Preliminary Evaluation of an Injectable Therapeutic for Cisplatin Ototoxicity Using Neuronal SH-SY5Y Cells
Abstract
1. Introduction
2. Materials and Methods
2.1. Reagents
2.2. Cell Culture
2.3. CCK-8 Cell Viability Assay
2.4. Cell Counting Viability Assay
2.5. NAC Microparticle Creation and Size Distribution Analysis
2.6. Microparticle Elution and Encapsulation Efficiency
2.7. Measuring NAC Concentration of Microparticle Eluent
2.8. Statistical Analysis and Figure Creation
3. Results
3.1. Screening for Therapeutic Agents Against Cisplatin Toxicity
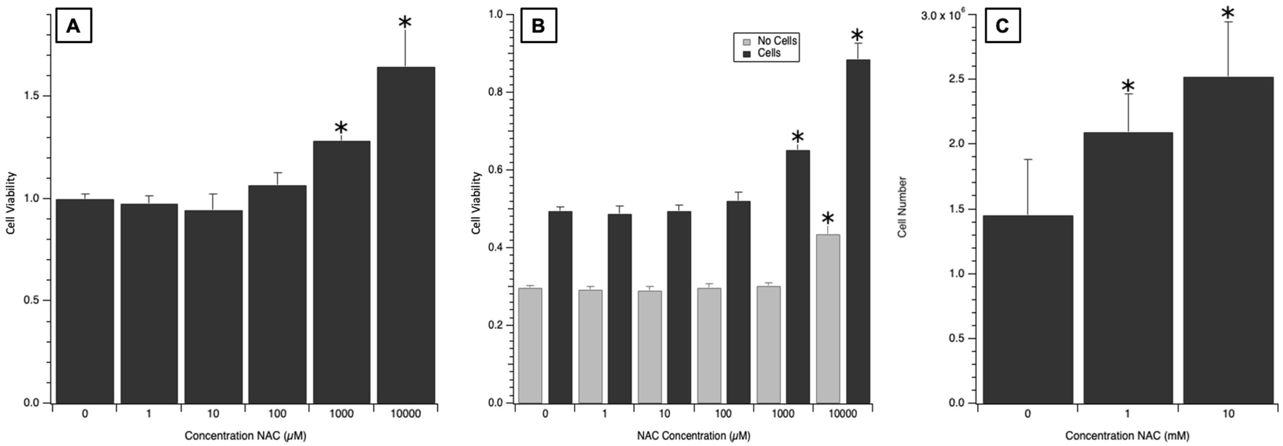
3.2. Confirmation of NAC Protection Against Cisplatin Toxicity in SH-SY5Y Cells
3.3. Characterization of NAC-Encapsulated PLGA Microparticle
3.4. Effect of Eluted NAC on SH-SY5Y Cell Line with Cisplatin Injury
4. Discussion
4.1. Cisplatin Displays Dose-Dependent Toxicity of SH-SY5Y Cells
4.2. NAC Increases SH-SY5Y Viability with Cisplatin Injury
4.3. Encapsulating NAC into PLGA Polymer Microparticles
4.4. NAC Eluted from Microparticle Is Bioactive
5. Conclusions
Author Contributions
Funding
Institutional Review Board Statement
Informed Consent Statement
Data Availability Statement
Conflicts of Interest
Abbreviations
| NAC | N-acetylcysteine |
| PLGA | Poly(lactic-co-glycolic acid) |
| MP | Microparticles |
Appendix A
| Reagent/Product | Vendor | Vendor Location | Product Number |
|---|---|---|---|
| Cisplatin | Cayman Chemical | Ann Arbor, MI, USA | 13119 |
| N-acetylcysteine | Sigma-Aldrich | Saint Louis, MO, USA | A7250 |
| Melatonin | Alfa Aesar | Ward Hill, MA, USA | J62452-06 |
| Metformin | Sigma-Aldrich | Saint Louis, MO, USA | PHR1084 |
| Cyclosporine | Biotang Inc. | Lexington, MA, USA | 50-751-3695 |
| SH-SY5Y cell line | ATCC | Manassas, VA, USA | ATCC-CRL-2266 |
| 1:1 Dulbecco’s modified Eagle’s medium and F12 medium | ThermoFisher Scientific | Waltham, MA, USA | 11320033 |
| Fetal Bovine Serum | ThermoFisher Scientific | Waltham, MA, USA | 26140079 |
| Penicillin-streptomycin | ThermoFisher Scientific | Waltham, MA, USA | 15140122 |
| CCK-8 | Sigma-Aldrich | Saint Louis, MO, USA | 96992 |
| T25 Cell Culture Flask | Falcon | Glendale, AZ, USA | 353109 |
| Trypsin-EDTA | ThermoFisher Scientific | Waltham, MA, USA | 25200056 |
| Trypan Blue | ThermoFisher Scientific | Waltham, MA, USA | 15250061 |
| 50:50 lactide–glycolide PLGA | Corbion | Lenexa, KS, USA | PURASORB 5004A |
| 75:25 lactide–glycolide PLGA | Corbion | Lenexa, KS, USA | PURASORB 7504A |
| Dichloromethane | Sigma-Aldrich | Saint Louis, MO, USA | L090000 |
| Polyvinyl Alcohol | Sigma-Aldrich | Saint Louis, MO, USA | 341584 |
| 12-well transwell plate | Corning HTS | Durham, NC, USA | 3401 |
