Next Article in Journal
Vision-Based System for Tree Species Recognition and DBH Estimation in Artificial Forests
Previous Article in Journal
Widespread Declining Sensitivity of Chinese Forests to Soil Moisture Under Climate Change (2001–2020)
 
 
Font Type:
Arial Georgia Verdana
Font Size:
Aa Aa Aa
Line Spacing:
Column Width:
Background:
Article

Automated Morphological Characterization of Mediterranean Dehesa Using a Low-Density Airborne LiDAR Technique: A DBSCAN–Concaveman Approach for Segmentation and Delineation of Tree Vegetation Units

by
Adrián J. Montero-Calvo
1,*,
Miguel A. Martín-Tardío
2 and
Ángel M. Felicísimo
3
1
Área de Sistemas Forestales Mediterráneos, Centro de Investigaciones Científicas y Tecnológicas de Extremadura (CICYTEX), Guadajira, 06187 Badajoz, Spain
2
Área de Ingeniería Telemática, Universidad de Extremadura, 06800 Mérida, Spain
3
Área de Expresión Gráfica, Universidad de Extremadura, 06800 Mérida, Spain
*
Author to whom correspondence should be addressed.
Forests 2026, 17(1), 16; https://doi.org/10.3390/f17010016
Submission received: 21 November 2025 / Revised: 11 December 2025 / Accepted: 19 December 2025 / Published: 22 December 2025
(This article belongs to the Section Forest Inventory, Modeling and Remote Sensing)

Abstract

Mediterranean dehesa ecosystems are highly valuable agroforestry systems from ecological, social and economic perspectives. Their structural characterization has traditionally relied on resource-intensive field inventories. This study assesses the applicability of low-density airborne LiDAR data from the Spanish National Aerial Orthophotography Plan (PNOA) for the automated morphological characterization of Quercus ilex dehesas. This novel workflow integrates the DBSCAN clustering algorithm for unsupervised segmentation of tree vegetation units and Concaveman for crown perimeter delineation and slicing using concave hulls. The technique was applied over 116 hectares in Santibáñez el Bajo (Cáceres), identifying 1254 vegetation units with 99.8% precision, 97.3% recall and an F-score of 98.5%. A field validation on 35 trees revealed strong agreement with the LiDAR-derived metrics, including crown diameter (R2 = 0.985; bias = −0.96 m) and total height (R2 = 0.955; bias = −0.34 m). Crown base height was overestimated (+0.77 m), leading to a 20.9% underestimation of crown volume, which was corrected using a regression model (R2 = 0.952). This methodology allows us to produce scalable, fully automated forest inventories across extensive Iberian dehesas with similar structural characteristics using publicly available LiDAR data, even with a six-year acquisition gap.

Graphical Abstract

1. Introduction

Dehesa ecosystems are one of the most characteristic and valuable agroforestry systems of the Western Mediterranean region from an ecological point of view. They spread over approximately 2.8 million hectares of the Spanish Iberian Peninsula [1]. These humanized landscapes are the result of many centuries of traditional land management combining dispersed Quercus L. woodland with livestock and agricultural farming. They play critical roles for the ecosystem, which include the preservation of biodiversity, carbon sequestration, water regulation and soil preservation [2,3]. Characterization of the tree structure in dehesas and other forest systems is essential to evaluate ecosystem services, plan sustainable management, monitor temporary changes in response to climate and management pressures and optimize the use of devices leading to the development of smart forests, agriculture and cattle applications [4,5,6].
Traditionally, tree structural characterization in dehesa formations has been performed through conventional forest inventory methods based on field measurements, which are highly time-consuming and costly in terms of human resources and logistics when applied on vast areas such as those involved in these types of systems [7,8,9]. The traditional methods employed to measure parameters such as crown diameter, total height, crown base height and crown volume require multiple workers, specialized equipment (laser rangefinders, high-precision GPS systems, clinometers, etc.) and direct access to each tree or vegetation unit, thus significantly limiting the ability to make landscape scale inventories or frequent updates that can be monitored throughout time.
Airborne LiDAR (Light Detection and Ranging) technology emerged as a transforming tool to help characterize forest structure, providing the function of capturing detailed 3D information of the vegetation at operationally relevant spatial scales [10,11,12]. The Spanish National Aerial Orthophotography Program (PNOA) of the National Center of Geographical Data (CNIG) [13] provides low-density LiDAR coverage (1–2 points/m2) for the entire national territory with regular updates, proving to be an invaluable open-access resource for forest and environmental applications [14,15,16]. However, there is still serious doubt on the effectiveness and precision of the low-density LiDAR technique for the detailed morphological characterization of tree vegetation in open canopy systems such as dehesa [17,18], particularly when using historical data from several years [19,20]. Nevertheless, this approach should not be discarded [21].
For the vertical structure characterization of individual trees, ref. [22] developed advanced methods for wood and leaf separation from terrestrial LiDAR point clouds, achieving classification accuracies of 89% through mode point evolution techniques. In the present study, the lower point density of airborne PNOA-LiDAR limits the ability to distinguish wood from leaf returns or to capture detailed lower crown structure.
A critical methodological challenge in the application of the LiDAR technique to dehesas is the automatic segmentation of tree vegetation units. Unlike closed forests, where individual trees can be identified through crown detection algorithms based on local maximum heights, dehesas prove to have a complex and diversified structure with a variety of groups ranging from isolated trees to sets of tenths of individuals with canopy interconnectivity [7,23,24]. Previous estimates in Spanish dehesa formations have employed Gustafson Kessel Babuska’s algorithm on orthophotos [25] or the Random Forest supervised classification algorithm merging PNOA-NIR images with LiDAR [7]; however, these methods require the previous specification of the number of clusters or supervised learning, which are surmountable limitations through the use of density-based spatial clustering algorithms.
DBSCAN (Density-Based Spatial Clustering of Applications with Noise) is a clustering algorithm that groups together points in spatial proximity without the need to specify the number of clusters in advance and can identify clusters randomly as well as detecting noise [26,27]. Recent applications have demonstrated the effectiveness of density-based clustering approaches for tree segmentation from LiDAR point clouds. DBSCAN and K-means clustering were successfully combined for individual tree segmentation in airborne LiDAR data, achieving superior performance compared to traditional methods [28]. Hierarchical DBSCAN(HDBSCAN) combined with machine learning techniques was employed in ref. [29] for tree stem segmentation from UAV-mounted LiDAR, achieving 82% detection rates with 98% precision without requiring site-specific parameters. Its specific application to the segmentation of tree vegetation from LiDAR point clouds in dehesa systems has never been systematically explored nor validated, despite its theoretical potential for capturing the structural diversity that is inherent of these ecosystems.
Once segmentation has been performed, precise delineation of crown perimeters is an essential step for the estimation of morphological parameters. The convex hull methods that are largely used due to their computational simplicity, tend to overestimate crown area and volume as they include the gaps between branches [30]. Concave hulls, which can capture irregular geometries that are characteristic of Mediterranean leafy crowns, offer a more realistic option [31]. The Concaveman algorithm [32], based on Delaunay triangulation with adaptive pruning, is a promising candidate for this application; however, its validation with low-density LiDAR data in the context of the Mediterranean dehesa ecosystems requires empiric assessment.
The temporal validity of LiDAR data is a critical practical consideration that has been rarely analyzed by literature. Given that national LiDAR products such as PNOA are typically updated in 6 and 7 year cycles [33], understanding whether old LiDAR data are still useful to characterize the current structures, considering tree growth and the change in management, has direct implications on the operational feasibility of these resources. In the case of the Quercus ilex L., some studies have assessed apical growth of the trunk of mature trees with maximum heights of 15 mm per annum in dehesas of the Southwest of Spain [34]. Other authors like [35,36,37] have shown the low diameter growth of trunk and stems, proving that there is potential for LiDAR historical data to remain valid with predictable and correctable biases. However, this hypothesis requires careful quantitative validation.
The purposes of this paper are: (1) the assessment of the applicability of the DBSCAN algorithm for the automatic segmentation of tree vegetation using a low-density LiDAR technique in Mediterranean dehesas, quantifying identification precision by comparison against the count from reference orthophotography; (2) the implementation and validation of Concaveman for automatic delineation of crown perimeters, assessing visual adjustment and comparing against field GNSS measurements; (3) the quantification of systematic biases between the morphological parameters derived from the LiDAR data (crown diameter, total height, crown base height, crown volume) and reference field measurements through a strict statistical analysis that recognizes a nested data structure; (4) the assessment of temporal validity of 6-year old PNOA’s LiDAR data, separating the effects of tree growth from the methodology biases; and (5) the development of the empiric corrective equations that allow to convert LiDAR measurements to field equivalents for the purposes of operational applications in similar dehesa contexts.
It is important to note that the correction equations developed in this study are derived from a single 116-ha municipal dehesa site and, although they are representative of many dehesas in the south-west of the Iberian Peninsula, should be considered site-specific. Crown architecture, grazing intensity, management practices (e.g., pruning regimes), topographic characteristics, and LiDAR acquisition conditions may all influence segmentation performance and error structure. Therefore, these equations should not be applied directly to other dehesa formations without site-specific recalibration and validation.
This study was carried out on the local dehesa of Santibáñez el Bajo (Caceres, Spain) on 116 hectares with 1254 identified vegetation units, with the results being validated through detailed field measurements on 35 carefully selected individual Q. ilex trees. The results provide a systematic assessment of the combination of the DBSCAN and the Concaveman algorithms for automatic processing of LiDAR data in dehesa systems, quantifying specific methodological biases of the PNOA-LiDAR technique for key morphological parameters, while also demonstrating the feasibility of historical data for structural characterization. This methodological approach shows potential applicability to large-scale forest inventories in dehesa formations across the Iberian Peninsula, though validation in diverse dehesa contexts would be needed before widespread operational deployment.

2. Materials and Methods

2.1. Study Area

The area of study is located in the north of the Caceres province, within the Autonomous Region of Extremadura (Figure 1a). Specifically, at Dehesa Municipal de Santibáñez el Bajo, No. 113-CC in the Catalogue of Public Utility Forests of Extremadura, around geographic coordinate −6.24425 40.19039 (EPSG 25829: 734,572; 4,452,539). The maximum altitude is 476.3 msl and the minimum is 369.6 msl. The average land slope is 7.8% and 90% of the area is below 15%. The predominant exposure is sun-facing.
It is a dehesa system used for livestock farming and populated by Q. ilex, Quercus suber L. and Quercus pyrenaica L. tree species, in order of numeric importance. In the areas with bushes, the underlayer is predominantly populated by Cistus ladanifer L., with heights between 0.1 and 1.5 m.
Aside from the production of cork, the main use of the area is livestock farming, with permanent presence of mixed-breed cattle and pigs being raised on the Montanera (typical free-range breeding) system. The presence of cattle throughout the year shapes the morphology of the trees, since continuous animal browsing turns the minimum height of the crown base to approximately 1.7 m from the ground.
A specific area has been selected within this local dehesa to carry out the morphological analysis of its tree vegetation units using airborne low-density LiDAR data. The tree vegetation units consist of groups of one or several adult trees with overlapping crowns. The area of reference is shown in Figure 1b, and its delimitations are established by the coordinates listed in Table 1, enclosing an area of 1,166,357.07 m2.
The area under study comprises 1254 vegetation units. The count was performed manually, by visually interpreting each unit on the PNOA orthophotograph captured during a 2018 aerial survey [13]. Only vegetation units that were fully integrated within the coordinates of Table 1 have been considered.
The area described was selected due to its high variability in tree density per vegetation unit, while the terrain topography was variable and representative of the overall area. Furthermore, the presence of isolated holm oak specimens facilitates ground-truth data acquisition. Field measurements prove to be highly limitative for this type of research, whilst validating remote sensing methods on isolated trees makes the work feasible; these results are subsequently extrapolated to tree clusters.
In this area, the tree layout is diverse, with groups of trees ranging from one to 50 crown overlapping individuals, which makes it hard to individualize them.

