Sign in to use this feature.

Years

Between: -

Subjects

remove_circle_outline
remove_circle_outline
remove_circle_outline
remove_circle_outline
remove_circle_outline
remove_circle_outline
remove_circle_outline
remove_circle_outline
remove_circle_outline

Journals

remove_circle_outline
remove_circle_outline
remove_circle_outline
remove_circle_outline
remove_circle_outline
remove_circle_outline
remove_circle_outline
remove_circle_outline
remove_circle_outline
remove_circle_outline
remove_circle_outline
remove_circle_outline
remove_circle_outline
remove_circle_outline
remove_circle_outline
remove_circle_outline
remove_circle_outline
remove_circle_outline
remove_circle_outline
remove_circle_outline
remove_circle_outline
remove_circle_outline
remove_circle_outline
remove_circle_outline
remove_circle_outline
remove_circle_outline

Article Types

Countries / Regions

remove_circle_outline
remove_circle_outline
remove_circle_outline
remove_circle_outline
remove_circle_outline
remove_circle_outline
remove_circle_outline
remove_circle_outline

Search Results (8,199)

Search Parameters:
Keywords = nanoparticle functionalization

Order results
Result details
Results per page
Select all
Export citation of selected articles as:
12 pages, 1871 KB  
Article
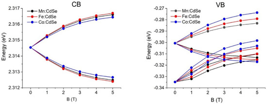
Evidence of sp-d Exchange Interactions in CdSe Nanocrystals Doped with Mn, Fe and Co: Atomistic Tight-Binding Simulation
by Pruet Kalasuwan and Worasak Sukkabot
Nanomaterials 2026, 16(2), 122; https://doi.org/10.3390/nano16020122 - 16 Jan 2026
Abstract
Exploiting the atomistic tight-binding theory with the sp-d exchange term, the electronic and magnetic characteristics of CdSe nanoparticles embedded with Mn, Fe and Co are determined as a function of external magnetic fields to realize the sp-d exchange interactions. The transition metal species [...] Read more.
Exploiting the atomistic tight-binding theory with the sp-d exchange term, the electronic and magnetic characteristics of CdSe nanoparticles embedded with Mn, Fe and Co are determined as a function of external magnetic fields to realize the sp-d exchange interactions. The transition metal species and applied magnetic fields are powerful factors to manipulate the electronic and magnetic characteristics of doped CdSe nanoparticles. With growing applied fields, the energies of spin splitting, Zeeman splitting and magnetic polaron improve and are assumed to reach saturation at high fields. All g-factor values are boosted in the presence of the external field and then fade with increasing applied fields. The electron spin-splitting energies and electron g values are ordered as Fe:CdSe > Mn:CdSe > Co:CdSe. The single-particle gaps, hole spin-splitting energies, Zeeman splitting energies and hole g values follow the order Co:CdSe > Fe:CdSe > Mn:CdSe. Full article
(This article belongs to the Section Theory and Simulation of Nanostructures)
Show Figures

Figure 1

25 pages, 5742 KB  
Article
Functionalization of Photopolymer with Laser-Ablated Copper NPs: A Comprehensive Study of ROS Generation, Antimicrobial Activity and Cytotoxic Profile
by Dmitriy E. Burmistrov, Dmitriy A. Serov, Lev R. Sizov, Maxim E. Astashev, Ekaterina E. Karmanova, Ilya V. Baimler, Alexander V. Simakin, Dmitriy N. Ignatenko, Fatikh M. Yanbaev, Evgeny V. Kuzmin and Sergey V. Gudkov
Polymers 2026, 18(2), 238; https://doi.org/10.3390/polym18020238 - 16 Jan 2026
Abstract
This study addresses the critical need for advanced biomedical materials that possess both potent antimicrobial properties and high biocompatibility to prevent device-related infections and promote healing. To this end, we demonstrate the successful development and comprehensive characterization of functional composite materials based on [...] Read more.
This study addresses the critical need for advanced biomedical materials that possess both potent antimicrobial properties and high biocompatibility to prevent device-related infections and promote healing. To this end, we demonstrate the successful development and comprehensive characterization of functional composite materials based on a photopolymerizable acrylate resin modified with laser-ablated copper nanoparticles (Cu NPs). The synthesized Cu NPs exhibited a monomodal size distribution with a peak at 47 nm, a high zeta potential of −33 mV, and a spherical morphology. Incorporation of Cu NPs into the polymer matrix via Masked Stereolithography (MSLA) enabled the fabrication of complex structures that maintained high surface quality and optical transparency after polishing. Modification of photopolymer resin with Cu NPs significantly increased the strength of the resulting products and caused dose-dependent formation of reactive oxygen species (ROS). The resulting composite materials exhibited strong antibacterial activity against E. coli. Crucially, despite their potent antimicrobial efficacy, the materials showed no cytotoxicity towards human fibroblast cultures. These results highlight the potential of these composites for a new generation of biomedical applications, such as implantable devices and wound coatings, which combine programmable antimicrobial activity with high biocompatibility. Full article
Show Figures