| Ellman’s Reagent | ThermoFisher Scientific | Waltham, MA, USA | 22582 |
References
- Schacht, J.; Talaska, A.E.; Rybak, L.P. Cisplatin and aminoglycoside antibiotics: Hearing loss and its prevention. Anat. Rec. 2012, 295, 1837–1850. [Google Scholar] [CrossRef]
- Yu, D.; Gu, J.; Chen, Y.; Kang, W.; Wang, X.; Wu, H. Current Strategies to Combat Cisplatin-Induced Ototoxicity. Front. Pharmacol. 2020, 11, 999. [Google Scholar] [CrossRef] [PubMed]
- Karasawa, T.; Steyger, P.S. An integrated view of cisplatin-induced nephrotoxicity and ototoxicity. Toxicol. Lett. 2015, 237, 219–227. [Google Scholar] [CrossRef] [PubMed]
- Rajput, K.; Edwards, L.; Brock, P.; Abiodun, A.; Simpkin, P.; Al-Malky, G. Ototoxicity-induced hearing loss and quality of life in survivors of paediatric cancer. Int. J. Pediatr. Otorhinolaryngol. 2020, 138, 110401. [Google Scholar] [CrossRef] [PubMed]
- Gentilin, E.; Simoni, E.; Candito, M.; Cazzador, D.; Astolfi, L. Cisplatin-Induced Ototoxicity: Updates on Molecular Targets. Trends Mol. Med. 2019, 25, 1123–1132. [Google Scholar] [CrossRef]
- Breglio, A.M.; Rusheen, A.E.; Shide, E.D.; Fernandez, K.A.; Spielbauer, K.K.; McLachlin, K.M.; Hall, M.D.; Amable, L.; Cunningham, L.L. Cisplatin is retained in the cochlea indefinitely following chemotherapy. Nat. Commun. 2017, 8, 1654. [Google Scholar] [CrossRef]
- Steyger, P.S. Mechanisms of Aminoglycoside- and Cisplatin-Induced Ototoxicity. Am. J. Audiol. 2021, 30, 887–900. [Google Scholar] [CrossRef]
- Sheth, S.; Mukherjea, D.; Rybak, L.P.; Ramkumar, V. Mechanisms of Cisplatin-Induced Ototoxicity and Otoprotection. Front. Cell Neurosci. 2017, 11, 338. [Google Scholar] [CrossRef]
- Liu, W.; Xu, L.; Wang, X.; Zhang, D.; Sun, G.; Wang, M.; Wang, M.; Han, Y.; Chai, R.; Wang, H. PRDX1 activates autophagy via the PTEN-AKT signaling pathway to protect against cisplatin-induced spiral ganglion neuron damage. Autophagy 2021, 17, 4159–4181. [Google Scholar] [CrossRef]
- van Ruijven, M.W.; de Groot, J.C.; Klis, S.F.; Smoorenburg, G.F. The cochlear targets of cisplatin: An electrophysiological and morphological time-sequence study. Hear. Res. 2005, 205, 241–248. [Google Scholar] [CrossRef]
- Zheng, J.L.; Gao, W.Q. Differential damage to auditory neurons and hair cells by ototoxins and neuroprotection by specific neurotrophins in rat cochlear organotypic cultures. Eur. J. Neurosci. 1996, 8, 1897–1905. [Google Scholar] [CrossRef] [PubMed]
- Feghali, J.G.; Liu, W.; Van De Water, T.R. L-n-acetyl-cysteine protection against cisplatin-induced auditory neuronal and hair cell toxicity. Laryngoscope 2001, 111, 1147–1155. [Google Scholar] [CrossRef]
