Sign in to use this feature.

Years

Between: -

Subjects

remove_circle_outline
remove_circle_outline
remove_circle_outline
remove_circle_outline
remove_circle_outline
remove_circle_outline
remove_circle_outline
remove_circle_outline
remove_circle_outline

Journals

remove_circle_outline
remove_circle_outline
remove_circle_outline
remove_circle_outline
remove_circle_outline
remove_circle_outline

Article Types

Countries / Regions

remove_circle_outline
remove_circle_outline
remove_circle_outline
remove_circle_outline
remove_circle_outline

Search Results (226)

Search Parameters:
Keywords = multiple injection strategy

Order results
Result details
Results per page
Select all
Export citation of selected articles as:
17 pages, 3108 KB  
Article
A Cross-Scale Spatial–Semantic Feature Aggregation Network for Strip Steel Surface Defect Detection
by Chenglong Xu, Yange Sun, Linlin Huang and Huaping Guo
Materials 2025, 18(24), 5567; https://doi.org/10.3390/ma18245567 - 11 Dec 2025
Abstract
Strip steel surface defect detection remains a challenging task due to the diverse scales and uneven spatial distribution of defects, which often lead to incomplete feature representation and missed detections in sparsely distributed regions. To address these challenges, we propose a novel cross-scale [...] Read more.
Strip steel surface defect detection remains a challenging task due to the diverse scales and uneven spatial distribution of defects, which often lead to incomplete feature representation and missed detections in sparsely distributed regions. To address these challenges, we propose a novel cross-scale spatial–semantic feature aggregation network (CSSFAN) that achieves fine-grained and semantically consistent feature fusion across multiple scales. Specifically, CSSFAN adopts a bottom-up feature aggregation strategy equipped with a series of cross-scale spatial–semantic aggregation modules (CSSAMs). Each CSSAM first establishes a mapping relationship between high-level feature points and low-level feature regions and then introduces a cross-scale attention mechanism that adaptively injects spatial details from low-level features into high-level semantic representations. This aggregation strategy bridges the gap between spatial precision and semantic abstraction, enabling the network to capture subtle and irregular defect patterns. Furthermore, we introduce an adaptive region proposal network (ARPN) to cope with the uneven spatial distribution of defects. ARPN dynamically adjusts the number of region proposals according to the local feature complexity, ensuring that regions with dense or subtle defects receive more proposal attention, while sparse or background regions are adaptively suppressed, thereby enhancing the model’s sensitivity to defect-prone areas. Extensive experiments on two strip steel surface defect datasets demonstrate that our method significantly improves detection performance, validating its effectiveness and robustness. Full article
Show Figures

Figure 1

20 pages, 2347 KB  
Article
Workload-Dependent Vulnerability of SDRAM Multi-Bit Upsets in a LEON3 Soft-Core Processor
by Afef Kchaou, Sehmi Saad and Hatem Garrab
Electronics 2025, 14(24), 4852; https://doi.org/10.3390/electronics14244852 - 10 Dec 2025
Viewed by 116
Abstract
Multi-bit upsets (MBUs) are a growing reliability threat in high-density SDRAM, particularly in radiation-prone embedded systems. This paper presents a large-scale FPGA-based fault injection (FI) study targeting external SDRAM in a cache-enabled LEON3 SPARC V8 processor, with over 300,000 dual-bit MBUs injected across [...] Read more.
Multi-bit upsets (MBUs) are a growing reliability threat in high-density SDRAM, particularly in radiation-prone embedded systems. This paper presents a large-scale FPGA-based fault injection (FI) study targeting external SDRAM in a cache-enabled LEON3 SPARC V8 processor, with over 300,000 dual-bit MBUs injected across three diverse workloads: Fast Fourier transform (FFT), matrix multiplication (MulMatrix), and advanced encryption standard (AES). Our results reveal a profound dependence of MBU manifestation on application semantics: memory-intensive benchmarks (FFT, MulMatrix) exhibit high fault detectability through data store and access exceptions, while the AES workload demonstrates exceptional intrinsic masking, with the vast majority of MBUs producing no observable effect. These results demonstrate that processor vulnerability to MBUs is not uniform but fundamentally shaped by workload characteristics, including memory access patterns, control flow regularity, and algorithmic redundancy. The study provides a hardware-validated foundation for designing workload-aware fault tolerance strategies in space-grade and safety-critical embedded platforms. Full article
Show Figures

