Sign in to use this feature.

Years

Between: -

Subjects

remove_circle_outline
remove_circle_outline
remove_circle_outline
remove_circle_outline
remove_circle_outline
remove_circle_outline
remove_circle_outline
remove_circle_outline
remove_circle_outline

Journals

remove_circle_outline
remove_circle_outline
remove_circle_outline
remove_circle_outline
remove_circle_outline
remove_circle_outline
remove_circle_outline
remove_circle_outline
remove_circle_outline

Article Types

Countries / Regions

remove_circle_outline
remove_circle_outline
remove_circle_outline
remove_circle_outline

Search Results (1,172)

Search Parameters:
Keywords = multiscale monitoring

Order results
Result details
Results per page
Select all
Export citation of selected articles as:
1886 KB  
Proceeding Paper
On the Optimization of Additively Manufactured Part Quality Through Process Monitoring: The Wire DED-LB Case
by Konstantinos Tzimanis, Michail S. Koutsokeras, Nikolas Porevopoulos and Panagiotis Stavropoulos
Eng. Proc. 2025, 119(1), 26; https://doi.org/10.3390/engproc2025119026 - 17 Dec 2025
Abstract
The wire Laser-based Directed Energy Deposition (DED-LB) metal additive manufacturing (AM) process is time- and cost-effective, providing high-quality, dense parts while supporting multi-scale manufacturing, repair, and repurposing services. However, its ability to consistently produce parts of uniform quality depends on process stability, which [...] Read more.
The wire Laser-based Directed Energy Deposition (DED-LB) metal additive manufacturing (AM) process is time- and cost-effective, providing high-quality, dense parts while supporting multi-scale manufacturing, repair, and repurposing services. However, its ability to consistently produce parts of uniform quality depends on process stability, which can be achieved through monitoring and controlling key process phenomena, such as heat accumulation and variations in the distance between the deposition head and the working surface (standoff distance). Part quality is closely linked to achieving predictable melt pool dimensions and stable thermal conditions, which in turn influence the end-part’s cross-sectional stability, overall dimensions, and mechanical properties. This work presents a workflow that correlates process and metrology data, enabling the determination of tunable process parameters and their operating process window. The process data are acquired using a vision-based monitoring system and a load-cell embedded in the deposition head, which together detect variations in melt pool area and standoff distance during the process, while metrology devices assess the part quality. Finally, this monitoring setup and its ability to capture the complete process history are fundamental for developing in-line control strategies, enabling optimized, supervision-free, and repeatable processes. Full article
Show Figures

Figure 1

26 pages, 1063 KB  
Article
Multiclass Differentiation of Dementia Subtypes Based on Low-Density EEG Biomarkers: Towards Wearable Brain Health Monitoring
by Anneliese Walsh, Shreejith Shanker and Alejandro Lopez Valdes
J. Dement. Alzheimer's Dis. 2025, 2(4), 48; https://doi.org/10.3390/jdad2040048 - 17 Dec 2025
Abstract
Background: Wearable EEG devices offer an accessible and unobtrusive system for regular brain health monitoring outside clinical settings. However, due to the current lack of data available from wearable low-density EEG devices, we need to anticipate the extraction of biomarkers for brain health [...] Read more.
Background: Wearable EEG devices offer an accessible and unobtrusive system for regular brain health monitoring outside clinical settings. However, due to the current lack of data available from wearable low-density EEG devices, we need to anticipate the extraction of biomarkers for brain health evaluation from available clinical datasets. Methods: This study evaluates multiclass dementia classification of Alzheimer’s disease, frontotemporal dementia, and healthy controls using features derived from low-density temporal EEG electrodes as a proxy for wearable EEG setups. The feature set comprises power-based metrics, including the 1/f spectral slope, and complexity metrics such as Hjorth parameters and multiscale sample entropy. Results: Our results show that multiclass differentiation of dementia, using low-density electrode configurations restricted to temporal regions, can achieve results comparable to a full-scalp configuration. Notably, electrode T5, positioned over the left temporo-posterior region, consistently outperformed other configurations, achieving a subject-level accuracy of 83.3% and an F1 score of 82.4%. Conclusions: These findings highlight the potential of single-site EEG measurement for wearable brain health devices. Full article
Show Figures