Figure 1

16 pages, 11136 KB  
Article
Hybrid Fe3O4-Gd2O3 Nanoparticles Prepared by High-Energy Ball Milling for Dual-Contrast Agent Applications
by Vladislav A. Mikheev, Timur R. Nizamov, Alexander I. Novikov, Maxim A. Abakumov, Alexey S. Lileev and Igor V. Shchetinin
Int. J. Mol. Sci. 2026, 27(2), 910; https://doi.org/10.3390/ijms27020910 - 16 Jan 2026
Abstract
This work investigates the feasibility of synthesis hybrid x Gd2O3 + (100 − x) Fe3O4 nanoparticles using the scalable method of high-energy ball milling for dual-contrast magnetic resonance imaging applications. Comprehensive studies of the structure, magnetic and [...] Read more.
This work investigates the feasibility of synthesis hybrid x Gd2O3 + (100 − x) Fe3O4 nanoparticles using the scalable method of high-energy ball milling for dual-contrast magnetic resonance imaging applications. Comprehensive studies of the structure, magnetic and functional properties of the hybrid nanoparticles were conducted. It was found that the milling process initiates the transformation of the cubic phase c-Gd2O3 (Ia3¯) into the monoclinic m-Gd2O3 (C2/m). Measurements of the magnetic properties showed that the specific saturation magnetization of the Fe3O4 phase is substantially reduced, which is a characteristic feature of nanoparticles due to phenomena such as surface spin disorder and spin-canting effects. The transmission electron microscopy results confirm the formation of hybrid Fe3O4-Gd2O3 nanostructures and the measured particle sizes show good correlation with the X-ray diffraction results. A comprehensive structure–property relationship study revealed that the obtained hybrid nanoparticles exhibit high r2 values, reaching 160 mM−1s−1 and low r1 values, a characteristic that is determined primarily by the presence of a large fraction of Gd2O3 particles with sizes of ≈30 nm and Fe3O4 crystallites of ≈10 nm. Full article
Show Figures

Figure 1

21 pages, 4861 KB  
Article
Synthesis and Characterization of ITO Films via Forced Hydrolysis for Surface Functionalization of PET Sheets
by Silvia del Carmen Madrigal-Diaz, Laura Cristel Rodríguez-López, Isaura Victoria Fernández-Orozco, Saúl García-López, Cecilia del Carmen Díaz-Reyes, Claudio Martínez-Pacheco, José Luis Cervantes-López, Ibis Ricárdez-Vargas and Laura Lorena Díaz-Flores
Coatings 2026, 16(1), 120; https://doi.org/10.3390/coatings16010120 - 16 Jan 2026
Abstract
Transparent conductive oxides (TCOs), such as indium tin oxide (ITO), are essential for flexible electronics; however, conventional vacuum-based deposition is costly and thermally aggressive for polymers. This study investigated the surface functionalization of PET substrates with ITO thin film-based forced hydrolysis as a [...] Read more.
Transparent conductive oxides (TCOs), such as indium tin oxide (ITO), are essential for flexible electronics; however, conventional vacuum-based deposition is costly and thermally aggressive for polymers. This study investigated the surface functionalization of PET substrates with ITO thin film-based forced hydrolysis as a low-cost, reproducible alternative. SnO2 nanoparticles were synthesized by forced hydrolysis at 180 °C for 3 h and 6 h, yielding crystalline nanoparticles with a cassiterite phase and an average crystallite size of 20.34 nm. The process showed high reproducibility, enabling consistent structural properties without complex equipment or high-temperature treatments. The SnO2 sample obtained at 3 h was incorporated into commercial In2O3 to form a mixed In–Sn–O oxide, which was subsequently deposited onto PET substrates by spin coating onto UV-activated PET. The resulting 1.1 µm ITO films demonstrated good adhesion (4B according to ASTM D3359), a low resistivity of 1.27 × 10−6 Ω·m, and an average optical transmittance of 80% in the visible range. Although their resistivity is higher than vacuum-processed films, this route provides a superior balance of mechanical robustness, featuring a hardness of (H) of 3.8 GPa and an elastic modulus (E) of 110 GPa. These results highlight forced hydrolysis as a reproducible route for producing ITO/PET thin films. The thickness was strategically optimized to act as a structural buffer, preventing crack propagation during bending. Forced hydrolysis-driven PET sheet functionalization is an effective route for producing durable ITO/PET electrodes that are suitable for flexible sensors and solar cells. Full article
(This article belongs to the Special Issue Recent Advances in Surface Functionalisation, 2nd Edition)
Show Figures

