Sign in to use this feature.

Years

Between: -

Subjects

remove_circle_outline
remove_circle_outline
remove_circle_outline
remove_circle_outline
remove_circle_outline
remove_circle_outline
remove_circle_outline
remove_circle_outline

Journals

Article Types

Countries / Regions

Search Results (21)

Search Parameters:
Keywords = multi-small supplier

Order results
Result details
Results per page
Select all
Export citation of selected articles as:
20 pages, 1076 KB  
Article
The Impact of Entrepreneurial Ecosystems on Value Co-Creation in SME: The Moderating Role of Marketing Innovations
by Vera Silva Carlos, João Almeida, Filipe Sampaio Rodrigues, Angela C. Macedo and Pedro Mota Veiga
Adm. Sci. 2025, 15(12), 475; https://doi.org/10.3390/admsci15120475 - 3 Dec 2025
Viewed by 915
Abstract
Value co-creation is essential for the success and sustainability of Small and Medium Enterprises (SMEs), enabling them to integrate resources and knowledge from multiple stakeholders, such as customers, suppliers, and universities, to develop innovative offerings. However, research drawing on Service-Dominant Logic (SDL) and [...] Read more.
Value co-creation is essential for the success and sustainability of Small and Medium Enterprises (SMEs), enabling them to integrate resources and knowledge from multiple stakeholders, such as customers, suppliers, and universities, to develop innovative offerings. However, research drawing on Service-Dominant Logic (SDL) and Resource-Based View (RBV) has devoted limited attention to how entrepreneurial ecosystem cooperation and marketing innovation jointly shape SME value co-creation, particularly in smaller and peripheral economies. This study examines the impact of entrepreneurial ecosystems (EEs) on value co-creation in SMEs, focusing on the moderating role of marketing innovation. EEs provide SMEs with access to new knowledge, technologies, and financial resources, which support innovation and enhance their competitiveness. Using microdata from the Portuguese Community Innovation Survey (CIS) 2020 and logistic regression models, we investigate how cooperation with key stakeholders (universities, customers, suppliers, consultants, competitors and government agencies) affects the likelihood that SMEs engage in value co-creation with users. The results show that ecosystem cooperation significantly contributes to value co-creation, with cooperation with universities, customers and suppliers exerting the strongest effects. Marketing innovation further strengthens the association between ecosystem cooperation and value co-creation, especially for knowledge-intensive and market-oriented partners. Theoretically, the study extends SDL by applying its multi-actor value co-creation perspective to entrepreneurial ecosystem configurations and specifying how cooperation with distinct actors activates co-creation mechanisms in SMEs. It extends RBV by conceptualising ecosystem cooperation as an externally orchestrated bundle of strategic resources and by positioning marketing innovation as a dynamic capability that shapes the returns to such cooperation. The findings also provide practical guidance for SMEs and policymakers seeking to design ecosystems and marketing strategies that support collaborative innovation in the knowledge economy. Full article
Show Figures

Figure 1

21 pages, 1763 KB  
Article
An Enhanced Hierarchical Fuzzy TOPSIS-ANP Method for Supplier Selection in an Uncertain Environment
by Khodadad Ouraki, Abdollah Hadi-Vencheh, Ali Jamshidi and Amir Karbassi Yazdi
Mathematics 2025, 13(21), 3417; https://doi.org/10.3390/math13213417 - 27 Oct 2025
Viewed by 739
Abstract
This paper proposes an enhanced hierarchical fuzzy Technique for Order of Preference by Similarity to Ideal Solution (TOPSIS) integrated with the Analytic Network Process (ANP) for solving multi-criteria decision-making (MCDM) problems under uncertainty. Conventional fuzzy TOPSIS models often face significant challenges, such as [...] Read more.
This paper proposes an enhanced hierarchical fuzzy Technique for Order of Preference by Similarity to Ideal Solution (TOPSIS) integrated with the Analytic Network Process (ANP) for solving multi-criteria decision-making (MCDM) problems under uncertainty. Conventional fuzzy TOPSIS models often face significant challenges, such as restrictions to specific fuzzy number formats, difficulties in normalization when zero or very small values appear, and limited capacity to capture hierarchical interdependencies among criteria. To address these limitations, we develop a generalized fuzzy geometric mean approach for deriving weights from pairwise comparisons that can accommodate multiple fuzzy number types. Moreover, a novel normalization function is introduced, which ensures mathematically valid outcomes within the [0, 1] interval while avoiding division-by-zero and inconsistency issues. The proposed method is validated through both a numerical building selection problem and a practical supplier selection case study. Comparative analyses against established fuzzy MCDM models demonstrate the improved robustness, flexibility, and accuracy of the approach. Additionally, a sensitivity analysis confirms the stability of results with respect to variations in criteria weights, fuzzy number formats, and normalization techniques. These findings highlight the potential of the proposed fuzzy hierarchical TOPSIS-ANP framework as a reliable and practical decision support tool for complex real-world applications, including supply chain management and resource allocation under uncertainty. Full article
(This article belongs to the Section D2: Operations Research and Fuzzy Decision Making)
Show Figures

