Sign in to use this feature.

Years

Between: -

Subjects

remove_circle_outline
remove_circle_outline
remove_circle_outline
remove_circle_outline
remove_circle_outline
remove_circle_outline
remove_circle_outline
remove_circle_outline
remove_circle_outline

Journals

remove_circle_outline
remove_circle_outline
remove_circle_outline
remove_circle_outline
remove_circle_outline
remove_circle_outline
remove_circle_outline
remove_circle_outline
remove_circle_outline
remove_circle_outline
remove_circle_outline
remove_circle_outline

Article Types

Countries / Regions

remove_circle_outline
remove_circle_outline
remove_circle_outline
remove_circle_outline
remove_circle_outline
remove_circle_outline
remove_circle_outline

Search Results (963)

Search Parameters:
Keywords = multiple environmental stresses

Order results
Result details
Results per page
Select all
Export citation of selected articles as:
63 pages, 695 KB  
Review
Perfluoroalkyl Substances (PFAS) and Lipid Metabolism in Experimental Animal Models: A Scoping Review on the Mechanisms Behind the Induced Hepatotoxicity
by Gabriele Tancreda, Luca Campisi, Matteo Sarti, Luisa Pozzo and Andrea Vornoli
Curr. Issues Mol. Biol. 2025, 47(11), 944; https://doi.org/10.3390/cimb47110944 - 13 Nov 2025
Abstract
Per and polyfluoroalkyl substances (PFAS) are a class of synthetic, persistent environmental pollutants detected in biological systems and increasingly recognized for their harmful effects on human health. The liver, being a central organ in the metabolism of xenobiotics, is profoundly affected by these [...] Read more.
Per and polyfluoroalkyl substances (PFAS) are a class of synthetic, persistent environmental pollutants detected in biological systems and increasingly recognized for their harmful effects on human health. The liver, being a central organ in the metabolism of xenobiotics, is profoundly affected by these compounds and is a main target of PFAS-induced toxicity. The purpose of the present Scoping Review is to investigate the multiple and complex mechanisms behind PFAS hepatotoxicity, taking into consideration evidence from preclinical in vivo models. Using electronic databases (PubMed and Google Scholar), a total of 38 studies were found eligible to be extensively explored to gather information regarding PFAS toxicity toward hepatic lipid metabolism, oxidative stress, injury and inflammation. Moreover, the parental exposure of these chemicals on the offspring will be discussed as well. As illustrated in the proposed graphical abstract, PFAS exposure has been linked to the triggering of oxidative stress phenomena, mitochondrial dysfunction and hepatic inflammatory infiltrate with sex specific effects in rodents. The predominant effects manifest as the overproduction of reactive oxygen species (ROS), the disruption of hepatic lipid metabolism, and the activation of several nuclear transcription factors involved in lipid regulation, with PPAR-α being the most prominent. Considering their strong bioaccumulative properties and persistence in both the environment and the human body, legacy and emerging PFAS should be regarded as potent toxicants with a distinctive role in the onset of metabolic diseases and as a pressing issue to be addressed within regulatory policies. Full article
Show Figures

Graphical abstract

24 pages, 1390 KB  
Article
Black Rice Performance Under Water Deficit Conditions and Genotype X Environment Interactions
by Aloysha Brunet-Loredo, Abdelhalim Elazab, Karla Cordero-Lara, Paula Careaga and Miguel Garriga
Plants 2025, 14(22), 3459; https://doi.org/10.3390/plants14223459 - 12 Nov 2025
Abstract
Rice is a staple food grown worldwide. While white rice varieties have been extensively studied, there is limited information on the performance of pigmented rice genotypes and their tolerance to water deficit. This study evaluated nineteen black rice genotypes and one white cultivar [...] Read more.
Rice is a staple food grown worldwide. While white rice varieties have been extensively studied, there is limited information on the performance of pigmented rice genotypes and their tolerance to water deficit. This study evaluated nineteen black rice genotypes and one white cultivar over three years under contrasting water regimes: traditional flooding and non-flood irrigation (NFI). Genotype–environment interactions and their impact on agronomic, yield, and grain quality traits were assessed. Black genotypes under NFI showed reduced flowering and grain quality. The average yield was 31% lower than the white cultivar. Significant genetic correlations were found between grain yield and days to anthesis (DSA), grain weight (TGW), chalkiness (CHA), and translucency (TRAN), with high broad-sense heritability (H2 > 0.9). Most traits exhibited high heritability (H2 > 0.7), indicating strong genetic stability. Grain yield (GR) was highly and negatively correlated with percent sterility (PS) (r = −0.84) and had a heritability of 0.76. Environmental conditions significantly influenced yield, confirming the potential for selecting water stress–tolerant genotypes. These findings provide valuable insights into black rice breeding and optimizing water management practices to support sustainable production. To our knowledge, this study is the first to evaluate the performance of a diverse set of black rice genotypes across multiple seasons under contrasting water regimes in a Mediterranean environment. Full article
(This article belongs to the Special Issue Responses of Crops to Abiotic Stress—2nd Edition)
Show Figures