Figure 1

25 pages, 701 KB  
Review
Effective Non-Invasive Delivery of Epigenetic Drugs Using Functionalized Accessory Unit Conjugates
by Toshihiko Tashima
Pharmaceutics 2026, 18(1), 115; https://doi.org/10.3390/pharmaceutics18010115 - 15 Jan 2026
Abstract
Epigenetics involves heritable changes in gene expression—such as DNA methylation (5-methylcytosine; 5mC), histone modifications, and regulation by non-coding RNAs at the mRNA translation level—without altering the underlying DNA sequence. As targeting these mechanisms enables intervention at the root cause of disease rather than [...] Read more.
Epigenetics involves heritable changes in gene expression—such as DNA methylation (5-methylcytosine; 5mC), histone modifications, and regulation by non-coding RNAs at the mRNA translation level—without altering the underlying DNA sequence. As targeting these mechanisms enables intervention at the root cause of disease rather than the symptoms alone, epigenetics has become a rapidly advancing field in pharmaceutical sciences. Various epigenetic modulators, including histone deacetylase (HDAC) inhibitors, histone acetyltransferase (HAT) inhibitors, DNA methyltransferase (DNMT) inhibitors, and microRNAs (miRNAs), have been developed, and some have already been approved for cancer therapy. However, these agents often face significant challenges such as poor membrane permeability, enzymatic instability, and suboptimal biodistribution. Incorporating functionalized accessory units—serving as vectors (e.g., transporter recognition units, cell-penetrating peptides, tumor-homing peptides, monoclonal antibodies) or as carriers (e.g., monoclonal antibodies, nanoparticles)—into epigenetic modulators may help overcome these delivery barriers. In this narrative review, I discuss the potential and advantages of effective non-invasive delivery of epigenetic drugs using such functionalized accessory unit conjugates. Full article
(This article belongs to the Special Issue Development and Drug Delivery in Epigenetic Therapy)
30 pages, 8636 KB  
Article
Bio-Derived Cellulose Nanofibers for the Development Under Environmentally Assessed Conditions of Cellulose/ZnO Nanohybrids with Enhanced Biocompatibility and Antimicrobial Properties
by Kyriaki Marina Lyra, Aggeliki Papavasiliou, Caroline Piffet, Lara Gumusboga, Jean-Michel Thomassin, Yana Marie, Alexandre Hoareau, Vincent Moulès, Javier Alcodori, Pau Camilleri Lledó, Albany Milena Lozano Násner, Jose Gallego, Elias Sakellis, Fotios K. Katsaros, Dimitris Tsiourvas and Zili Sideratou
Materials 2026, 19(2), 346; https://doi.org/10.3390/ma19020346 - 15 Jan 2026
Abstract
The development of eco-friendly antimicrobial materials is essential for addressing antibiotic resistance, while reducing environmental impact. In this study, bio-derived anionic and cationic cellulose nanofibers (a-CNF and c-CNF) were employed as templating matrices for the in situ hydrothermal synthesis of cellulose/ZnO nanohybrids. Physicochemical [...] Read more.
The development of eco-friendly antimicrobial materials is essential for addressing antibiotic resistance, while reducing environmental impact. In this study, bio-derived anionic and cationic cellulose nanofibers (a-CNF and c-CNF) were employed as templating matrices for the in situ hydrothermal synthesis of cellulose/ZnO nanohybrids. Physicochemical characterization confirmed efficient cellulose functionalization and high-quality nanofibrillation, as well as the formation of uniformly dispersed ZnO nanoparticles (≈10–20 nm) strongly integrated within the cellulose network. The ZnO content was 30 and 20 wt. % for a-CNF/ZnO and c-CNF/ZnO, respectively. Antibacterial evaluation against Escherichia coli and Staphylococcus aureus revealed enhanced activity for both hybrids, with c-CNF/ZnO displaying the lowest MIC/MBC values (50/100 μg/mL). Antiviral assays revealed complete feline calicivirus inactivation at 100 μg/mL for c-CNF/ZnO, while moderate activity was observed against bovine coronavirus, highlighting the role of surface charge. Cytotoxicity assays on mammalian cells demonstrated high biocompatibility at antimicrobial concentrations. Life cycle assessment showed that c-CNF/ZnO exhibits a lower overall environmental burden than a-CNF/ZnO, with electricity demand being the main contributor, indicating clear opportunities for further reductions through process optimization and scale-up. Overall, these results demonstrate that CNF/ZnO nanohybrids effectively combine renewable biopolymers with ZnO antimicrobial functionality, offering a sustainable and safe platform for biomedical and environmental applications. Full article
(This article belongs to the Special Issue Νanoparticles for Biomedical Applications (2nd Edition))
Show Figures

