Sign in to use this feature.

Years

Between: -

Subjects

remove_circle_outline
remove_circle_outline
remove_circle_outline
remove_circle_outline
remove_circle_outline
remove_circle_outline
remove_circle_outline
remove_circle_outline
remove_circle_outline

Journals

remove_circle_outline
remove_circle_outline
remove_circle_outline
remove_circle_outline
remove_circle_outline
remove_circle_outline

Article Types

Countries / Regions

remove_circle_outline
remove_circle_outline
remove_circle_outline
remove_circle_outline

Search Results (652)

Search Parameters:
Keywords = multiple shoot

Order results
Result details
Results per page
Select all
Export citation of selected articles as:
20 pages, 7835 KB  
Article
Deciphering the Boron Toxicity Tolerance Mechanisms of Triticum dicoccoides via RNA-Sequencing
by Berna Sen, Mohd. Kamran Khan, Tomas Vyhnanek, Mehmet Hamurcu, Mustafa Harmankaya, Md. Arifuzzaman, Ali Topal, Sait Gezgin and Anamika Pandey
Life 2026, 16(2), 353; https://doi.org/10.3390/life16020353 - 19 Feb 2026
Viewed by 77
Abstract
Boron (B) toxicity is one of the major abiotic stresses limiting wheat productivity in arid and semi-arid regions of the world. Thus, it is important to understand the molecular basis of tolerance in boron-tolerant wheat genetic resources for effective breeding. Wild emmer wheat [...] Read more.
Boron (B) toxicity is one of the major abiotic stresses limiting wheat productivity in arid and semi-arid regions of the world. Thus, it is important to understand the molecular basis of tolerance in boron-tolerant wheat genetic resources for effective breeding. Wild emmer wheat is a valuable genetic resource for tolerance to multiple abiotic stresses; however, the molecular mechanisms behind boron toxicity tolerance in this species has not been sufficiently characterized. Here, we present the first RNA sequencing-based transcriptomic analysis of B toxicity response in a boron-tolerant Triticum dicoccoides genotype, PI362036. Shoot tissues exposed to high boron (10 mM B) for 7 days showed extensive transcriptional reprogramming with 2783 differentially expressed genes. Functional enrichment analyses showed that B toxicity significantly altered the genes associated with biosynthesis of secondary metabolites, metabolic pathways, ribosomal activity, carbon metabolism, RNA transport, photosynthesis–antenna proteins, and citrate cycle pathway. Several transcription factor families, including TIG, MYB, MYB-related families, NAC, C2H2-GATA, ARF, and AP2-EREBP families, showed significant differential regulation, emphasizing their regulatory roles in B stress adaptation. Collectively, this study provides the first comprehensive transcriptomic framework of boron toxicity tolerance in T. dicoccoides under short-term high boron exposure, identifying candidate genes and pathways that may be exploited for improving boron tolerance in cultivated wheat through targeted breeding strategies. Given that boron toxicity in agricultural systems primarily arises from excessive boron accumulation in soils and irrigation water, the identified pathways offer insight into early adaptive responses of shoot tissues to elevated boron availability. Full article
(This article belongs to the Section Plant Science)
Show Figures