Figure 1

21 pages, 1791 KB  
Article
Physiological and Biochemical Indicators of Urban Environmental Stress in Tilia, Celtis, and Platanus: A Functional Trait-Based Approach
by Danijela Arsenov, Milan Borišev, Nataša Nikolić, Rita Horak and Slobodanka Pajević
Plants 2025, 14(22), 3451; https://doi.org/10.3390/plants14223451 - 11 Nov 2025
Viewed by 184
Abstract
Urban trees are exposed to multiple co-occurring stressors, including heat, drought, and pollution driven by intensified urbanization and climate change. These environmental pressures can compromise tree vitality by disrupting photosynthetic performance and oxidative balance. In this study, we assessed the structural, physiological, and [...] Read more.
Urban trees are exposed to multiple co-occurring stressors, including heat, drought, and pollution driven by intensified urbanization and climate change. These environmental pressures can compromise tree vitality by disrupting photosynthetic performance and oxidative balance. In this study, we assessed the structural, physiological, and biochemical responses of three common urban tree species (Tilia platyphyllos, Celtis occidentalis, and Platanus × hispanica) growing under urban environmental conditions in Novi Sad, Serbia. Leaf traits were measured during June and August to capture seasonal stress variation. Structural indicators (SPAD, leaf thickness, leaf temperature differential), chlorophyll fluorescence traits (ΦII, ΦNPQ, Fv′/Fm′), oxidative stress biomarkers (TBARS, proline, GSH), and antioxidant enzyme activities (APX, CAT) were quantified. The Tree Health Risk Index (THRI) was calculated to integrate multilevel responses. Results revealed species-specific differences, with Tilia exhibiting the highest sensitivity, characterized by notable photochemical declines and oxidative stress under urban conditions. Celtis showed moderate resilience, while Platanus demonstrated the most robust performance and emerged as a promising candidate for climate-resilient urban sites. Heatmap clustering and trait contribution analyses confirm oxidative stress biomarkers and chlorophyll fluorescence traits as key indicators of urban stress. This study emphasizes the importance of integrating functional trait-based approaches for assessing tree health in urban greening. Full article
(This article belongs to the Special Issue Photosynthesis and Plant Physiology Under Climate Change)
Show Figures