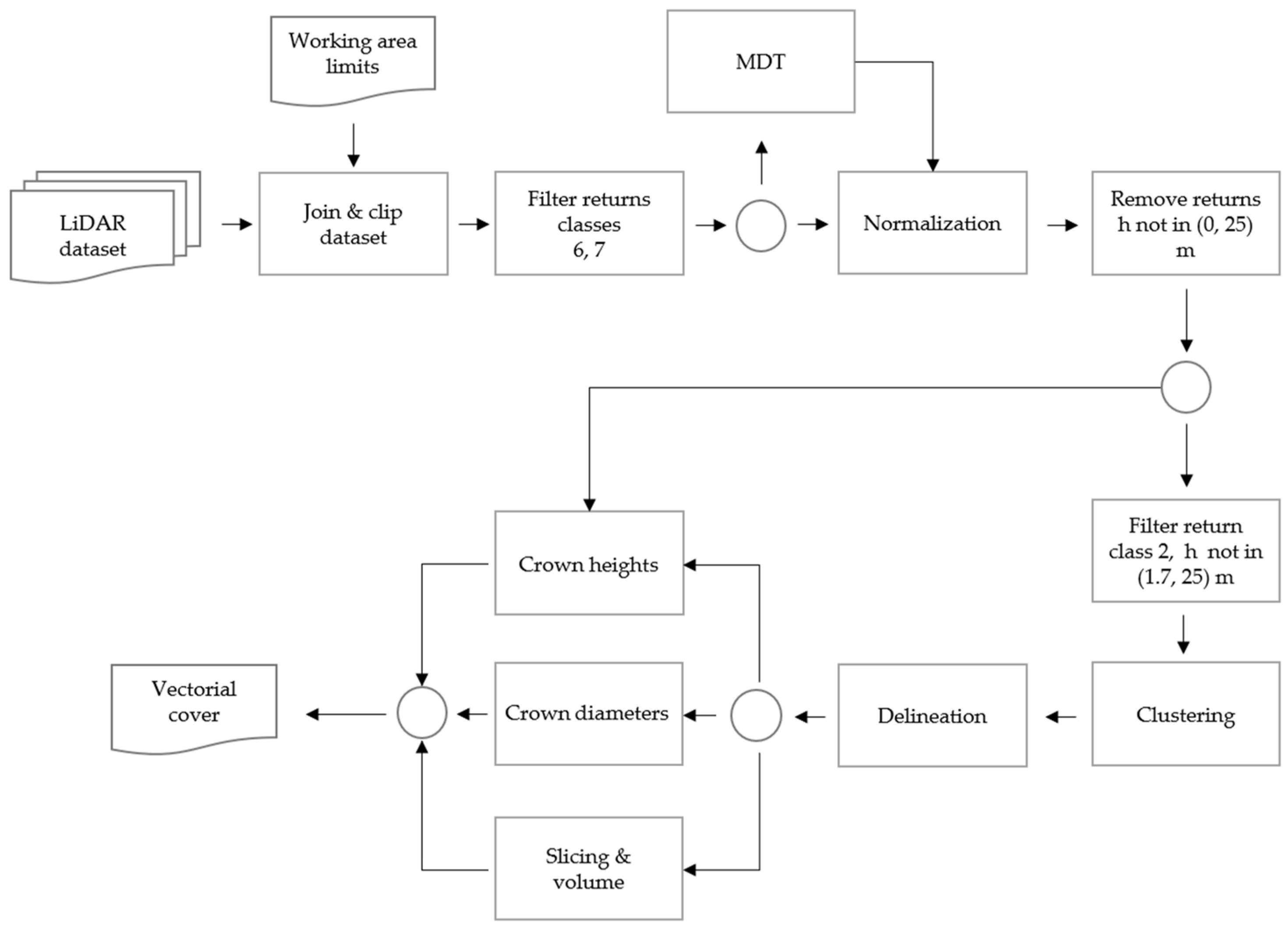
2.2. Workflow

The morphological characteristics of the tree crowns were determined, and a record was made of their three-dimensional structure with the relevant geographical references. For this purpose, a workflow process was developed (Figure 2) which included basic operations for the combination of the files containing aerial LiDAR data and their clipping based on a polygonal mask contained in a vectorial file in order to preserve only the LiDAR data for the chosen area of the study (Table 1). All returns from construction structures and elements classified as noise were removed from the dataset obtained, as they had little relevance for the purposes of this study.
Once the data were filtered, a digital terrain model (DTM) was calculated using the returns classified as soil, which allowed us to normalize the heights of the remaining points of the LiDAR dataset. Such normalization helps assign the same reference for all the points and their represented objects to obtain their height. This way it was possible to remove all the LiDAR points with heights below the crowns of target trees and above the shrub layer, thus obtaining a dataset that represented only the returns of the LiDAR pulses received from the tree crowns.
As this constitutes a set of defined returns that isolate crowns or groups of crowns, these returns can be grouped together or delineated to create a three-dimensional representation of each vegetation unit.

2.3. LiDAR Dataset

The operations on the LiDAR data were carried out using the lidR v.4.2.1 [38,39] package of the R statistics software, version 4.4.3 [40].
The LiDAR dataset used is a set of files of aerial low-density LiDAR returns obtained by the National Center of Geographical Information for the Caceres province that are provided as zipped LAS files (LAZ), each covering a 2000 m × 2000 m area (Table 2). The flights over the area under study were taken on 12 and 29 December 2018, using an airplane mounted with a LiDAR Riegl VQ-1560i scanning system (RIEGL LMS GmbH, Munich, Germany), able to take photographs simultaneously for the visible and infrared spectra using an iXM-RS100F camera (Phase One A/S, Frederiksberg, Denmark). The pulse density emitted was at least 2 p/m2, with a maximum of 5 returns per pulse emitted. The point-cloud data were processed using TerraScan software by TERRASOLID Ltd., (Helsinki, Finland).
The three datasets were loaded to R, and a catalog was created that was clipped to the area under study (Table 1) using a 100 m buffer so that any subsequent operations were not affected by artifacts produced by the interpolation algorithms used to digitalize the terrain. Once the dataset was filtered by area of interest, the heights of all the returns were normalized, and the dataset was clipped to the area under study without buffering.
The highest number of returns potentially attributed to tree vegetation were used to estimate tree crown volume. This would include returns classified as high vegetation (5), medium vegetation (4) and low vegetation (3), as well as returns classified as overlaps (12) and unclassified returns (1), within a height range of 1.7 m—identified as the minimum height relevant for livestock browsing—to 25 m. This range prevents the inclusion of returns that fall outside the scope of the study, as they clearly do not represent tree vegetation. A total of 1,297,730 returns were recorded.

2.4. Crown Measurements and Time Considerations

Crown parameter measurements were obtained following two approximations: (1) low-density, LiDAR-derived measurements from 2018 aerial surveys and (2) field measurements using common on-ground methods employed in forest inventories. The six-year interval between both data sources allowed us to assess the applicability of the LiDAR data for the acquisition of morphological parameters during the time between two consecutive updates of the CNIG LiDAR products.
In dehesa production areas, characterized by ongoing human management [41] and permanent livestock browsing, which affects the renovation of the trees [42], low forest productivity indexes [43] and a specific composition that naturally grows slowly, the tree growth rates are typically very low [35,36,37].
A quantitative synthesis of the published growth models for this species in Mediterranean ecosystems was carried out with soil and climate limitations with the purpose of estimating the growth in height of the Q. ilex species. The diameter growth dynamic models developed by [36] were used as a basis for dehesa woodlands in the Iberian Peninsula and the height-diameter curves established by [43] were used for irregular stands of Q. ilex in the Eastern Mediterranean area, specifically for the low site index.
In order to estimate the growth in diameter, model E5 by [36] was used, based on the Korf function, derived through the Generalized Algebraic Difference Approach (GADA):
DBH2 = exp(X0) × exp[−(8.310178 + (1/X0)) × t20.264597],
where X0 is calculated from the known diameter and age (DBH1, t1).
In order to associate the various heights and diameters, the Mihajlov exponential equation can be used, parametrized by [43]
h = 1.3 + b0(exp(b1/DBH)),
with parameters b0 = 0.559884275 and b1 = 0.517723183 for low site indexes and b0 = 0.605188232, b1 = 0.427293554 for high-quality site indexes.
The combination of both models can help predict the expected growth between 20 and 30 cm for a term of 6 years for mature trees (DBH > 30 cm), regardless of the site index.

2.5. Clustering

Once the preparation operations were completed, the clustering process was carried out to group together all the returns received from the same vegetation unit, which consisted of one or various trees with overlapping crowns. Clustering is an automated learning technique used in data analysis that allows to make groups of data based on one or several shared characteristics amongst them.
Numerous clustering algorithms have been developed [44,45] that can be classified according to the clustering strategy on which they are based, their computational or spatial complexity and suitability for use due to the characteristics of the data to which they apply, such as dimensionality, size, distribution function, sensitivity to the order of data input into the algorithm or to noise [45]. A LiDAR dataset intended for clustering performance is typically large with low dimensionality, since only the planar coordinates are used, and arbitrary in terms of distribution shape. It may also contain noise.
The clustering algorithm most commonly cited in the literature is K-means [44] which, although in terms of temporal complexity, number of implementations and ease of use, it provides advantages in comparison to others, it also reveals significant drawbacks for this study, such as the need to previously know the number of clusters present and their high sensitivity to noise. For the clustering of spatial data, the most suitable algorithms are DBSCAN, STING, CLARANS and Wavecluster [45].
STING is adequate for the generalization of the characteristics of interest of spatial data. It is not suitable in this case, because the characteristic of interest is “position” and the aim is to keep it precise. Wavecluster, which is also based on the creation of spatial grids, focuses its cluster search on the processing of the characteristics of the points and not of their geographical position. On the other hand, CLARANS presents quadratic computational complexity, and it is not a good option for large datasets, having the same drawbacks as K-means in terms of the need for the number of clusters to be previously known.
DENCLUE is a density-based clustering algorithm that would work very well to discriminate clusters based on geographical position, with more computational efficiency in its execution, but its use requires a complex tuning of the input parameters in order for the results to prove better in comparison to other algorithms such as DBSCAN or OPTICS [46].
DBSCAN [26] (see Figure 3) is also a density-based algorithm. DBSCAN examines how many points of each one are situated at a distance below ε. If the number of points is equal or above minPts, the point is marked as a core point. Points which at ε distance only have a number of points below minPts within range are marked as border points. Both core points and border points make up the cluster. The remaining points are considered outliers. The set of outliers that are not part of any cluster are classified as noise. The selection of the ε and minPts parameters has a significant impact on the clusters identified.
A variation in the DBSCAN algorithm known as OPTICS [47] has also been under analysis for this task. It uses the same parameters as DBSCAN, but instead of producing fixed clusters, it organizes the points in a way that reflects the underlying density structure. This helps identify clusters of various densities, although this is not the case in this study, given the regularity of LiDAR pulse emission and the homogeneity of returns density for the same vegetation type. OPTICS can omit the definition of ε in advance, which makes it more flexible in comparison to DBSCAN. However, it can be much more complex from a computational point of view.
A clustering was produced based on the returns of classes {1, 3, 4, 5, 12} using the dbscan package [27] on the R software, adjusting ε to 1.7 m and minPTS to 2 points.
The selection of the ε value should not increase the complexity of the DBSCAN algorithm significantly. Its ideal adjustment would require previous knowledge of the number of existing clusters in the area under study, thus losing the non-supervisory nature of DBSCAN. It was decided that the epsilon value should be generally applicable to any areas occupied by holm oak or cork oak trees, regardless of the density of the stand, associated with the number of returns obtained from the dehesa vegetation units using the LiDAR dataset and, therefore, generally applicable to the Caceres Province. In order to do so, the area under study was divided into 2 m × 2 m polygons, those without LiDAR returns were removed and two categories were created (Figure 4a): polygons with neighbors that were surrounded by other polygons (core cells) and non-surrounded polygons (border cells). The return density of the core cells can be used to calculate the return density of the selected classes by square meter and obtain the distance between them.
Ninety-nine per cent of the core cells revealed higher or equal density to 1.25 returns per m2. Once density is calculated, the distance between returns can be obtained as the square root of density.
distance = (1/density)0.5
The computed distance between returns is 0.894 m, and therefore the minimum distance between returns from two different vegetation units should remain within [0.894, 0.894 × 2). An ε value of 1.7 m was selected. This was 5% below the maximum range of minimum distances between vegetation units, which would enable adequate clustering of returns from the same vegetation unit. With the purpose of discarding any potential noise points in vegetation units using the DBSCAN algorithm, reachability was limited to a minimum of two returns for the same cluster. Consequently, a minPTS value of 2 was selected.
As there were holm oak trees on the edges of the area under study and part of their crowns were outside the area, the point clusters where some of the members were at a distance lower than 1.7 m from the edge were removed. On the other hand, certain elements of non-tree vegetation remained within the dataset, whilst showing a very low number of returns in the cluster in comparison to the others, so all elements throwing a size below 100 returns were removed.

2.6. Delineation of Vegetation Unit Boundaries

Once the clustering of the returns was completed, the area occupied by each differentiated element of vegetation was defined. The three possible strategies available were, the concave hull, the convex hull or the grid-based strategy, which are schematically represented in Figure 5.
Grid-based crown delineation methods are easy to implement but tend to overestimate canopy extent, with the degree of overestimation increasing as grid resolution coarsens. Conversely, when grid resolution is excessively fine, it may introduce discontinuities in crown delineation. Concave or convex hulls are usually employed to define point clusters. The selection of hull type depends on the semantics of the point cloud. For delineation of vegetation units, the concave hull method was selected, as it yielded results that more accurately represented the crown perimeter when overlaid on reference imagery.
There are various methods to generate concave hulls. The most relevant methods approach delineation based on the k-nearest neighbors, α-shapes construction, and the Concaveman algorithm. Their most relevant characteristics are shown in Table 3.
The KNN method is simple and efficient for small datasets and proves highly sensitive to the selection of the number of neighbors to explore. The α-shapes method is well suited to very irregular shapes, but it also requires the adjustment of the α parameter, which adds a high degree of subjectiveness or intense previous exploration.
The Concaveman method computes a concave hull for a 2D point set through two primary stages. First, it performs a Delaunay triangulation of the points, optimally connecting them to form a non-overlapping triangle network. Then, it applies a pruning process based on a concavity parameter, which progressively removes triangles with sides exceeding a threshold length defined by the user. This step adjusts the shape of the hull, modulating its concavity, according to the intended level of detail. Finally, the remaining triangle edges form the concave hull.
For the purposes of this study, the Concaveman method was selected, implemented to R through the library of the same name [50], because although it may not be as precise as the α-shapes method, it is well suited to the shape of the vegetation elements with a very intuitive selection of parameters and very fast execution in large datasets. A concavity of 0.7 was selected as a parameter, and it was visually checked that it formed well-adjusted soft hulls.