Graphical abstract

31 pages, 1648 KB  
Review
Beyond the Solvent: Engineering Ionic Liquids for Biomedical Applications—Advances, Challenges, and Future Directions
by Amal A. M. Elgharbawy, Najihah Mohd Noor, Nor Azrini Nadiha Azmi and Beauty Suestining Diyah Dewanti
Molecules 2026, 31(2), 305; https://doi.org/10.3390/molecules31020305 - 15 Jan 2026
Abstract
Ionic liquids (ILs) have emerged as multifunctional compounds with low volatility, high thermal stability, and tunable solvation capabilities, making them highly promising for biomedical applications. First explored in the late 1990s and early 2000s for enhancing the thermal stability of enzymes, antimicrobial agents, [...] Read more.
Ionic liquids (ILs) have emerged as multifunctional compounds with low volatility, high thermal stability, and tunable solvation capabilities, making them highly promising for biomedical applications. First explored in the late 1990s and early 2000s for enhancing the thermal stability of enzymes, antimicrobial agents, and controlled release systems, ILs have since gained significant attention in drug delivery, antimicrobial treatments, medical imaging, and biosensing. This review examines the diverse functions of ILs in contemporary therapeutics and diagnostics, highlighting their transformative capabilities in improving drug solubility, bioavailability, transdermal permeability, and pathogen inactivation. In drug delivery, ILs improve solubility of bioactive compounds, with several IL formulations achieving substantial solubility enhancements for poorly soluble drugs. Bio-ILs, in particular, show promise in enhancing drug delivery systems, such as improving transdermal permeability. ILs also exhibit significant antimicrobial and antiviral activity, offering new avenues for combating resistant pathogens. Despite their broad potential, challenges such as cytotoxicity, long-term metabolic effects, and the stability of ILs in physiological conditions persist. While much research has focused on their physicochemical properties, biological activity and in vivo studies are still underexplored. The future directions for ILs in biomedical applications include the development of bioengineered ILs and hybrid ILs, combining functional components like nanoparticles and polymers to create multifunctional materials. These ILs, derived from renewable resources, show great promise in personalized medicine and clinical applications. Further research is necessary to evaluate their pharmacokinetics, biodistribution, and long-term safety to fully realize their biomedical potential. This study emphasizes the potential of ILs to transform therapeutic and diagnostic technologies by highlighting present shortcomings and offering pathways for clinical translation, while also debating the need for continuous research to fully utilize their biomedical capabilities. Full article
Show Figures