Figure 1

18 pages, 2263 KB  
Article
Establishment and Shoot Development Responses of Hylocereus undatus Under Plant Growth Regulator Treatments
by Cristina Pech-Jiménez, Paloma A. Salgado-Mercado, Alejandra Hernandez and Liliana S. Muñoz-Ramírez
Crops 2026, 6(1), 21; https://doi.org/10.3390/crops6010021 - 14 Feb 2026
Viewed by 130
Abstract
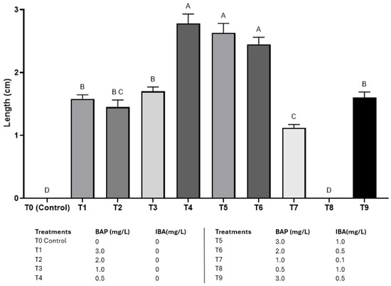
Background/Objectives: Hylocereus undatus is a high-value crop whose conventional propagation is inefficient for commercial scaling. This study aimed to develop an optimized protocol for in vitro establishment and to define optimal plant growth regulator (PGR) formulations for shoot multiplication. Methods: methods involved testing [...] Read more.
Background/Objectives: Hylocereus undatus is a high-value crop whose conventional propagation is inefficient for commercial scaling. This study aimed to develop an optimized protocol for in vitro establishment and to define optimal plant growth regulator (PGR) formulations for shoot multiplication. Methods: methods involved testing six surface sterilization protocols using combinations of a surfactant, a systemic fungicide, ethanol, and sodium hypochlorite. Subsequently, nodal explants were cultured on Murashige and Skoog (MS) medium supplemented with ten different concentrations of benzylaminopurine (BAP) and indole-3-butyric acid (IBA), with morphogenic responses evaluated over 60 days. Results: We identified a sterilization treatment that achieved contamination-free cultures with high explant survival percentages. Shoot multiplication was strictly dependent on cytokinin supplementation, with the highest BAP concentration inducing maximal shoot proliferation, while lower concentrations favored shoot elongation. The inclusion of IBA demonstrated a synergistic effect; a balanced BAP–IBA combination optimized shoot proliferation and vigor, whereas a high auxin-to-cytokinin ratio severely repressed organogenesis. Conclusion: this research establishes a reproducible, two-phase protocol that integrates rigorous aseptic establishment with tailored PGR application, effectively balancing high multiplication with superior shoot morphology for the commercial micropropagation of pitahaya. Full article
Show Figures

Figure 1

24 pages, 4118 KB  
Article
Airborne Laser Scanning for Large-Scale Forest Carbon Quantification: A Comparison of LiDAR Single-Tree and Field-Based Methods
by Mark Corrao, Logan Wimme, Josh Butler, Joel Glaze, Greg Latta and Danika Trierweiler
Remote Sens. 2026, 18(4), 547; https://doi.org/10.3390/rs18040547 - 8 Feb 2026
Viewed by 232
Abstract
This study evaluated airborne laser scanning (ALS) as a large-scale tool for forest carbon quantification by comparing ALS-derived estimates with traditional field sampling across multiple forest strata. Above-ground biomass was estimated using two different, commonly used equations, while below-ground biomass was derived from [...] Read more.
This study evaluated airborne laser scanning (ALS) as a large-scale tool for forest carbon quantification by comparing ALS-derived estimates with traditional field sampling across multiple forest strata. Above-ground biomass was estimated using two different, commonly used equations, while below-ground biomass was derived from peer-reviewed root-to-shoot ratios. ALS and field estimates differed across forest strata and carbon pools: ALS detected higher live tree carbon in harvested areas—capturing residual trees often missed in traditional cruises—but underestimated dead wood carbon, relative to field-based methods. Consistent differences were also observed between biomass equations, with Woodall estimates being 12.8% and 16.7% lower than Jenkins estimates for ALS and field methods, respectively. The study further incorporated soil organic carbon (SOC) and carbon dating data, providing additional insight into subsurface carbon stocks and the temporal dynamics of forest carbon pools. Overall, ALS proved to be an efficient, repeatable, and scalable method for carbon assessment, offering clear advantages in monitoring carbon flux over time when integrated with forest management protocols. Although further research is needed to refine biomass equations and explore emerging technologies such as Geiger Mode LiDAR, ALS has strong potential to enhance forest carbon crediting processes and support climate change mitigation goals. Full article
(This article belongs to the Special Issue Advancements in LiDAR Technology and Applications in Remote Sensing)
Show Figures