2.7. Three-Dimensional Survey and Estimation of Crown Volume

In ref. [51] a review of crown volume estimation methods is provided, both direct field estimation and remote estimation using terrestrial or aerial LiDAR techniques and aerial photography. For the purposes of this study focused on the use of LiDAR data and volume approximation by slicing for remote estimation (Figure 6a) [51] as well as the tree silhouette volume method [52] in order to verify if remote estimation provided sufficiently precise volume measurement and geometry of the of tree crowns.
An R script was created to carry out the following operations for the purpose of estimating volume and geometry from LiDAR returns:
  • Determination of LiDAR returns classes 1, 2, 3, 4, 5, 12 higher or equal to 0 m contained or intersected by the polygons delineated during the previous stage and storage of normalized coordinates x, y, z, in an array with the number of cluster (c) to which they belong.
  • Setting a slice height of hs meters.
  • Setting as many classes of heights hi as heights that are multiple of hs for each c cluster.
  • Classification of each return subject to its rounded height to the first lower multiple of hs (Figure 6a).
  • Calculation of the concave hull containing all the points with equal or greater heights than hi using the Concaveman algorithm for each group of returns of a specific class of height hi.
  • Identification of the last slice of the tree crown. On traversing downward in height, this slice is the one immediately preceding the slice that exhibits the greatest relative reduction in point density compared to the previous slice. Within this slice, the return with the minimum height (hₙ) was located, which defines the crown base height above ground (Figure 6b Crown base).
  • The maximum tree height (ht) will be that of the return with maximum height (Figure 6b Tree height).
  • The bases of each slice of the crown, their height class hi, their cluster number and the number of returns for the height class are stored as georeferenced polygons for further use.
  • The volume of each slice is computed as the result of the average area of the polygons defining each slice multiplied by the height of the slice. For the lowest slice, its thickness is deemed to be the distance between the crown base and the base of the following slice. For the highest slice, its thickness is deemed to be the distance between its base and the maximum height of the tree.
  • The total crown volume defined by the cluster for tree i (VLi) will be the addition of all the individual volumes of every slice.

2.8. Field-Based Measurement of Estimated Morphological Parameters

The LiDAR-derived data were validated by comparing them against reference measurements. To this end, a sample of 35 holm oak individuals was analyzed in the field, enabling accurate assessment of crown geographical position and volume. The selection of these individual trees was based on several factors, i.e., they had to be trees that were sufficiently isolated to allow complete crown photographs to be taken from the eight cardinal and intercardinal directions, they had to be healthy trees with full crown structure, this is, with no loss of main branches and no perceivable loss of foliage since the date of the LiDAR flights used for this study.
An initial visual screening stage identified 67 trees, based on the crown perimeters calculated during the crown delineation stage. An R script was created to remove those trees which were at a distance from the nearest trees of less than twice the diameter of their crown in cardinal and intercardinal directions. Following this screening stage, the remaining field conditions were verified and the final number of trees selected was 35 to carry out the following operations (Table 4).
It is important to acknowledge that the selection criteria employed, isolated trees with accessible crowns for complete photographic coverage, introduce a selection bias in the validation sample. Trees in dense clumps or with overlapping crowns were necessarily excluded because the TSVM requires unobstructed views from multiple angles, making it practically impossible to obtain reliable ground-truth volume measurements for such configurations.

2.8.1. Tree Parameter Measurements

The normal diameter of each selected tree was measured at 130 cm from the ground using a MEDID MF602 flexible metallic diameter measuring tape (General de Medición SL, Santa Perpètua de Mogoda, Spain). Total tree height and crown base height were measured using a laser and ultrasonic Häglof Vertex Laser Geo 2 rangefinder (Haglöf Sweden AB, Långsele, Sweden), which provides length measuring solutions by measuring horizontal and vertical angles, with laser measured distance to the target.
The geographical position of tree i (CGi with coordinates {xGi, yGi}) and the locations of the cardinal and intercardinal points along its crown perimeter were recorded using a Zenith06 dual-frequency GNSS rover receiver (GeoMax AG, Widnau, Switzerland), with QField v3.x (OPENGIS.ch GmbH, Laax, Switzerland) [53] as the data capturing software and the geographical positions being provided by GNSS and installed on an 8-inch Samsung Galaxy Tab Active 3 (Samsung Electronics Co. Ltd., Suwon, Republic of Korea).
The geographical position of the tree was taken at some point of the perimeter of the trunk’s base, and therefore it did not match with the centroid of its crown nor with the center of the trunk. Despite this imprecision, due to the large size of the crown and the distance between trees, this measuring method was suitable to identify the geographical location of an individual tree.
Taking the cardinal and intercardinal positions of the crown’s perimeter helped to determine the crown’s diameter in four directions, i.e., N–S, E–W, NE–SW and NW–SE and the averaged crown diameter (dGi).
A summary of the relevant characteristics of equipment used is shown in Table 5. An optical square prism mounted on the same surveying rod with spirit level supporting the GNSS was used to improve precision for the positioning of the GNSS system at the edge of the tree crown, in such a way that the operator could have a simultaneous view of the tree crown and the spirit level on the surveying rod.

2.8.2. Crown Volume Measurement and Location

Crown volume was assessed using the Tree Silhouette Volume Method (TSVM) [52], which served as the field reference (ground truth) for this study. This method involves taking horizontal photographs around the tree under study, delineation of the crown perimeter in each of such photographs and estimation of the volume by revolution of the areas enclosed within the delineated perimeters.
An R script was developed to ensure geometric accuracy and minimize the fieldwork required to locate the positions from which photographs from the tree center could be taken. For each selected and delineated tree, the script calculated the positions of the cardinal and intercardinal points from the tree centroid at a sufficient distance to capture the entire crown. (Figure 7b).
The method intends to assess the bounding box for the delineated crown orientated by the cardinal points (N, S, E, W) and the bounding box for the intercardinal points (NE, SE, SW, NW), determining the maximum crown width Wmax from the directions the photographs will be taken (Figure 7a). Tree centroid i (CLi with coordinates {xLi, yLi}) is the average point of the centroids from both bounding boxes.
For the purposes of determining the optimal photographic distance (d) to ensure the holm oak crown (with maximum diameter Wmax) was fully included within the frame, the rear camera of a Samsung Galaxy Tab Active 3 (SM-T575) tablet was used, with a true focal distance of 4 mm and a horizontal viewing angle of 63.5°, which was previously calibrated through testing of objects with known dimensions. The theoretical minimum distance was calculated as d = 0.81⋅Wmax meters by application of the trigonometric relation between the object size, the focal distance and the effective sensor width (4.95 mm).
Distance was increased by 3 additional meters to ensure a range of error was considered in the event of irregularities in the shape of the crown or variations in its apparent diameter. This approach ensured the entire crown would be fully contained within the image even under non-ideal measuring conditions (e.g., angular deviations or Wmax estimation errors).
Said distance was used to calculate the 8 positions around the centroid of each tree from which the photographs were taken (Figure 7b).
Software Fiji v1.54 [54] was used to manually delineate the crowns as a succession of points in order. Subsequently, the information was processed by dividing each polyline into two halves by a vertical axis running through the point of the higher section of the crown that is closest to its geometrical center. Each of the two halves generates a left and a right semi perimeter for each crown on the photograph orientation. Photograph scaling was based on the field measurements of height and width of the crowns taken with the rangefinder and the GNSS system, respectively.
The area and volume of the crowns were calculated from each semi perimeter using the Pappus Guldinus second theorem with the right and left vertical edges of the left and right semi perimeters being used, respectively, as rotation axis (Figure 7c,d). Finally, the crown volume of each tree i (VPi) is the mean volume of the 16 volumes computed with every semi perimeter.

2.9. Statistical Analysis

This study assesses the feasibility of using low-density aerial LiDAR data as an alternative to traditional, manual field measurements after a period of 6 years between the capture of data by each of the two measuring systems.
For crown diameters, 280 crown diameter measurements (4 × method × tree) for 35 trees were analyzed. Measurements within each tree were spatially independent but interconnected due to tree shared characteristics.
For height measurements the same 35 trees were examined for total height, crown base height, and crown height. The relation between the observed mean difference and the maximum expected growth (20 cm to 30 cm for total height) was calculated to assess whether the identified differences exceeded the expected growth over the six-year study period. Differences that substantially surpassed the expected growth would indicate a systematic methodological bias rather than a temporary change.
The data were structured in a long format, with the parameter of interest serving as the response variable, the measuring method (GNSS vs. LiDAR) as a fixed effect, and tree identity as the random effect. This approach explicitly models the correlation structure among measurements within trees, while providing an unbiased estimation of the differences between methods. The statistical model employed was a linear mixed-effects model,
parameterij = β0 + β1 × methodj + ui + εj,
where parameterij represents the measurement of a given parameter for tree i using method j, β0 is the intersection (the GNSS mean), β1 is the method effect (the deviation of LiDAR relative to GNSS), ui is the random intercept for tree i, and εij is the residual error.
Prior to the analysis, the intraclass correlation coefficient (ICC) was computed to quantify within-tree correlation and justify the mixed-effects approach. Model assumptions were validated through residual diagnostics including tests for normality (Shapiro-Wilk and Anderson-Darling tests), assessments of homoscedasticity (Levene’s test) and detection of outliers using standardized residuals.
Statistical significance was assessed with a α = 0.05 level of significance, and the degrees of freedom were calculated according to the number of trees (df = 34). Confidence intervals for the differences between methods were constructed using the t-distribution with the relevant degrees of freedom.
For crown volume analysis, an approach was adopted that differed from those employed for diameters and heights due to the data structure. Given that each tree yielded a single volume estimate per method (VL for LiDAR and VP for TSVM), instead of the repeated measurements design applied for diameters, a Student’s paired t-test was applied to evaluate systematic differences between the two methods.
This approach was considerated adequate from a methodological point of view, because it constitutes a paired design, where the LiDAR and TSVM measurements derive from the same sampling units (trees), thereby controlling inter-individual variability and maximizing statistical power.
Prior to the analysis, parametric assumptions were verified through: (1) a Shapiro-Wilk test for normality of the paired differences, (2) a Levene’s test for homoscedasticity between methods, and (3) identification of outliers using standardized residuals. Given that the crown volume data can exhibit asymmetric distributions inherent to forest morphometric variables, the parametric results were planned to be confirmed with the non-parametric Wilcoxon signed-rank test in the event of any assumption violations arose.
Additionally, a linear regression analysis was performed to quantify the relationship between the two methods and to develop correction equations, assessing whether the slope significantly differed from one and whether the intercept differed from zero. Method agreement was assessed with a Bland-Altman analysis, calculating the mean bias, the 95% limits of agreement, and evaluating the presence of proportional bias by correlating the differences and the means of the methods. A significant proportional bias would reveal that the magnitude of the discrepancy varies systematically with volume size, thus requiring regression-based correction instead of a simple additive factor.
All the analyses were performed with a α = 0.05 level of significance with 34 degrees of freedom (df = n − 1 pairs). The sample size of 35 trees, exceeding the minimum 17 calculated for 95% confidence intervals, ensures robustness of the estimates even with moderate deviations from normality according to the Central Limit Theorem [55].
All the analyses were performed with R version 4.4.3 using the lme4 package for mixed-effects models.

