Sign in to use this feature.

Years

Between: -

Subjects

remove_circle_outline
remove_circle_outline
remove_circle_outline
remove_circle_outline
remove_circle_outline

Journals

Article Types

Countries / Regions

Search Results (18)

Search Parameters:
Keywords = multimode power splitter

Order results
Result details
Results per page
Select all
Export citation of selected articles as:
22 pages, 4957 KB  
Article
Machine Learning-Based Algorithm for the Design of Multimode Interference Nanodevices
by Roney das Mercês Cerqueira, Vitaly Félix Rodriguez-Esquerre and Anderson Dourado Sisnando
Nanomanufacturing 2026, 6(1), 3; https://doi.org/10.3390/nanomanufacturing6010003 - 13 Jan 2026
Viewed by 583
Abstract
Multimode interference photonic nanodevices have been increasingly used due to their broad functionality. In this study, we present a methodology based on machine learning algorithms for inverse design capable of providing the output port position (x-axis coordinate) and MMI region length [...] Read more.
Multimode interference photonic nanodevices have been increasingly used due to their broad functionality. In this study, we present a methodology based on machine learning algorithms for inverse design capable of providing the output port position (x-axis coordinate) and MMI region length (y-axis coordinate) for achieving higher optical signal transfer power. This is sufficient to design Multimode Interference 1 × 2, 1 × 3, and 1 × 4 nanodevices as power splitters in the wavelength range between 1350 and 1600 nm, which corresponds to the E, S, C, and L bands of the optical communications window. Using Multilayer Perceptron artificial neural networks, trained with k-fold cross-validation, we successfully modeled the complex relationship between geometric parameters and optical responses with high precision and low computational cost. The results of this project meet the requirements for photonic device projects of this nature, demonstrating excellent performance and manufacturing tolerance, with insertion losses ranging from 0.34 dB to 0.58 dB. Full article
Show Figures

Figure 1

13 pages, 2143 KB  
Article
O-Band 4 × 1 Combiner Based on Silicon MMI Cascaded Tree Configuration
by Saveli Shaul Smolanski and Dror Malka
Micromachines 2026, 17(1), 31; https://doi.org/10.3390/mi17010031 - 26 Dec 2025
Cited by 1 | Viewed by 770
Abstract
High-speed silicon (Si) photonic transmitters operating in the O-band require higher on-chip optical power to support advanced modulation formats and ever-increasing line rates. A straightforward approach is to operate laser diodes at higher output power or employ more specialized sources, but this raises [...] Read more.
High-speed silicon (Si) photonic transmitters operating in the O-band require higher on-chip optical power to support advanced modulation formats and ever-increasing line rates. A straightforward approach is to operate laser diodes at higher output power or employ more specialized sources, but this raises cost and exacerbates nonlinear effects such as self-phase modulation, two-photon absorption, and free-carrier generation in high-index-contrast Si waveguides. This paper proposes a low-cost 4 × 1 tree-cascade multimode interference (MMI) power combiner on a Si-on-insulator platform at 1310 nm wavelength that enables coherent power scaling while remaining fully compatible with standard commercial O-band lasers. The device employs adiabatic tapers and low-loss S-bends to ensure uniform field evolution, suppress local field enhancement, and mitigate nonlinear phase accumulation. The optimized layout occupies a compact footprint of 12 µm × 772 µm and achieves a simulated normalized power transmission of 0.975 with an insertion loss of 0.1 dB. Spectral analysis shows a 3 dB bandwidth of 15.8 nm around 1310 nm, across the O-band operating window. Thermal analysis shows that wavelength drift associated with ±50 °C temperature variation remains within the device bandwidth, ensuring stable operation under realistic laser self-heating and environmental changes. Owing to its broadband response, fabrication tolerance, and compatibility with off-the-shelf laser diodes, the proposed combiner is a promising building block for O-band transmitters and photonic neural-network architectures based on cascaded splitter and combiner meshes, while preserving linear transmission and enabling dense, large-scale photonic integration. Full article
(This article belongs to the Special Issue Photonic and Optoelectronic Devices and Systems, 4th Edition)
Show Figures