Figure 1

28 pages, 1539 KB  
Article
Optimal Inventory Planning at the Retail Level, in a Multi-Product Environment, Enabled with Stochastic Demand and Deterministic Lead Time
by Andrés Julián Barrera-Sánchez and Rafael Guillermo García-Cáceres
Logistics 2025, 9(3), 128; https://doi.org/10.3390/logistics9030128 - 11 Sep 2025
Viewed by 3255
Abstract
Background: Inventory planning in retail supply chains requires balancing cost efficiency and service reliability under demand uncertainty and financial limitations. The literature has seldom addressed the joint integration of stochastic demand, deterministic lead times, and supplier-specific constraints in multi-product and multi-warehouse settings, [...] Read more.
Background: Inventory planning in retail supply chains requires balancing cost efficiency and service reliability under demand uncertainty and financial limitations. The literature has seldom addressed the joint integration of stochastic demand, deterministic lead times, and supplier-specific constraints in multi-product and multi-warehouse settings, particularly in the context of small- and medium-sized enterprises. Methods: This study develops a Stochastic Pure Integer Linear Programming (SPILP) model that incorporates stochastic demand, deterministic lead times, budget ceilings, and trade credit conditions across multiple suppliers and warehouses. A two-step solution procedure is proposed, combining a chance-constrained approach to manage uncertainty with warm-start heuristics and relaxation-based preprocessing to improve computational efficiency. Results: Model validation using data from a Colombian retail distributor showed cost reductions of up to 17% (average 15%) while maintaining or improving service levels. Computational experiments confirmed scalability, solving instances with more than 574,000 variables in less than 8800 s. Sensitivity analyses revealed nonlinear trade-offs between service levels and planning horizons, showing that very high service levels or short planning periods substantially increase costs. Conclusions: The findings demonstrate that the proposed model provides an effective decision support system for inventory planning under uncertainty, offering robust, scalable, and practical solutions that integrate operational and financial constraints for medium-sized retailers. Full article
Show Figures

Figure 1

39 pages, 1459 KB  
Article
Impact of Supply Chain Management on Business Sustainability: Case of Water Bottling Companies in and Around Finfinnee, Ethiopia
by Tadesse Kenea Amentae, Girma Gebresenbet and Nuredin Jemal Abdela
Logistics 2025, 9(1), 5; https://doi.org/10.3390/logistics9010005 - 30 Dec 2024
Cited by 2 | Viewed by 5228
Abstract
Background: Effective supply chain management (SCM) is widely considered vital for enhancing business sustainability, yet empirical evidence across industries and contexts remains limited. This paper aims to address this gap by presenting empirical findings specific to a particular industry, business size, and [...] Read more.
Background: Effective supply chain management (SCM) is widely considered vital for enhancing business sustainability, yet empirical evidence across industries and contexts remains limited. This paper aims to address this gap by presenting empirical findings specific to a particular industry, business size, and economic setting. Methods: The data are collected from small- and medium-sized water bottling companies in Ethiopia utilizing a Likert scale questionnaire and analyzed using SPPS version 29 using multi-variable regression analysis. Results: The findings reveal a statistically significant positive influence of supply chain management practices on economic, environmental, and social sustainability business performances. Accordingly, supply chain internal practices and customer and supplier integration impact business economic sustainability, while customer and supplier integration affect business environmental sustainability performance. Customer integration, supplier integration, and supply chain internal practices significantly influence business social sustainability performance. Conclusions: These results highlight the potential for businesses to achieve holistic sustainability goals through targeted improvements in SCM practices. The research results are consistent with most previous studies on this topic, except for a few variations that may need further investigation. The discussion highlighted the intricate links between supply chain management practices and business sustainability, underscoring the need for comprehensive further empirical studies in various contexts. Full article
Show Figures