Graphical abstract

23 pages, 5370 KB  
Article
QM/MM Dynamics Study of the Augmenting Effects of Reduced Graphene Oxide Towards the Butadiene Acrylonitrile Copolymer Matrix and Self-Repair of the Enhancer
by Dobromir A. Kalchevski, Stefan K. Kolev, Kamen V. Ivanov, Dimitar A. Dimov, Aneliya S. Kostadinova, Hristiyan A. Aleksandrov and Teodor I. Milenov
Nanomaterials 2026, 16(2), 113; https://doi.org/10.3390/nano16020113 - 15 Jan 2026
Abstract
This study utilizes QM/MM Born–Oppenheimer Molecular Dynamics in order to model the process of intermolecular binding between reduced graphene oxide (rGO) and butadiene–acrylonitrile copolymer (PBDAN) with a monomer ratio of 2:1. This research aims to elucidate the structural reasons behind the enhancing properties [...] Read more.
This study utilizes QM/MM Born–Oppenheimer Molecular Dynamics in order to model the process of intermolecular binding between reduced graphene oxide (rGO) and butadiene–acrylonitrile copolymer (PBDAN) with a monomer ratio of 2:1. This research aims to elucidate the structural reasons behind the enhancing properties of the substrate, focusing on the polymer matrix. The behavior of each phase was examined and discussed. More importantly, the intermolecular interactions within the interphase zone of adsorption were investigated on an atomic scale. We found and characterized 58 such instances, grouped into hydrogen bonds and three types of stacking: π–π, σ–π, and σ–n. Each occurrence was analyzed through the use of radial distribution functions. Five spontaneous chemical processes within the rGO nanoparticle were modeled and characterized. Two of them were found to provide stabilization only within the substrate, while the rest are relevant for the overall constitution of the heteromaterial. Perhaps most intriguing is the process of self-repair as part of the vacancy defect. This occurs entirely within the carbon frame of the rGO layer. We believe our results to be of importance for a large set of ligand materials, mostly those which contain unsaturated bonds and electronegative atoms. Full article
(This article belongs to the Section Synthesis, Interfaces and Nanostructures)
Show Figures

Figure 1

19 pages, 2529 KB  
Article
Selenium Nanoparticles Decorated by Blueberry Pomace Polysaccharides Improve the Protection Effects Against Erythrocyte Hemolysis
by Ling Zhu, Yinzhao Gao, Yaqin Xu, Conglei Ma, Xindi Zhang, Yaxi Han, Libo Wang and Lijun Guan
Foods 2026, 15(2), 299; https://doi.org/10.3390/foods15020299 - 14 Jan 2026
Viewed by 92
Abstract
In this study, selenium nanoparticles (SeNPs) were synthesized using polysaccharides extracted from blueberry pomace (BP) as a stabilizing agent. BP was characterized as an acidic polysaccharide with a molecular weight of 5.4 × 105 Da. The resulting BP-SeNPs were monodisperse spheres with [...] Read more.
In this study, selenium nanoparticles (SeNPs) were synthesized using polysaccharides extracted from blueberry pomace (BP) as a stabilizing agent. BP was characterized as an acidic polysaccharide with a molecular weight of 5.4 × 105 Da. The resulting BP-SeNPs were monodisperse spheres with an average size of 94.33 nm, as confirmed by TEM, DLS, FT-IR, XRD, and EDX analyses. Compared to SeNPs, BP-SeNPs demonstrated superior stability under varying conditions of storage time, temperature, pH, and ionic strength. Furthermore, in vitro evaluation using AAPH-induced rabbit erythrocytes revealed that BP-SeNPs offered enhanced protection against hemolysis. This protective effect was attributed to their ability to significantly bolster antioxidant enzyme activities (SOD, CAT, and GSH-Px) and preserve membrane integrity by maintaining ATPase function and sialic acid content. These results establish BP as an effective stabilizer for SeNPs and suggest the promising potential of BP-SeNPs as antioxidant agents in functional food or nutraceutical applications. Full article
Show Figures

Figure 1

13 pages, 2281 KB  
Article
Microstructural Engineering of Magnetic Wood for Enhanced Magnetothermal Conversion
by Yuxi Lin, Chen Chen and Wei Xu
Magnetochemistry 2026, 12(1), 11; https://doi.org/10.3390/magnetochemistry12010011 - 13 Jan 2026
Viewed by 66
Abstract
The increasing energy crisis demands sustainable functional materials. Wood, with its natural three-dimensional porous structure, offers an ideal renewable template. This study demonstrates that microstructural engineering of wood is a decisive strategy for enhancing magnetothermal conversion. Using eucalyptus wood, we precisely tailored its [...] Read more.
The increasing energy crisis demands sustainable functional materials. Wood, with its natural three-dimensional porous structure, offers an ideal renewable template. This study demonstrates that microstructural engineering of wood is a decisive strategy for enhancing magnetothermal conversion. Using eucalyptus wood, we precisely tailored its pore architecture via delignification and synthesized Fe3O4 nanoparticles in situ through coprecipitation. We systematically investigated the effects of delignification and precursor immersion time (24, 48, 72 h) on the loading, distribution, and magnetothermal performance of the composites. Delignification drastically increased wood porosity, raising the Fe3O4 loading capacity from ~5–6% (in non-delignified wood) to over 14%. Immersion time critically influenced nanoparticle distribution: 48 h achieved optimal deep penetration and uniformity, whereas extended time (72 h) induced minor local agglomeration. The optimized composite (MDW-48) achieved an equilibrium temperature of 51.2 °C under a low alternating magnetic field (0.06 mT, 35 kHz), corresponding to a temperature rise (ΔT) > 24 °C and a Specific Loss Power (SLP) of 1.31W·g−1. This performance surpasses that of the 24 h sample (47 °C, SLP = 1.16 W·g−1) and rivals other bio-based magnetic systems. This work establishes a clear microstructure–property relationship: delignification enables high loading, while controlled impregnation tunes distribution uniformity, both directly governing magnetothermal efficiency. Our findings highlight delignified magnetic wood as a robust, sustainable platform for efficient low-field magnetothermal conversion, with promising potential in low-carbon thermal management. Full article
Show Figures