Graphical abstract

7 pages, 1511 KB  
Brief Report
Machine Learning Prediction of Recurrent Vasovagal Syncope in Children Using Heart Rate Variability and Anthropometric Data—A Pilot Study
by Piotr Wieniawski, Jakub S. Gąsior, Maciej Rosoł, Marcel Młyńczak, Ewa Smereczyńska-Wierzbicka, Anna Piórecka-Makuła and Radosław Pietrzak
Mach. Learn. Knowl. Extr. 2025, 7(4), 166; https://doi.org/10.3390/make7040166 - 15 Dec 2025
Viewed by 85
Abstract
Vasovagal syncope (VVS) affects 17% of children, significantly impairing quality of life. Machine learning (ML) models achieve high predictive accuracy of VVS in adults using blood pressure (BP) monitoring, but pediatric implementation remains challenging. The aim of the study was to evaluate whether [...] Read more.
Vasovagal syncope (VVS) affects 17% of children, significantly impairing quality of life. Machine learning (ML) models achieve high predictive accuracy of VVS in adults using blood pressure (BP) monitoring, but pediatric implementation remains challenging. The aim of the study was to evaluate whether ML models incorporating anthropometric data and heart rate variability (HRV) can predict VVS without BP monitoring in children with prior syncope or suspected VVS. We analyzed 87 participants (7–18 years) with VVS history. HRV indices (time-domain, frequency-domain, and nonlinear) were extracted from 5 min supine and standing ECG recordings using NeuroKit2. Multiple algorithms were tested with 10-fold cross-validation; SHAP analysis identified feature importance. AdaBoost achieved the performance of 71.0% accuracy, 76.3% sensitivity, and 63.3% specificity—78% of adult BP-dependent algorithm sensitivity. Weight, multifractal detrended fluctuation analysis during standing, and normalized low-frequency power were most influential. Alterations in symbolic dynamics and multiscale entropy indicated compromised autonomic complexity. ML models with anthropometric and HRV data show potential as an adjunctive screening tool to identify children at higher risk for syncope recurrence, requiring clinical confirmation. Full article
Show Figures

Figure 1

26 pages, 8544 KB  
Article
Hi-MDTCN: Hierarchical Multi-Scale Dilated Temporal Convolutional Network for Tool Condition Monitoring
by Anying Chai, Zhaobo Fang, Mengjia Lian, Ping Huang, Chenyang Guo, Wanda Yin, Lei Wang, Enqiu He and Siwen Li
Sensors 2025, 25(24), 7603; https://doi.org/10.3390/s25247603 - 15 Dec 2025
Viewed by 133
Abstract
Accurate identification of tool wear conditions is of great significance for extending tool life, ensuring processing quality, and improving production efficiency. Current research shows that signals collected by a single sensor have limited dimensions and cannot comprehensively capture the degradation process of tool [...] Read more.
Accurate identification of tool wear conditions is of great significance for extending tool life, ensuring processing quality, and improving production efficiency. Current research shows that signals collected by a single sensor have limited dimensions and cannot comprehensively capture the degradation process of tool wear, while multi-sensor fusion recognition methods cannot effectively handle the complementarity and redundancy between heterogeneous sensor data in feature extraction and fusion. To address these issues, this paper proposes Hi-MDTCN (Hierarchical Multi-scale Dilated Temporal Convolutional Network). In the network, we propose a hierarchical signal analysis framework that processes the signal in segments. When processing intra-segment signals, we design a Multi-channel one-dimensional convolutional network with attention mechanism to capture local wear features at different time scales and fuse them into a unified representation. When processing signal segments, we design a Bi-TCN module to further capture long-term dependencies in wear evolution, mining the overall trend of tool wear over time. Hi-MDTCN adopts a dilated convolution mechanism, which can achieve an extremely large receptive field without building an overly deep network structure, effectively solving problems faced by recurrent neural networks in long sequence modeling such as gradient vanishing, low training efficiency, and poor parallel computing capability, achieving efficient parallel capture of long-range dependencies in time series. Finally, the proposed method is applied to the PHM2010 milling data. Experimental results show that the model’s tool condition recognition accuracy is higher than traditional methods, demonstrating its effectiveness for practical applications. Full article
(This article belongs to the Special Issue Sensing Technologies in Industrial Defect Detection)
Show Figures