3. Results

3.1. Identified Vegetation Units

DBSCAN clustering grouped the 1,297,730 filtered LiDAR returns into 3189 clusters ranging from sizes of 2 to 18,018 returns and labeled 1197 returns as noise. Out of the 3189 clusters, 1864 contained between 2 and 100 returns, and therefore they were not classified as tree vegetation units. Further 35 clusters contained returns at lower distances than 1.7 m from the boundary of the study area and were interpreted as incomplete vegetation units and therefore removed.
Following these filter steps, the 1230 remaining clusters were accepted as vegetation units (VU).
A confusion matrix (Table 6) was created to examine identification errors. It is worth mentioning that one of the clusters incorrectly identified as a vegetation unit was in fact a small dry-stone fence.
The negated vegetation category (~VU) was not delineated within the dataset, consequently its true prevalence remains undetermined and cannot be measured. The two false positives represent errors on unspecified instances. The results obtained can help to provide the precision, sensitivity and F-score metrics, which do not require the number of correctly classified and detailed cases as ~VU [56], beside their calculation method in Table 7.
The delineation of the tree crowns yielded by the Concaveman algorithm defined the clusters in a manner that appears visually accurate when compared to the PNOA aerial orthophotos used to count vegetation units. Nevertheless, a few exceptions occur: misclassification of LiDAR returns leads to erroneous delineations (Figure 8a) and some trees that were present during the LiDAR acquisition are absent in the 2019 orthophotos, resulting in missing crowns (Figure 8b).
The positions of the selected trees (CLi), deriving from the bounding-box centroids (Figure 7a) differ from those obtained via GNSS (CG) measurements. The mean error, calculated as the average Euclidean distance between CL and CG, is 1.05 m, the root mean square error is 1.78 m and the maximum error is 2.38 m (Figure 9).

3.2. Relation Between Lidar-Estimated and Field-Measured Morphological Parameters

3.2.1. Crown Diameters

The measurements taken on the 35 selected holm oak trees (Table 4) enabled determination of the relationship between the crown diameters measured using GNSS-derived positions and those measured from polygons generated from the LiDAR data in N–S, E–W, NE–SW and NW–SE directions. Table 8 details the basic statistics of the measurements taken. The estimated required sample size (70 individual diameters or 17 trees) was substantially lower than the sample size used in the study (n = 140), indicating sufficient statistical power for the 95% confidence interval of crown diameter measurements. This demonstrates that the dataset, twice as large as theoretical minimum, provides robust estimates of the population parameters.
The relationship between the methods was depicted by a linear regression of the GNSS measurements on the LiDAR measurements (Figure 10). The regression equation was:
GNSS = −0.186 + 1.089 × LiDAR (R2 = 0.985)
The slope coefficient (β = 1.089, SE = 0.024) was significantly different from 1 (t33 = 3.76, p < 0.001), which proves that the bias between the methods increased slightly with crown size. The intercept was not significantly different from zero (t33 = −0.59, p = 0.559). The high value of R2 demonstrates a linear correlation that is nearly perfect between the methods, despite the systematic bias.
The mixed-effects model was validated through diagnostic tests. The intraclass correlation coefficient (ICC = 0.932) indicated that 93.2% of variance in the diameter measurements could be attributed to the differences among trees, confirming substantial within-tree correlation and justifying the use of a mixed-effects framework.
The model assumptions were satisfactory in all the diagnostic tests. The residuals followed normal distribution (see Supplementary Figure S1a, Shapiro-Wilk test: W = 0.994, p = 0.354), and homoscedasticity was confirmed across the measuring methods (see Supplementary Figure S1b,c, Levene’s test: F1,278 = 0.089, p = 0.765). The outlier analysis identified only four observations (1.43% of the total) with standardized residuals exceeding |2.5|; and all of them were moderate outliers within the acceptable range for biological data (see Supplementary Figure S1d).
The mixed-effects analysis revealed significant differences between diameter measurements obtained through the GNSS and those deriving from LiDAR (Table 9). GNSS measurements averaged 13.80 m (SE = 0.623) whereas, LiDAR measurements averaged 12.84 m. The difference between the methods was 0.96 m, with the GNSS method overestimating the crown diameters relating to the LiDAR measurements. The statistical tests confirmed that this difference was highly significant (t34 = 8.15, p = 1.55 × 10−9) with a confidence interval of 95% of [0.72, 1.20] m. The effect size (Cohen’s d = 0.255) indicated a small-to-moderate practical difference between the two measuring techniques.
Variance decomposition revealed the relative contributions of the different sources of variation (see Supplementary Table S1). Between-trees variance (13.34 m2) dominated total variance, reflecting the wide range of crown sizes of the sampled trees. Residual intra-tree variance (0.97 m2) was substantially smaller, indicating that the measurement method and random error contributed relatively little to the overall variation once tree identity was accounted for.
The high ICC value demonstrates that crown diameter measurements within the trees were highly correlated, validating the need of the mixed-effects approach over the naïve analyses that presume independence.

3.2.2. Crown Area

The total area occupied by the vegetation units is 215,031.33 m2, yielding a fractional canopy cover of 18.44%. The sizes of these units are highly variable (Table 10); however, 95% of them have an equivalent circular area corresponding to a diameter of 26.13 m.

3.2.3. Crown Heights

According to the data summarized in Table 11, the crown heights obtained as the difference between total height and crown base height from LiDAR are lower than those measured in the field using a laser rangefinder. As with diameter measuring, the sample size of 35 individuals exceeds by far the minimum 17 required to maintain 95% confidence intervals, making the estimates sufficiently robust.
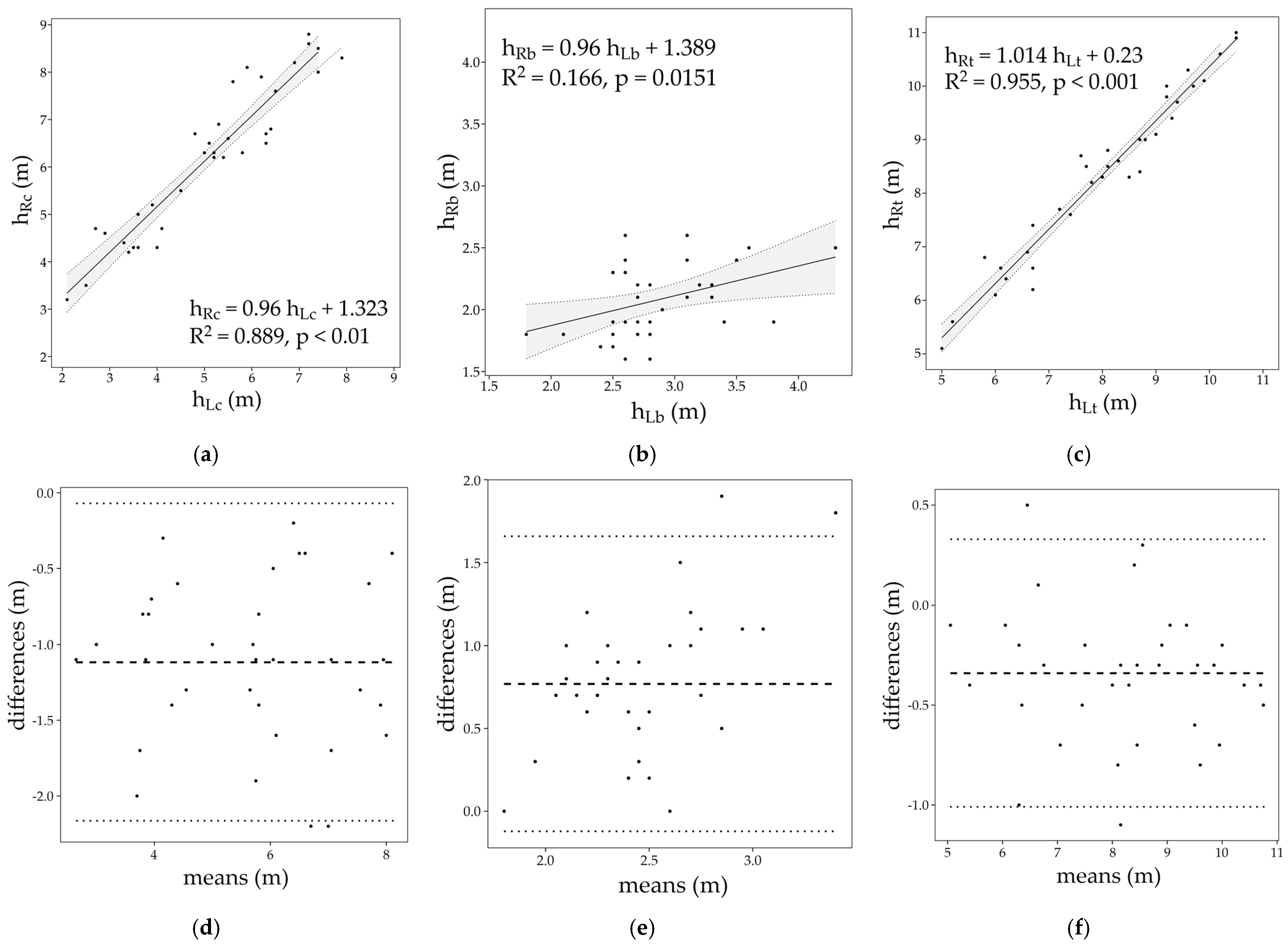
The model diagnosis confirmed that the assumptions relating to total height (Shapiro-Wilk test W = 0.988, p = 0.734; Levene’s test F = 0.063, p = 0.803) and crown height (W = 0.984, p = 0.538; F = 0.109, p = 0.742) were true. Crown base height exhibited slight deviations from normality (W = 0.959, p = 0.022) and modest heteroscedasticity (F = 4.052, p = 0.048; however, with n = 35 trees, the model remains robust to these minor violations, which are supported by the Central Limit Theorem. Intra-class correlation coefficients exceeded 0.1 in all the parameters (ICCTotal = 0.976, ICCBase = 0.357, ICCcrown = 0.943), thus confirming strong within-tree correlation and supporting the use of the mixed-effects approach. The mean differences between the two methods, both for the registered heights and crown heights, are very significant (Table 12) with p-values below 0.001. The negative values denote that LiDAR systematically underestimates heights in comparison to the rangefinder.
The differences are most prominent for crown base heights, whereas for total tree height, they are virtually absent, with some exceptions. There was significant correlation between methods for total tree height (R2 = 0.94, Figure 11c). LiDAR measurements yielded a mean of 8.0 m (SE = 0.26), whereas the measurements taken with the laser rangefinder threw a mean of 8.3 m (SE = 0.27), resulting in a mean difference of −0.34 m (IC 95%: [−0.46, −0.22], t34 = −5.99, p < 0.001). This difference represents an underestimation of 4.1% deriving from the LiDAR method compared against field measurements.
A Bland-Altman analysis [57] revealed a systematic bias of −0.34 m with limits of agreement ranging from −1.01 to 0.33 m (Figure 11f). The narrow agreement limits and the absence of proportional bias (correlation between differences and means: r = −0.171 p > 0.05) suggest good concordance between the methods. The critical difference of 0.67 m corresponds to the maximum expected disagreement for an individual tree at 95% confidence level. The difference identified (34 cm) is close to the expected range of growth for a 6-year interval (20–30 cm according to estimated ranges of growth), which suggests that the temporal change, rather than a systematic methodological bias, is an explanation for some of the discrepancies. The regression equation (Rangefinder = 0.23 + 1.014 × LiDAR, R2 = 0.955) showed a slope that was not significantly different from 1 (t34 = 1.77, p = 0.087) and an intersection that was not significantly different from 0 (t34 = 0.74, p = 0.466), which reveals proportional concordance between methods.
Crown base height proved little concordance between the methods, (Figure 11b). The LiDAR method overestimated the crown base height by 0.77 m (IC at 95%: [0.61, 0.93], t34 = 10.10, p < 0.001), which represents an overestimate of 37% in comparison to the measurements taken with a rangefinder. The Bland-Altman analysis revealed a significant proportional bias (r = 0.516, p = 0.002) for crown base heights (Figure 11e), with limits of concordance ranging from −0.12 to 1.66 m. The broad limits of concordance and the significant proportional bias suggest that the relations between the LiDAR and the rangefinder methods are not interchangeable, and they require regression-based correction.
This bias is attributed to the low-density of LiDAR returns for the lower crown sections, where foliage density is reduced by livestock grazing and natural crown architecture.
Crown height (total height minus crown base height) showed a mean difference of −1.12 m (95% CI: [−1.30, −0.93], t34 = −12.37, p < 0.001), with LiDAR systematically underestimating crown height by 18% compared to rangefinder measurements. This underestimation results from a combination of: (1) a slight underestimation of total height (possibly due to growth), and (2) a considerable overestimation of crown base height (methodological limitation).
The Bland-Altman analysis attributes a bias of −1.12 m to the crown height measured by both methods, with agreement limits between −2.16 and −0.07 m. (Figure 11d).
Despite the systematic bias, the correlation between the methods remained high (R2 = 0.889, Figure 11a), with the regression equation being
hRc = 1.323 + 0.96 × hLc.
The slope was not significantly different from 1 (t33 = −0.685, p = 0.003) and Bland-Altman analysis confirmed the absence of proportional bias (r = −0.052, p = 0.765), indicating that the underestimation remains constant across the range of crown heights. These findings demonstrate that a simple correction factor of +1.12 m can be applied to estimated heights using LiDAR to represent the heights measured in the field.
hRc = hLc + 1.12