Figure 1

17 pages, 1066 KB  
Article
Simultaneous Quantification of Fumonisins and Their Hydrolyzed Metabolites in Donkey Matrices: A Tool for Exposure Assessment and Toxicokinetic Studies
by Dongying Tian, Yunduo Zheng, Yandong Li, Qianwen Xing, Gang Lin, Ronghua Zhu, Quigang Ma, Peilong Wang and Ruiguo Wang
Toxins 2026, 18(2), 80; https://doi.org/10.3390/toxins18020080 - 4 Feb 2026
Viewed by 327
Abstract
A novel, sensitive, and robust LC-MS/MS method was developed and fully validated for the simultaneous determination of fumonisins (FB1, FB2, FB3) and their hydrolyzed metabolites (HFB1, HFB2, HFB3) in donkey plasma, [...] Read more.
A novel, sensitive, and robust LC-MS/MS method was developed and fully validated for the simultaneous determination of fumonisins (FB1, FB2, FB3) and their hydrolyzed metabolites (HFB1, HFB2, HFB3) in donkey plasma, urine, and feces—three critical matrices for toxicokinetic studies. Sample preparation was optimized for each matrix: salting-out assisted liquid–liquid extraction (SALLE) with perchloric acidification for urine and feces, and a dilute–evaporate–shoot (DES) approach for plasma. Chromatographic separation was achieved on a BEH C18 column with water-ACN containing 0.5% formic acid. The method demonstrated excellent linearity (R2 ≥ 0.99), acceptable accuracy (mean recoveries: 73.3–111.5%), and good precision (intra- and inter-day RSDs < 20%). The limits of quantification (LOQ) for FBs and HFBs were 0.1–0.15 μg/L in plasma, 1.0 μg/L in urine, and 60 μg/kg in feces. To our knowledge, this is the first reported method capable of quantifying this comprehensive panel of analytes across multiple biological matrices in donkeys, providing an essential tool for future exposure assessments and pharmacokinetic research in this species. Full article
Show Figures

Figure 1

16 pages, 2380 KB  
Article
Micropropagation of the Critically Endangered Silene conglomeratica Melzh.: A Tool for Conservation and Ornamental Aspects
by Emmanouela Kamperi, Konstantinos Bertsouklis, Apostolos-Emmanouil Bazanis, Eireni Dima, Panayiotis Trigas, Maria Tsakiri and Maria Panitsa
Conservation 2026, 6(1), 18; https://doi.org/10.3390/conservation6010018 - 4 Feb 2026
Viewed by 475
Abstract
This study provides a comprehensive and refined framework for the micropropagation of the critically endangered Greek endemic Silene conglomeratica. Using a limited seed stock, a reliable in vitro propagation protocol was developed, supporting both ex situ conservation and potential commercial applications in [...] Read more.
This study provides a comprehensive and refined framework for the micropropagation of the critically endangered Greek endemic Silene conglomeratica. Using a limited seed stock, a reliable in vitro propagation protocol was developed, supporting both ex situ conservation and potential commercial applications in floriculture and landscape architecture. Nodal explants excised from aseptic seedlings, established on half-strength Murashige and Skoog (MS) medium, were successfully used for culture initiation. Supplementation with 1.0 mg L−1 meta-topolin (mT) and 0.2 mg L−1 1-naphthaleneacetic acid (NAA) promoted shoot proliferation. Subsequent subculturing on half-strength Rugini Olive Medium (OM/2) supplemented with 0.5 mg L−1 2-isopentenyladenine (2iP) resulted in high multiplication rates and a high frequency of spontaneous rooting. Rooting initiation was further optimized using OM/2 supplemented with 0.5 mg L−1 indole-3-butyric acid (IBA). The high acclimatization percentage (80%) confirms the feasibility of this protocol for ex situ conservation and highlights its applicability for nursery production and specialized landscape use. Overall, this study contributes an efficient and scalable propagation strategy that supports both the conservation and sustainable utilization of this valuable endemic species. Future work should focus on refining these protocols through more targeted testing of concentrations and alternative combinations of growth regulators and nutrient compositions. Full article
Show Figures