Figure 1

14 pages, 3769 KB  
Article
Inversely Designed Silicon Nitride Power Splitters with Arbitrary Power Ratios
by Yang Cong, Shuo Liu, Yanfeng Liang, Haoyu Wang, Huanlin Lv, Fangxu Liu, Xuanchen Li and Qingxiao Guo
Photonics 2025, 12(8), 744; https://doi.org/10.3390/photonics12080744 - 24 Jul 2025
Viewed by 1681
Abstract
An optical power splitter (OPS) with arbitrary splitting ratios has attracted significant research interest for its broad applications in photonic integrated circuits. A series of OPSs with arbitrary splitting ratios based on silicon nitride (Si3N4) platforms are presented. The [...] Read more.
An optical power splitter (OPS) with arbitrary splitting ratios has attracted significant research interest for its broad applications in photonic integrated circuits. A series of OPSs with arbitrary splitting ratios based on silicon nitride (Si3N4) platforms are presented. The devices are designed with ultra-compact dimensions using three-dimensional finite-difference time-domain (3D FDTD) analysis and an inverse design algorithm. Within a 50 nm bandwidth (1525 nm to 1575 nm), we demonstrated a 1 × 2 OPS with splitting ratios of 1:1, 1:1.5, and 1:2; a 1 × 3 OPS with ratios of 1:2:1 and 2:1:2; and a 1 × 4 OPS with ratios of 1:1:1:1 and 2:1:2:1. The target splitting ratios are achieved by optimizing pixel distributions in the coupling region. The dimensions of the designed devices are 1.96 × 1.96 µm2, 2.8 × 2.8 µm2, and 2.8 × 4.2 µm2, respectively. The designed devices achieve transmission efficiencies exceeding 90% and exhibit excellent power splitting ratios (PSRs). Full article
Show Figures

Figure 1

14 pages, 2486 KB  
Article
High-Performance O-Band Angled Multimode Interference Splitter with Buried Silicon Nitride Waveguide for Advanced Data Center Optical Networks
by Eduard Ioudashkin and Dror Malka
Photonics 2025, 12(4), 322; https://doi.org/10.3390/photonics12040322 - 30 Mar 2025
Cited by 7 | Viewed by 1951
Abstract
Many current 1 × 2 splitter couplers based on multimode interference (MMI) face difficulties such as significant back reflection and limited flexibility in waveguide segmentation at the output, which necessitate the addition of transitional structures like tapered waveguides or S-Bends. These limitations reduce [...] Read more.
Many current 1 × 2 splitter couplers based on multimode interference (MMI) face difficulties such as significant back reflection and limited flexibility in waveguide segmentation at the output, which necessitate the addition of transitional structures like tapered waveguides or S-Bends. These limitations reduce their effectiveness as photonic data-center applications, where precise waveguide configurations are crucial. To address these challenges, we propose a novel nanoscale 1 × 2 angled multimode interference (AMMI) power splitter with silicon nitride (SiN) buried core and silica cladding. The innovative angled light path design improved performance by minimizing back reflections back to the source and by providing greater flexibility of waveguide interconnections, making the splitter more adaptable for data-center applications. The SiN core was selected due to its lower refractive index contrast with silica compared to silicon, which helps further reduce back reflection. The dimensions of the splitter were optimized using full vectorial beam propagation method (FV-BPM), finite-difference time domain (FDTD), and multivariable optimization scanning tool (MOST) simulations to support transmission across the O-band. Our proposed device demonstrated excellent performance, achieving an excess loss of 0.22 dB and an imbalance of <0.01 dB at the output ports at an operational wavelength of 1.31 µm. The total device length is 101 µm with a thickness of 0.4 µm. Across the entire O-band range (1260–1360 nm), the performance of the splitter presented excess loss of up to 1.57 dB and an imbalance of up to 0.05 dB. Additionally, back reflections at the operational wavelength were measured at −40.96 dB and up to −39.67 dB over the O-band. This silicon-on-insulator (SOI) complementary metal-oxide semiconductor (CMOS) compatible AMMI splitter demonstrates high tolerance for manufacturing deviations due to its geometric layout, dimensions, and material selection. Furthermore, the proposed splitter is well-suited for use in O-band transceiver systems and can enhance data-center optical networks by supporting high-speed, low-loss data transmission. The compact design and CMOS compatibility make this device ideal for integrating into dense, high-performance computing environments, ensuring reliable signal distribution and minimal power loss. The splitter can support multiple communication channels, thus enhancing bandwidth and scalability for next-generation data-center infrastructures. Full article
(This article belongs to the Special Issue Emerging Trends in On-Chip Photonic Integration)
Show Figures