3.2.4. Crown Volume

For the 35 selected trees, crown volume was estimated using the method described in 2.6, using LiDAR returns (VLi) and, secondarily, the TSVM approach (VPi). The individual results are presented in supplementary Table S2.
Crown volume measurements were compared using a paired t-test (n = 35 trees). TSVM measurements averaged 645.95 m2 (SE = 77.75), while LiDAR estimates averaged 511.01 m2 (SE = 65.17), resulting in a mean difference of 134.84 m2 between the two methods (95% CI: [94.07, 175.81], t34 = 6.71, p < 0.001). The LiDAR method systematically underestimated crown volume by 20.9% compared to TSVM measurements based on field measurements.
Significant differences were identified between the volume estimates obtained with the two methods (Table 13). The slice-based volume estimation relies on the presence of LiDAR points throughout the entire crown height. By overestimating the crown base height due to the absence of LiDAR returns, a systematic underestimation of the volume obtained by this method was to be expected.
Diagnostic tests revealed that the differences between methods violated the assumptions of normality (Shapiro-Wilk: W = 0.908, p = 0.007) and showed heteroscedasticity (Levene’s test: F = 4.474, p = 0.042). One outlier was identified (2.9% of observations) (tree No. 10), which showed substantially greater differences than other trees.
Given these violations of parametric assumptions, the results of the paired t-test were confirmed using the non-parametric Wilcoxon signed-rank test, which does not assume normality. The Wilcoxon test confirmed highly significant differences between the methods (V = 621, p = 1.92 × 10−9), with a mean difference of 120.77 m2 (95% CI: [86.30, 160.82]). The consistency between parametric (mean difference = 134.94 m2) and non-parametric (mean difference = 120.77 m2) analyses provides strong evidence of systematic underestimation by LiDAR data slicing, despite violations of distribution assumptions.
Linear regression revealed a strong correlation between the methods (R2 = 0.952, Figure 12a). The regression equation
VP = 51.098 + 1.164 × VL
showed a slope significantly greater than 1 (t33 = 3.61, p = 0.001), indicating that LIDAR-derived volumes increasingly underestimate the TSVM volumes as crown volume grows. In contrast, the intercept, which was not significantly different from 0 (t33 = 1.76, p = 0.087), suggested that any systematic bias is negligible for very small crowns but becomes more pronounced for larger ones.
The Bland-Altman analysis confirmed the significant proportional bias (r = 0.629, p < 0.001), with LiDAR-derived volume underestimation increasing systematically with crown volume (Figure 12b). The mean bias was −134.94 m2 with 95% concordance limits: −368.13 m2 to 98.26 m2. The total span of limits (466.39 m2) reflects substantial tree-to-tree variability in the magnitude of underestimation.
Because the bias is proportional rather than constant, a simple additive correction factor would be insufficient. Instead, the regression model (8) should be applied to adjust LiDAR-derived volume estimates. Using this correction increases the raw LiDAR values by approximately 16.4%, yielding a more accurate assessment of crown volume.
The systematic underestimation by LiDAR-based volume is mainly attributed to the overestimation of the crown base height (Section 3.2.2), which reduces the estimated crown height and, consequently, the calculated volume. The proportional nature of the bias reflects the cubic relationship between linear dimensions and volume, which amplifies small measurement errors in height parameters.

4. Discussion

4.1. Validation of Low-Density Aerial LiDAR for the Morphological Characterization of Woodlands in Dehesa Systems

This study demonstrates that the low-density airborne LiDAR dataset provided by the Spanish National Plan for Aerial Orthophotography (PNOA), with an average density of 2 pulses per m2, is adequate for the morphological characterization of trees in Mediterranean dehesa formations, even when data spans over a six-year period. The difference found in total tree height (−0.34 m) is consistent with the expected growth rates, calculated from the expected DBH growth relationship reported in ref. [36] and height-DBH allometry in ref. [43]; thus periodical LiDAR acquisitions remain operationally valuable, provided that their predictable, correctable biases are taken into account.
Authors in ref. [14] noted that Spanish national coverage LiDAR is widely used but its limitations for fine structure are not systematically quantified. This study partially addresses this gap, demonstrating that densities of 2 pulses per m2 suffice for total height and crown diameter but prove insufficient for detailed vertical structure (crown base height overestimated by +0.77 m, 37%). Studies with terrestrial LiDAR [31,58] report greater accuracy in vertical structure, but their cost prevents their application at landscape scale, where PNOA-LiDAR is the only feasible alternative.

4.2. Clustering in Vegetation Unit Segregation

The application of DBSCAN for the automatic segregation of tree vegetation units in dehesa systems is the main methodological contribution of this study. DBSCAN, a density-based algorithm that groups points by their spatial proximity without requiring the previous specification of the number of clusters, proved ideal for the heterogeneous structure of dehesas, where vegetation units vary between 1 and 50 trees with crown overlap.
Our parameters (ε = 1.7 m, minPts = 2) are based on the intrinsic characteristics of the LiDAR dataset in response to the dehesa formations of interest. The algorithm identified 1230 vegetation units with 99.8% accuracy (only 2 false positives) and 97.3% recall (34 false negatives), producing an F-score of 98.5%.
In ref. [3] a methodology was developed for the automatic identification of ecological units in dehesa systems using object-based image analysis on RGB orthophotos, reporting good results but requiring supervised classification. This DBSCAN-based approach to LiDAR data is completely unsupervised, eliminating the need for training and automatically generalizing to different areas. Ojeda-Magaña et al. [25] identified tree crowns in extremaduran dehesas using the GK-B algorithm, but this algorithm requires the prior specification of a parameter related to the number of clusters to be identified, a limitation that DBSCAN overcomes.
The temporal complexity of DBSCAN is O(n log n) with spatial indices allowing the million LiDAR returns from this working area (116 ha) to be processed efficiently. Comparative studies [44,59] confirm that DBSCAN is superior to k-means, CLARANS and other partitioning algorithms for spatial data with random clusters, which is precisely the situation in Iberian dehesas, where vegetation units have irregular geometries determined by management history, competition and topography.

4.3. Concaveman for Crown Delineation

After segregation with DBSCAN, Concaveman was used to delineate crown perimeters. This algorithm, based on Delaunay triangulation with concavity-adjusted pruning, generates concave hulls that accurately capture the irregular geometry of Q. ilex crowns in dehesas, when visually compared against an orthophoto.
Concaveman, with an intuitive concavity parameter (0.7 in this work) and O(n log n) complexity, provides a practical solution. The DBSCAN + Concaveman combination automatically processes from raw point clouds to crown vector geometries without manual intervention, which is critical for large-scale operational applications.

4.4. Comparison of Results: Diameters, Heights, and Volume

4.4.1. Crown Diameters

The GNSS-LiDAR discrepancy of 0.96 m (~7.5%) is consistent with other values reported in the literature. For example, Moreno et al. [8], on comparing terrestrial LiDAR with traditional methods in planted coniferous stands, reported R2 = 0.95 and RMSE = 0.341 cm for crown diameter measurements, which are similar values to the values reported in this study. Although their study benefitted from much higher point density (terrestrial versus airborne LiDAR), the similarity of the goodness-of-fit statistics underscores that the level of agreement revealed by the low-density airborne dataset is within the expected range for LiDAR-based forest measurements.
The absence of proportional bias (r = −0.171, p = 0.326, Bland-Altman) indicates that the difference is constant across the entire size range, facilitating correction by a simple additive factor. This contrasts with results in ref. [60] in Pinus sylvestris L., where significant proportional bias was detected, attributed to differences in crown architecture between conifers and broadleaves.

4.4.2. Crown Heights

LiDAR underestimates total height by 0.34 m (4.1%), comparable to the 3%–6% reported by [15] integrating LiDAR from the PNOA with the National Forest Inventory in north-eastern Spain and is close to the expected growth of 20-30 cm in height over a 6-year period. So, the observed discrepancy is almost entirely attributable to natural tree growth rather than to LiDAR measurement error.
In contrast, the overestimation of base height (+0.77 m, 37%) represents a genuine methodological limitation rather than a temporal effect, as crown base height in grazed dehesas remains relatively stable due to continuous livestock browsing. This bias shows proportional characteristics (r = 0.516, p = 0.002) and is consistent with the findings of other studies [30] which reported an overestimation of approximately 20%.
Blázquez-Casado et al. [61] reported similar difficulties in characterizing the lower vertical structure in mixed Mediterranean forests using low-density LiDAR, attributing this to limited laser penetration in dense canopies. The present case differs in that the lower crown has low leaf density due to livestock browsing, yet the low pulse density (2 pulses per m2) is insufficient to detect the true ground-crown transition. These limitations were confirmed in ref. [62] by modeling the vertical distribution of fuels with PNOA LiDAR.

4.4.3. Crown Volume

The LiDAR-derived volume underestimates the true crown volume by 134.94 m3 (20.9%) with significant proportional bias (r = 0.629, p < 0.001). Consequently, a regression-based correction (VP = 51.10 + 1.164 × VL, R2 = 0.952) is required. Zhu et al. [51] in their comprehensive review of crown volume methods, reported that computational geometry approaches using airborne LiDAR typically achieve R2 values of 0.85–0.93. The present model (R2 = 0.952) exceeds the upper bound of that reported range, indicating a particularly strong fit for the dataset under study.
Using high-density vehicle-mounted LiDAR and a concave hull slicing method, differences of 15%–25% were found compared to manual measurements, attributing discrepancies to undetected internal crown gaps [31]. The present 20.9% is consistent with this range, but the underlying cause differs, i.e., the overestimation of base height propagates cubic error to volume. In estimating crown volumes in olive trees using various methods [52], a variability of 15%–25% between techniques has been reported, confirming that crown volume estimation carries inherent uncertainty even with advanced techniques.

4.5. Uncertainty Propagation from TSVM Reference Measurements

While TSVM served as the field reference (ground truth) for crown volume validation in this study, it is important to recognize that this method itself carries non-negligible uncertainty. TSVM volume estimates are subject to errors arising from silhouette delineation accuracy, camera perspective effects, scaling based on field-measured dimensions, and the assumption of rotational symmetry in asymmetric crowns. Although some of these limitations were mitigated by acquiring eight perimeter photographs per tree, previous studies [52] have reported that different crown volume estimation methods may vary by 15%–25% even under controlled conditions.
This inherent TSVM uncertainty propagates into presented regression correction models. The reported 20.9% LiDAR underestimation should therefore be interpreted as the discrepancy between two imperfect methods rather than as absolute error relative to true crown volume. Nevertheless, the strong correlation between methods (R2 = 0.952) and the consistency of bias patterns suggest that the regression correction provides substantial practical improvement over uncorrected LiDAR volumes, even if absolute accuracy remains somewhat uncertain, because of the problematic ground truth acquisition.

4.6. Implications and Limitations

The methodological flow DBSCAN → Concaveman → volume calculation by slices is fully automated and scalable to large areas, a critical advantage over supervised methods or those requiring manual processing. The validity of historical LiDAR data (6 years) significantly extends the usefulness of the national PNOA archive, which is updated periodically, but is freely accessible.
The main limitations are: (1) insufficient density of 2 LiDAR pulses per m2 for detailed vertical structure, (2) specific correction equations for dehesa formations with cattle grazing and Q. ilex, requiring validation in other contexts, and (3) the TSVM reference method assumes imperfect rotational symmetry in real crowns, although in this study this limitation has been overcome by taking 8 perimeter photographs.
Future research should evaluate whether machine learning techniques [9] improve crown boundary detection in low-density LiDAR and validate the approach in Iberian dehesas with different compositions (dominant or mixed cork oak trees) and management regimes (no grazing, pruning).

5. Conclusions

This study validates the use of the low-density airborne LiDAR technique from the PNOA (2 pulses per m2) for morphological characterization of trees in Mediterranean dehesa formations, demonstrating that historical data from six years remain operationally valid with predictable biases. The site-specific correction equations developed here provide a methodological framework that should be recalibrated and validated before application to other dehesa contexts with different management regimes, species compositions, or environmental conditions.
The main methodological contribution is the successful application of DBSCAN for automatic and unsupervised segregation of tree vegetation units, achieving an F-score of 98.5% without requiring the specification of the number of clusters in advance, overcoming the limitations of partitioning algorithms. The combination with the Concaveman approach for crown delineation provides a fully automated workflow from raw point clouds to accurate vector geometries.
Validation results on 35 individual Q. ilex trees show: (1) diameters with R2 = 0.985 and LiDAR-GNSS difference of −0.96 m without proportional bias, (2) total height with a difference of −0.34 m consistent with expected growth, but (3) crown base height with an overestimation of +0.77 m and significant proportional bias due to insufficient density for vertical structure, and (4) volume with an underestimation of 20.9% and R2 = 0.952, correctable with provided regression. While quantitative validation was restricted to isolated trees due to ground-truth measurement constraints, the visual concordance between LiDAR-derived delineations and orthophotography across all vegetation supports the broader applicability of the methodology.
The correction equations developed (height, diameter, volume) substantially improve the practical usefulness of the PNOA-LiDAR datasets for forest management in dehesa systems facilitating the integration of historical data and the evaluation of temporal changes in tree structure. The DBSCAN + Concaveman methodology is scalable at regional level, presenting new opportunities for automated forest inventories across millions of hectares of Spanish dehesas and Portuguese montados.