Figure 1

26 pages, 10331 KB  
Article
STM-Net: A Multiscale Spectral–Spatial Representation Hybrid CNN–Transformer Model for Hyperspectral Image Classification
by Yicheng Hu, Jia Ge and Shufang Tian
Remote Sens. 2025, 17(24), 4031; https://doi.org/10.3390/rs17244031 - 14 Dec 2025
Viewed by 256
Abstract
Hyperspectral images (HSIs) have been broadly applied in remote sensing, environmental monitoring, agriculture, and other fields due to their rich spectral information and complex spatial properties. However, the inherent redundancy, spectral aliasing, and spatial heterogeneity of high-dimensional data pose significant challenges to classification [...] Read more.
Hyperspectral images (HSIs) have been broadly applied in remote sensing, environmental monitoring, agriculture, and other fields due to their rich spectral information and complex spatial properties. However, the inherent redundancy, spectral aliasing, and spatial heterogeneity of high-dimensional data pose significant challenges to classification accuracy. Therefore, this study proposes STM-Net, a hybrid deep learning model that integrates SSRE (Spectral–Spatial Residual Extraction Module), Transformer, and MDRM (Multi-scale Differential Residual Module) architectures to comprehensively exploit spectral–spatial features and enhance classification performance. First, the SSRE module employs 3D convolutional layers combined with residual connections to extract multi-scale spectral–spatial features, thereby improving the representation of both local and deep-level characteristics. Second, the MDRM incorporates multi-scale differential convolution and the Convolutional Block Attention Module mechanism to refine local feature extraction and enhance inter-class discriminability at category boundaries. Finally, the Transformer branch equipped with a Dual-Branch Global-Local (DBGL) mechanism integrates local convolutional attention and global self-attention, enabling synergistic optimization of long-range dependency modeling and local feature enhancement. In this study, STM-Net is extensively evaluated on three benchmark HSI datasets: Indian Pines, Pavia University, and Salinas. Additionally, experimental results demonstrate that the proposed model consistently outperforms existing methods regarding OA, AA, and the Kappa coefficient, exhibiting superior generalization capability and stability. Furthermore, ablation studies validate that the SSRE, MDRM, and Transformer components each contribute significantly to improving classification performance. This study presents an effective spectral–spatial feature fusion framework for hyperspectral image classification, offering a novel technical solution for remote sensing data analysis. Full article
Show Figures

Graphical abstract

21 pages, 10132 KB  
Article
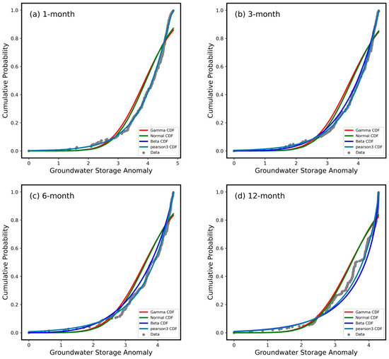
Assessing the Use of the Standardized GRACE Satellite Groundwater Storage Change Index for Quantifying Groundwater Drought in the Mu Us Sandy Land
by Yonghua Zhu, Longfei Zhou, Qi Zhang, Zhiming Han, Jiamin Li, Yan Chao, Xiaohan Wang, Hui Yuan, Jie Zhang and Bisheng Xia
Remote Sens. 2025, 17(24), 4015; https://doi.org/10.3390/rs17244015 - 12 Dec 2025
Viewed by 159
Abstract
The increasingly severe phenomenon of groundwater drought poses a dual threat to the development and construction of a region, as well as its ecological environment. Traditional groundwater drought monitoring methods rely on observation wells, which makes it difficult to obtain dynamic drought information [...] Read more.
The increasingly severe phenomenon of groundwater drought poses a dual threat to the development and construction of a region, as well as its ecological environment. Traditional groundwater drought monitoring methods rely on observation wells, which makes it difficult to obtain dynamic drought information in areas with limited measurement data. Based on Gravity Recovery and Climate Experiment (GRACE) satellite technology and data, the suitability of the standardized groundwater index (GRACE_SGI) was explored for drought characterization in the Mu Us Sandy Land. Multiscale and seasonal trend changes in groundwater drought in the study area from 2002 to 2021 were comprehensively identified. Subsequently, the characteristics of hysteresis time between the GRACE_SGI and the standardized precipitation index (SPI) were clarified. The results show that (1) different fitting functions impact the parameterized GRACE_SGI fitting results. The Anderson–Darling method was used to find the best-fitting function for groundwater data in the study area: the Pearson III distribution. (2) The gain and loss characteristics of the GRACE_SGI are similar, showing downward trends at different time scales, including seasonal scales. (3) The absolute values based on the maximum correlation coefficients between the SPI and the GRACE_SGI at different time scales were 0.1296, 0.2483, 0.2427, and 0.5224, with time lags of 0, 0, 12, and 11 months, respectively. The vulnerability of semiarid ecosystems to hydroclimatic changes is highlighted by these findings, and a satellite-based framework for monitoring groundwater drought in data-scarce regions is provided. Full article
(This article belongs to the Section Remote Sensing in Geology, Geomorphology and Hydrology)
Show Figures