Figure 1

23 pages, 20168 KB  
Article
Spatiotemporal Dynamics and Drivers of Agricultural Drought in the Huang-Huai-Hai Plain Based on Crop Water Stress Index and Spatial Machine Learning
by Xiao-Xia Hou, Yue Liu, Xia Zhang, Qingtao Ma and Guofei Shang
Remote Sens. 2025, 17(22), 3678; https://doi.org/10.3390/rs17223678 - 9 Nov 2025
Viewed by 348
Abstract
Agricultural drought poses a critical constraint to food security and regional sustainable development, particularly in the Huang-Huai-Hai Plain, a major grain-producing region characterized by high spatial heterogeneity in drought risk. Previous studies have demonstrated that the Crop Water Stress Index (CWSI) outperforms traditional [...] Read more.
Agricultural drought poses a critical constraint to food security and regional sustainable development, particularly in the Huang-Huai-Hai Plain, a major grain-producing region characterized by high spatial heterogeneity in drought risk. Previous studies have demonstrated that the Crop Water Stress Index (CWSI) outperforms traditional meteorological indices in detecting agricultural droughts in various regions. However, there is limited research specifically focusing on its spatiotemporal dynamics and the complex relationships with environmental factors, particularly in the Huang-Huai-Hai Plain. To fill this gap, this study first estimated CWSI using remote sensing evapotranspiration data and systematically assessed the spatiotemporal dynamics of agricultural drought in the Huang-Huai-Hai Plain from 2005 to 2020. Then, an integrated analytical framework that combines Local Indicators of Spatial Association (LISA) with Random Forest (RF) modeling has been proposed to identify primary environmental drivers. Results revealed a general downward trend in CWSI over the study period, with drought hotpots primarily concentrated in the central plains and along the eastern foothills of the Taihang Mountains. LISA identified four distinct spatial cluster types and revealed significant spatial associations between CWSI and six environmental variables. The major driving factors of CWSI included vegetation conditions (NDVI), land surface temperature (LST), rainfall, and temperature-related factors (SAT, DSR), with LST and SAT exhibiting the strongest correlations with CWSI in multiple regions. Among these, LST and SAT exhibited strong positive correlations with CWSI in multiple regions. By integrating spatial clustering and variable importance analysis, we found that agricultural drought patterns are shaped by interacting environmental factors, with region-specific dominant mechanisms. This study provides a novel analytical framework that bridges remote sensing, spatial statistics, and machine learning, offering valuable insights and tools for drought monitoring and attribution at regional scales. Full article
Show Figures

Figure 1

20 pages, 1073 KB  
Article
Developing Insights into Pretreatment Optimization: Effects of Eliminating Lime and Soda Ash in Groundwater RO Desalination
by Yazeed Algurainy, Ashraf Refaat and Omar Alrehaili
Water 2025, 17(22), 3186; https://doi.org/10.3390/w17223186 - 7 Nov 2025
Viewed by 282
Abstract
In arid and water-stressed regions, groundwater desalination plants are critical for ensuring reliable potable water supplies, making improvements in their operational efficiency and cost effectiveness a priority for utilities. In many such facilities, lime and soda ash softening remain common pretreatment practices, which [...] Read more.
In arid and water-stressed regions, groundwater desalination plants are critical for ensuring reliable potable water supplies, making improvements in their operational efficiency and cost effectiveness a priority for utilities. In many such facilities, lime and soda ash softening remain common pretreatment practices, which increase chemical consumption and sludge generation, prompting the need for alternative low-chemical strategies. This study evaluates the technical, operational, and economic implications of transitioning a full-scale brackish groundwater desalination plant, from lime–soda ash softening (old plan) to a low-chemical pretreatment strategy based on antiscalant dosing (new plan) upstream of reverse osmosis (RO). Key parameters, including pH, total hardness, calcium and magnesium hardness, silica, iron, alkalinity, and total dissolved solids (TDS), were measured and compared at multiple locations within the treatment plant under both the old and new plans. Removing lime and soda ash caused higher levels of hardness, alkalinity, and silica in the water before RO treatment, increasing the risk of scaling. Operationally, the feed pressure increased from 11.43 ± 0.16 bar (old plan) to a peak of 25.50 ± 0.10 bar in the new plan, accompanied by a decline in water production. Chemical cleaning effectively restored performance, reducing feed pressure to 13.13 ± 0.05 bar, confirming that fouling and scaling were the primary, reversible causes. Despite these challenges, the plant consistently produced water that complied with Saudi Standards for Unbottled Drinking Water (e.g., pH = 7.18 ± 0.09, TDS = 978.27 ± 9.26 mg/L). Economically, the new strategy reduced operating expenditure by approximately 54% (0.295 → 0.135 $/m3), largely due to substantial reductions in chemical and sludge handling costs, although these savings were partially offset by higher energy consumption and more frequent membrane maintenance. Overall, the findings emphasize the importance of systematic performance evaluation during operational transitions, providing guidance for utilities seeking to optimize pretreatment design while maintaining compliance, long-term membrane protection, and environmental sustainability. Full article
(This article belongs to the Section Hydrogeology)
Show Figures