Supplementary Materials

The following supporting information can be downloaded at https://www.mdpi.com/article/10.3390/f17010016/s1: Figure S1: Comprehensive model diagnostic statistical assumptions validation. (a) Q-Q plot for satisfied normality test. (b) Residuals vs. fitted showing LOESS line horizontality, satisfying homoscedasticity. (c) Residuals by method with positive verification of equality of variances. (d) Standardized Residuals: 4 outliers in total (1.4%), within acceptable range. Table S1: Variance components from mixed-effects model for crown diameters. The percentage indicates the contribution of each component and the resulting intra-class correlation coefficient. Table S2: Raw volumes for selected trees in cubic meters. VLi: volume by slice method with LiDAR dataset, VPi: volume by TSVM with photographs.

Author Contributions

Conceptualization, A.J.M.-C., M.A.M.-T. and Á.M.F.; methodology, A.J.M.-C., M.A.M.-T. and Á.M.F.; software, A.J.M.-C.; validation, A.J.M.-C., M.A.M.-T. and Á.M.F.; formal analysis, A.J.M.-C.; investigation, A.J.M.-C.; resources, A.J.M.-C.; data curation, A.J.M.-C.; writing—original draft preparation, A.J.M.-C.; writing—review and editing, A.J.M.-C. and M.A.M.-T.; visualization, M.A.M.-T.; supervision, M.A.M.-T.; project administration, A.J.M.-C.; funding acquisition, A.J.M.-C. All authors have read and agreed to the published version of the manuscript.

Funding

This research forms part of the AGROALNEXT program and was supported by MCIN with funding from European Union NextGenerationEU (PRTR-C17.I1).

Data Availability Statement

The original data presented in the study are openly available in Zenodo at https://zenodo.org/uploads/17337500, accessed on 18 December 2025.

Acknowledgments

The authors wish to thank Álvaro Rodríguez Expósito, José Antonio Sánchez Caballero, Olga Carrillo Cupido, and Paula Montero Jiménez for their contributions to field data collection. We also gratefully acknowledge the Municipality of Santibáñez el Bajo for its willingness to permit tree marking and to facilitate the execution of our fieldwork. Thanks to María José Trinidad Lozano and Pablo Rodríguez Heredero for their proactive and resolutive coordination in overcoming administrative hurdles. During the preparation of this manuscript, the authors used Lumo (free tier, v1.2) and Claude Pro (Claude Sonnet v4.5) as support for translating specific terms and expressions and for providing explanations of certain statistical techniques. The authors have reviewed and edited the output and take full responsibility for the content of this publication.

Conflicts of Interest

The authors declare no conflicts of interest. The funders had no role in the design of the study; in the collection, analyses, or interpretation of data; in the writing of the manuscript; or in the decision to publish the results.

Abbreviations

The following abbreviations are used in this manuscript:
CNIGCentro Nacional de Información Geográfica
CLARANSClustering Large Applications based on RANdomized Search
DBHDiameter at Breast Height (diámetro normal)
DBSCANDensity-Based Spatial Clustering of Applications with Noise
DENCLUEDENsity-Based CLUstEring
DTMDigital Terrain Model (modelo digital del terreno)
FNFalse Negative
FPFalse Positive
GADAGeneralized Algebraic Difference Approach
GNSSGlobal Navigation Satellite System
GPSGlobal Positioning System
ICCIntraclass Correlation Coefficient
KNNK-Nearest Neighbors
LiDARLight Detection and Ranging
OPTICSOrdering Points to Identify the Clustering Structure
PNOAPlan Nacional de Ortofotografía Aérea
RMSERoot Mean Square Error
SEStandard Error
STINGSTatistical INformation Grid
TNTrue Negative
TPTrue Positive
TSVMTree Silhouette Volume Method
VUVegetation Unit