Figure 1

17 pages, 3662 KB  
Article
Pathogenic Species of Botryosphaeriaceae Involved in Tree Dieback in an Urban Forest Affected by Climate Change
by Alessandra Benigno, Viola Papini and Salvatore Moricca
Pathogens 2026, 15(2), 155; https://doi.org/10.3390/pathogens15020155 - 31 Jan 2026
Viewed by 252
Abstract
Urban forests are highly valued for the multiple benefits they provide to city dwellers. The strategic provision of ecosystem services by these forests is threatened by climate change, warming conditions being responsible for heat waves and chronic droughts that inflict stress and mortality [...] Read more.
Urban forests are highly valued for the multiple benefits they provide to city dwellers. The strategic provision of ecosystem services by these forests is threatened by climate change, warming conditions being responsible for heat waves and chronic droughts that inflict stress and mortality on trees. A three-year study (2011–2013) conducted at Parco Nord Milano (PNM) (Milano, Italy) assessed the impact of thinning interventions on the dynamics of fungal pathogens in declining forest plots. Symptomatic trees of the genera Alnus, Acer, Fraxinus, Platanus, Quercus and Ulmus, exhibited in thinned subplot pronounced decline/dieback, exhibiting symptoms like microphyllia, leaf yellowing, leaf shedding, sunken cankers, shoot wilting and branch dieback. Comparative analyses between the thinned and unthinned subplots revealed a significantly higher incidence of pathogens in the thinned one. Five species of Botryosphaeriaceae, namely Botryosphaeria dothidea, Diplodia corticola, Diplodia seriata, Dothiorella omnivora and Neofusicoccum parvum, were consistently isolated from tissues of declining hosts. There is evidence that thinning altered plot-level microclimate conditions and microbial equilibrium, favoring the proliferation of latent, pathogenic Botryosphaeriaceae. In fact, during the study period, the presence of N. parvum increased tenfold and that of B. dothidea fivefold in thinned subplot. Conversely, in unthinned subplot, the same pathogenic taxa maintained stable proportions. These results demonstrate that thinning altered ecological balances increasing tree susceptibility to harmful, cosmopolitan botryosphaeriaceous fungi. Our findings challenge assumptions about thinning as a universally beneficial practice, emphasizing the need for silvicultural strategies that take into account host and pathogen ecology and the microclimatic resilience of forest stands. This study emphasizes the importance of adaptive management in urban forestry to mitigate the unintended ecological consequences of climate change. Full article
Show Figures

Graphical abstract

20 pages, 7707 KB  
Article
Direct Organogenesis of Arracacia xanthorrhiza Bancr. (‘Arracacha’) as Affected by Different Gas Exchange Intensities and Temporary Immersion Systems
by Patrick Dias Marques, Márcia Regina Faita, Édison Cardona Medina, Yohan Fritsche, Clarissa Alves Caprestano, Valdir Marcos Stefenon, Marcelo F. Pompelli and Miguel Pedro Guerra
Horticulturae 2026, 12(2), 176; https://doi.org/10.3390/horticulturae12020176 - 31 Jan 2026
Viewed by 316
Abstract
Micropropagation is particularly relevant to A. xanthorrhiza because this crop is traditionally propagated by crown buds, with very low field multiplication rates and a high incidence of systemic pathogens, whereas in vitro culture enables rapid clonal multiplication, sanitation, and long-term conservation of elite [...] Read more.
Micropropagation is particularly relevant to A. xanthorrhiza because this crop is traditionally propagated by crown buds, with very low field multiplication rates and a high incidence of systemic pathogens, whereas in vitro culture enables rapid clonal multiplication, sanitation, and long-term conservation of elite and regional genotypes. Micropropagation of A. xanthorrhiza remains hindered by physiological disorders such as hyperhydricity and low shoot proliferation, often associated with limited gas exchange and inadequate culture systems. This study evaluated the effects of different gas exchange regimes and liquid culture methods on in vitro morphogenetic and structural responses. Forced ventilation at 81.3 gas exchanges per day reduced hyperhydricity to 8.3%, while sealed vessels exhibited a hyperhydricity rate of 65.8%. RITA® bioreactors resulted in the highest shoot multiplication rate (6.5/explant), which is a 48.2% increase over semi-solid medium (4.4 shoots/explant). Additionally, RITA® systems enhanced leaf expansion, reduced oxidative symptoms, and improved shoot morphology. These findings demonstrate that combining ventilation and immersion control is a promising strategy to improve micropropagation efficiency in A. xanthorrhiza, providing quantitative evidence that complements and extends prior qualitative studies on in vitro ventilation and liquid culture systems. Full article
(This article belongs to the Section Propagation and Seeds)
Show Figures