Figure 1

23 pages, 1090 KB  
Review
Food Safety in the Age of Climate Change: The Rising Risk of Pesticide Residues and the Role of Sustainable Adsorbent Technologies
by Tamara Lazarević-Pašti, Tamara Tasić, Vedran Milanković and Igor A. Pašti
Foods 2025, 14(21), 3797; https://doi.org/10.3390/foods14213797 - 6 Nov 2025
Viewed by 363
Abstract
Climate change is increasingly recognized as a critical factor of food contamination risks, particularly through its influence on pesticide behavior and usage. Rising temperatures, altered precipitation patterns, and the proliferation of crop pests are leading to intensified and extended pesticide application across agricultural [...] Read more.
Climate change is increasingly recognized as a critical factor of food contamination risks, particularly through its influence on pesticide behavior and usage. Rising temperatures, altered precipitation patterns, and the proliferation of crop pests are leading to intensified and extended pesticide application across agricultural systems. These shifts increase the likelihood of elevated pesticide residues in food and water and affect their environmental persistence, mobility, and accumulation within the food chain. At the same time, current regulatory frameworks and risk assessment models often fail to account for the synergistic effects of chronic low-dose exposure to multiple residues under climate-stressed conditions. This review provides a multidisciplinary overview of how climate change intensifies the pesticide residue burden in food, emphasizing emerging toxicological concerns and identifying critical gaps in current mitigation strategies. In particular, it examines sustainable adsorbent technologies, primarily carbon-based materials derived from agro-industrial waste, which offer promising potential for removing pesticide residues from water and food matrices, aligning with a circular economy approach. Beyond their technical performance, the real question is whether such materials and the thinking behind them can be meaningfully integrated into next-generation food safety systems that are capable of responding to a rapidly changing world. Full article
Show Figures

Figure 1

19 pages, 2724 KB  
Article
Tau Hypophosphorylation at Ser416 as the Early Molecular Imprint of Maternal Immune Activation: Insights from Female Mice Offspring
by Ewelina Bielska, Marta Matuszewska, Piotr Wójcik, Anna Wilkaniec, Magdalena Cieślik, Magdalena Gąssowska-Dobrowolska, Dorota Sulejczak, Grzegorz A. Czapski and Agata Adamczyk
Int. J. Mol. Sci. 2025, 26(21), 10778; https://doi.org/10.3390/ijms262110778 - 5 Nov 2025
Viewed by 272
Abstract
Maternal immune activation (MIA) is a recognized environmental risk factor for altered brain development, yet its early molecular consequences remain unclear. In this study, we examined total Tau, site-specific Tau phosphorylation, and selected synaptic proteins in one-month-old female mouse offspring exposed prenatally to [...] Read more.
Maternal immune activation (MIA) is a recognized environmental risk factor for altered brain development, yet its early molecular consequences remain unclear. In this study, we examined total Tau, site-specific Tau phosphorylation, and selected synaptic proteins in one-month-old female mouse offspring exposed prenatally to MIA evoked by poly(I:C), a synthetic mimetic of viral dsRNA. Our analyses revealed a consistent reduction in Tau phosphorylation at Ser416 across multiple brain regions, including the cortex, hippocampus, and cerebellum, without changes in total Tau levels or other phosphorylation sites. Among synaptic markers, only Shank3 levels were decreased, and this effect was confined to the cerebellum. No additional robust alterations were detected at this stage of development. These findings suggest that Tau hypophosphorylation at Ser416 may represent an early and widespread molecular footprint of MIA, whereas cerebellar Shank3 downregulation points to a region-specific vulnerability of synaptic pathways. While the study is limited to female offspring and a single postnatal time point, the data provide new insights into subtle molecular signatures that could precede or accompany later functional outcomes. Our results highlight Tau phosphorylation and Shank3 expression as potential molecular markers of prenatal immune stress, warranting further longitudinal and sex-comparative studies to clarify their relevance for neurodevelopmental trajectories. Full article
(This article belongs to the Section Molecular Biology)
Show Figures

