ||
| L | 85 | 82.5 | 72.18 | 0 | 316.69 |
| Model Parameters | Coefficient | Std. Error | z-Value | p-Value |
|---|---|---|---|---|
| Group Var | 8.45 | 0.00 | ||
| Intercept | 11.02 | 6.78 | 1.63 | 0.10 |
| Elevation [T.H] | −6.45 | 15.85 | −0.41 | 0.68 |
| Elevation [T.M] | 15.59 | 8.85 | 1.76 | 0.08 |
| Origin [T.NF] | 68.37 | 8.17 | 8.37 | 0.00 |
| Time | 1.39 | 0.33 | 4.27 | 0.00 |
| Model Parameters | Coefficient | Std. Error | z-Value | p-Value |
|---|---|---|---|---|
| Group Var | 6.76 | 0.00 | ||
| Intercept | 50.02 | 11.18 | 4.47 | 0.00 |
| Elevation [T.H] | 25.60 | 32.74 | 0.78 | 0.43 |
| Elevation [T.M] | 11.70 | 12.57 | 0.93 | 0.35 |
| Origin [T.NF] | 52.81 | 13.03 | 4.05 | 0.00 |
| Time | 2.10 | 0.40 | 5.28 | 0.00 |
Disclaimer/Publisher’s Note: The statements, opinions and data contained in all publications are solely those of the individual author(s) and contributor(s) and not of MDPI and/or the editor(s). MDPI and/or the editor(s) disclaim responsibility for any injury to people or property resulting from any ideas, methods, instructions or products referred to in the content. |
© 2025 by the authors. Licensee MDPI, Basel, Switzerland. This article is an open access article distributed under the terms and conditions of the Creative Commons Attribution (CC BY) license (https://creativecommons.org/licenses/by/4.0/).
Share and Cite
Liao, C.-R.; Ouyang, J.-X.; Li, Y.-H.; Jiang, H.-B.; Wang, Y.-Y. Dynamic Interactions of Stand Characteristics and Site on Quercus spp. Volume in China Under Climate Change. Forests 2025, 16, 1769. https://doi.org/10.3390/f16121769
Liao C-R, Ouyang J-X, Li Y-H, Jiang H-B, Wang Y-Y. Dynamic Interactions of Stand Characteristics and Site on Quercus spp. Volume in China Under Climate Change. Forests. 2025; 16(12):1769. https://doi.org/10.3390/f16121769
Chicago/Turabian StyleLiao, Cheng-Rui, Jun-Xiang Ouyang, Yu-Hao Li, Hong-Bo Jiang, and Yin-Yin Wang. 2025. "Dynamic Interactions of Stand Characteristics and Site on Quercus spp. Volume in China Under Climate Change" Forests 16, no. 12: 1769. https://doi.org/10.3390/f16121769
APA StyleLiao, C.-R., Ouyang, J.-X., Li, Y.-H., Jiang, H.-B., & Wang, Y.-Y. (2025). Dynamic Interactions of Stand Characteristics and Site on Quercus spp. Volume in China Under Climate Change. Forests, 16(12), 1769. https://doi.org/10.3390/f16121769