Figure 1

11 pages, 4039 KB  
Article
Design of a 1 × 3 Power Splitter Based on Multimode Interference in a Parabolic-Type Slot-Waveguide Structure
by Shuo Liu, Baichao Liu, Huanlin Lv, Yanfeng Liang, Fangxu Liu, Haoyu Wang, Yang Cong, Xuanchen Li and Qingxiao Guo
Appl. Sci. 2024, 14(13), 5829; https://doi.org/10.3390/app14135829 - 3 Jul 2024
Cited by 3 | Viewed by 2690
Abstract
Multimode interference (MMI) couplers based on silicon slot-waveguide structures have received widespread attention in recent years. The key issues that need to be addressed are the size and loss of such devices. This study introduces a 1 × 3 silicon-based slot-waveguide multimode interference [...] Read more.
Multimode interference (MMI) couplers based on silicon slot-waveguide structures have received widespread attention in recent years. The key issues that need to be addressed are the size and loss of such devices. This study introduces a 1 × 3 silicon-based slot-waveguide multimode interference power splitter. The device uses a gallium-nitride slot-waveguide structure to reduce the length of the coupling region and decrease additional losses. To reduce the width of the coupling region, the multimode interference coupling area is designed with a parabolic-shaped structure. The introduction of a tapered structure between the input/output waveguides and the coupling region improves additional losses and non-uniformity. Furthermore, we conducted an analysis of the fabrication tolerances of the coupling region. In this paper, we use mode solution to simulate the design of the device in the 1550 nm optical wavelength range. The eigenmode expansion method is used to simulate and optimize the parameters of the device. The device is simulated using the eigenmode expansion solver. The simulation results show that the total length of the coupling region for the device is only 4 μm. The normalized transmission of the device is 0.992, and its excess loss and imbalance are 0.036 dB and 0.003 dB, respectively. The proposed power splitter can be applied to integrated optical circuit design, optical sensing, and optical power measurement. Full article
Show Figures

Figure 1

12 pages, 15402 KB  
Article
Compact Low Loss Ribbed Asymmetric Multimode Interference Power Splitter
by Yanfeng Liang, Huanlin Lv, Baichao Liu, Haoyu Wang, Fangxu Liu, Shuo Liu, Yang Cong, Xuanchen Li and Qingxiao Guo
Photonics 2024, 11(5), 472; https://doi.org/10.3390/photonics11050472 - 17 May 2024
Cited by 4 | Viewed by 3348
Abstract
Optical power splitters (OPSs) are utilized extensively in integrated photonic circuits, drawing significant interest in research on power splitters with adjustable splitting ratios. This paper introduces a compact, low-loss 1 × 2 asymmetric multimode interferometric (MMI) optical power splitter on a silicon-on-insulator (SOI) [...] Read more.
Optical power splitters (OPSs) are utilized extensively in integrated photonic circuits, drawing significant interest in research on power splitters with adjustable splitting ratios. This paper introduces a compact, low-loss 1 × 2 asymmetric multimode interferometric (MMI) optical power splitter on a silicon-on-insulator (SOI) platform. The device is simulated using the finite difference method (FDM) and eigenmode expansion solver (EME). It is possible to attain various output power splitting ratios by making the geometry of the MMI central section asymmetric relative to the propagation axis. Six distinct optical power splitters are designed with unconventional splitting ratios in this paper, which substantiates that the device can achieve any power splitter ratios (PSRs) in the range of 95:5 to 50:50. The dimensions of the multimode section were established at 2.9 × (9.5–10.9) μm. Simulation results show a range of unique advantages of the device, including a low extra loss of less than 0.4 dB, good fabrication tolerance, and power splitting ratio fluctuation below 3% across the 1500 nm to 1600 nm wavelength span. Full article
(This article belongs to the Special Issue Optical Fiber Communication Systems and Networks)
Show Figures