Graphical abstract

23 pages, 2095 KB  
Article
Increased Drought Tolerance in Lagenaria siceraria by Indigenous Bacterial Isolates from Coastal Environments in Chile: Searching for the Improvement of Rootstocks for Cucurbit Production
by Rodrigo Pérez, Ariel Salvatierra, Paula Pimentel, Guillermo Toro, Antonieta Ruiz, Ricardo Aroca, Luis Villalobos, Tiare Inostroza, Felipe González, Christian Santander, Cecilia García and Pablo Cornejo
Agriculture 2026, 16(3), 341; https://doi.org/10.3390/agriculture16030341 - 30 Jan 2026
Viewed by 285
Abstract
Drought is one of the most limiting abiotic stresses for agricultural production, especially in horticultural crops grown in arid and semi-arid areas. In the present study, we evaluated the potential of bacterial isolates obtained from coastal environments in Chile to improve drought tolerance [...] Read more.
Drought is one of the most limiting abiotic stresses for agricultural production, especially in horticultural crops grown in arid and semi-arid areas. In the present study, we evaluated the potential of bacterial isolates obtained from coastal environments in Chile to improve drought tolerance in Lagenaria siceraria, a plant species increasingly used as a rootstock for cucurbit cropping. Rhizosphere bacteria were isolated from Sicyos baderoa, the only native cucurbit species of the Chilean coast, from which four isolates with plant growth-promoting traits, such as indole-3-acetic acid production, phosphorus solubilization, nitrogen fixation, and siderophore production, were selected. These isolates were inoculated on two L. siceraria genotypes, Illapel and Osorno, under both normal irrigation and water deficit conditions. The results showed that Peribacillus frigoritolerans showed a clearer positive effect on biomass and net photosynthesis under water deficit in the Illapel genotype, increasing shoot biomass by up to ~75% and restoring net photosynthetic rates by up to ~260% relative to non-inoculated drought-stressed plants. In contrast, responses associated with Staphylococcus succinus and those observed in the Osorno genotype were mainly expressed as trait- and tissue-specific adjustments, consistent with a more stabilizing response rather than broad growth stimulation. Additionally, malondialdehyde levels were reduced by up to ~25%, while free proline accumulation increased by more than 100% under water deficit. In contrast, total phenolic compounds showed more variable responses, indicating genotype- and strain-specific adjustment of antioxidant metabolism. Overall, the observed responses were heterogeneous and strongly dependent on the specific strain–genotype–trait combination and, therefore, should be interpreted as preliminary evidence supporting the potential value of native rhizobacteria for improving early drought-related traits in cucurbit rootstocks. Among the tested strains, Peribacillus frigoritolerans emerged as the most promising candidate for enhancing early drought tolerance in responsive genotypes such as Illapel, while highlighting the need for follow-up studies under replicated nursery and field conditions, including grafted plants, multiple drought intensities and combined inoculant strategies. Full article
(This article belongs to the Special Issue Abiotic Stress Responses in Horticultural Crops—2nd Edition)
Show Figures

Figure 1

14 pages, 2122 KB  
Article
Scaling up In Vitro Crocus sativus Propagation Using SETIS Bioreactors: The Combined Effect of Cross-Cutting and Culture System
by Soumaya El Merzougui, Thiago Souza Campos, Vania M. Pereira, David G. Beleski, Rachida El Boullani, Mohammed Amine Serghini and Wagner A. Vendrame
Horticulturae 2026, 12(2), 156; https://doi.org/10.3390/horticulturae12020156 - 29 Jan 2026
Viewed by 286
Abstract
This study aimed at developing in vitro propagation methods for Crocus sativus L., focusing on the effectiveness of temporary immersion systems (TIS) or bioreactors as an alternative, cost-efficient technique for the large-scale production of saffron corms. The effects of the culture system and [...] Read more.
This study aimed at developing in vitro propagation methods for Crocus sativus L., focusing on the effectiveness of temporary immersion systems (TIS) or bioreactors as an alternative, cost-efficient technique for the large-scale production of saffron corms. The effects of the culture system and cross-cutting on saffron propagation were evaluated. Saffron shoots were cultured in TIS and compared with shoots produced using a conventional semi-solid tissue culture system (SS). The recipient material for automated temporary immersion used in this study was the SETIS™ bioreactor. The growth parameters measured for in vitro culture were the number of neo-formed shoots, shoot height, and the number and size of corms. Based on the present detailed study, the highest shoot multiplication rate (9.1 shoots/explant with 7.2 cm of shoot height) was achieved in the TIS system after shoot cross-cutting, while the lowest multiplication rates were obtained in the semi-solid system (1 shoot/explant with 14.8 cm long shoots). Furthermore, the highest corm formation was obtained in the TIS system, with an average of four corms per explant, with a larger corm weight (10.90 g) and diameter (21.78 mm). These findings highlighted for the first time the efficiency of the bioreactor system combined with cross-cutting of the shoot for efficient and scalable saffron corm propagation, thus making a valuable contribution to sustainable cultivation and conservation strategies while meeting the growing demand for this spice. Full article
Show Figures