Figure 1

11 pages, 4409 KB  
Article
Synthesis and Characterization of Ibuprofen–TiO2 Functionalized PCL Biomembranes as Candidate Materials for Wound Dressing Applications
by Jael Adrian Vergara-Lope Nuñez, Amaury Pozos-Guillén, Marine Ortiz-Magdaleno, Israel Alfonso Núñez-Tapia, Silvia Maldonado Frias, Marco Antonio Álvarez-Pérez and Febe Carolina Vazquez-Vazquez
Bioengineering 2026, 13(1), 92; https://doi.org/10.3390/bioengineering13010092 - 13 Jan 2026
Viewed by 112
Abstract
Wound dressing coverages (WDC) play a key role in protecting skin lesions and preventing infection. Polymeric membranes have been widely explored as WDC due to their ability to incorporate bioactive agents, including antimicrobial nanoparticles and non-steroidal anti-inflammatory drugs (NSAIDs). In this study, polycaprolactone [...] Read more.
Wound dressing coverages (WDC) play a key role in protecting skin lesions and preventing infection. Polymeric membranes have been widely explored as WDC due to their ability to incorporate bioactive agents, including antimicrobial nanoparticles and non-steroidal anti-inflammatory drugs (NSAIDs). In this study, polycaprolactone (PCL)-based membranes functionalized with titanium dioxide nanoparticles (TiO2 NPs) and ibuprofen (IBP) were fabricated using a film manufacturing approach, and their structural and biocompatibility profiles were evaluated. The membranes were characterized by SEM, FTIR and XPS. Bands at 1725 cm−1, 2950 cm−1, 2955 cm−1, 2865 cm−1 and 510 cm−1 proved molecular stability of reagents during manufacture. In SEM, the control shows the flattest surface, while the PCL-IBP and PCL-IBP-TiO2 NPs groups had increased rugosity. In vitro biocompatibility was evaluated using human fetal osteoblasts (hFOB). On day 3, the cell adhesion response of hFOB seeded in PCL-IBP and PCL-IBP-TiO2 NPs groups showed the biggest absorbances (p = 0.0014 and p = 0.0491, respectively). On day 7 PCL-IBP group had lower lectin binding than the control (p = 0.007) and the PCL-IBP-TiO2 NPs (p = 0.015) membranes, but no evidence of cytotoxicity was observed in any group. Furthermore, the Live/Dead test adds more biocompatibility evidence to conveniently discriminate between live and dead cells. The PCL polymeric membrane elaborated in this study may confer antiseptic, analgesic and anti-inflammatory properties, making these membranes ideal for skin lesions. Full article
Show Figures