Figure 1

21 pages, 1324 KB  
Review
Antifungal Mechanisms of Plant Essential Oils: A Comprehensive Literature Review for Biofungicide Development
by Michel Leiva-Mora, Diana Bustillos, Cristina Arteaga, Kattyta Hidalgo, Deysi Guevara-Freire, Orestes López-Hernández, Luis Rodrigo Saa, Paola S. Padilla and Alberto Bustillos
Agriculture 2025, 15(21), 2303; https://doi.org/10.3390/agriculture15212303 - 5 Nov 2025
Viewed by 463
Abstract
Plant pathogenic fungi pose a persistent global threat to food security, causing severe yield losses in staple crops and increasing dependence on chemical fungicides. However, the ecological and toxicological drawbacks of synthetic fungicides have intensified the search for safer, plant-derived alternatives. This review [...] Read more.
Plant pathogenic fungi pose a persistent global threat to food security, causing severe yield losses in staple crops and increasing dependence on chemical fungicides. However, the ecological and toxicological drawbacks of synthetic fungicides have intensified the search for safer, plant-derived alternatives. This review synthesizes current advances on the antifungal mechanisms of plant essential oils (EOs) and their prospects for biofungicide development. The literature reveals that the antifungal activity of EOs arises from their diverse phytochemical composition, principally terpenes, phenolics, and aldehydes that target multiple fungal cellular sites. These compounds disrupt membrane integrity through ergosterol depletion, inhibit chitin and β-glucan synthesis, interfere with mitochondrial energy metabolism, and induce oxidative stress, leading to lipid peroxidation and cell death. Morphological and transcriptomic evidence confirms that EOs alter hyphal growth, spore germination, and key gene expression pathways associated with fungal virulence. Furthermore, emerging nanotechnological and encapsulation strategies enhance EO stability, bioavailability, and field persistence, addressing major barriers to their large-scale agricultural application. The integration of EO-based biofungicides within sustainable and precision agriculture frameworks offers a promising route to reduce chemical inputs, mitigate resistance development, and promote ecological balance. This review underscores the need for interdisciplinary research linking phytochemistry, nanotechnology, and agronomy to translate EO-based antifungal mechanisms into next-generation, environmentally compatible crop protection systems. Full article
(This article belongs to the Special Issue Exploring Sustainable Strategies That Control Fungal Plant Diseases)
Show Figures

Figure 1

21 pages, 6580 KB  
Article
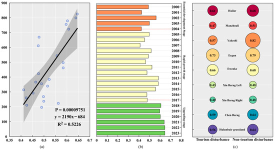
Grassland Tourism Evolves from Quantity- to Quality-Oriented with Lessening Ecological Disturbance: Evidence from Hulunbuir, China
by Lu Han, Boyu Wang, Baohui Dong, Bochuan Zhao, Yuhui Xu and An Chang
Sustainability 2025, 17(21), 9788; https://doi.org/10.3390/su17219788 - 3 Nov 2025
Viewed by 428
Abstract
Tourism, a key driver of regional economies and perceived “green industry,” faces challenges from irrational resource allocation and spatial overlaps, undermining sustainability. This study examines 825 tourism resources in China’s Hulunbuir Grassland, analyzing spatiotemporal patterns, influencing factors, and ecological impacts using GPP and [...] Read more.
Tourism, a key driver of regional economies and perceived “green industry,” faces challenges from irrational resource allocation and spatial overlaps, undermining sustainability. This study examines 825 tourism resources in China’s Hulunbuir Grassland, analyzing spatiotemporal patterns, influencing factors, and ecological impacts using GPP and NDVI data. Three development phases emerged: essential development, rapid growth, and upgrading. They present a spatial pattern with Hailar and Chen Barag as the center, and multiple other points, mainly affected by ethnic minority population proportions, tourist reception, tourist attraction density, and river networks. Ecological analysis reveals that tourism-induced disturbances cause less environmental stress than other human activities, with grassland NDVI in tourism areas improving during upgrading. However, the NDVI of grasslands under non-tourism disturbance is still superior to that of grasslands under tourism disturbance. The findings emphasize the need for optimized resource allocation and proactive monitoring of tourism’s ecological footprint to advance sustainable grassland tourism. Full article
(This article belongs to the Section Tourism, Culture, and Heritage)
Show Figures