Figure 1

14 pages, 2428 KB  
Article
Preliminary Evaluation of an Injectable Therapeutic for Cisplatin Ototoxicity Using Neuronal SH-SY5Y Cells
by Michelle Hong, Katherine Kedeshian, Larry Hoffman and Ashley Kita
Medicines 2025, 12(4), 30; https://doi.org/10.3390/medicines12040030 - 9 Dec 2025
Viewed by 85
Abstract
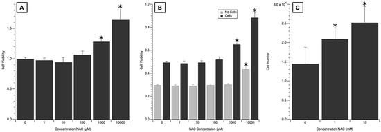
Background/Objectives: Though ototoxic, cisplatin is a mainstay of chemotherapy for a variety of cancers. One suggested mechanism of cisplatin ototoxicity involves damage to the spiral ganglion afferent neurons in the inner ear. There is a need for a high-throughput model to screen medications [...] Read more.
Background/Objectives: Though ototoxic, cisplatin is a mainstay of chemotherapy for a variety of cancers. One suggested mechanism of cisplatin ototoxicity involves damage to the spiral ganglion afferent neurons in the inner ear. There is a need for a high-throughput model to screen medications for efficacy against cisplatin and to develop a local therapeutic to mitigate cisplatin’s debilitating side effects. Microparticles encapsulating a therapeutic medication are an injectable and tunable method of sustained drug delivery, and thus a promising treatment. Methods: SH-SY5y human neuroblastoma cells were used as a cell line model for the spiral ganglion neurons. The cells were dosed with cisplatin and four potential therapeutics (melatonin, metformin, cyclosporine, and N-acetylcysteine), with cell viability measured by CCK-8 assay. The most promising therapeutic, N-acetylcysteine (NAC), was then encapsulated into multiple poly(lactic-co-glycolic acid) (PLGA) microparticle subtypes of varied lactide–glycolide (L:G) ratios and NAC amounts. The elution profile of each microparticle subtype was determined over two months. Results: Of the therapeutics screened, only cells dosed with 1 or 10 mM NAC prior to cisplatin injury demonstrated an improvement in cell viability (73.8%, p < 1 × 10−8) when compared to cells dosed with cisplatin alone. The 75:25 L:G microparticles demonstrated an increase in the amount of NAC released compared to the 50:50 L:G microparticles. Conclusions: NAC is a potential therapeutic agent for cisplatin toxicity when tested in a neuronal cell line model. NAC was encapsulated into PLGA microparticles and eluted detectable concentrations of NAC for 6 days, which is a first step towards otoprotection for the weeks long duration of chemotherapy treatment. This work describes a method of screening potential therapeutics and a strategy to develop local drug eluting treatments to protect against cisplatin ototoxicity. Full article
Show Figures

Figure 1

30 pages, 787 KB  
Review
Qualitative and Quantitative Mass Spectrometry Approaches for the Analysis of Phenolic Compounds in Complex Natural Matrices
by Lara Saftić Martinović, Ana Barbarić and Ivana Gobin
Appl. Sci. 2025, 15(23), 12529; https://doi.org/10.3390/app152312529 - 26 Nov 2025
Viewed by 458
Abstract
Phenolic molecules represent one of the most prevalent and biologically important categories of secondary metabolites. Within this diverse group, phenolic acids and flavonoids are the most extensively studied categories, primarily due to their structural diversity and broad spectrum of reported bioactivities. We first [...] Read more.
Phenolic molecules represent one of the most prevalent and biologically important categories of secondary metabolites. Within this diverse group, phenolic acids and flavonoids are the most extensively studied categories, primarily due to their structural diversity and broad spectrum of reported bioactivities. We first provide an overview of the physicochemical characteristics of flavonoids and phenolic acids and discuss how these properties relate to mass spectrometry (MS) fragmentation patterns and chromatographic behavior, including retention characteristics and isomer resolution. Next, we systematically examine the utilization of MS-based procedures for the characterization of flavonoids and phenolic acids in complex natural matrices. We initially examine targeted liquid chromatography–tandem mass spectrometry (LC–MS/MS) utilizing triple-quadrupole (QQQ) platforms, focusing on selected/multiple reaction monitoring (SRM/MRM) and associated scanning techniques (product-ion and precursor-ion scans). We summarize validated methodologies and strategies for both absolute and relative quantification, including stable-isotope dilution, matrix-matched calibration or standard addition, and internal-standard normalization. We subsequently analyze untargeted high-resolution mass spectrometry methodologies (direct injection and coupled to liquid chromatography), highlighting recent progress in data acquisition while addressing ongoing challenges in computational processing. Finally, we present a brief evaluation of commonly used extraction and clean-up processes, highlighting their practical impact on phenolic recoveries. Full article
(This article belongs to the Special Issue Analytical Studies in Natural Products)
Show Figures