Figure 1

26 pages, 2632 KB  
Article
CAGM-Seg: A Symmetry-Driven Lightweight Model for Small Object Detection in Multi-Scenario Remote Sensing
by Hao Yao, Yancang Li, Wenzhao Feng, Ji Zhu, Haiming Yan, Shijun Zhang and Hanfei Zhao
Symmetry 2025, 17(12), 2137; https://doi.org/10.3390/sym17122137 - 12 Dec 2025
Viewed by 236
Abstract
In order to address challenges in small object recognition for remote sensing imagery—including high model complexity, overfitting with small samples, and insufficient cross-scenario generalization—this study proposes CAGM-Seg, a lightweight recognition model integrating multi-attention mechanisms. The model systematically enhances the U-Net architecture: First, the [...] Read more.
In order to address challenges in small object recognition for remote sensing imagery—including high model complexity, overfitting with small samples, and insufficient cross-scenario generalization—this study proposes CAGM-Seg, a lightweight recognition model integrating multi-attention mechanisms. The model systematically enhances the U-Net architecture: First, the encoder adopts a pre-trained MobileNetV3-Large as the backbone network, incorporating a coordinate attention mechanism to strengthen spatial localization of min targets. Second, an attention gating module is introduced in skip connections to achieve adaptive fusion of cross-level features. Finally, the decoder fully employs depthwise separable convolutions to significantly reduce model parameters. This design embodies a symmetry-aware philosophy, which is reflected in two aspects: the structural symmetry between the encoder and decoder facilitates multi-scale feature fusion, while the coordinate attention mechanism performs symmetric decomposition of spatial context (i.e., along height and width directions) to enhance the perception of geometrically regular small targets. Regarding training strategy, a hybrid loss function combining Dice Loss and Focal Loss, coupled with the AdamW optimizer, effectively enhances the model’s sensitivity to small objects while suppressing overfitting. Experimental results on the Xingtai black and odorous water body identification task demonstrate that CAGM-Seg outperforms comparison models in key metrics including precision (97.85%), recall (98.08%), and intersection-over-union (96.01%). Specifically, its intersection-over-union surpassed SegNeXt by 11.24 percentage points and PIDNet by 8.55 percentage points; its F1 score exceeded SegFormer by 2.51 percentage points. Regarding model efficiency, CAGM-Seg features a total of 3.489 million parameters, with 517,000 trainable parameters—approximately 80% fewer than the baseline U-Net—achieving a favorable balance between recognition accuracy and computational efficiency. Further cross-task validation demonstrates the model’s robust cross-scenario adaptability: it achieves 82.77% intersection-over-union and 90.57% F1 score in landslide detection, while maintaining 87.72% precision and 86.48% F1 score in cloud detection. The main contribution of this work is the effective resolution of key challenges in few-shot remote sensing small-object recognition—notably inadequate feature extraction and limited model generalization—via the strategic integration of multi-level attention mechanisms within a lightweight architecture. The resulting model, CAGM-Seg, establishes an innovative technical framework for real-time image interpretation under edge-computing constraints, demonstrating strong potential for practical deployment in environmental monitoring and disaster early warning systems. Full article
Show Figures