- Wu, X.; Li, X.; Song, Y.; Li, H.; Bai, X.; Liu, W.; Han, Y.; Xu, L.; Li, J.; Zhang, D.; et al. Allicin protects auditory hair cells and spiral ganglion neurons from cisplatin—Induced apoptosis. Neuropharmacology 2017, 116, 429–440. [Google Scholar] [CrossRef]
- Hodge, S.E.; Lopez, I.A.; Ishiyama, G.; Ishiyama, A. Cisplatin ototoxicity histopathology. Laryngoscope Investig. Otolaryngol. 2021, 6, 852–856. [Google Scholar] [CrossRef]
- Kovalevich, J.; Santerre, M.; Langford, D. Considerations for the Use of SH-SY5Y Neuroblastoma Cells in Neurobiology. Methods Mol. Biol. 2021, 2311, 9–23. [Google Scholar] [CrossRef]
- Rathinam, R.; Ghosh, S.; Neumann, W.L.; Jamesdaniel, S. Cisplatin-induced apoptosis in auditory, renal, and neuronal cells is associated with nitration and downregulation of LMO4. Cell Death Discov. 2015, 1, 15052. [Google Scholar] [CrossRef]
- Kita, A.; Saldate, J.; Chang, C.; Chellappa, N.; Jong, J.; Matsuda, R.; Schmidt, A.; Shih, B.; Shafqat, I.; Schoettler, K.; et al. Implantable Drug Reservoir Devices for Inner Ear Delivery of Pharmacotherapeutics. Otolaryngol. Head Neck Surg. 2020, 163, 791–798. [Google Scholar] [CrossRef]
- Donzelli, E.; Carfi, M.; Miloso, M.; Strada, A.; Galbiati, S.; Bayssas, M.; Griffon-Etienne, G.; Cavaletti, G.; Petruccioli, M.G.; Tredici, G. Neurotoxicity of platinum compounds: Comparison of the effects of cisplatin and oxaliplatin on the human neuroblastoma cell line SH-SY5Y. J. Neuro-Oncol. 2004, 67, 65–73. [Google Scholar] [CrossRef]
- Sun, Y.X.; Yang, J.; Wang, P.Y.; Li, Y.J.; Xie, S.Y.; Sun, R.P. Cisplatin regulates SH-SY5Y cell growth through downregulation of BDNF via miR-16. Oncol. Rep. 2013, 30, 2343–2349. [Google Scholar] [CrossRef] [PubMed]
- Riga, M.G.; Chelis, L.; Kakolyris, S.; Papadopoulos, S.; Stathakidou, S.; Chamalidou, E.; Xenidis, N.; Amarantidis, K.; Dimopoulos, P.; Danielides, V. Transtympanic injections of N-acetylcysteine for the prevention of cisplatin-induced ototoxicity: A feasible method with promising efficacy. Am. J. Clin. Oncol. 2013, 36, 1–6. [Google Scholar] [CrossRef] [PubMed]
- Mohan, S.; Smyth, B.J.; Namin, A.; Phillips, G.; Gratton, M.A. Targeted amelioration of cisplatin-induced ototoxicity in guinea pigs. Otolaryngol. Head Neck Surg. 2014, 151, 836–839. [Google Scholar] [CrossRef]
- Yoo, J.; Hamilton, S.J.; Angel, D.; Fung, K.; Franklin, J.; Parnes, L.S.; Lewis, D.; Venkatesan, V.; Winquist, E. Cisplatin otoprotection using transtympanic L-N-acetylcysteine: A pilot randomized study in head and neck cancer patients. Laryngoscope 2014, 124, E87–E94. [Google Scholar] [CrossRef]