Graphical abstract

18 pages, 999 KB  
Article
Direct Liquid Phase Hydroxylation of Benzene to Phenol over Iron-Containing Mordenite Catalysts: Combined DLS–EPR Study and Thermodynamic–Stability Analysis
by E. H. Ismailov, L. Kh. Qasimova, S. N. Osmanova, A. I. Rustamova, L. V. Huseynova, S. A. Mammadkhanova and Sh. F. Tagiyeva
Catalysts 2026, 16(1), 89; https://doi.org/10.3390/catal16010089 - 13 Jan 2026
Viewed by 137
Abstract
Direct hydroxylation of benzene to phenol using hydrogen peroxide is a cornerstone of sustainable green chemistry. This paper presents the results of a stability study of an iron-containing mordenite catalyst in the liquid-phase hydroxylation of benzene to phenol with a 30% aqueous hydrogen [...] Read more.
Direct hydroxylation of benzene to phenol using hydrogen peroxide is a cornerstone of sustainable green chemistry. This paper presents the results of a stability study of an iron-containing mordenite catalyst in the liquid-phase hydroxylation of benzene to phenol with a 30% aqueous hydrogen peroxide solution. The study utilizes a combination of catalytic activity measurements, dynamic light scattering (DLS), and electron paramagnetic resonance (EPR) spectra. The system is initially shown to exhibit high phenol selectivity; however, over time, DLS measurements indicate aggregation of the catalyst particles with an increase in the average particle diameter from 1.8 to 2.6 μm and the formation of byproducts–dihydroxybenzenes. Iron is present predominantly as magnetite nanoparticles (Fe3O4) ~10 nm in diameter, stabilized on the outer surface of mordenite, with minor leaching (<10%) due to the formation of iron ion complexes with ascorbic acid as a result of the latter’s interaction with magnetite particles. Using a thermodynamic approach based on the Ulich formalism (first and second approximations), it is shown that the reaction of benzene hydroxylation H2O2 in the liquid phase is thermodynamically quite favorable (ΔG° = −(289–292) kJ·mol−1 in the range of 293–343 K, K = 1044–1052). It is shown that ascorbic acid acts as a redox mediator (reducing Fe3+ to Fe2+) and a regulator of the catalytic medium activity. The stability of the catalytic system is examined in terms of the Lyapunov criterion: it is shown that the total Gibbs free energy (including the surface contribution) can be considered as a Lyapunov functional describing the evolution of the system toward a steady state. Ultrasonic (US) treatment of the catalytic system is shown to redisperse aggregated particles and restore its activity. It is established that the catalytic activity is due to nanosized Fe3O4 particles, which react with H2O2 to form hydroxyl radicals responsible for the selective hydroxylation of benzene to phenol. Full article
Show Figures

Graphical abstract

20 pages, 5704 KB  
Article
Magnetic Nanocarriers with ICPTES- and GPTMS-Functionalized Quaternary Chitosan for pH-Responsive Doxorubicin Release
by Sofia F. Soares, Ana L. M. Machado, Beatriz S. Cardoso, Diogo Marinheiro, Nelson Andrade, Fátima Martel and Ana L. Daniel-da-Silva
Biomolecules 2026, 16(1), 137; https://doi.org/10.3390/biom16010137 - 13 Jan 2026
Viewed by 116
Abstract
Smart nanocarriers are being increasingly explored to improve the performance selectivity of cancer chemotherapy. Here, two pH-responsive magnetic nanocarriers were developed using quaternary chitosan (HTCC) functionalized with 3-(triethoxysilyl)propyl isocyanate- ICPTES (MNP-HTCC1) or 3-(glycidyloxypropyl)trimethoxysilane-GPTMS (MNP-HTCC2) to form hybrid silica shells on Fe3O [...] Read more.
Smart nanocarriers are being increasingly explored to improve the performance selectivity of cancer chemotherapy. Here, two pH-responsive magnetic nanocarriers were developed using quaternary chitosan (HTCC) functionalized with 3-(triethoxysilyl)propyl isocyanate- ICPTES (MNP-HTCC1) or 3-(glycidyloxypropyl)trimethoxysilane-GPTMS (MNP-HTCC2) to form hybrid silica shells on Fe3O4 cores. The resulting core–shell nanoparticles (14.5 and 12.5 nm) displayed highly positive zeta potentials (+45.4 to +27.1 mV, pH 4.2–9.5), confirming successful HTCC incorporation and strong colloidal stability. Both nanocarriers achieved high doxorubicin (DOX) loading at pH 9.5, reaching 90% efficiency and a capacity of 154 µg DOX per mg. DOX release was pH-dependent, with faster release under acidic conditions relevant to tumor and endo-lysosomal environments. At pH 4.2, MNP-HTCC1 released 90% of DOX over 72 h, while MNP-HTCC2 released 79%. Release at pH 5.0 was intermediate (67–72%), and moderate at physiological pH (43–55%). All formulations showed an initial burst followed by sustained release. Kinetic modelling (Weibull) indicated a diffusion-controlled mechanism consistent with Fickian transport through the HTCC–silica matrix. Cytotoxicity assays using MCF-7 breast cancer cells revealed greater cytotoxicity for DOX-loaded nanocarriers compared with free DOX, with MNP-HTCC1 showing the strongest effect. Overall, these HTCC-based magnetic nanocarriers offer efficient loading, controlled pH-triggered DOX release, and enhanced therapeutic performance. Full article
(This article belongs to the Special Issue Applications of Biomaterials in Medicine and Healthcare)
Show Figures