Figure 1

15 pages, 3473 KB  
Article
Heat Extraction Optimization of Well Clusters for Hydrothermal Reservoir Development
by Xiangchun Li, Junlin Yi, Gaosheng Wang, Qian Wei, Shuang Li, Qiliang Cui and Jialin Zhao
Processes 2025, 13(12), 3791; https://doi.org/10.3390/pr13123791 - 24 Nov 2025
Viewed by 299
Abstract
In recent years, hydrothermal geothermal resources have been predominantly exploited through well cluster systems, achieving extensive commercial implementation. The efficient development of such systems remains critically dependent on the comprehensive characterization of regional geological conditions, as multiple subsurface parameters—including stratal thickness, structural relief, [...] Read more.
In recent years, hydrothermal geothermal resources have been predominantly exploited through well cluster systems, achieving extensive commercial implementation. The efficient development of such systems remains critically dependent on the comprehensive characterization of regional geological conditions, as multiple subsurface parameters—including stratal thickness, structural relief, porosity–permeability distribution, and fault architecture—exert substantial control over reservoir performance. However, the effective integration of these geological factors to optimize well network configurations, balancing economic viability, power output, and other evaluation metrics to enhance heat extraction efficiency and delay thermal breakthrough, remains unresolved. This study aimed to identify the optimal well cluster for hydrothermal geothermal resources in the X region. Geological, drilling, and well-logging data were compiled to construct a region-specific geological model. A coupled numerical model of fluid flow and heat transfer was developed for a five-spot well pattern. System performances under two commonly applied injection-to-production ratios (2:3 and 1:4) and spatial configurations between injection and production wells were quantified. A multi-criteria evaluation framework integrating heat extraction power, injection–production pressure difference, and production temperature decline was implemented to holistically assess well cluster. An integrated weighting strategy combining subjective expertise and objective analytical criteria was implemented alongside the TOPSIS method to systematically identify the optimal wellfield configuration. Results demonstrate that Pattern 11, comprising three injection wells and two production wells, achieved superior comprehensive performance among 15 patterns, with heat extraction power 24.13 MW, and production temperature decline <1 °C and injection–production pressure difference <3 MPa. Full article
(This article belongs to the Section Energy Systems)
Show Figures

Figure 1

22 pages, 971 KB  
Article
Emulation-Based Analysis of Multiple Cell Upsets in LEON3 SDRAM: A Workload-Dependent Vulnerability Study
by Afef Kchaou, Sehmi Saad and Hatem Garrab
Electronics 2025, 14(23), 4582; https://doi.org/10.3390/electronics14234582 - 23 Nov 2025
Cited by 1 | Viewed by 189
Abstract
The reliability of embedded processors in safety- and mission-critical domains is increasingly threatened by radiation-induced soft errors, particularly multiple-cell upsets (MCUs) that simultaneously corrupt adjacent cells in external SDRAM. While prior studies on the LEON3 processor have largely focused on single-event upsets (SEUs) [...] Read more.
The reliability of embedded processors in safety- and mission-critical domains is increasingly threatened by radiation-induced soft errors, particularly multiple-cell upsets (MCUs) that simultaneously corrupt adjacent cells in external SDRAM. While prior studies on the LEON3 processor have largely focused on single-event upsets (SEUs) in internal SRAM structures, they overlook MCU effects in off-chip SDRAM, a critical gap that limits fault coverage and compromises system-level reliability assessment in modern high-density embedded systems. This paper presents an SDRAM-based fault injection framework using FPGA emulation to evaluate the impact of MCUs on the LEON3 soft-core processor, with faults directly injected into the external memory subsystem where data corruptions can rapidly propagate into system-level failures. The methodology injects spatially correlated two-bit MCUs directly into SDRAM during realistic workload execution. Three architecturally diverse benchmarks were analyzed, each representing a distinct computational workload: a numerical (matrix multiplication), signal-processing (FFT), and a cryptographic (AES-128 encryption) application, chosen to capture arithmetic-intensive, iterative, and control-intensive execution profiles, respectively. The results reveal a distinct workload-dependent vulnerability profile. Matrix multiplication exhibited >99.99% fault activation, with outcomes overwhelmingly dominated by data store errors. FFT showed >97% activation in steady-state execution, following an initial phase sensitive to alignment and data access exceptions. AES displayed 88.12% non-propagating faults, primarily due to injections in inactive memory regions, but remained exposed to critical memory access violations and control-flow exceptions that enable fault-based cryptanalysis. These findings demonstrate that SEU-only models severely underestimate real-world MCU risks and underscore the necessity of selective, workload-aware fault-tolerance strategies: lightweight ECC for cryptographic data structures, alignment monitoring for signal processing, and algorithm-based fault tolerance (ABFT) for numerical kernels. This work provides actionable insights for hardening LEON3-based systems against emerging multi-bit threats in radiation-rich and adversarial environments. Full article
Show Figures