References

  1. Robla González, E.; Nogales Ruiz, I.; Lerner Cuzzi, M.; Fernández Ramiro, M.M.; Cervelló Royo, J.L.; Ballesteros Gutiérrez, J.D. Mapa Forestal de España a Escala 1:25.000. Fin de Un Ciclo.; Ministerio para la Transición Ecológica y el Reto Demográfico; Tecnologías y Servicios Agrarios S.A.: Bogotá, Colombia, 2025. [Google Scholar]
  2. Moreno, G.; Gonzalez-Bornay, G.; Pulido, F.; Lopez-Diaz, M.L.; Bertomeu, M.; Juárez, E.; Diaz, M. Exploring the Causes of High Biodiversity of Iberian Dehesas: The Importance of Wood Pastures and Marginal Habitats. Agrofor. Syst. 2016, 90, 87–105. [Google Scholar] [CrossRef]
  3. Martínez-Ruedas, C.; Guerrero-Ginel, J.E.; Fernández-Ahumada, E. A Methodology for Automatic Identification of Units with Ecological Significance in Dehesa Ecosystems. Forests 2022, 13, 581. [Google Scholar] [CrossRef]
  4. Arenas Corraliza, I.M. Aplicación de Tecnologías de la Información Geográfica Para la Monitorización de Los Efectos Del Arbolado Sobre Los Pastos de la Dehesa Extremeña; Universidad de Extremadura: Badajoz, Spain, 2022. [Google Scholar]
  5. Anzum, R.; Habaebi, M.H.; Islam, M.R.; Hakim, G.P.N. Modeling and Quantifying Palm Trees Foliage Loss Using LoRa Radio Links for Smart Agriculture Applications. In Proceedings of the 2021 IEEE 7th International Conference on Smart Instrumentation, Measurement and Applications (ICSIMA), Bandung, Indonesia, 23–25 August 2021; pp. 105–110. [Google Scholar]
  6. Avila-Campos, P.; Astudillo-Salinas, F.; Vazquez-Rodas, A.; Araujo, A. Evaluation of LoRaWAN Transmission Range for Wireless Sensor Networks in Riparian Forests. In Proceedings of the 22nd International ACM Conference on Modeling, Analysis and Simulation of Wireless and Mobile Systems, Miami Beach, FL, USA, 25 November 2019; Association for Computing Machinery: New York, NY, USA, 2019; pp. 199–206. [Google Scholar]
  7. Fragoso-Campón, L.; Rosado, E.Q.; Gallego, J.A.G. Clasificación supervisada de imágenes PNOA-NIR y fusión con datos LiDAR-PNOA como apoyo en el inventario forestal. Caso de estudio: Dehesas. Cuad. De La Soc. Española De. Cienc. For. 2019, 45, 77–96. [Google Scholar] [CrossRef]
  8. Moreno, J.A.H.; Pérez-Salicrup, D.R.; Velázquez-Martínez, A. Medición de parámetros de inventario forestal en bosques plantados, mediante tecnología LiDAR: Comparación de métodos. Rev. Mex. De Cienc. For. 2024, 16, 72–99. [Google Scholar] [CrossRef]
  9. López Serrano, F.R.; Rubio, E.; García Morote, F.A.; Andrés Abellán, M.; Picazo Córdoba, M.I.; García Saucedo, F.; Martínez García, E.; Sánchez García, J.M.; Serena Innerarity, J.; Carrasco Lucas, L.; et al. Artificial Intelligence-Based Software (AID-FOREST) for Tree Detection: A New Framework for Fast and Accurate Forest Inventorying Using LiDAR Point Clouds. Int. J. Appl. Earth Obs. Geoinf. 2022, 113, 103014. [Google Scholar] [CrossRef]
  10. Coops, N.C.; Tompalski, P.; Goodbody, T.R.H.; Queinnec, M.; Luther, J.E.; Bolton, D.K.; White, J.C.; Wulder, M.A.; van Lier, O.R.; Hermosilla, T. Modelling Lidar-Derived Estimates of Forest Attributes over Space and Time: A Review of Approaches and Future Trends. Remote Sens. Environ. 2021, 260, 112477. [Google Scholar] [CrossRef]
  11. Penner, M.; White, J.C.; Woods, M.E. Automated Characterization of Forest Canopy Vertical Layering for Predicting Forest Inventory Attributes by Layer Using Airborne LiDAR Data. Forestry 2024, 97, 59–75. [Google Scholar] [CrossRef]
  12. Badouard, V.; Verley, P.; Bai, Y.; Sellan, G.; Françoise, L.; Marcon, E.; Derroire, G.; Vincent, G. Using High Penetration Airborne LiDAR and Dense UAV Scanning to Produce Accurate 3D Maps of Light Availability in Dense Tropical Forest. Agric. For. Meteorol. 2025, 373, 110713. [Google Scholar] [CrossRef]
  13. IGN Centro Nacional de Información Geográfica. Plan Nacional de Ortofotografía Aérea. 2019. Available online: https://pnoa.ign.es/ (accessed on 9 April 2024).
  14. Gómez, C.; Alejandro, P.; Hermosilla, T.; Montes, F.; Pascual, C.; Ruiz, L.A.; Álvarez-Taboada, F.; Tanase, M.; Valbuena, R. Remote Sensing for the Spanish Forests in the 21st Century: A Review of Advances, Needs, and Opportunities. For. Syst. 2019, 28, eR001. [Google Scholar] [CrossRef]
  15. Novo-Fernández, A.; Barrio-Anta, M.; Recondo, C.; Cámara-Obregón, A.; López-Sánchez, C.A. Integration of National Forest Inventory and Nationwide Airborne Laser Scanning Data to Improve Forest Yield Predictions in North-Western Spain. Remote Sens. 2019, 11, 1693. [Google Scholar] [CrossRef]
  16. Ferrer Palomino, A.; Silva, F.R. y Fuel Modelling Characterisation Using Low-Density LiDAR in the Mediterranean: An Application to a Natural Protected Area. Forests 2021, 12, 1011. [Google Scholar] [CrossRef]
  17. Tijerín-Triviño, J.; Moreno-Fernández, D.; Zavala, M.A.; Astigarraga, J.; García, M. Identifying Forest Structural Types along an Aridity Gradient in Peninsular Spain: Integrating Low-Density LiDAR, Forest Inventory, and Aridity Index. Remote Sens. 2022, 14, 235. [Google Scholar] [CrossRef]
  18. Borlaf-Mena, I.; Tanase, M.A.; Gómez-Sal, A. Methods for Tree Cover Extraction from High Resolution Orthophotos and Airborne LiDAR Scanning in Spanish Dehesas. Rev. Teledetección 2019, 53, 17–32. [Google Scholar] [CrossRef]
  19. Zhao, K.; Suarez, J.C.; Garcia, M.; Hu, T.; Wang, C.; Londo, A. Utility of Multitemporal Lidar for Forest and Carbon Monitoring: Tree Growth, Biomass Dynamics, and Carbon Flux. Remote Sens. Environ. 2018, 204, 883–897. [Google Scholar] [CrossRef]
  20. Rodda, S.R.; Fararoda, R.; Gopalakrishnan, R.; Jha, N.; Réjou-Méchain, M.; Couteron, P.; Barbier, N.; Alfonso, A.; Bako, O.; Bassama, P.; et al. LiDAR-Based Reference Aboveground Biomass Maps for Tropical Forests of South Asia and Central Africa. Sci. Data 2024, 11, 334. [Google Scholar] [CrossRef] [PubMed]
  21. Bald, L.; Ziegler, A.; Gottwald, J.; Koch, T.L.; Ludwig, M.; Meyer, H.; Wöllauer, S.; Zeuss, D.; Frieß, N. Leveraging Heterogeneous LiDAR Data to Model Successional Stages at Tree Species Level in Temperate Forests. Environ. Data Sci. 2024, 3, e24. [Google Scholar] [CrossRef]
  22. Hui, Z.; Jin, S.; Xia, Y.; Wang, L.; Yevenyo Ziggah, Y.; Cheng, P. Wood and Leaf Separation from Terrestrial LiDAR Point Clouds Based on Mode Points Evolution. ISPRS J. Photogramm. Remote Sens. 2021, 178, 219–239. [Google Scholar] [CrossRef]
  23. Dalponte, M.; Reyes, F.; Kandare, K.; Gianelle, D. Delineation of Individual Tree Crowns from ALS and Hyperspectral Data: A Comparison among Four Methods. Eur. J. Remote Sens. 2015, 48, 365–382. [Google Scholar] [CrossRef]
  24. Wagner, F.H.; Ferreira, M.P.; Sanchez, A.; Hirye, M.C.M.; Zortea, M.; Gloor, E.; Phillips, O.L.; de Souza Filho, C.R.; Shimabukuro, Y.E.; Aragão, L.E.O.C. Individual Tree Crown Delineation in a Highly Diverse Tropical Forest Using Very High Resolution Satellite Images. ISPRS J. Photogramm. Remote Sens. 2018, 145, 362–377. [Google Scholar] [CrossRef]
  25. Ojeda-Magaña, B.; Ruelas, R.; Quintanilla, J.; Gómez, L.; Herrera, J.; Robledo, J.; Tarquis, A. Automatic Identification of the Area Covered by Acorn Trees in the Dehesa (Pastureland) Extremadura of Spain. Comput. Electron. Agric. 2020, 172, 105289. [Google Scholar] [CrossRef]
  26. Ester, M.; Kriegel, H.-P.; Sander, J.; Xu, X. A Density-Based Algorithm for Discovering Clusters in Large Spatial Databases with Noise. In Proceedings of the 2nd International Conference on Knowledge Discovery and Data Mining, Portland, OR, USA, 2–4 August 1996; AAAI Press: Portland, OR, USA, 1996; pp. 226–231. [Google Scholar]
  27. Hahsler, M.; Piekenbrock, M.; Doran, D. Dbscan: Fast Density-Based Clustering with R. J. Stat. Softw. 2019, 91, 1–30. [Google Scholar] [CrossRef]
  28. Chen, Q.; Wang, X.; Hang, M.; Li, J. Research on the Improvement of Single Tree Segmentation Algorithm Based on Airborne LiDAR Point Cloud. Open Geosci. 2021, 13, 266. [Google Scholar] [CrossRef]
  29. Neuville, R.; Bates, J.S.; Jonard, F. Estimating Forest Structure from UAV-Mounted LiDAR Point Cloud Using Machine Learning. Remote Sens. 2021, 13, 352. [Google Scholar] [CrossRef]
  30. Korhonen, L.; Vauhkonen, J.; Virolainen, A.; Hovi, A.; Korpela, I. Estimation of Tree Crown Volume from Airborne Lidar Data Using Computational Geometry. Int. J. Remote Sens. 2013, 34, 7236–7248. [Google Scholar] [CrossRef]
  31. Yan, Z.; Liu, R.; Cheng, L.; Zhou, X.; Ruan, X.; Xiao, Y. A Concave Hull Methodology for Calculating the Crown Volume of Individual Trees Based on Vehicle-Borne LiDAR Data. Remote Sens. 2019, 11, 623. [Google Scholar] [CrossRef]
  32. Moreira, A.; Santos, M.Y. Concave Hull: A k-Nearest Neighbours Approach for the Computation of the Region Occupied by a Set of Points. In Proceedings of the Second International Conference on Computer Graphics Theory and Applications, Barcelona, Spain, 11 March 2007; Volume 2, pp. 61–68. [Google Scholar]
  33. Martínez, S.; Rita, A.; Paloma, A.P. Revista Del Ministerio De Transportes Y Movilidad Sostenible; Ministry of Transport and Sustainable Mobility: Madrid, Spain, 2024; pp. 76–87. [Google Scholar]
  34. Martín, D.; Vázquez-Piqué, J.; Fernández, M.; Alejano, R. Effect of Ecological Factors on Intra-Annual Stem Girth Increment of Holm Oak. Trees 2014, 28, 1367–1381. [Google Scholar] [CrossRef]
  35. Mayor Farguell, X.; Rodrigo Domínguez, A.; Belmonte, R.; Rodà, F.; Piñol, J. Crecimiento Diametral de La Encina (Quercus ilex L.) En Un Año de Abundante Precipitación Estival: Efecto de La Irrigación Previa y de La Fertilización. Orsis 1994, 9, 13–23. [Google Scholar]
  36. Gea-Izquierdo, G.; Martín-Benito, D.; Cherubini, P.; Cañellas, I. Climate-Growth Variability in Quercus ilex L. West Iberian Open Woodlands of Different Stand Density. Ann. For. Sci. 2009, 66, 802. [Google Scholar] [CrossRef]
  37. Gea-Izquierdo, G.; Cañellas, I.; Montero, G. Site Index in Agroforestry Systems: Age-Dependent and Age-Independent Dynamic Diameter Growth Models for Quercus ilex in Iberian Open Oak Woodlands. Can. J. For. Res. 2008, 38, 101–113. [Google Scholar] [CrossRef]
  38. Roussel, J.-R.; Auty, D.; Coops, N.C.; Tompalski, P.; Goodbody, T.R.H.; Meador, A.S.; Bourdon, J.-F.; De Boissieu, F.; Achim, A. lidR: An R Package for Analysis of Airborne Laser Scanning (ALS) Data. Remote Sens. Environ. 2020, 251, 112061. [Google Scholar] [CrossRef]
  39. Roussel, J.-R.; Auty, D. Airborne LiDAR Data Manipulation and Visualization for Forestry Applications. Remote Sens. Environ. 2025, 251, 112061. [Google Scholar] [CrossRef]
  40. R Core Team. R: A Language and Environment for Statistical Computing; R Foundation for Statistical Computing: Vienna, Austria, 2025. [Google Scholar]
  41. Ayanz, A.S.M. La Dehesa Española: Origen, Tipología, Características y Gestión; Fundación Conde del Valle de Salazar: Madrid, Spain, 1994; ISBN 978-84-86793-24-1. [Google Scholar]
  42. Rebollo, P.F.; Muñoz, M.D.C.; Moreno, A.G. Dehesas de encinas: El árbol que modeló el sistema y el sistema que moldeó al árbol. Ambienta 2014, 108, 94–105. Available online: https://www.revistaambienta.es/es/historico/2014/108.html (accessed on 30 September 2025).
  43. Berta, A.; Levanič, T.; Stojsavljević, D.; Kušan, V. Site Index and Volume Growth Percentage Determination for Privately Owned Uneven-Aged Stands of Quercus pubescens and Quercus ilex along the Croatian Adriatic Coast. South-East Eur. For. 2019, 10, 65–75. [Google Scholar] [CrossRef]
  44. Ezugwu, A.E.; Ikotun, A.M.; Oyelade, O.O.; Abualigah, L.; Agushaka, J.O.; Eke, C.I.; Akinyelu, A.A. A Comprehensive Survey of Clustering Algorithms: State-of-the-Art Machine Learning Applications, Taxonomy, Challenges, and Future Research Prospects. Eng. Appl. Artif. Intell. 2022, 110, 104743. [Google Scholar] [CrossRef]
  45. Xu, D.; Tian, Y. A Comprehensive Survey of Clustering Algorithms. Ann. Data. Sci. 2015, 2, 165–193. [Google Scholar] [CrossRef]
  46. Ajmal, O.; Mumtaz, S.; Arshad, H.; Soomro, A.; Hussain, T.; Attar, R.W.; Alhomoud, A. Enhanced Parameter Estimation of DENsity CLUstEring (DENCLUE) Using Differential Evolution. Mathematics 2024, 12, 2790. [Google Scholar] [CrossRef]
  47. Ankerst, M.; Breunig, M.M.; Kriegel, H.-P.; Sander, J. OPTICS: Ordering Points to Identify the Clustering Structure. SIGMOD Rec. 1999, 28, 49–60. [Google Scholar] [CrossRef]
  48. Edelsbrunner, H.; Kirkpatrick, D.; Seidel, R. On the Shape of a Set of Points in the Plane. IEEE Trans. Inf. Theory 1983, 29, 551–559. [Google Scholar] [CrossRef]
  49. Park, J.-S.; Oh, S.-J. A New Concave Hull Algorithm and Concaveness Measure for N-Dimensional Datasets. J. Inf. Sci. Eng. 2012, 28, 587–600. [Google Scholar] [CrossRef]
  50. Gombin, J.; Vaidyanathan, R.; Agafonkin, V. Concaveman: A Very Fast 2D Concave Hull Algorithm, R Package Version 1.1.0; 2020. Available online: https://CRAN.R-project.org/package=concaveman (accessed on 17 March 2025).
  51. Zhu, Z.; Kleinn, C.; Nölke, N. Assessing Tree Crown Volume—A Review. For. Int. J. For. Res. 2021, 94, 18–35. [Google Scholar] [CrossRef]
  52. Miranda-Fuentes, A.; Llorens, J.; Gamarra-Diezma, J.L.; Gil-Ribes, J.A.; Gil, E. Towards an Optimized Method of Olive Tree Crown Volume Measurement. Sensors 2015, 15, 3671–3687. [Google Scholar] [CrossRef]
  53. Maťašovská, V.; Kratina, J.; Kabeláč, R. QFIELD—Mobile Application for Data Collection Established on the Principles of Open Source Software. Vodohospodářské Tech.-Ekon. Inf. 2024, 66, 22–28. [Google Scholar] [CrossRef]
  54. Schindelin, J.; Arganda-Carreras, I.; Frise, E.; Kaynig, V.; Longair, M.; Pietzsch, T.; Preibisch, S.; Rueden, C.; Saalfeld, S.; Schmid, B.; et al. Fiji: An Open-Source Platform for Biological-Image Analysis. Nat. Methods 2012, 9, 676–682. [Google Scholar] [CrossRef]
  55. Lumley, T.; Diehr, P.; Emerson, S.; Chen, L. The Importance of the Normality Assumption in Large Public Health Data Sets. Annu. Rev. Public. Health 2002, 23, 151–169. [Google Scholar] [CrossRef]
  56. Sokolova, M.; Lapalme, G. A Systematic Analysis of Performance Measures for Classification Tasks. Inf. Process. Manag. 2009, 45, 427–437. [Google Scholar] [CrossRef]
  57. Giavarina, D. Understanding Bland Altman Analysis. Biochem. Med. 2015, 25, 141–151. [Google Scholar] [CrossRef] [PubMed]
  58. Terryn, L.; Calders, K.; Åkerblom, M.; Bartholomeus, H.; Disney, M.; Levick, S.; Origo, N.; Raumonen, P.; Verbeeck, H. Analysing Individual 3D Tree Structure Using the R Package ITSMe. Methods Ecol. Evol. 2023, 14, 231–241. [Google Scholar] [CrossRef]
  59. Xu, R.; Wunsch, D. Survey of Clustering Algorithms. IEEE Trans. Neural Netw. 2005, 16, 645–678. [Google Scholar] [CrossRef]
  60. Valbuena-Rabadán, M.-Á.; Santamaría-Peña, J.; Sanz-Adán, F. Estimation of Diameter and Height of Individual Trees for Pinus sylvestris L. Based on the Individualising of Crowns Using Airborne LiDAR and the National Forestry Inventory Data. For. Syst. 2016, 25, e046. [Google Scholar] [CrossRef]
  61. Blázquez-Casado, Á.; Calama, R.; Valbuena, M.; Vergarechea, M.; Rodríguez, F. Combining Low-Density LiDAR and Satellite Images to Discriminate Species in Mixed Mediterranean Forest. Ann. For. Sci. 2019, 76, 57. [Google Scholar] [CrossRef]
  62. González-Ferreiro, E.; Arellano-Pérez, S.; Castedo-Dorado, F.; Hevia, A.; Vega, J.A.; Vega-Nieva, D.; Álvarez-González, J.G.; Ruiz-González, A.D. Modelling the Vertical Distribution of Canopy Fuel Load Using National Forest Inventory and Low-Density Airbone Laser Scanning Data. PLoS ONE 2017, 12, e0176114. [Google Scholar] [CrossRef] [PubMed]
Figure 1. Geographical situation of the area under study: (a) Location of the Iberian Peninsula; (b) area under study.
Figure 1. Geographical situation of the area under study: (a) Location of the Iberian Peninsula; (b) area under study.
Forests 17 00016 g001
Figure 2. Workflow for data processing.
Figure 2. Workflow for data processing.
Forests 17 00016 g002
Figure 3. The operation of the DBSCAN algorithm, for a given ε distance.
Figure 3. The operation of the DBSCAN algorithm, for a given ε distance.
Forests 17 00016 g003
Figure 4. DBSCAN parameter selection. (a) 2 m × 2 m cell classification based on neighborhood relations. (b) Density of LiDAR returns per m2.
Figure 4. DBSCAN parameter selection. (a) 2 m × 2 m cell classification based on neighborhood relations. (b) Density of LiDAR returns per m2.
Forests 17 00016 g004
Figure 5. Crown delineation methods. (a) Convex hull; (b) concave hull; (c) grid based.
Figure 5. Crown delineation methods. (a) Convex hull; (b) concave hull; (c) grid based.
Forests 17 00016 g005
Figure 6. Distribution of LiDAR returns in tree crown. (a) Slice limits where LiDAR returns are present. (b) Histogram of LiDAR return frequencies by tree height class.
Figure 6. Distribution of LiDAR returns in tree crown. (a) Slice limits where LiDAR returns are present. (b) Histogram of LiDAR return frequencies by tree height class.
Forests 17 00016 g006
Figure 7. Tree num. 21. (a) Bounding boxes (north and north-west); (b) geographical location from where the photographs were taken; (c) silhouettes of crown seen from E, N, NE and SE; (d) volume calc from hemi-silhouette.
Figure 7. Tree num. 21. (a) Bounding boxes (north and north-west); (b) geographical location from where the photographs were taken; (c) silhouettes of crown seen from E, N, NE and SE; (d) volume calc from hemi-silhouette.
Forests 17 00016 g007
Figure 8. False positives. (a) Misclassification in the original LiDAR dataset. (b) Trees that disappeared between the LiDAR acquisition and the orthophotos capture dates, leading to apparent false positives.
Figure 8. False positives. (a) Misclassification in the original LiDAR dataset. (b) Trees that disappeared between the LiDAR acquisition and the orthophotos capture dates, leading to apparent false positives.
Forests 17 00016 g008
Figure 9. Dispersion of tree coordinates calculated with LiDAR operations (xL,yl) vs. GNSS (xG, yG). The gray squares are individual differences. The black dot is the mean difference between x and y. All units are expressed in meters.
Figure 9. Dispersion of tree coordinates calculated with LiDAR operations (xL,yl) vs. GNSS (xG, yG). The gray squares are individual differences. The black dot is the mean difference between x and y. All units are expressed in meters.
Forests 17 00016 g009
Figure 10. Relation between diameters measured by GNSS positions (dG) and diameters measured over generated crown polygons with LiDAR returns (dL).
Figure 10. Relation between diameters measured by GNSS positions (dG) and diameters measured over generated crown polygons with LiDAR returns (dL).
Forests 17 00016 g010
Figure 11. Relationship between laser rangefinder measurements (hR) and LiDAR-derived heights (hL) with corresponding Bland-Altman plots. (a,d) Tree crown height. (b,e) Crown base height. (c,f) Total tree height. Upper panels show linear regressions; lower panels show agreement analysis with dashed line representing the mean bias and the dotted lines indicating the 95% limits of agreement.
Figure 11. Relationship between laser rangefinder measurements (hR) and LiDAR-derived heights (hL) with corresponding Bland-Altman plots. (a,d) Tree crown height. (b,e) Crown base height. (c,f) Total tree height. Upper panels show linear regressions; lower panels show agreement analysis with dashed line representing the mean bias and the dotted lines indicating the 95% limits of agreement.
Forests 17 00016 g011
Figure 12. Relation between LiDAR and TSVM crown volumes. (a) Linear relation between VL and VP with confidence intervals. (b) Bland-Altman plot assessing the agreement between methods for VL-VP differences.
Figure 12. Relation between LiDAR and TSVM crown volumes. (a) Linear relation between VL and VP with confidence intervals. (b) Bland-Altman plot assessing the agreement between methods for VL-VP differences.
Forests 17 00016 g012
Table 1. Coordinates of the area under study. Datum ETRS89, UTM Zone 29 projection.
Table 1. Coordinates of the area under study. Datum ETRS89, UTM Zone 29 projection.
UTM EPSG 25829 CoordinatesXYEnclosed Area
1735,2004,452,0001,166,357.07 m2
2733,7004,453,500
3733,3114,453,111
4734,8114,451,611
Table 2. Characteristics of the CNIG LiDAR dataset for the designated area under study.
Table 2. Characteristics of the CNIG LiDAR dataset for the designated area under study.
ParameterValue
Dataset file namePNOA_2018_EXT_N_734-4452_ORT-CLA-RGB.laz
PNOA_2018_EXT_N_732-4454_ORT-CLA-RGB.laz
PNOA_2018_EXT_N_734-4454_ORT-CLA-RGB.laz
Version ASPRS LAS1.2
Point format3
Number of returns6,952,685
Returns per m25.96
Max. number of returns by LiDAR pulse5
Number of returns by class (meaning)
1 (Unassigned)166,271
2 (Ground)1,974,299
3 (Low vegetation)43,054
4 (Medium vegetation)17,737
5 (High vegetation)528,919
6 (Building)816
7 (Low point ≡ noise)4291
12 (Overlap)4,217,298
ScanAngleRank[−31; 31]
Table 3. Relevant characteristics of concave hull methods.
Table 3. Relevant characteristics of concave hull methods.
NameTemporal ComplexityDescriptionReferences
K-Nearest Neighbors (KNN)O (n log n)Based on the connection of points with their nearest k neighbors.[32]
2D Alpha ShapesO (n log n)Use a radius α to define the concave shape based on Delaunay triangulation.[48]
ConcavemanO (n log n)Based on Delaunay triangulation and pruning to adjust concavity.[49,50]
Table 4. Trees selected for individual measurements.
Table 4. Trees selected for individual measurements.
IdCoordinates
(m)
IdCoordinates
(m)
IdCoordinates
(m)
IdCoordinates
(m)
IdCoordinates
(m)
X
Y
1734959.4
4452123.0
12733535.4
4453232.4
30733620.5
4453032.8
37733841.2
4453197.5
46734803.0
4451946.6
X
Y
2734632.3
4452043.4
17733587.7
4453200.6
31733876.3
4453189.0
38733841.1
4453219.8
48734632.3
4451889.2
X
Y
3734734.2
4452215.2
19733712.1
4453156.1
32733662.8
4452966.6
39733822.9
4453128.6
49734734.0
4452047.1
X
Y
4734632.3
4452222.7
20734260.7
4452771.5
33733717.9
4452960.3
40734073.6
4452823.3
50734691.4
4452274.4
X
Y
5734899.7
4452001.5
21734522.3
4452629.3
34733759.8
4453156.8
41734050.8
4452837.0
52734632.3
4451793.2
X
Y
10734632.3
4451712.5
27734819.7
4452270.3
35733881.0
4453049.4
42734769.7
4452006.0
53734665.2
4452298.5
X
Y
11733562.6
4453140.5
28734795.6
4452260.7
36733932.5
4452971.3
45734771.6
4451968.3
56734632.3
4452152.1
Table 5. Specifications for the parameters measured in the field.
Table 5. Specifications for the parameters measured in the field.
ParameterUnitsResolutionAccuracyEquipment
Normal diameter (d)Mm15MEDID MF602
Total height (ht)cm110Häglof Vertex Laser Geo 2
Crown base height (hb)cm110Häglof Vertex Laser Geo 2
Geo positionsmx, y: 0.01, z: 0.01x, y: 0.02, z: 0.03GNSS Rover Zenith06
Photo shooting Samsung Galaxy Tab Active 3
Table 6. Confusion matrix comparing the counts of predicted vegetation units against units calculated by orthophotography. TP: true positive, TN: true negative, FP: false positive, FN: false negative, VU: vegetation unit.
Table 6. Confusion matrix comparing the counts of predicted vegetation units against units calculated by orthophotography. TP: true positive, TN: true negative, FP: false positive, FN: false negative, VU: vegetation unit.
Counted VUCounted ~VUPredicted
Predicted VU1228 (TP)2 (FP)1230
Predicted ~VU34 (FN)(TN)-
Counted1262--
Table 7. Performance metrics for the identification of vegetation units.
Table 7. Performance metrics for the identification of vegetation units.
MetricValuePredicted
Precision99.8%TP/TP + FP
Recall97.3%TP/TP + FN
F-score (β = 1)98.5%2 × Precision × Recall/(Precision + Recall)
Table 8. Descriptive statistics for tree crown diameter measurements (m) obtained using LiDAR and GNSS methodologies, including both individual measurements (dL and dG respectively) and tree-level aggregated means (dLt and dGt). The statistics include sample size (N), estimated required sample size for 95% CI precision (nreq95%), arithmetic mean (Mean), sample standard deviation (SD), observed range (Min-Max).
Table 8. Descriptive statistics for tree crown diameter measurements (m) obtained using LiDAR and GNSS methodologies, including both individual measurements (dL and dG respectively) and tree-level aggregated means (dLt and dGt). The statistics include sample size (N), estimated required sample size for 95% CI precision (nreq95%), arithmetic mean (Mean), sample standard deviation (SD), observed range (Min-Max).
Diameter
(m)
Nnreq95%Mean
(m)
SD
(m)
Max
(m)
Min
(m)
dG1407013.803.9022.85.7
dL1407012.843.5820.45.4
dGt351713.8043.84821.356.78
dLt351712.8443.50519.056.48
Table 9. Comparison between GNSS and LiDAR methods. Sample size (N), Estimate (estimated mean), standard error of the mean (SE), lower and upper bounds CI 95% for the mean, t-statistics, and p-values from the linear mixed-effects model.
Table 9. Comparison between GNSS and LiDAR methods. Sample size (N), Estimate (estimated mean), standard error of the mean (SE), lower and upper bounds CI 95% for the mean, t-statistics, and p-values from the linear mixed-effects model.
Diameter
(m)
NEstimate
(m)
SE
(m)
95% CI
[Lower–Upper] (m)
t-Valuep-Value
GNSS mean3513.800.62[12.54, 15.07]22.16<0.001
LiDAR Effect35−0.960.12[−1.20, −0.72]−8.15<0.001
Method diff35−0.960.12[0.72, 1.20]8.15<0.001
Table 10. Area of identified and delineated vegetation units with LiDAR returns in m2.
Table 10. Area of identified and delineated vegetation units with LiDAR returns in m2.
MeanNSDMinMaxP25P50P75P95
174.821230285.4713.783938.8752.8696.88190.98536.51
Table 11. Descriptive statistics for tree height measurements (m) obtained using LiDAR and rangefinder: total tree height, crown base height and full crown height.
Table 11. Descriptive statistics for tree height measurements (m) obtained using LiDAR and rangefinder: total tree height, crown base height and full crown height.
Height
(m)
Nnreq95%Mean
(m)
SD
(m)
Max
(m)
Min
(m)
LiDARTotal tree35178.01.510.55.0
Crown base35172.80.54.31.8
Crown35175.11.67.92.1
RangefinderTotal tree35178.31.611.05.1
Crown base35172.10.32.61.6
Crown35176.21.68.83.2
Table 12. Mixed-effects model results for height measurements. The statistics include estimated mean, standard error of the mean (SE), lower and upper bounds of the 95% confidence interval for the mean, t-statistics, and p-values from the linear mixed-effects model.
Table 12. Mixed-effects model results for height measurements. The statistics include estimated mean, standard error of the mean (SE), lower and upper bounds of the 95% confidence interval for the mean, t-statistics, and p-values from the linear mixed-effects model.
Parameter
m
LiDAR
Mean (SE)
Rangefinder
Mean (SE)
Difference
Mean
95% CI
[Upper–Lower]
t-Value
df = 34
p-Value
Total height8.0 (0.26)8.3 (0.27)−0.34[−0.46, −0.22]−5.99<0.001
Crown base2.8 (0.08)2.1 (0.05)0.77[0.61, 0.93]10.10<0.001
Crown height5.1 (0.27)6.2 (0.27)−1.12[−1.30, −0.93]−12.37<0.001
Table 13. Descriptive statistics for tree crown volume determinations (m2) obtained using LiDAR (VL), corrected LiDAR by mean base height (VLc) and TSVMs (VP). (*) Mean difference and 95% CI from Wilcoxon signed-rank test.
Table 13. Descriptive statistics for tree crown volume determinations (m2) obtained using LiDAR (VL), corrected LiDAR by mean base height (VLc) and TSVMs (VP). (*) Mean difference and 95% CI from Wilcoxon signed-rank test.
Crown VolumeMean
(m3)
SE
(m3)
Min–Max
(m3)
Difference (95% CI)
(m3)
t (34)p-Value
VP645.9577.7557.17–1729.62134.94 [94.07, 175.81]6.71<0.001
VL511.0165.1742.75–1559.03-
Wilcoxon ---120.77 [86.30, 160.82] *V = 621<0.001
Disclaimer/Publisher’s Note: The statements, opinions and data contained in all publications are solely those of the individual author(s) and contributor(s) and not of MDPI and/or the editor(s). MDPI and/or the editor(s) disclaim responsibility for any injury to people or property resulting from any ideas, methods, instructions or products referred to in the content.