Figure 1

18 pages, 3992 KB  
Article
Analysis of the Selection of Suppliers of Loading and Transportation Equipment in Mining SMEs
by Edison Ramírez-Olivares, Mauricio Castillo-Vergara, Jovany Olivares-Campusano and Matías Tirado-Flores
Sustainability 2024, 16(23), 10696; https://doi.org/10.3390/su162310696 - 6 Dec 2024
Viewed by 1532
Abstract
Small- and medium-sized enterprise (SME) mining firms contribute to Chile’s economy. However, more support is needed to improve decision-making, mainly in a context where it is necessary for mining to operate sustainably. Loading and transportation are essential unit operations in mining. Solution-focused supplier [...] Read more.
Small- and medium-sized enterprise (SME) mining firms contribute to Chile’s economy. However, more support is needed to improve decision-making, mainly in a context where it is necessary for mining to operate sustainably. Loading and transportation are essential unit operations in mining. Solution-focused supplier companies are joining the market, making selection more difficult. This study suggests a hierarchical analytical process-based multi-criteria analysis. Among what stands out are its simplicity and clarity. The Analytic Hierarchy Process (AHP), used in several fields, is a flexible multi-criteria analysis system for complex decision-making. Its development used Expert Choice® software. The results show that the most crucial criterion for selecting loading and transportation equipment suppliers is related to occupational safety and health. The most relevant components are the mortality, accident frequency, and severity rates. Operational indicators are the second most relevant criterion, enabling companies to be more productive and efficient in achieving their objectives. Sensitivity analysis demonstrates that, even with variations in the criterion preferences, the fatality rate remains at the top of the hierarchy, showing the robustness of the model used. Contrary to what might be expected, criteria such as the supplier profile do not stand out among the critical factors for the sector. Full article
Show Figures

Figure 1

8 pages, 1924 KB  
Proceeding Paper
Evaluation of Semiconductor Risk Mitigation Strategies in the Electric Vehicle Supply Chain
by Nishi Panchal, Pranav Topre and Golam Kabir
Eng. Proc. 2024, 76(1), 30; https://doi.org/10.3390/engproc2024076030 - 21 Oct 2024
Viewed by 2956
Abstract
The study examines the effects of semiconductor scarcity on the electric vehicle (EV) supply chain caused by an increase in electronics demand after the 2020 automobile industry downturn due to the COVID-19 pandemic. The rising demand for semiconductor chips in the automotive industry, [...] Read more.
The study examines the effects of semiconductor scarcity on the electric vehicle (EV) supply chain caused by an increase in electronics demand after the 2020 automobile industry downturn due to the COVID-19 pandemic. The rising demand for semiconductor chips in the automotive industry, especially in EVs, necessitates strategic measures for original equipment manufacturers and suppliers to strengthen supply chain resilience. This study uses a consequence-based decision-making framework that uses a hybrid Decision-Making Trial and Evaluation Laboratory (DEMATEL) method with Interpretive Structure Modeling (ISM). By leveraging this innovative approach, the research unveils complex causal relationships among supply chain strategies, providing quantifiable insights for prioritizing resilience in the face of multifaceted risks such as trade wars, regulatory changes, and raw material shortages. In addition, the study enhances our comprehension of supply chain resilience within the electric vehicle sector by illuminating aspects that have not been thoroughly examined by the Multi-Criteria Decision Analysis (MCDA) technique employed in this research. The analysis includes the adoption of multisourcing, fostering ecosystem partnerships, and improving supply chain visibility. Through these novel insights, this analysis aims to empower stakeholders and small- to medium-sized enterprises to navigate future automotive market dynamics, with a focus on evolving manufacturer–supplier relationships in the midst of technological advancements. Full article
Show Figures