Figure 1

15 pages, 2333 KB  
Article
A High-Precision Segmentation Method for Photovoltaic Modules Integrating Transformer and Improved U-Net
by Kesheng Jin, Sha Gao, Hui Yu and Ji Zhang
Processes 2025, 13(12), 4013; https://doi.org/10.3390/pr13124013 - 11 Dec 2025
Viewed by 169
Abstract
To address the challenges of insufficient robustness and limited feature extraction in photovoltaic module image segmentation under complex scenarios, we propose a high-precision PV module segmentation model (Pv-UNet) that integrates Transformer and improved U-Net architecture. The model introduces a MultiScale Transformer in the [...] Read more.
To address the challenges of insufficient robustness and limited feature extraction in photovoltaic module image segmentation under complex scenarios, we propose a high-precision PV module segmentation model (Pv-UNet) that integrates Transformer and improved U-Net architecture. The model introduces a MultiScale Transformer in the encoding path to achieve cross-scale feature correlation and semantic enhancement, combines residual structure with dynamic channel adaptation mechanism in the DoubleConv module to improve feature transfer stability, and incorporates an Attention Gate module in the decoding path to suppress complex background interference. Experimental data were obtained from UAV visible light images of a photovoltaic power station in Yuezhe Town, Qiubei County, Yunnan Province. Compared with U-Net, BatchNorm-UNet, and Seg-UNet, Pv-UNet achieved significant improvements in IoU, Dice, and Precision metrics to 97.69%, 93.88%, and 97.99% respectively, while reducing the Loss value to 0.0393. The results demonstrate that our method offers notable advantages in both accuracy and robustness for PV module segmentation, providing technical support for automated inspection and intelligent monitoring of photovoltaic power stations. Full article
(This article belongs to the Section Environmental and Green Processes)
Show Figures

Figure 1

23 pages, 7617 KB  
Article
A Dual-Modal Adaptive Pyramid Transformer Algorithm for UAV Cross-Modal Object Detection
by Qiqin Li, Ming Yang, Xiaoqiang Zhang, Nannan Wang, Xiaoguang Tu, Xijun Liu and Xinyu Zhu
Sensors 2025, 25(24), 7541; https://doi.org/10.3390/s25247541 - 11 Dec 2025
Viewed by 216
Abstract
Unmanned Aerial Vehicles (UAVs) play vital roles in traffic surveillance, disaster management, and border security, highlighting the importance of reliable infrared–visible image detection under complex illumination conditions. However, UAV-based infrared–visible detection still faces challenges in multi-scale target recognition, robustness to lighting variations, and [...] Read more.
Unmanned Aerial Vehicles (UAVs) play vital roles in traffic surveillance, disaster management, and border security, highlighting the importance of reliable infrared–visible image detection under complex illumination conditions. However, UAV-based infrared–visible detection still faces challenges in multi-scale target recognition, robustness to lighting variations, and efficient cross-modal information utilization. To address these issues, this study proposes a lightweight Dual-modality Adaptive Pyramid Transformer (DAP) module integrated into the YOLOv8 framework. The DAP module employs a hierarchical self-attention mechanism and a residual fusion structure to achieve adaptive multi-scale representation and cross-modal semantic alignment while preserving modality-specific features. This design enables effective feature fusion with reduced computational cost, enhancing detection accuracy in complex environments. Experiments on the DroneVehicle and LLVIP datasets demonstrate that the proposed DAP-based YOLOv8 achieves mAP50:95 scores of 61.2% and 62.1%, respectively, outperforming conventional methods. The results validate the capability of the DAP module to optimize cross-modal feature interaction and improve UAV real-time infrared–visible target detection, offering a practical and efficient solution for UAV applications such as traffic monitoring and disaster response. Full article
(This article belongs to the Section Remote Sensors)
Show Figures