Figure 1

14 pages, 5677 KB  
Review
Anatomical Considerations in the Twin Block Technique for the Treatment of Masticatory Myofascial Pain: An Anatomical Review
by Camila Venegas-Ocampo, Veronica Iturriaga, Nicolás E. Ottone, Carlos Torres-Villar, Franco Marinelli, Ramón Gelabert and Ramón Fuentes
J. Clin. Med. 2025, 14(23), 8299; https://doi.org/10.3390/jcm14238299 - 22 Nov 2025
Viewed by 455
Abstract
Myofascial pain (MFP) is one of the most frequent temporomandibular disorders (TMDs), primarily affecting the masseter and temporalis muscles. Various treatment strategies have been developed, including trigger point injections (TrP) and nerve blocks. Among these, the twin block technique has recently emerged as [...] Read more.
Myofascial pain (MFP) is one of the most frequent temporomandibular disorders (TMDs), primarily affecting the masseter and temporalis muscles. Various treatment strategies have been developed, including trigger point injections (TrP) and nerve blocks. Among these, the twin block technique has recently emerged as a promising, minimally invasive approach for simultaneously anesthetizing the masseteric and anterior deep temporal nerves through a single extraoral injection. This review presents the anatomical considerations essential for the application of the twin block technique. The course, branching patterns, and relationships of the masseteric and deep temporal nerves with adjacent vascular structures are described based on the current anatomical literature. A comparison is also made of isolated nerve blocks and the twin block, highlighting procedural protocols, clinical advantages, and safety profiles. The anatomical proximity between the masseteric and deep temporal nerves supports the rationale for a single-puncture approach, which can effectively reduce muscle tone, inhibit nociceptive input, and silence multiple trigger points simultaneously. In addition to its therapeutic benefits, the twin block can serve as a diagnostic tool to differentiate muscular from joint or odontogenic pain. In conclusion, the twin block technique offers a precise and efficient method for managing masticatory myofascial pain, provided that detailed anatomical knowledge is applied to ensure procedural accuracy, a low incidence of adverse effects, and patient safety. Full article
(This article belongs to the Section Dentistry, Oral Surgery and Oral Medicine)
Show Figures

Figure 1

22 pages, 1143 KB  
Article
Comparative Analysis of SQL Injection Defense Mechanisms Based on Three Approaches: PDO, PVT, and ART
by Jiho Choi, Young-Ae Jung and Hoon Ko
Appl. Sci. 2025, 15(23), 12351; https://doi.org/10.3390/app152312351 - 21 Nov 2025
Viewed by 550
Abstract
This study presents a comprehensive examination of the risks associated with SQL Injection attacks, with a particular focus on the Union Select technique. This method is frequently exploited by attackers to retrieve unauthorized data by appending malicious queries to legitimate database calls. We [...] Read more.
This study presents a comprehensive examination of the risks associated with SQL Injection attacks, with a particular focus on the Union Select technique. This method is frequently exploited by attackers to retrieve unauthorized data by appending malicious queries to legitimate database calls. We analyzed multiple real-world cases where personal information was leaked through such attacks, underscoring the urgent need for robust countermeasures in modern web applications. To address these threats, we developed and implemented a multi-layered defense strategy. This strategy includes using PHP Data Objects (PDO) with Prepared Statements to safely handling user inputs, rigorous input pattern validation to detect and reject suspicious payloads, and a redirection-based filtering mechanism to disrupt abnormal access attempts. Through controlled experiments, we validated the effectiveness of these techniques in mitigating SQL Injection attacks. The results demonstrate that our approach successfully blocked malicious queries and prevented unauthorized data access or manipulation. These findings represent a significant contribution to enhancing the security, stability, and trustworthiness of web-based systems, especially those handling sensitive user information. Finally, this work is presented as an educational comparative study, not as a proposal of new defense mechanisms, aiming to provide a clear and reproducible evaluation of standard SQL injection countermeasures. The contributions of this work are threefold: (i) it provides a unified comparative evaluation of three representative SQL injection defense methods—PDO, pattern validation, and attacker redirection—under identical experimental conditions; (ii) it analyzes their strengths, weaknesses, and practical applicability in PHP–MySQL environments; and (iii) it serves as an educational reference that bridges theoretical understanding and practical implementation. The study also suggests directions for extending this work through machine-learning-based anomaly detection and runtime self-protection (RASP) frameworks. Full article
Show Figures