Figure 1

10 pages, 5013 KB  
Article
Mode Heterogeneous Multimode Power Splitter Based on Cascaded Mode-Dependent Splitters and Converters
by Xin Xu, Hongliang Chen, Xin Fu and Lin Yang
Photonics 2024, 11(5), 457; https://doi.org/10.3390/photonics11050457 - 14 May 2024
Viewed by 1718
Abstract
To the best of our knowledge, a novel concept of mode heterogeneity for the design of multimode devices is presented in this paper and applied to the design of scalable multimode power splitters. Based on a cascade of mode-dependent splitters and converters, we [...] Read more.
To the best of our knowledge, a novel concept of mode heterogeneity for the design of multimode devices is presented in this paper and applied to the design of scalable multimode power splitters. Based on a cascade of mode-dependent splitters and converters, we achieve beam splitting and mode conversion for four modes from TE0 to TE3 in the bandwidth from 1525 nm to 1560 nm. The measurements of the device at 1550 nm show excellent performance, with the insertion loss ranging from 0.16 dB to 0.63 dB, crosstalk all below −16.71 dB, and power uniformity between 0.026 dB and 0.168 dB. Full article
(This article belongs to the Special Issue Optical Communication, Sensing and Network)
Show Figures

Figure 1

11 pages, 3191 KB  
Article
Ultra-Broadband, Compact Arbitrary-Ratio Multimode Power Splitter Based on Tilted Subwavelength Gratings
by Wenbin Chen, Hongjie Guo, Yongkang Yang, Baiang Qu, Yali Zhao, Yingchun Cao, Wentao Guo and Manqing Tan
Photonics 2023, 10(12), 1327; https://doi.org/10.3390/photonics10121327 - 29 Nov 2023
Cited by 2 | Viewed by 2233
Abstract
Mode division multiplexing (MDM) technology is an effective solution for high-capacity optical interconnection, and multimode power splitters, as essential components in MDM systems, have attracted widespread attention. However, supporting a wide range of modes and arbitrary power splitting ratios with large bandwidth in [...] Read more.
Mode division multiplexing (MDM) technology is an effective solution for high-capacity optical interconnection, and multimode power splitters, as essential components in MDM systems, have attracted widespread attention. However, supporting a wide range of modes and arbitrary power splitting ratios with large bandwidth in power splitters remains a significant challenge. In this paper, we designed a power splitter based on a subwavelength grating (SWG) structure with tilted placement on a silicon-on-insulator (SOI) substrate. We achieve arbitrary TE0–TE9 mode-insensitive power distribution by altering the filling coefficient of the SWG. Thanks to our specific selection of cladding materials and compensatory design for the optical wave transmission and reflection shifts induced by SWG, our device demonstrates low additional loss (EL < 1.1 dB) and inter-mode crosstalk (−18.8 < CT < −60 dB) for optical modes ranging from TE0 to TE9, covering a wavelength range from 1200 nm to 1700 nm. Furthermore, our proposed device can be easily extended to higher-order modes with little loss of device performance, offering significant potential in MDM platforms. Full article
Show Figures