Figure 1

15 pages, 1986 KB  
Article
Design and Optimization of a Hybrid Railcar Structure with Multilayer Composite Panels
by Alessio Cascino, Enrico Meli and Andrea Rindi
Materials 2025, 18(21), 5013; https://doi.org/10.3390/ma18215013 - 3 Nov 2025
Viewed by 346
Abstract
Within contemporary railway engineering, manufacturers of rolling stock are increasingly focused on developing vehicles that combine reduced weight with enhanced reliability. This objective is largely motivated by the need to decrease energy demand and limit environmental impact, encouraging the integration of innovative materials [...] Read more.
Within contemporary railway engineering, manufacturers of rolling stock are increasingly focused on developing vehicles that combine reduced weight with enhanced reliability. This objective is largely motivated by the need to decrease energy demand and limit environmental impact, encouraging the integration of innovative materials and cut-ting-edge design strategies. The growing use of multilayer composite materials in the railway sector stems from their unique combination of high strength and low weight, making them particularly suitable for structural applications. This study investigates the structural performance and optimization of a hybrid car body system composed of an aluminum frame integrated with multilayer composite panels. A fully automated computational framework has been developed to generate and assess all possible stacking sequence permutations of the laminate plies, coupled with a high-fidelity finite element model of the car body. The methodology enables the evaluation of failure indices, including Maximum Stress, Tsai–Wu, and Interlaminar criteria, across a wide design space. A comprehensive assessment of both mechanical and dynamic performance has been carried out according to relevant railway standards, supporting the robustness and reliability of the proposed optimization framework. The results confirm the capability of the methodology to efficiently identify and compare multiple laminate configurations while maintaining compliance with structural and modal requirements. The optimized configurations demonstrated maximum Tsai–Wu values below 0.9, first-mode frequency variations below 0.5% and potential mass reductions of 25–45% on the selected components. This approach provides a powerful and versatile tool for the rapid optimization of lightweight hybrid structures in railway applications. Full article
Show Figures

Figure 1

15 pages, 4379 KB  
Article
Genomic and Proteomic Characterization of the Deltamethrin-Degrading Bacterium Paracoccus sp. P-2
by Qing Li, Yawei Zhang, Xianfeng Ren, Qingguo Meng, Baocheng Xu, Lixia Fan, Changying Guo, Bingchun Zhang, Mingxiao Ning and Yutao Wang
Microorganisms 2025, 13(11), 2481; https://doi.org/10.3390/microorganisms13112481 - 30 Oct 2025
Viewed by 248
Abstract
Deltamethrin is widely employed for crop pest control, aquaculture pond clearance, and fish parasite treatment. Due to its photostability, thermal resistance, and lipophilicity, deltamethrin has a high potential for environmental persistence and bioaccumulation in aquatic organisms. This poses significant risks to aquatic ecosystems, [...] Read more.
Deltamethrin is widely employed for crop pest control, aquaculture pond clearance, and fish parasite treatment. Due to its photostability, thermal resistance, and lipophilicity, deltamethrin has a high potential for environmental persistence and bioaccumulation in aquatic organisms. This poses significant risks to aquatic ecosystems, the safety of aquatic products, and human health. Although our previous study isolated Paracoccus sp. P-2 from crab culture pond sediment and demonstrated its high efficiency in degrading deltamethrin, the underlying mechanisms and enzyme characteristics remain unelucidated. In this study, genomic analysis revealed that the Paracoccus sp. P-2 genome was assembled into 3 contigs with a total length of 4,451,812 bp, an average G + C content of 67.73%, and a total of 4462 predicted genes. In addition, a quantitative analysis of the Paracoccus sp. P-2 proteome identified 3052 proteins, with 2705 exhibiting significant differential abundance (FC ≥ 1.5 or FC ≤ 0.6667, and p-value ≤ 0.05) following deltamethrin exposure. Among them, many upregulated differentially expressed proteins were enriched in carbohydrate and energy metabolism pathways, indicating that Paracoccus sp. P-2 enhances its basal metabolic activity in response to deltamethrin-induced stress. More importantly, enzymes belonging to hydrolases, decarboxylases, and those involved in multiple xenobiotic metabolic pathways were upregulated and are likely to participate in the degradation of deltamethrin. This study elucidates the impact of deltamethrin on bacterial metabolism and its degradation mechanism by Paracoccus sp. P-2, providing crucial insights and microbial resources for researching pyrethroid biodegradation. Full article
(This article belongs to the Collection Biodegradation and Environmental Microbiomes)
Show Figures