- Wang, W.; Chen, E.; Ding, X.; Lu, P.; Chen, J.; Ma, P.; Lu, L. N-acetylcysteine protect inner hair cells from cisplatin by alleviated celluar oxidative stress and apoptosis. Toxicol. In Vitro 2022, 81, 105354. [Google Scholar] [CrossRef]
- Chang, J.; Jung, H.H.; Yang, J.Y.; Lee, S.; Choi, J.; Im, G.J.; Chae, S.W. Protective effect of metformin against cisplatin-induced ototoxicity in an auditory cell line. J. Assoc. Res. Otolaryngol. 2014, 15, 149–158. [Google Scholar] [CrossRef][Green Version]
- DE Araujo, J.G.; Serra, L.S.M.; Lauand, L.; Kückelhaus, S.A.S.; Sampaio, A.L.L. Protective Effect of Melatonin on Cisplatin-induced Ototoxicity in Rats. Anticancer Res. 2019, 39, 2453–2458. [Google Scholar] [CrossRef]
- Campbell, P.I.; al-Nasser, I.A. Renal insufficiency induced by cisplatin in rats is ameliorated by cyclosporin A. Toxicology 1996, 114, 11–17. [Google Scholar] [CrossRef] [PubMed]
- Horie, R.T.; Sakamoto, T.; Nakagawa, T.; Tabata, Y.; Okamura, N.; Tomiyama, N.; Tachibana, M.; Ito, J. Sustained delivery of lidocaine into the cochlea using poly lactic/glycolic acid microparticles. Laryngoscope 2010, 120, 377–383. [Google Scholar] [CrossRef] [PubMed]
- Tamura, T.; Kita, T.; Nakagawa, T.; Endo, T.; Kim, T.S.; Ishihara, T.; Mizushima, Y.; Higaki, M.; Ito, J. Drug delivery to the cochlea using PLGA nanoparticles. Laryngoscope 2005, 115, 2000–2005. [Google Scholar] [CrossRef] [PubMed]
- Murphy, N.P.; Lampe, K.J. Fabricating PLGA microparticles with high loads of the small molecule antioxidant N-acetylcysteine that rescue oligodendrocyte progenitor cells from oxidative stress. Biotechnol. Bioeng. 2018, 115, 246–256. [Google Scholar] [CrossRef]
- Hong, M.K.; Echanique, K.A.; Hoffman, L.F.; Kita, A.E. Designing a Prolonged Method of Therapeutic Delivery to Support Rehabilitation From Ototoxic Damage in a Schwann Cell Model. Otol. Neurotol. 2023, 44, 373–381. [Google Scholar] [CrossRef]
- Urien, S.; Lokiec, F. Population pharmacokinetics of total and unbound plasma cisplatin in adult patients. Br. J. Clin. Pharmacol. 2004, 57, 756–763. [Google Scholar] [CrossRef] [PubMed]
- Yıldırım, M.; Inançlı, H.M.; Samancı, B.; Oktay, M.F.; Enöz, M.; Topçu, I. Preventing cisplatin induced ototoxicity by N-acetylcysteine and salicylate. Turk. J. Ear Nose Throat 2010, 20, 173–183. [Google Scholar]
- Rybak, L.P.; Mukherjea, D.; Ramkumar, V. Mechanisms of Cisplatin-Induced Ototoxicity and Prevention. Semin. Hear. 2019, 40, 197–204. [Google Scholar] [CrossRef] [PubMed]
- Lee, P.W.; Pokorski, J.K. Poly(lactic-co-glycolic acid) devices: Production and applications for sustained protein delivery. Wiley Interdiscip. Rev. Nanomed. Nanobiotechnol. 2018, 10, e1516. [Google Scholar] [CrossRef]