Figure 1

18 pages, 942 KB  
Article
Make-or-Buy Policy Decision in Maintenance Planning for Mobility: A Multi-Criteria Approach
by Tommaso Ortalli, Andrea Di Martino, Michela Longo and Dario Zaninelli
Logistics 2024, 8(2), 55; https://doi.org/10.3390/logistics8020055 - 20 May 2024
Viewed by 2934
Abstract
Background: The ongoing technical innovation is fully involving transportation sector, converting the usual mass-transit system toward a sustainable mobility. Make-or-buy decision are usually adopted to assess different solutions in terms of costs-benefits to put in place strategic choices regarding in-house production or [...] Read more.
Background: The ongoing technical innovation is fully involving transportation sector, converting the usual mass-transit system toward a sustainable mobility. Make-or-buy decision are usually adopted to assess different solutions in terms of costs-benefits to put in place strategic choices regarding in-house production or from an external supplier. This can also be reflected on maintenance operations, thus replicating a similar approach to transport companies involved. Method: A decision-making model by means of a multi-criteria analysis can lead make-or-buy choices adapted to maintenance. A brief introduction into the actual mobility context is provided, evaluating global and national trends with respect to the mobility solutions offered. Then, a focus is set on maintenance approaches in mobility sector and the need of a make-or-buy decision process is considered. The decision-making path is developed through a multi-criteria framework based on eigenvector weighing assessment, where different Key Performance Indicators (KPIs) are identified and exploited to assess the maintenance approach at stake. Results: A comparison among different scenarios considered helped in identify the solution offered to the transport operator. In particular, for the case study of interest a −35% decrease in maintenance specific cost and −44% in cost variability were found. Reliability of the fleet was kept at an acceptable level compared to the reference in-house maintenance (≥90%) while an increase in the Mean Time Between Failure was observed. Conclusions: For the purposes of a small company, the method can address the choice of outsourcing maintenance as the best. Finally, a general trend is then extrapolated from the analysis performed, in order to constitute a decision guideline. The research can benefit from further analysis to test and validate that the selected approach is effective from the perspective of transport operator. Full article
Show Figures

Figure 1

30 pages, 4355 KB  
Article
Multi Objective and Multi-Product Perishable Supply Chain with Vendor-Managed Inventory and IoT-Related Technologies
by Tahereh Mohammadi, Seyed Mojtaba Sajadi, Seyed Esmaeil Najafi and Mohammadreza Taghizadeh-Yazdi
Mathematics 2024, 12(5), 679; https://doi.org/10.3390/math12050679 - 26 Feb 2024
Cited by 10 | Viewed by 3450
Abstract
With the emergence of the fourth industrial revolution, the use of intelligent technologies in supply chains is becoming increasingly common. The aim of this research is to propose an optimal design for an intelligent supply chain of multiple perishable products under a vendor-managed [...] Read more.
With the emergence of the fourth industrial revolution, the use of intelligent technologies in supply chains is becoming increasingly common. The aim of this research is to propose an optimal design for an intelligent supply chain of multiple perishable products under a vendor-managed inventory management policy aided by IoT-related technologies to address the challenges associated with traditional supply chains. Various levels of the intelligent supply chain employ technologies such as Wireless Sensor Networks (WSNs), Radio Frequency Identification (RFID), and Blockchain. In this paper, we develop a bi-objective nonlinear integer mathematical programming model for designing a four-level supply chain consisting of suppliers, manufacturers, retailers, and customers. The model determines the optimal network nodes, production level, product distribution and sales, and optimal choice of technology for each level. The objective functions are total cost and delivery times. The GAMS 24.2.1 optimization software is employed to solve the mathematical model in small dimensions. Considering the NP-Hard nature of the problem, the Grey Wolf Optimizer (GWO) algorithm is employed, and its performance is compared with the Multi-Objective Whale Optimization Algorithm (MOWOA) and NSGA-III. The results indicate that the adoption of these technologies in the supply chain can reduce delivery times and total supply chain costs. Full article
(This article belongs to the Special Issue Simulation-Based Optimisation in Business Analytics)
Show Figures

Figure 1

16 pages, 4877 KB  
Article
Neutrosophic Autocratic Multi-Attribute Decision-Making Strategies for Building Material Supplier Selection
by Amirhossein Nafei, Chien-Yi Huang, Shu-Chuan Chen, Kuang-Zong Huo, Yi-Ching Lin and Hadi Nasseri
Buildings 2023, 13(6), 1373; https://doi.org/10.3390/buildings13061373 - 24 May 2023
Cited by 19 | Viewed by 2482
Abstract
Because of the intricate nature of real-world scenarios, experts could encounter many ambiguities throughout the decision-making (DM) process. Adopting a DM strategy in conditions of indeterminacy so that the decision makers are limited to a small number of experts is always helpful in [...] Read more.
Because of the intricate nature of real-world scenarios, experts could encounter many ambiguities throughout the decision-making (DM) process. Adopting a DM strategy in conditions of indeterminacy so that the decision makers are limited to a small number of experts is always helpful in real life. Neutrosophic conception is a convenient technique for handling inconsistent, ambiguous, and uncertain values. This research presents an autocratic DM strategy based on Neutrosophic Sets (NSs) to address these ambiguities. The essential component of the suggested technique is the conversion of diverse management decision and weight matrices into a unified evaluation matrix. Supplier Selection (SS) is a multi-criteria decision-making problem where a limited number of alternative suppliers are evaluated using a limited set of criteria. The suggested methodology based on different score functions is applied to SS issues involving construction materials. The numerical illustrations indicate the success of the introduced method in selecting the best supplier with the least computational complexity. The important point obtained in this research is that adopting a suitable score function appropriate to the characteristics of the data plays an important role in the decision-making process. Full article
Show Figures