Figure 1

22 pages, 367 KB  
Review
Nutritional Interventions in Osteoarthritis: Mechanisms, Clinical Evidence, and Translational Opportunities
by Milan Patel, Gabriela Betanzos, Marco Troka, Jay Modi, George Nageeb, Alan D. Kaye and Alaa Abd-Elsayed
Nutrients 2026, 18(2), 244; https://doi.org/10.3390/nu18020244 - 13 Jan 2026
Viewed by 183
Abstract
Osteoarthritis (OA) is a leading cause of chronic pain worldwide. This is driven by progressive cartilage degradation, inflammation, oxidative stress, and metabolic dysfunction. Current pharmacologic interventions mostly lead to symptomatic relief without actually affecting disease progression. Thus, there is a growing interest in [...] Read more.
Osteoarthritis (OA) is a leading cause of chronic pain worldwide. This is driven by progressive cartilage degradation, inflammation, oxidative stress, and metabolic dysfunction. Current pharmacologic interventions mostly lead to symptomatic relief without actually affecting disease progression. Thus, there is a growing interest in the development of new interventional methods. Our review seeks to synthesize preclinical, translational, and clinical evidence on the impact nutritional methods have on OA management. Whole-diet approaches, such as Mediterranean and plant-based, have been linked to reduced pain, increased physical function, and positive biomarker changes. Bioactive compounds, including curcumin, polyphenols, omega-3 fatty acids, and select herbal extracts, have shown anti-inflammatory, antioxidant, and chondroprotective effects via NF-κB, Nrf2, AMPK, and SIRT1 pathways. This review particularly focuses on plant-derived substances. Emerging nanoparticle technology with regard to advanced delivery systems shows initial promise in nutraceutical pharmacokinetics and tissue targeting. Overall, nutritional interventions are adjunct interventions to OA management. Although these are not full treatment replacements, dietary modifications and targeted nutraceutical strategies with improved delivery systems may lead to more preventive, personalized, and holistic OA management and care. Full article
29 pages, 2741 KB  
Review
Production Techniques for Antibacterial Fabrics and Their Emerging Applications in Wearable Technology
by Azam Ali, Muhammad Zaman Khan, Sana Rasheed and Rimsha Imtiaz
Micro 2026, 6(1), 5; https://doi.org/10.3390/micro6010005 - 13 Jan 2026
Viewed by 128
Abstract
Integrating antibacterial fabrics into wearable technology represents a transformative advancement in healthcare, fashion, and personal hygiene. Antibacterial fabrics, designed to inhibit microbial growth, are gaining prominence due to their potential to reduce infections, enhance durability, and maintain cleanliness in wearable devices. These fabrics [...] Read more.
Integrating antibacterial fabrics into wearable technology represents a transformative advancement in healthcare, fashion, and personal hygiene. Antibacterial fabrics, designed to inhibit microbial growth, are gaining prominence due to their potential to reduce infections, enhance durability, and maintain cleanliness in wearable devices. These fabrics offer effective antimicrobial properties while retaining comfort and functionality by incorporating nanotechnology and advanced materials, such as silver nanoparticles, zinc oxide, titanium dioxide, and graphene. The production techniques for antibacterial textiles range from chemical and physical surface modifications to biological treatments, each tailored to achieve long-lasting antibacterial performance while preserving fabric comfort and breathability. Advanced methods such as nanoparticle embedding, sol–gel coating, electrospinning, and green synthesis approaches have shown significant promise in enhancing antibacterial efficacy and material compatibility. Wearable technology, including fitness trackers, smart clothing, and medical monitoring devices, relies on prolonged skin contact, making the prevention of bacterial colonization essential for user safety and product longevity. Antibacterial fabrics address these concerns by reducing odor, preventing skin irritation, and minimizing the risk of infection, especially in medical applications such as wound dressings and patient monitoring systems. Despite their potential, integrating antibacterial fabrics into wearable technology presents several challenges. This review provides a comprehensive overview of the key antibacterial agents, the production strategies used to fabricate antibacterial textiles, and their emerging applications in wearable technologies. It also highlights the need for interdisciplinary research to overcome current limitations and promote the development of sustainable, safe, and functional antibacterial fabrics for next-generation wearable. Full article
Show Figures

Figure 1

Back to TopTop