Figure 1

18 pages, 1237 KB  
Article
Real-Time Robotic Navigation with Smooth Trajectory Using Variable Horizon Model Predictive Control
by Guopeng Wang, Guofu Ma, Dongliang Wang, Keqiang Bai, Weicheng Luo, Jiafan Zhuang and Zhun Fan
Electronics 2026, 15(3), 603; https://doi.org/10.3390/electronics15030603 - 29 Jan 2026
Viewed by 278
Abstract
This study addresses the challenges of real-time performance, safety, and trajectory smoothness in robot navigation by proposing an innovative variable-horizon model predictive control (MPC) scheme that utilizes evolutionary algorithms. To effectively adapt to the complex and dynamic conditions during navigation, a constrained multi-objective [...] Read more.
This study addresses the challenges of real-time performance, safety, and trajectory smoothness in robot navigation by proposing an innovative variable-horizon model predictive control (MPC) scheme that utilizes evolutionary algorithms. To effectively adapt to the complex and dynamic conditions during navigation, a constrained multi-objective evolutionary algorithm is used to tune the control parameters precisely. The optimized parameters are then used to dynamically adjust the MPC’s prediction horizon online. To further enhance the system’s real-time performance, warm start and multiple shooting techniques are introduced, significantly improving the computational efficiency of the MPC. Finally, simulation and real-world experiments are conducted to validate the effectiveness of the proposed method. Experimental results demonstrate that the proposed control scheme exhibits excellent navigation performance in differential-drive robot models, offering a novel solution for intelligent mobile robot navigation. Full article
Show Figures

Figure 1

31 pages, 11832 KB  
Article
A Visual Navigation Path Extraction Method for Complex and Variable Agricultural Scenarios Based on AFU-Net and Key Contour Point Constraints
by Jin Lu, Zhao Wang, Jin Wang, Zhongji Cao, Jia Zhao and Minjie Zhang
Agriculture 2026, 16(3), 324; https://doi.org/10.3390/agriculture16030324 - 28 Jan 2026
Viewed by 252
Abstract
In intelligent unmanned agricultural machinery research, navigation line extraction in natural field/orchard environments is critical for autonomous operation. Existing methods still face two prominent challenges: (1) Dynamic shooting perspective shifts caused by natural environmental interference lead to geometric distortion of image features, making [...] Read more.
In intelligent unmanned agricultural machinery research, navigation line extraction in natural field/orchard environments is critical for autonomous operation. Existing methods still face two prominent challenges: (1) Dynamic shooting perspective shifts caused by natural environmental interference lead to geometric distortion of image features, making it difficult to acquire high-precision navigation features; (2) Symmetric distribution of crop row boundaries hinders traditional algorithms from accurately extracting effective navigation trajectories, resulting in insufficient accuracy and reliability. To address these issues, this paper proposes an environment-adaptive navigation path extraction method for multi-type agricultural scenarios, consisting of two core components: an Attention-Feature-Enhanced U-Net (AFU-Net) for semantic segmentation of navigation feature regions, and a key-point constraint-based adaptive navigation line extraction algorithm. AFU-Net improves the U-Net framework by embedding Efficient Channel Attention (ECA) modules at the ends of Encoders 1–3 to enhance feature expression, and replacing Encoder 4 with a cascaded Semantic Aware Multi-scale Enhancement (SAME) module. Trained and tested on both our KVW dataset and Yu’s field dataset, our method achieves outstanding performance: On the KVW dataset, AFU-Net attains a Mean Intersection over Union (MIoU) of 97.55% and a real-time inference speed of 32.60 FPS with only 3.95 M Params, outperforming state-of-the-art models. On Yu’s field dataset, it maintains an MIoU of 95.20% and 16.30 FPS. Additionally, compared with traditional navigation line extraction algorithms, the proposed adaptive algorithm reduces the mean absolute yaw angle error (mAYAE) to 2.06° in complex scenarios. This research exhibits strong adaptability and robustness, providing reliable technical support for the precise navigation of intelligent agricultural machinery across multiple agricultural scenarios. Full article
(This article belongs to the Section Artificial Intelligence and Digital Agriculture)
Show Figures