Figure 1

20 pages, 1633 KB  
Article
A New Integrated Multi-Criteria Decision-Making Model for Sustainable Supplier Selection Based on a Novel Grey WISP and Grey BWM Methods
by Alptekin Ulutaş, Ayşe Topal, Dragan Pamučar, Željko Stević, Darjan Karabašević and Gabrijela Popović
Sustainability 2022, 14(24), 16921; https://doi.org/10.3390/su142416921 - 16 Dec 2022
Cited by 36 | Viewed by 4557
Abstract
Supplier selection is an important task in supply chain management, as suppliers have a vital role in the success of organisations in a supply chain. Sustainability has emerged as a solution to decreasing resources and increasing environmental and social problems in the past [...] Read more.
Supplier selection is an important task in supply chain management, as suppliers have a vital role in the success of organisations in a supply chain. Sustainability has emerged as a solution to decreasing resources and increasing environmental and social problems in the past few decades. It has been applied to various industrial operations, one of them is supplier selection, to mitigate unwanted effects in the future. Sustainable supplier selection is a complicated multi-criteria decision making problem, including several criteria from economic, environmental, and social perspectives. To deal with subjective judgements of decision makers, fuzzy and grey methods are widely used in multi-criteria decision making, In the case of small, limited, and incomplete data, the grey theory provides satisfactory results, compared to fuzzy methods. Therefore, this study is an integrated method including grey Best-Worst Method (BWM) and grey Weighted Sum-Product (WISP) for choosing the most sustainable supplier for a textile manufacturer, which includes three main criteria and twelve sub-criteria. According to the result of the proposed model, the supplier with the best performance was determined to be the supplier with the SP2 coded. The results of the developed model were shown to the experts, and the accuracy of the results was confirmed. According to the experts, a higher amount of product can be purchased from the supplier with the SP2 code, and a tighter relationship can be worked with this supplier. The contributions of this study are: (1) Develop a new grey MCDM model called Grey WISP. (2) Create a new integrated MCDM model with grey theory, BWM, and WISP methods that can be applied to assess supplier sustainability using this hybrid model. The proposed model can be used not just for selecting sustainable suppliers, but also for any other decision problems that have multiple criteria and alternatives. The findings suggest that the Grey WISP method achieved accurate results. Full article
(This article belongs to the Special Issue Circular Economy and Logistics)
Show Figures

Figure 1

12 pages, 1778 KB  
Article
A Study on the Identification of Delayed Delivery Risk Transmission Paths in Multi-Variety and Low-Volume Enterprises Based on Bayesian Network
by Linchao Yang, Fan Zhang, Anying Liu, Shenghan Zhou, Xiangwei Wu and Fajie Wei
Appl. Sci. 2022, 12(23), 12024; https://doi.org/10.3390/app122312024 - 24 Nov 2022
Cited by 2 | Viewed by 4155
Abstract
Due to the prevalence of the order production mode, multi-variety, small-batch manufacturing enterprises frequently delay deliveries to downstream customers. To date, most existing studies on delayed delivery risk have focused on the response to the risk after it occurs, ignoring how the risk [...] Read more.
Due to the prevalence of the order production mode, multi-variety, small-batch manufacturing enterprises frequently delay deliveries to downstream customers. To date, most existing studies on delayed delivery risk have focused on the response to the risk after it occurs, ignoring how the risk arises. For multi-variety, low-volume production companies, any part of the production process could lead to the ultimate risk of delayed delivery, and the risk is transmissible. Therefore, the path of risk transmission needs to be identified to effectively control the risk of late delivery at key production stages. In this paper, from the perspective of risk transmission, a recognition method based on association rules and the Bayesian network was proposed to identify the risk conduction path. This method firstly determined the strong association rules among the risk factors based on historical data stored in the ERP system and determined the Bayesian network topology structures of the risk transmission path by combining the business process and expert experience. Secondly, the prior and conditional probabilities of each node were determined using data statistics, and the risk transmission path of delayed delivery was identified using the forward and backward reasoning of the Bayesian network. Finally, this paper provided a case study to verify the method, and the following conclusions were obtained: (1) the delay in delivery to downstream customers is mainly due to the delayed delivery of upstream suppliers and the sudden change in customer demand, and (2) the adjustment of enterprise production plans is the key node of the delayed delivery risk transmission path. Through the research in this paper, production companies can identify the target of risk management more scientifically and mitigate the risk through the adjustment of key links. Full article
Show Figures