Figure 1

17 pages, 4042 KB  
Article
Spectral Multi-Scale Attention Fusion Network for Rapid Detection of Black Tea Adulteration Using a Handheld Spectrometer
by Jiawei Tang, Yongyan Chen, Qing Meng, Bo Zhao, Dongling Qiao, Guohua Zhao and Jia Chen
Foods 2025, 14(24), 4261; https://doi.org/10.3390/foods14244261 - 10 Dec 2025
Viewed by 192
Abstract
Black tea is a widely consumed beverage whose high economic value has led some producers to illegally add artificial colorants such as Sunset Yellow, Tartrazine, and Ponceau 4R, posing health risks. Although near-infrared (NIR) spectroscopy offers a rapid, non-destructive detection method, its use [...] Read more.
Black tea is a widely consumed beverage whose high economic value has led some producers to illegally add artificial colorants such as Sunset Yellow, Tartrazine, and Ponceau 4R, posing health risks. Although near-infrared (NIR) spectroscopy offers a rapid, non-destructive detection method, its use in trace-level colorant detection is limited due to low adulterant concentrations and interference from natural tea pigments. Hence, we developed a rapid, non-destructive method for detecting trace adulteration (from 0.1 to 0.5 g·kg−1) in black tea with artificial colorants using a handheld near-infrared spectrometer. To enhance sensitivity to low-level adulteration, we proposed a novel Spectral Multi-scale Attention Fusion Network (SMAFNet), designed to dynamically integrate multiscale features. SMAFNet consists of spectral preprocessing, multi-scale feature extraction, and cross-scale attention fusion modules. Comparative experiments with traditional machine-learning models demonstrated that SMAFNet achieved superior performance even at low adulteration levels. Sample sets (each including 36 samples) adulterated with Sunset Yellow, Tartrazine, and Ponceau 4R, SMAFNet achieved accuracies of 97.22–100%, F1-scores of 0.9879–1.00, and 100% recall. These findings confirm the feasibility and robustness of combining NIR with SMAFNet for the rapid and discriminative detection of trace colorants in black tea, offering a practical framework for on-site food safety monitoring and quality control. Full article
(This article belongs to the Special Issue Flavor and Aroma Analysis as an Approach to Quality Control of Foods)
Show Figures

Figure 1

23 pages, 3326 KB  
Article
Hybrid Multi-Scale Neural Network with Attention-Based Fusion for Fruit Crop Disease Identification
by Shakhmaran Seilov, Akniyet Nurzhaubayev, Marat Baideldinov, Bibinur Zhursinbek, Medet Ashimgaliyev and Ainur Zhumadillayeva
J. Imaging 2025, 11(12), 440; https://doi.org/10.3390/jimaging11120440 - 10 Dec 2025
Viewed by 193
Abstract
Unobserved fruit crop illnesses are a major threat to agricultural productivity worldwide and frequently cause farmers to suffer large financial losses. Manual field inspection-based disease detection techniques are time-consuming, unreliable, and unsuitable for extensive monitoring. Deep learning approaches, in particular convolutional neural networks, [...] Read more.
Unobserved fruit crop illnesses are a major threat to agricultural productivity worldwide and frequently cause farmers to suffer large financial losses. Manual field inspection-based disease detection techniques are time-consuming, unreliable, and unsuitable for extensive monitoring. Deep learning approaches, in particular convolutional neural networks, have shown promise for automated plant disease identification, although they still face significant obstacles. These include poor generalization across complicated visual backdrops, limited resilience to different illness sizes, and high processing needs that make deployment on resource-constrained edge devices difficult. We suggest a Hybrid Multi-Scale Neural Network (HMCT-AF with GSAF) architecture for precise and effective fruit crop disease identification in order to overcome these drawbacks. In order to extract long-range dependencies, HMCT-AF with GSAF combines a Vision Transformer-based structural branch with multi-scale convolutional branches to capture both high-level contextual patterns and fine-grained local information. These disparate features are adaptively combined using a novel HMCT-AF with a GSAF module, which enhances model interpretability and classification performance. We conduct evaluations on both PlantVillage (controlled environment) and CLD (real-world in-field conditions), observing consistent performance gains that indicate strong resilience to natural lighting variations and background complexity. With an accuracy of up to 93.79%, HMCT-AF with GSAF outperforms vanilla Transformer models, EfficientNet, and traditional CNNs. These findings demonstrate how well the model captures scale-variant disease symptoms and how it may be used in real-time agricultural applications using hardware that is compatible with the edge. According to our research, HMCT-AF with GSAF presents a viable basis for intelligent, scalable plant disease monitoring systems in contemporary precision farming. Full article
Show Figures