Figure 1

14 pages, 6425 KB  
Article
Flexible Data Rate Allocation Using Non-Orthogonal Multiple Access (NOMA) in a Mode Division Multiplexing (MDM) Optical Power Splitter for System-on-Chip Networks
by Yuan-Zeng Lin, Chi-Wai Chow, Tien-Wei Yu, Yin-He Jian, Tun-Yao Hung, Jian-Wen Chen and Chien-Hung Yeh
Sensors 2023, 23(16), 7259; https://doi.org/10.3390/s23167259 - 18 Aug 2023
Cited by 3 | Viewed by 2125
Abstract
We put forward and demonstrate a silicon photonics (SiPh)-based mode division multiplexed (MDM) optical power splitter that supports transverse-electric (TE) single-mode, dual-mode, and triple-mode (i.e., TE0, TE1, and TE2). An optical power splitter is needed for optical [...] Read more.
We put forward and demonstrate a silicon photonics (SiPh)-based mode division multiplexed (MDM) optical power splitter that supports transverse-electric (TE) single-mode, dual-mode, and triple-mode (i.e., TE0, TE1, and TE2). An optical power splitter is needed for optical signal distribution and routing in optical interconnects. However, a traditional optical splitter only divides the power of the input optical signal. This means the same data information is received at all the output ports of the optical splitter. The powers at different output ports may change depending on the splitting ratio of the optical splitter. The main contributions of our proposed optical splitter are: (i) Different data information is received at different output ports of the optical splitter via the utilization of NOMA. By adjusting the power ratios of different channels in the digital domain (i.e., via software control) at the Tx, different channel data information can be received at different output ports of the splitter. It can increase the flexibility of optical signal distribution and routing. (ii) Besides, the proposed optical splitter can support the fundamental TE0 mode and the higher modes TE1, TE2, etc. Supporting mode-division multiplexing and multi-mode operation are important for future optical interconnects since the number of port counts is limited by the chip size. This can significantly increase the capacity besides wavelength division multiplexing (WDM) and spatial division multiplexing (SDM). The integrated SiPh MDM optical power splitter consists of a mode up-conversion section implemented by asymmetric directional couplers (ADCs) and a Y-branch structure for MDM power distribution. Here, we also propose and discuss the use of the Genetic algorithm (GA) for the MDM optical power splitter parameter optimization. Finally, to provide adjustable data rates at different output ports after the MDM optical power splitter, non-orthogonal multiple access—orthogonal frequency division multiplexing (NOMA-OFDM) is also employed. Experimental results validate that, in three modes (TE0, TE1, and TE2), user-1 and user-2 achieve data rates of (user-1: greater than 22 Gbit/s; user-2: greater than 12 Gbit/s) and (user-1: greater than 12 Gbit/s; user-2: 24 Gbit/s), respectively, at power-ratio (PR) = 2.0 or 3.0. Each channel meets the hard-decision forward-error-correction (HD-FEC, i.e., BER = 3.8 × 10−3) threshold. The proposed method allows flexible data rate allocation for multiple users for optical interconnects and system-on-chip networks. Full article
(This article belongs to the Section Optical Sensors)
Show Figures

Figure 1

12 pages, 3279 KB  
Article
An Optical 1×4 Power Splitter Based on Silicon–Nitride MMI Using Strip Waveguide Structures
by Aviv Frishman and Dror Malka
Nanomaterials 2023, 13(14), 2077; https://doi.org/10.3390/nano13142077 - 15 Jul 2023
Cited by 33 | Viewed by 5116
Abstract
This paper presents a new design for a 1 × 4 optical power splitter using multimode interference (MMI) coupler in silicon nitride (Si3N4) strip waveguide structures. The main functionality of the proposed design is to use Si3N [...] Read more.
This paper presents a new design for a 1 × 4 optical power splitter using multimode interference (MMI) coupler in silicon nitride (Si3N4) strip waveguide structures. The main functionality of the proposed design is to use Si3N4 for dealing with the back reflection (BR) effect that usually happens in silicon (Si) MMI devices due to the self-imaging effect and the higher index contrast between Si and silicon dioxide (SiO2). The optimal device parameters were determined through numerical optimizations using the beam propagation method (BPM) and finite difference time domain (FDTD). Results demonstrate that the power splitter with a length of 34.6 μm can reach equal distribution power in each output port up to 24.3% of the total power across the O-band spectrum with 0.13 dB insertion loss and good tolerance MMI coupler parameters with a shift of ±250 nm. Additionally, the back reflection range over the O-band was found to be 40.25–42.44 dB. This demonstrates the effectiveness of the incorporation using Si3N4 MMI and adiabatic input and output tapers in mitigating unwanted BR to ensure that a good signal is received from the laser. This design showcases the significant potential for data-center networks, offering a promising solution for efficient signal distribution and facilitating high-performance and reliable optical signal routing within the O-band range. By leveraging the advantages of Si3N4 and the MMI coupler, this design opens possibilities for advanced optical network architectures and enables efficient transmission of optical signals in the O-band range. Full article
Show Figures