Figure 1

58 pages, 15734 KB  
Article
Study on Combustion Characteristics of Compression Ignition Marine Methanol/Diesel Dual-Fuel Engine
by Zhongcheng Wang, Jie Zhu, Xiaoyu Liu, Jingjun Zhong and Xin Jiang
J. Mar. Sci. Eng. 2025, 13(11), 2213; https://doi.org/10.3390/jmse13112213 - 20 Nov 2025
Viewed by 302
Abstract
With the increasing global demand for environmental protection and sustainable energy utilization, methanol, as a clean and renewable fuel, has become a research focus in the field of marine engines. However, its application in compression ignition engines faces bottlenecks such as low combustion [...] Read more.
With the increasing global demand for environmental protection and sustainable energy utilization, methanol, as a clean and renewable fuel, has become a research focus in the field of marine engines. However, its application in compression ignition engines faces bottlenecks such as low combustion efficiency and poor stability. Taking the L23/30H marine diesel engine as the research object, this paper establishes a combustion simulation model for a methanol/diesel dual-fuel direct-injection engine. The reliability of the model is ensured through grid independence verification and model calibration, and a coupled chemical reaction kinetic mechanism containing 126 species and 711 elementary reactions is constructed. A systematic study is conducted on the effects of injection strategies, including fuel operating modes, spray development patterns, injection intervals, and injection timing, on combustion characteristics. The results show that under the optimized injection strategy (vertical cross spray + synchronous injection) proposed in this study and operating conditions with a high methanol substitution ratio, the combustion efficiency, dynamic performance, and soot emission control effect of the dual-fuel mode are superior to those of the pure diesel mode. Simulation results show that the combined strategy of vertical cross injection and synchronous injection can significantly increase the indicated thermal efficiency (ITE) by 3.2%, reduce the brake specific fuel consumption (BSFC) by approximately 4.5%, advance the peak heat release by 2 °CA, and remarkably improve the combustion efficiency, while earlier injection timing is beneficial to air–fuel mixing. Further comparison of combustion and emission characteristics under different boundary conditions such as methanol energy ratios and injection pressures reveals that increasing methanol injection pressure, compression ratio, and initial pressure can improve combustion uniformity and reduce soot emissions, but NOx emissions increase, which requires the coordination of after-treatment technologies. Through the comprehensive optimization of multiple parameters, efficient and clean combustion under a high methanol substitution rate is achieved. This paper provides theoretical support and practical guidance for the technological development of marine methanol dual-fuel engines. In the future, industrial applications can be promoted by combining actual engine tests and after-treatment technologies. Full article
(This article belongs to the Special Issue Advanced Technologies for New (Clean) Energy Ships—2nd Edition)
Show Figures