Figure 1

23 pages, 19728 KB  
Article
Enhanced DeepLabV3+ with OBIA and Lightweight Attention for Accurate and Efficient Tree Species Classification in UAV Images
by Xue Cheng, Jianjun Chen, Junji Li, Jiayuan Yin, Qingmin Cheng, Zizhen Chen, Xinhong Li, Haotian You, Xiaowen Han and Guoqing Zhou
Sensors 2025, 25(24), 7501; https://doi.org/10.3390/s25247501 - 10 Dec 2025
Viewed by 234
Abstract
Accurate tree species classification using high-resolution unmanned aerial vehicle (UAV) images is crucial for forest carbon cycle research, biodiversity conservation, and sustainable management. However, challenges persist due to high interspecies feature similarity, complex canopy boundaries, and computational demands. To address these, we propose [...] Read more.
Accurate tree species classification using high-resolution unmanned aerial vehicle (UAV) images is crucial for forest carbon cycle research, biodiversity conservation, and sustainable management. However, challenges persist due to high interspecies feature similarity, complex canopy boundaries, and computational demands. To address these, we propose an enhanced DeepLabV3+ model integrating Object-Based Image Analysis (OBIA) and a lightweight attention mechanism. First, an OBIA-based multiscale segmentation algorithm optimizes object boundaries. Key discriminative features, including spectral, positional, and vegetation indices, are then identified using Recursive Feature Elimination with Cross-Validation (RFECV). High-precision training labels are efficiently constructed by combining Random Forest classification with visual interpretation (RFVI). The DeepLabV3+ model is augmented with a lightweight attention module to focus on critical regions while significantly reducing model parameters. Evaluations demonstrate that the improved DeepLabV3+ model achieved overall accuracy (OA) of 94.91% and Kappa coefficient (Kappa) of 92.89%, representing improvements of 2.91% and 4.11% over the original DeepLabV3+ model, while reducing parameters to 5.91 M (78.35% reduction). It significantly outperformed U-Net, PSPNet, and the original DeepLabV3+. This study provides a high-accuracy yet lightweight solution for automated tree species mapping, offering vital technical support for forest carbon sink monitoring and ecological management. Full article
(This article belongs to the Special Issue Intelligent Sensor Systems in Unmanned Aerial Vehicles)
Show Figures

Figure 1

19 pages, 6720 KB  
Article
Deep Model Based on Mamba Fusion Multi-Scale Convolution LSTM for OSA Severity Grading
by Changyun Li, Shengwen He, Xi Xu and Zhibing Wang
Appl. Sci. 2025, 15(24), 12990; https://doi.org/10.3390/app152412990 - 10 Dec 2025
Viewed by 164
Abstract
Obstructive sleep apnea (OSA) affects nearly one billion individuals worldwide, and its rising prevalence exacerbates cardiovascular and metabolic burdens. Although overnight polysomnography (PSG) is the diagnosis gold standard, its cost and procedural complexity constrain population-level deployment. To address this gap, an end-to-end model [...] Read more.
Obstructive sleep apnea (OSA) affects nearly one billion individuals worldwide, and its rising prevalence exacerbates cardiovascular and metabolic burdens. Although overnight polysomnography (PSG) is the diagnosis gold standard, its cost and procedural complexity constrain population-level deployment. To address this gap, an end-to-end model is developed. It operates directly on full-night peripheral oxygen saturation (SpO2) sequences sampled at 1 Hz. The model integrates multi-scale convolution, state space modeling, and channel-wise attention to classify obstructive sleep apnea severity into four levels. Evaluated on the Sleep Heart Health Study cohorts, the approach achieved overall accuracies of 80.51% on SHHS1 and 76.61% on SHHS2, with mean specificity exceeding 92%. These results suggest that a single-channel SpO2 signal is sufficient for four-class OSA classification without extensive preprocessing or additional PSG channels. This approach may enable low-cost, large-scale home screening and provide a basis for future multimodal, real-time monitoring. Full article
(This article belongs to the Section Computing and Artificial Intelligence)
Show Figures