Figure 1

19 pages, 3013 KB  
Article
Dynamic Transcriptome Profiling Reveals Key Regulatory Networks Underlying Curd Development in Cauliflower (Brassica oleracea L. botrytis)
by Shuting Qiao, Xiaoguang Sheng, Mengfei Song, Huifang Yu, Jiansheng Wang, Yusen Shen, Sifan Du, Jiaojiao Li, Liang Sun and Honghui Gu
Int. J. Mol. Sci. 2026, 27(3), 1308; https://doi.org/10.3390/ijms27031308 - 28 Jan 2026
Viewed by 295
Abstract
Cauliflower (Brassica oleracea var. botrytis) curd formation is a highly complex developmental process governed by tightly coordinated genetic and physiological regulation. Here, we performed transcriptome sequencing of curd and peduncle tissues across multiple developmental stages, generating 171.52 Gb of high-quality data. [...] Read more.
Cauliflower (Brassica oleracea var. botrytis) curd formation is a highly complex developmental process governed by tightly coordinated genetic and physiological regulation. Here, we performed transcriptome sequencing of curd and peduncle tissues across multiple developmental stages, generating 171.52 Gb of high-quality data. Genes associated with photosynthesis and glucosinolate biosynthesis were strongly upregulated in the shoot apical meristem (SAM), highlighting substantial metabolic investment during the pre-initiation phase of curd morphogenesis. Key floral transition regulators, particularly AP2 and MADS-box transcription factors, were activated to drive the vegetative-to-reproductive switch and initiate curd primordia, ultimately giving rise to the arrested inflorescence architecture characteristic of cauliflower. Furthermore, hormone signaling pathways—including auxin (AUX), jasmonic acid (JA), and brassinosteroid (BR)—showed marked activation during SAM proliferation and peduncle elongation, underscoring their crucial roles in structural patterning. Collectively, our findings delineate an integrated regulatory network that links metabolic activity, hormone signaling, and developmental programs, providing novel molecular insights into curd formation and identifying potential breeding targets for the genetic improvement of Brassicaceae crops. Full article
(This article belongs to the Topic Genetic Breeding and Biotechnology of Garden Plants)
Show Figures

Figure 1

24 pages, 3138 KB  
Article
Under Pressure: Shading, High Herbivory, and Low Levels of Fertilization Drive the Vegetative Response of a Highly Invasive Species
by Henrique Venâncio, Guilherme Ramos Demetrio, Estevão Alves-Silva, Tatiana Cornelissen, Pablo Cuevas-Reyes and Jean Carlos Santos
Plants 2026, 15(3), 349; https://doi.org/10.3390/plants15030349 - 23 Jan 2026
Viewed by 224
Abstract
Invasive plant species persist under environmental conditions due to phenotypic plasticity, which allows them to cope with conditions such as herbivory, competition, and resource availability. However, plant responses to individual and combined stressors are variable. In addition, fluctuating asymmetry (FA) has been proposed [...] Read more.
Invasive plant species persist under environmental conditions due to phenotypic plasticity, which allows them to cope with conditions such as herbivory, competition, and resource availability. However, plant responses to individual and combined stressors are variable. In addition, fluctuating asymmetry (FA) has been proposed as an indicator of plant stress, although its reliability remains debated, and few studies have evaluated its responses under interacting stressors. We evaluated, in two greenhouse experiments, the isolated and combined effects of herbivory and shading; and belowground intraspecific competition and fertilization on performance, trait plasticity, and leaf FA in seedlings of the invasive plant Tithonia diversifolia. Shading reduced shoot biomass, but promoted plastic adjustments in architectural, photosynthetic, and leaf structural traits that enhance light capture, and also increased FA. Herbivory interaction with shade induced high leaf mass per area of plants. In contrast, high herbivory and intraspecific competition consistently reduced plant performance across multiple traits. Fertilization enhanced overall performance and mitigated the negative effects of herbivory and competition. Overall, our results emphasize the need to consider interacting environmental factors when assessing invasive plant performance and plasticity. Furthermore, FA showed inconsistent responses across treatments, suggesting its limited reliability as a biomarker of isolated and combined environmental stress. Full article
(This article belongs to the Section Plant Protection and Biotic Interactions)
Show Figures