Figure 1

31 pages, 5285 KB  
Article
Ensemble Deep Learning for Real–Bogus Classification with Sky Survey Images
by Pakpoom Prommool, Sirikan Chucherd, Natthakan Iam-On and Tossapon Boongoen
Biomimetics 2025, 10(11), 781; https://doi.org/10.3390/biomimetics10110781 - 17 Nov 2025
Viewed by 482
Abstract
The discovery of the fifth gravitational wave, GW170817, and its electromagnetic counterpart, resulting from the merger of neutron stars by the LIGO and Virgo teams, marked a major milestone in astronomy. It was the first time that gravitational waves and light from the [...] Read more.
The discovery of the fifth gravitational wave, GW170817, and its electromagnetic counterpart, resulting from the merger of neutron stars by the LIGO and Virgo teams, marked a major milestone in astronomy. It was the first time that gravitational waves and light from the same cosmic event were observed simultaneously. The LIGO detectors in the United States recorded the signal for 100 s, longer than in previous detections. The merging of neutron stars emits both gravitational and electromagnetic waves across all frequencies—from radio to gamma rays. However, pinpointing the exact source remains difficult, requiring rapid sky scanning to locate it. To address this challenge, the Gravitational-Wave Optical Transient Observer (GOTO) project was established. It is specifically designed to detect optical light from transient events associated with gravitational waves, enabling faster follow-up observations and a deeper study of these short-lived astronomical phenomena, which appear and disappear quickly in the universe. In astrophysics, it has become more important to find astronomical transient events like supernovae, gamma-ray bursts, and stellar flares because they are linked to extreme cosmic processes. However, finding these short-lived events in huge sky survey datasets, like those from the GOTO project, is very hard for traditional analysis methods. This study suggests a deep learning methodology employing Convolutional Neural Networks (CNNs) to enhance transient classification. CNNs are based on how biological vision systems work and how they are structured. They mimic how animal brains hierarchically process visual information, making it possible to automatically find complex spatial patterns in astronomical images. Transfer learning and fine-tuning on pretrained ImageNet models are utilized to emulate adaptive learning observed in biological organisms, enabling swift adaptation to new tasks with minimal data. Data augmentation methods like rotation, flipping, and noise injection mimic changes in the environment to improve model generalization. Dropout and different batch sizes are used to stop overfitting, which is similar to how biological systems use redundancy and noise tolerance. Ensemble learning strategies, such as Soft Voting and Weighted Voting, draw inspiration from collective intelligence in biological systems, integrating multiple CNN models to enhance decision-making robustness. Our findings indicate that this bio-inspired framework substantially improves the precision and dependability of transient detection, providing a scalable solution for real-time applications in extensive sky surveys such as GOTO. Full article
(This article belongs to the Section Bioinspired Sensorics, Information Processing and Control)
Show Figures

Figure 1

14 pages, 1195 KB  
Article
Co-Design and Non-Randomised Pilot Evaluation of Resources Developed to Optimise Saliva Management in People with Motor Neurone Disease
by Shana Taubert, Annette Collins, Robert Henderson, Pamela McCombe, Lily Tang, Katrina Kramer, Laurelie Wishart and Clare Burns
Healthcare 2025, 13(21), 2813; https://doi.org/10.3390/healthcare13212813 - 5 Nov 2025
Viewed by 324
Abstract
Background/Objectives: People living with MND (plwMND) commonly develop difficulty swallowing and subsequent difficulty clearing saliva from the airway. Medical saliva interventions include pharmacological agents, botulinum toxin injections, and radiation to salivary glands, with associated side effects. Non-invasive behavioural strategies and natural remedies [...] Read more.
Background/Objectives: People living with MND (plwMND) commonly develop difficulty swallowing and subsequent difficulty clearing saliva from the airway. Medical saliva interventions include pharmacological agents, botulinum toxin injections, and radiation to salivary glands, with associated side effects. Non-invasive behavioural strategies and natural remedies are also recommended. Saliva symptom management is guided by the multidisciplinary MND team (typically through a three-monthly clinic) alongside community clinicians. Some plwMND report difficulty recalling and implementing treatments between clinics. This study aimed to enhance the content and method of providing recommendations for self-management of saliva symptoms by (i) developing MND-specific resources and (ii) evaluating resource use and preliminary clinical benefit. Methods: In Phase 1 plwMND, caregivers, and clinicians co-designed saliva management resources. Phase 2 examined the use of these resources via a hospital-based MND clinic with 28 plwMND, their caregivers, and community clinicians. In the clinic, plwMND were given a written treatment plan and relevant resources. During reviews at weeks 2, 6, and 12 saliva treatment was adjusted and clinical outcomes evaluated using the Clinical Saliva Scale for MND (CSS-MND). Community clinicians, plwMND, and caregivers were surveyed regarding the resource utility. Results: People living with MND reported the resources assisted saliva symptom self-management. Community clinicians found the resources informative and beneficial in supporting patient care. All plwMND required multiple treatment strategies and adjustments to manage symptoms. Of the treatments prescribed, 91% were non-invasive and 9% were medical interventions. For 54% (n = 15) of plwMND, improved CSS-MND scores were sustained over the three-month evaluation. Conclusions: Co-designed saliva resources and regular reviews assisted plwMND to implement their individualised saliva treatment, to self-manage saliva symptoms between clinics. Full article
(This article belongs to the Special Issue Improving Care for People Living with ALS/MND)
Show Figures