Figure 1

13 pages, 1647 KB  
Article
Analysis of the Dirigent Pan-Gene Family in 26 Diverse Inbred Lines Reveals Genomic Diversity in Maize
by Zhihao Liu, Yingjie Xue, Yuxi Xie, Yikun Zhao, Wei Yang, Weiguang Yang, Fengge Wang and Xuejiao Ren
Genes 2025, 16(11), 1285; https://doi.org/10.3390/genes16111285 - 29 Oct 2025
Viewed by 330
Abstract
Background: Dirigent genes play crucial roles in regulating plant architecture development and responses to environmental stress. However, the pan-genomic attributes of these genes remain poorly characterized. Method: The dirigent pan-gene family was reconstructed using the public genome assemblies from the 26 maize Nested [...] Read more.
Background: Dirigent genes play crucial roles in regulating plant architecture development and responses to environmental stress. However, the pan-genomic attributes of these genes remain poorly characterized. Method: The dirigent pan-gene family was reconstructed using the public genome assemblies from the 26 maize Nested Association Mapping project founder lines. Orthogroup classification based on multiple sequence alignment revealed both core and variable family members. Evolutionary pressures were assessed through Ka/Ks ratio analysis, and promoter regions were examined for cis-acting regulatory elements. Haplotype, transcriptomic and genome-wide association study (GWAS) analyses were integrated to explore genetic diversity and functional relevance. Results: Most dirigent members were under purifying selection, whereas a subset may have undergone positive selection. Promoter analysis demonstrated enrichment of stress- and phytohormone-responsive cis-acting regulatory elements, suggesting that regulatory divergence was associated with environmental adaptation. Haplotype analysis revealed allelic diversity among heterotic clusters, potentially contributing to heterosis. Integration with public genome-wide association study datasets identified candidate genes significantly associated with plant architecture and kernel-quality-related traits. Transcriptome profiles indicated that several dirigent genes were preferentially expressed in the roots, suggesting their involvement in root development and nutrient uptake. In addition, public gene expression data showed that certain dirigent genes are induced in response to salt stress, supporting their putative roles in abiotic stress tolerance. Conclusions: These findings provide insights into the molecular mechanisms underlying dirigent gene functions and reveal candidate genes with potential utility for improving maize performance and stress resilience through molecular breeding. Full article
(This article belongs to the Section Plant Genetics and Genomics)
Show Figures

Figure 1

21 pages, 3244 KB  
Article
Influence of Blueberry Mosaic Disease on Polyphenolic Profile and Antioxidant Capacity of Highbush Blueberry ‘Duke’ Fruits
by Nemanja Miletić, Danijel D. Milinčić, Mirjana B. Pešić, Biljana Lončar, Marko Petković, Bojana Vasilijević and Darko Jevremović
Antioxidants 2025, 14(11), 1302; https://doi.org/10.3390/antiox14111302 - 29 Oct 2025
Viewed by 389
Abstract
Blueberry mosaic virus (BlMaV) is a persistent pathogen that alters host physiology; however, its impact on secondary metabolism in blueberry fruits remains poorly characterized. In this study, the phenolic profile of the cultivar ‘Duke’ was systematically examined in healthy and BlMaV-infected plants over [...] Read more.
Blueberry mosaic virus (BlMaV) is a persistent pathogen that alters host physiology; however, its impact on secondary metabolism in blueberry fruits remains poorly characterized. In this study, the phenolic profile of the cultivar ‘Duke’ was systematically examined in healthy and BlMaV-infected plants over two successive years. Using UHPLC Q-ToF MS, a total of 46 phenolic compounds were detected, spanning flavonols, phenolic acids, and anthocyanins. Comparative analyses revealed consistent shifts in metabolite abundance between healthy and infected samples. Several flavonol aglycones and phenolic acid derivatives accumulated in infected fruits, whereas multiple anthocyanins and glycosides were reduced. To further explore metabolic relationships, color correlation analysis highlighted distinct co-variation patterns among compound classes. Principal component analysis clearly separated infected and healthy fruits, confirming that viral infection was the dominant source of variation, surpassing the influence of harvest year or environmental factors. Nevertheless, the antioxidant capacity remained unchanged, regardless of the presence of the virus or the variation in environmental conditions. These results provide novel biochemical evidence that BlMaV infection reshapes the phenolic composition of blueberries and lays the groundwork for future studies on the metabolic consequences of viral stress in fruit crops. Full article
Show Figures