Figure 1

13 pages, 1222 KB  
Article
Whole-Plant Trait Integration Underpins High Leaf Biomass Productivity in a Modern Mulberry (Morus alba L.) Cultivar
by Bingjie Tu, Nan Xu, Juexian Dong and Wenhui Bao
Horticulturae 2026, 12(1), 67; https://doi.org/10.3390/horticulturae12010067 - 6 Jan 2026
Viewed by 261
Abstract
Understanding yield improvement in horticultural systems depends on elucidating how multiple plant traits operate in concert to sustain productivity. Mulberry (Morus alba L.) provides a suitable model for examining such whole-plant integration. Under cold-region field conditions, a modern high-yield cultivar (‘Nongsang 14’) [...] Read more.
Understanding yield improvement in horticultural systems depends on elucidating how multiple plant traits operate in concert to sustain productivity. Mulberry (Morus alba L.) provides a suitable model for examining such whole-plant integration. Under cold-region field conditions, a modern high-yield cultivar (‘Nongsang 14’) was compared with a traditional cultivar (‘Lusang 1’). Measurements encompassed canopy architecture, biomass allocation between roots and shoots, leaf economic traits, and gas-exchange parameters, allowing trait coordination to be evaluated across structural and physiological dimensions. Multivariate profiling—Principal Component Analysis (PCA) and correlation networks—was used to characterise phenotypic integration. The modern cultivar’s superior productivity emerged as a coordinated “acquisitive” trait syndrome. This strategy couples a larger canopy (higher LAI) and nitrogen-rich foliage (higher LNC) with greater stomatal conductance (Gs), operating together with reduced root-to-shoot allocation. These features form a tightly connected network where structural investment and physiological upregulation are synchronised to maximise carbon gain. These findings provide a whole-plant framework for interpreting high productivity, offering guidance for breeding programmes that target trait integration rather than single-trait optimisation. Full article
Show Figures

Figure 1

17 pages, 7056 KB  
Article
An Efficient and Streamlined System for In Vitro Regeneration and Genetic Transformation of Paper Mulberry (Broussonetia papyrifera)
by Fangyu Ye, Tong Ke, Shuiqing Deng, Lan Pan, Ming Tang and Wentao Hu
Life 2026, 16(1), 78; https://doi.org/10.3390/life16010078 - 4 Jan 2026
Viewed by 466
Abstract
In the present study, we developed an efficient and reproducible protocol for in vitro regeneration and Agrobacterium tumefaciens-mediated genetic transformation of Broussonetia papyrifera (L.) L’Hér. ex Vent. (paper mulberry) using leaf explants from a hybrid genotype. First, we optimized surface sterilization of [...] Read more.
In the present study, we developed an efficient and reproducible protocol for in vitro regeneration and Agrobacterium tumefaciens-mediated genetic transformation of Broussonetia papyrifera (L.) L’Hér. ex Vent. (paper mulberry) using leaf explants from a hybrid genotype. First, we optimized surface sterilization of leaf explants. Treatment with 0.6% (w/v) sodium hypochlorite for 8 min, followed by three rinses with sterile water and blotting on sterile filter paper, yielded a 33.60% explant survival rate and reduced contamination to 35.84%. Second, we refined the co-cultivation step for transformation using A. tumefaciens strain EHA105 carrying pCAMBIA1300-35S-eGFP. Leaf discs were infected for 20 min and co-cultured for 2 days on co-cultivation medium overlaid with sterile filter paper, which limited the overgrowth of A. tumefaciens. After co-cultivation, explants were transferred sequentially to callus induction, shoot induction, shoot multiplication, and rooting media supplemented with 250 mg·L−1 cefotaxime and 200 mg·L−1 Timentin, as well as 5.0 mg·L−1 hygromycin at a concentration that completely suppressed regeneration of non-transformed explants. Meanwhile, after transfer to the callus induction medium, eGFP fluorescence was detected in resistant calli as an initial screening for transformants. The integration and expression of the transgene were further confirmed by PCR and quantitative reverse transcription PCR (qRT-PCR) after the resistant calli developed into plantlets. Collectively, this streamlined protocol provides a practical platform for functional genomics and genetic improvement of B. papyrifera. Full article
(This article belongs to the Section Plant Science)
Show Figures

Figure 1

Back to TopTop