Figure 1

18 pages, 7033 KB  
Article
Implications of Flume Simulation for the Architectural Analysis of Shallow-Water Deltas: A Case Study from the S Oilfield, Offshore China
by Lixin Wang, Ge Xiong, Yanshu Yin, Wenjie Feng, Jie Li, Pengfei Xie, Xun Hu and Xixin Wang
J. Mar. Sci. Eng. 2025, 13(11), 2095; https://doi.org/10.3390/jmse13112095 - 3 Nov 2025
Viewed by 383
Abstract
The shallow-water delta-front reservoir in Member II of the Oligocene Dongying Formation (Ed2), located in an oilfield within the Bohai Bay Basin, is a large-scale composite sedimentary system dominated by subaqueous distributary channels and mouth bars. Within this system, reservoir sand bodies exhibit [...] Read more.
The shallow-water delta-front reservoir in Member II of the Oligocene Dongying Formation (Ed2), located in an oilfield within the Bohai Bay Basin, is a large-scale composite sedimentary system dominated by subaqueous distributary channels and mouth bars. Within this system, reservoir sand bodies exhibit significant thickness, complex internal architecture, poor injection–production correspondence during development, and an ambiguous understanding of remaining oil distribution. To enhance late-stage development efficiency, it is imperative to deepen the understanding of the genesis and evolution of the subaqueous distributary channel–mouth bar system, analyze the internal reservoir architecture, and clarify sand body connectivity relationships. Based on sedimentary physical modeling experiments, integrated with core, well logging, and seismic data, this study systematically reveals the architectural characteristics and spatial stacking patterns of the mouth bar reservoirs using Miall’s architectural element analysis method. The results indicate that the study area is dominated by sand-rich, shallow-water delta front deposits, which display a predominantly coarsening-upward character. The main reservoir units are mouth bar sand bodies (accounting for 30%), with a vertical stacking thickness ranging from 3 to 20 m, and they exhibit lobate distribution patterns in plan view. Sedimentary physical modeling reveals the formation mechanism and stacking patterns of these sand-rich, thick sand bodies. Upon entering the lake, the main distributary channel unloads its sediment, forming accretionary bodies. The main channel then bifurcates, and a new main channel forms in the subsequent unit, which transports sediment away and initiates a new phase of deposition. Multi-phase deposition ultimately builds large-scale lobate complexes composed of channel–mouth bar assemblages. These complexes exhibit internal architectural styles, including channel–channel splicing, channel–bar splicing, and bar–bar splicing. Reservoir architecture analysis demonstrates that an individual distributary channel governs the formation of an individual lobe, whereas multiple distributary channels control the development of composite lobes. These lobes are laterally spliced and vertically superimposed, exhibiting a multi-phase progradational stacking pattern. Dynamic production data analysis validates the reliability of this reservoir architecture classification. This research elucidates the genetic mechanisms of thick sand bodies in delta fronts and establishes a region-specific reservoir architecture model. This study clarifies the spatial distribution of mudstone interlayers and preferential flow pathways within the composite sand bodies. It provides a geological basis for optimizing injection–production strategies and targeting residual oil during the ultra-high water-cut stage. The findings offer critical guidance for the efficient development of shallow-water delta front reservoirs. Full article
(This article belongs to the Section Geological Oceanography)
Show Figures

Figure 1

15 pages, 4366 KB  
Article
Authors’ Protocol of Central Giant Cell Granuloma Effective Treatment in the Jawbone
by Dominik Szczeciński, Patrycja Ujma, Katarzyna Radwańska, Piotr Szymor and Marcin Kozakiewicz
Cancers 2025, 17(21), 3510; https://doi.org/10.3390/cancers17213510 - 31 Oct 2025
Viewed by 495
Abstract
Background: Central giant cell granuloma of the jaw is a benign but potentially aggressive lesion that can cause pain, facial deformity, tooth loss, and jaw destruction. Many treatment methods are described in the literature, but the less invasive ones are associated with a [...] Read more.
Background: Central giant cell granuloma of the jaw is a benign but potentially aggressive lesion that can cause pain, facial deformity, tooth loss, and jaw destruction. Many treatment methods are described in the literature, but the less invasive ones are associated with a higher recurrence rate. For several decades, extensive bone resection procedures have been the most effective treatment to date. This study aimed to evaluate a minimally invasive treatment protocol combining multiple weekly intralesional steroid injections with surgical removal of residual tumor tissue and chemical cauterization using Carnoy’s solution. Methods: Thirteen patients with histologically confirmed central giant cell granulomas of the jaws were treated according to the protocol, including weekly triamcinolone injections and, when necessary, fenestration of the cortical bone to access residual lesions. Patients were monitored clinically and radiologically over six years, with reconstruction of bone defects using autogenous grafts and platelet-rich fibrin. Results: The treatment effectively reduced tumor size, restored cortical bone, and allowed preservation of jaw structure. Only one recurrence was observed, and complications were minor and transient. The protocol was equally effective for both aggressive and non-aggressive lesions, regardless of patient age or comorbidities. Conclusions: These findings suggest that combining pharmacological and surgical approaches with chemical cauterization provides a safe, effective, and tissue-preserving strategy for managing central giant cell granulomas, minimizing recurrence while reducing surgical morbidity. Full article
Show Figures