Graphical abstract

29 pages, 2280 KB  
Review
Arctic Plants Under Environmental Stress: A Review
by Natalia Vladimirovna Vasilevskaya
Stresses 2025, 5(4), 64; https://doi.org/10.3390/stresses5040064 - 28 Oct 2025
Viewed by 456
Abstract
Arctic plants inhabit extremely cold environments and are exposed to a range of abiotic stress factors. Arctic species exhibit remarkable adaptability to multiple environmental challenges, including a short growing season, low summer temperatures, continuous 24-h daylight during the polar day, limited nitrogen availability [...] Read more.
Arctic plants inhabit extremely cold environments and are exposed to a range of abiotic stress factors. Arctic species exhibit remarkable adaptability to multiple environmental challenges, including a short growing season, low summer temperatures, continuous 24-h daylight during the polar day, limited nitrogen availability in soils, water scarcity, and strong winds. This review examines the key features of growth, development, and reproduction in Arctic plants, as well as their physiological and genomic adaptations to extreme climatic conditions. While Arctic plants show remarkable physiological tolerance, community-level resistance varies regionally and remains an open question. Full article
(This article belongs to the Collection Feature Papers in Plant and Photoautotrophic Stresses)
Show Figures

Figure 1

17 pages, 4792 KB  
Article
Multi-Omics Analysis Reveals the Regulation of Amino Acid Biosynthesis in Cyclocarya paliurus Leaves Under Salt Stress
by Lei Zhang, Kun Hong, Zijie Zhang, Xulan Shang and Shengzuo Fang
Int. J. Mol. Sci. 2025, 26(21), 10444; https://doi.org/10.3390/ijms262110444 - 27 Oct 2025
Viewed by 372
Abstract
Amino acids are essential for plant growth and stress adaptation, and they exhibit distinct patterns under salt stress. However, the biosynthesis and accumulation of amino acids in C. paliurus under salt stress have not been fully studied. This research integrated metabolomics and transcriptomics [...] Read more.
Amino acids are essential for plant growth and stress adaptation, and they exhibit distinct patterns under salt stress. However, the biosynthesis and accumulation of amino acids in C. paliurus under salt stress have not been fully studied. This research integrated metabolomics and transcriptomics data from C. paliurus leaves sampled at four salt concentrations and two sampling times to reveal the mechanisms underlying amino acid metabolism in response to salt stress. Principal component analysis revealed an environmental dependence in the amino acid accumulation patterns, with significant differences in amino acid content observed between samples treated with different salt concentrations and at different time points. Weighted gene correlation network analysis (WGCNA) identified key modules related to amino acid metabolism, with threonine synthase being upregulated under salt stress. Additionally, amino acids, such as proline, which function as osmolytes are increasing. The overexpression of structural genes in the phenylpropanoid biosynthesis pathway and genes encoding phenylalanine ammonia lyase was closely associated with amino acid accumulation, a process regulated by multiple transcription factors. These findings elucidate amino acid-mediated molecular responses to salinity and offer practical guidance for establishing C. paliurus plantations in southeastern coastal beach-lands of China. Full article
(This article belongs to the Special Issue Forest Tree Genetics, Breeding and Environmental Adaption)
Show Figures

Figure 1

Back to TopTop