Share and Cite

MDPI and ACS Style

Montero-Calvo, A.J.; Martín-Tardío, M.A.; Felicísimo, Á.M. Automated Morphological Characterization of Mediterranean Dehesa Using a Low-Density Airborne LiDAR Technique: A DBSCAN–Concaveman Approach for Segmentation and Delineation of Tree Vegetation Units. Forests 2026, 17, 16. https://doi.org/10.3390/f17010016

AMA Style

Montero-Calvo AJ, Martín-Tardío MA, Felicísimo ÁM. Automated Morphological Characterization of Mediterranean Dehesa Using a Low-Density Airborne LiDAR Technique: A DBSCAN–Concaveman Approach for Segmentation and Delineation of Tree Vegetation Units. Forests. 2026; 17(1):16. https://doi.org/10.3390/f17010016

Chicago/Turabian Style

Montero-Calvo, Adrián J., Miguel A. Martín-Tardío, and Ángel M. Felicísimo. 2026. "Automated Morphological Characterization of Mediterranean Dehesa Using a Low-Density Airborne LiDAR Technique: A DBSCAN–Concaveman Approach for Segmentation and Delineation of Tree Vegetation Units" Forests 17, no. 1: 16. https://doi.org/10.3390/f17010016

APA Style

Montero-Calvo, A. J., Martín-Tardío, M. A., & Felicísimo, Á. M. (2026). Automated Morphological Characterization of Mediterranean Dehesa Using a Low-Density Airborne LiDAR Technique: A DBSCAN–Concaveman Approach for Segmentation and Delineation of Tree Vegetation Units. Forests, 17(1), 16. https://doi.org/10.3390/f17010016

Note that from the first issue of 2016, this journal uses article numbers instead of page numbers. See further details here.

Article Metrics

Back to TopTop