Figure 1

45 pages, 2725 KB  
Review
Injectable Hydrogel Systems for Targeted Drug Delivery: From Site-Specific Application to Design Strategy
by Yeji Lee, Minji Kim, Nurihan Kim, Seonyeong Byun, Soonmin Seo and Jung Y. Han
Appl. Sci. 2025, 15(21), 11599; https://doi.org/10.3390/app152111599 - 30 Oct 2025
Viewed by 1976
Abstract
Injectable hydrogels are adaptable drug delivery systems capable of forming localized depots that align with the anatomical and physiological constraints of administration sites. Their performance depends on both the injection environment and the properties of the therapeutic cargo. Applications span ocular, intra-articular, subcutaneous, [...] Read more.
Injectable hydrogels are adaptable drug delivery systems capable of forming localized depots that align with the anatomical and physiological constraints of administration sites. Their performance depends on both the injection environment and the properties of the therapeutic cargo. Applications span ocular, intra-articular, subcutaneous, intramuscular, tumoral, central nervous system, and mucosal delivery, where hydrogels address challenges of clearance, retention, and compatibility. Beyond bulk depots, particulate hydrogel formats such as microgels and nanogels improve syringeability, modularity, and integration with nanoparticle carriers. Functional versatility arises from stimuli responsiveness, including pH, enzymatic, thermal, redox, and light triggers, and from hybrid designs that integrate multiple cues for precision control. Loading strategies range from passive encapsulation to affinity binding and covalent conjugation, with release governed by diffusion, degradation, and stimuli-modulated kinetics. Translational progress depends on reproducible fabrication, scalable manufacturing, and device integration, while site-dependent constraints and regulatory hurdles remain significant challenges. Full article
(This article belongs to the Special Issue Anticancer Drugs: New Developments and Discoveries)
Show Figures

Figure 1

17 pages, 1546 KB  
Article
Secure State Estimation with Asynchronous Measurements for Coordinated Cyber Attack Detection in Active Distribution Systems
by Md Musabbir Hossain and Wei Sun
Energies 2025, 18(21), 5604; https://doi.org/10.3390/en18215604 - 24 Oct 2025
Viewed by 363
Abstract
Coordinated cyber attacks tamper with measurement data to disrupt the situational awareness of active distribution systems. Various sensors report measurements asynchronously at different rates, which introduces challenges during state estimation. In addition, this forces cyber intruders to exert greater effort to compromise multiple [...] Read more.
Coordinated cyber attacks tamper with measurement data to disrupt the situational awareness of active distribution systems. Various sensors report measurements asynchronously at different rates, which introduces challenges during state estimation. In addition, this forces cyber intruders to exert greater effort to compromise multiple communication channels and launch coordinated attacks. Therefore, multi-channel and asynchronous measurements could be harnessed to develop more secure cyber defense strategies. In this paper, a prediction-correction-based multi-rate observer is designed to exploit the value of asynchronous measurements for the detection of coordinated false data injection (FDI) attacks. First, a time-function-dependent prediction-correction strategy is proposed to adjust the sampling interval for each sensor’s measurement. Then, an observer is designed based on the trade-off between estimation error and the optimal period of the most recent sampling instant, with the convergence of estimation error with the maximum permitted sampling interval. Moreover, the conditions for exponential stability are developed using the Lyapunov–Krasovskii functional technique. Next, a coordinated FDI attack detection strategy is developed based on the dual nonlinear minimization problem. The proposed attack detection and secure state estimation strategies are tested on the IEEE 13-node system. Simulation results show that these schemes are effective in enhancing attack detection based on asynchronous measurements or compromised data. Full article
(This article belongs to the Special Issue Cyber Security in Microgrids and Smart Grids—2nd Edition)
Show Figures

Figure 1

Back to TopTop