- Makadia, H.K.; Siegel, S.J. Poly Lactic-co-Glycolic Acid (PLGA) as Biodegradable Controlled Drug Delivery Carrier. Polymers 2011, 3, 1377–1397. [Google Scholar] [CrossRef]
- Su, Y.; Zhang, B.; Sun, R.; Liu, W.; Zhu, Q.; Zhang, X.; Wang, R.; Chen, C. PLGA-based biodegradable microspheres in drug delivery: Recent advances in research and application. Drug Deliv. 2021, 28, 1397–1418. [Google Scholar] [CrossRef]
- Ahmaditabar, P.; Momtazi-Borojeni, A.A.; Rezayan, A.H.; Mahmoodi, M.; Sahebkar, A.; Mellat, M. Enhanced Entrapment and Improved in Vitro Controlled Release of N-Acetyl Cysteine in Hybrid PLGA/Lecithin Nanoparticles Prepared Using a Nanoprecipitation/Self-Assembly Method. J. Cell Biochem. 2017, 118, 4203–4209. [Google Scholar] [CrossRef]
- Altındal, D.Ç.; Gümüşderelioğlu, M. Melatonin releasing PLGA micro/nanoparticles and their effect on osteosarcoma cells. J. Microencapsul. 2016, 33, 53–63. [Google Scholar] [CrossRef]
- Albers, J.W.; Chaudhry, V.; Cavaletti, G.; Donehower, R.C. Interventions for preventing neuropathy caused by cisplatin and related compounds. Cochrane Database Syst. Rev. 2014, 2014, CD005228. [Google Scholar] [CrossRef] [PubMed]





Disclaimer/Publisher’s Note: The statements, opinions and data contained in all publications are solely those of the individual author(s) and contributor(s) and not of MDPI and/or the editor(s). MDPI and/or the editor(s) disclaim responsibility for any injury to people or property resulting from any ideas, methods, instructions or products referred to in the content. |
© 2025 by the authors. Licensee MDPI, Basel, Switzerland. This article is an open access article distributed under the terms and conditions of the Creative Commons Attribution (CC BY) license (https://creativecommons.org/licenses/by/4.0/).
Share and Cite
Hong, M.; Kedeshian, K.; Hoffman, L.; Kita, A. Preliminary Evaluation of an Injectable Therapeutic for Cisplatin Ototoxicity Using Neuronal SH-SY5Y Cells. Medicines 2025, 12, 30. https://doi.org/10.3390/medicines12040030
Hong M, Kedeshian K, Hoffman L, Kita A. Preliminary Evaluation of an Injectable Therapeutic for Cisplatin Ototoxicity Using Neuronal SH-SY5Y Cells. Medicines. 2025; 12(4):30. https://doi.org/10.3390/medicines12040030
Chicago/Turabian StyleHong, Michelle, Katherine Kedeshian, Larry Hoffman, and Ashley Kita. 2025. "Preliminary Evaluation of an Injectable Therapeutic for Cisplatin Ototoxicity Using Neuronal SH-SY5Y Cells" Medicines 12, no. 4: 30. https://doi.org/10.3390/medicines12040030
APA StyleHong, M., Kedeshian, K., Hoffman, L., & Kita, A. (2025). Preliminary Evaluation of an Injectable Therapeutic for Cisplatin Ototoxicity Using Neuronal SH-SY5Y Cells. Medicines, 12(4), 30. https://doi.org/10.3390/medicines12040030