Figure 1

26 pages, 16103 KB  
Article
Integrating Phenological Features with Time Series Transformer for Accurate Rice Field Mapping in Fragmented and Cloud-Prone Areas
by Tiantian Xu, Peng Cai, Hangan Wei, Huili He and Hao Wang
Sensors 2025, 25(24), 7488; https://doi.org/10.3390/s25247488 - 9 Dec 2025
Viewed by 258
Abstract
Accurate identification and monitoring of rice cultivation areas are essential for food security and sustainable agricultural development. However, regions with frequent cloud cover, high rainfall, and fragmented fields often face challenges due to the absence of temporal features caused by cloud and rain [...] Read more.
Accurate identification and monitoring of rice cultivation areas are essential for food security and sustainable agricultural development. However, regions with frequent cloud cover, high rainfall, and fragmented fields often face challenges due to the absence of temporal features caused by cloud and rain interference, as well as spectral confusion from scattered plots, which hampers rice recognition accuracy. To address these issues, this study employs a Satellite Image Time Series Transformer (SITS-Former) model, enhanced with the integration of diverse phenological features to improve rice phenology representation and enable precise rice identification. The methodology constructs a rice phenological feature set that combines temporal, spatial, and spectral information. Through its self-attention mechanism, the model effectively captures growth dynamics, while multi-scale convolutional modules help suppress interference from non-rice land covers. The study utilized Sentinel-2 satellite data to analyze rice distribution in Wuxi City. The results demonstrated an overall classification accuracy of 0.967, with the estimated planting area matching 91.74% of official statistics. Compared to traditional rice distribution analysis methods, such as Random Forest, this approach outperforms in both accuracy and detailed presentation. It effectively addresses the challenge of identifying fragmented rice fields in regions with persistent cloud cover and heavy rainfall, providing accurate mapping of cultivated areas in difficult climatic conditions while offering valuable baseline data for yield assessments. Full article
(This article belongs to the Section Smart Agriculture)
Show Figures

Figure 1

26 pages, 2833 KB  
Article
Spatiotemporal Graph Convolutional Network for Riverine Microplastic Migration Pathway Identification and Pollution Source Tracing
by Pengjie Hu, Mengtian Wu, Jian Ma, Jingwen Zhang and Jianhua Zhao
Sustainability 2025, 17(24), 11022; https://doi.org/10.3390/su172411022 - 9 Dec 2025
Viewed by 142
Abstract
Microplastic pollution in riverine ecosystems poses critical environmental challenges, yet current modeling approaches inadequately capture the spatial heterogeneity and topological complexity of fluvial systems. This study develops an innovative spatiotemporal graph convolutional network (ST-GCN) framework that integrates hydrological connectivity, flow parameters, and microplastic [...] Read more.
Microplastic pollution in riverine ecosystems poses critical environmental challenges, yet current modeling approaches inadequately capture the spatial heterogeneity and topological complexity of fluvial systems. This study develops an innovative spatiotemporal graph convolutional network (ST-GCN) framework that integrates hydrological connectivity, flow parameters, and microplastic characteristics for simultaneous migration pathway identification and pollution source tracing. This model constructs multi-scale graph representations encoding system structure and transport dynamics, implements spatial-temporal convolution layers with adaptive attention mechanisms, and employs a backpropagation-based algorithm for inverse source identification. Validation using 18 months of field observations from 45 monitoring nodes across a 127 km river reach demonstrates 87.3% pathway prediction accuracy and 94.3% source localization accuracy (R2 = 0.841, p < 0.001), representing substantial improvements over conventional advection–diffusion models. The framework successfully identified three pollution sources during a real contamination incident within 6 h of detection, enabling rapid regulatory intervention. This research advances environmental modeling by demonstrating that graph neural networks effectively capture transport processes in networked hydrological systems, providing practical tools for watershed management and evidence-based pollution control decision-making. Full article
Show Figures

Figure 1

Back to TopTop