Figure 1

18 pages, 4377 KB  
Article
4 × 4 Integrated Switches Based on On-Chip Wireless Connection through Optical Phased Arrays
by Giovanna Calò, Gaetano Bellanca, Franco Fuschini, Marina Barbiroli, Davide Bertozzi, Velio Tralli and Vincenzo Petruzzelli
Photonics 2023, 10(4), 367; https://doi.org/10.3390/photonics10040367 - 25 Mar 2023
Cited by 9 | Viewed by 2882
Abstract
Optical Wireless Networks on-Chip are an emerging technology recently proposed to improve the interconnection between different processing units in densely integrated computing architectures. In this work, we propose a 4 × 4 optical wireless switch (OWS) based on optical phased arrays (OPAs) for [...] Read more.
Optical Wireless Networks on-Chip are an emerging technology recently proposed to improve the interconnection between different processing units in densely integrated computing architectures. In this work, we propose a 4 × 4 optical wireless switch (OWS) based on optical phased arrays (OPAs) for broadband reconfigurable on-chip communication. The OPA and OWS design criteria are reported. Moreover, the performances of the OWS are analyzed and optimized considering the electromagnetic propagation in on-chip multilayer structures, with different thicknesses of the cladding layer. The effect on the OWS behavior of a non-ideal distribution of the power in input to the OPA is also investigated by designing a 1 × 7 beam splitter, based on a single-stage multi-mode interference (MMI) device to be used as a single element of the OWS. Then, the MMI output signals are considered in input to the transmitting OPAs and the OWS performances are evaluated. Full article
(This article belongs to the Section Optical Communication and Network)
Show Figures

Figure 1

12 pages, 4382 KB  
Communication
Ultra-Broadband and Low-Loss Silicon-Based Power Splitter Based on Subwavelength Grating-Assisted Multimode Interference Structure
by Yuchen Shi, Bo Shao, Zhekang Zhang, Taotao Zhou, Fan Luo and Yin Xu
Photonics 2022, 9(7), 435; https://doi.org/10.3390/photonics9070435 - 21 Jun 2022
Cited by 9 | Viewed by 4247
Abstract
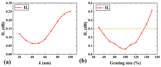
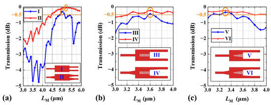
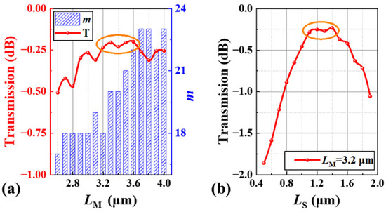
High-performance and compact power splitters are fundamental components in on-chip photonic integrated circuits (PICs). We propose a silicon-based power splitter based on a subwavelength grating (SWG)-assisted multimode interference (MMI) structure. To shorten the device size and enhance the device performance, an inverse-tapered SWG [...] Read more.
High-performance and compact power splitters are fundamental components in on-chip photonic integrated circuits (PICs). We propose a silicon-based power splitter based on a subwavelength grating (SWG)-assisted multimode interference (MMI) structure. To shorten the device size and enhance the device performance, an inverse-tapered SWG is embedded in the central region of the MMI and two rows of uniform SWG are embedded on both sides, together with two right-angled cutting structures on the input side. According to the results, the MMI length was obviously reduced to 3.2 μm (5.2 μm for conventional MMI structure under the same waveguide width), while the insertion loss (IL) and reflection loss were 0.08 dB and <−35 dB, respectively. Moreover, the allowable working bandwidth could be extended to 560 nm by keeping IL <0.6 dB, covering the whole optical communication band. On the basis of these features, we believe that such a power splitter is very promising for building on-chip large-scale PICs where power splitting is indispensable. Full article
Show Figures

Figure 1

9 pages, 1524 KB  
Communication
Eight-Channel LAN WDM (De)Multiplexer Based on Cascaded Mach–Zehnder Interferometer on SOI for 400GbE
by Zhizun Zhao, Zhen Li, Jiaqi Niu, Gaolu Zhang, Hongliang Chen, Xin Fu and Lin Yang
Photonics 2022, 9(4), 252; https://doi.org/10.3390/photonics9040252 - 11 Apr 2022
Cited by 29 | Viewed by 7272
Abstract
In this paper, we design and experimentally demonstrate an eight-channel cascaded Mach–Zehnder interferometer (MZI) based Local Area Network (LAN) Wavelength Division Multiplexing (WDM) (de)multiplexerwith channel spacing of 800 GHz on a silicon-on-insulator. By cascading a three-stage MZI, eight target wavelengths are (de)multiplexed. The [...] Read more.
In this paper, we design and experimentally demonstrate an eight-channel cascaded Mach–Zehnder interferometer (MZI) based Local Area Network (LAN) Wavelength Division Multiplexing (WDM) (de)multiplexerwith channel spacing of 800 GHz on a silicon-on-insulator. By cascading a three-stage MZI, eight target wavelengths are (de)multiplexed. The length difference of the third-stage MZI delay arms is adjusted so that the output channels skip the guard band. In order to keep the central wavelength of each channel from shifting, we utilize a wide waveguide for the phase delay arm in MZI to achieve large fabrication tolerance, and the multi-mode interference (MMI) couplers as power splitters with weak dispersions. The measurement results of the fabricated device show the precise wavelength alignment over the whole working wavelength range. Full article
Show Figures

Figure 1

8 pages, 1697 KB  
Article
Design of Power Splitters Based on Hybrid Plasmonic Waveguides
by Xiaoyan Shi, Wu Yang, Huaizhong Xing and Xiaoshuang Chen
Appl. Sci. 2021, 11(18), 8644; https://doi.org/10.3390/app11188644 - 17 Sep 2021
Cited by 13 | Viewed by 2747
Abstract
Plasmonic power splitters based on hybrid plasmonic waveguides (HPWs) are proposed and investigated. The HPW consists of a high-permittivity semiconductor nanowire embedded in a SiO2 dielectric film near a metal surface. The propagation behaviors of Surface Plasmon Polaritons (SPPs) in HPWs are [...] Read more.
Plasmonic power splitters based on hybrid plasmonic waveguides (HPWs) are proposed and investigated. The HPW consists of a high-permittivity semiconductor nanowire embedded in a SiO2 dielectric film near a metal surface. The propagation behaviors of Surface Plasmon Polaritons (SPPs) in HPWs are numerically simulated by the 3D finite-difference time-domain (FDTD) method. The incident field is transferred from the middle waveguide to the waveguides on both sides due to the coupling between adjacent waveguides. The intensity distributions can be explained by the multimode interference of SPPs supermodes. According to the field intensity distribution of five HPWs, we design a 1 × 3 power splitter and a 1 × 2 power splitter by reducing the length of some specific waveguides. Full article
(This article belongs to the Special Issue Recent Advances in Silicon Photonics Design)
Show Figures

Figure 1

8 pages, 1477 KB  
Article
Lithographic Mask Defects Analysis on an MMI 3 dB Splitter
by Paulo Lourenço, Alessandro Fantoni, João Costa and Manuela Vieira
Photonics 2019, 6(4), 118; https://doi.org/10.3390/photonics6040118 - 9 Nov 2019
Cited by 8 | Viewed by 4344
Abstract
In this paper, we present a simulation study that intends to characterize the influence of defects introduced by manufacturing processes on the geometry of a semiconductor structure suitable to be used as a multimode interference (MMI) 3 dB power splitter. Consequently, these defects [...] Read more.
In this paper, we present a simulation study that intends to characterize the influence of defects introduced by manufacturing processes on the geometry of a semiconductor structure suitable to be used as a multimode interference (MMI) 3 dB power splitter. Consequently, these defects will represent refractive index fluctuations which, on their turn, will drastically affect the propagation conditions within the structure. Our simulations were conducted on a software platform that implements the Beam Propagation numerical method. This work supports the development of a biomedical plasmonic sensor, which is based on the coupling between propagating modes in a dielectric waveguide and the surface plasmon mode that is generated on an overlaid metallic thin film, and where the output readout is achieved through an a-Si:H photodiode. By using a multimode interference 1 × 2 power splitter, this sensor device can utilize the non-sensing arm as a reference one, greatly facilitating its calibration and enhancing its performance. As the spectral sensitivity of amorphous silicon is restricted to the visible range, this sensing device should be operating on a wavelength not higher than 700 nm; thus, a-SiNx has been the material hereby proposed for both waveguides and MMI power splitter. Full article
Show Figures

Figure 1

Back to TopTop