Figure 1

26 pages, 4327 KB  
Article
Supply Chain Modelling of the Automobile Multi-Stage Production Considering Circular Economy by Waste Management Using Recycling and Reworking Operations
by Muhammad Omair, Mohammed Alkahtani, Kashif Ayaz, Ghulam Hussain and Johannes Buhl
Sustainability 2022, 14(22), 15428; https://doi.org/10.3390/su142215428 - 20 Nov 2022
Cited by 14 | Viewed by 4883
Abstract
The supply chain management plays a crucial role in delivering products from a supplier, through the manufacturer, distributors, and retailers to the targeted customers. The lifecycle of the products can be ended at any stage due to imperfect quality or waste, which are [...] Read more.
The supply chain management plays a crucial role in delivering products from a supplier, through the manufacturer, distributors, and retailers to the targeted customers. The lifecycle of the products can be ended at any stage due to imperfect quality or waste, which are typically not managed well for a good price. This product’s life can be extended and increased with the use of the circular economy for the value addition processes which turn the waste into byproducts, which can be sold with maximum profit. The automobile industry is associated with various other small industries and is very significant for the economy at the local, national, and international levels. However, the industry also requires sustainable development in its supply chain management, gained by introducing the circular economy concept to manage and reduce the generated waste. The consumption of carbon fiber-reinforced composites (CFRCs) in the manufacturing of numerous automotive parts has acquired immense attention this decade, but the process also generates imperfect products (waste). The proposed model is based on a mathematical formulation to manage imperfect production by reworking and recycling, where the former is required to re-add value to the proportion of the rejected parts, and the latter is to recycle the remaining scrap into useful products by using a circular economy. The outsourcing operation is also added to provide an optimal level of inventory and lot sizing for minimizing the total cost of the supply chain management. Data from the automobile part industry are tested to provide the practical implications of the proposed SCM mathematical model. Sensitivity analysis is performed to understand the significance level of the individual parameters affecting the objective function, i.e., the total cost of the SCM. The results show a meaningful insight for the managers to obtain the benefits of the circular economy in multi-stage automobile part production for sustainable and resilient supply chain management. Full article
Show Figures

Figure 1

18 pages, 1761 KB  
Article
Blockchain-Based Cloud Manufacturing SCM System for Collaborative Enterprise Manufacturing: A Case Study of Transport Manufacturing
by Alice Elizabeth Matenga and Khumbulani Mpofu
Appl. Sci. 2022, 12(17), 8664; https://doi.org/10.3390/app12178664 - 29 Aug 2022
Cited by 32 | Viewed by 5327
Abstract
Sheet metal part manufacture is a precursor to various upstream assembly processes, including the manufacturing of mechanical and body parts of railcars, automobiles, ships, etc., in the transport manufacturing sector. The (re)manufacturing of railcars comprises a multi-tier manufacturing supply chain, mainly supported by [...] Read more.
Sheet metal part manufacture is a precursor to various upstream assembly processes, including the manufacturing of mechanical and body parts of railcars, automobiles, ships, etc., in the transport manufacturing sector. The (re)manufacturing of railcars comprises a multi-tier manufacturing supply chain, mainly supported by local small and medium enterprises (SMEs), where siloed information leads to information disintegration between supplier and manufacturer. Technology spillovers in information technology (IT) and operational technology (OT) are disrupting traditional supply chains, leading to a sustainable digital economy, driven by new innovations and business models in manufacturing. This paper presents application of industrial DevOps by merging industry 4.0 technologies for collaborative and sustainable supply chains. A blockchain-based information system (IS) and a cloud manufacturing (CM) process system were integrated, for a supply chain management (SCM) system for the railcar manufacturer. A systems thinking methodology was used to identify the multi-hierarchical system, and a domain-driven design approach (DDD) was applied to develop the event-driven microservice architecture (MSA). The result is a blockchain-based cloud manufacturing as a service (BCMaaS) SCM system for outsourcing part production for boxed sheet metal parts. In conclusion, the BCMaaS system performs part provenance, traceability, and analytics in real time for improved quality control, inventory management, and audit reliability. Full article
Show Figures

Figure 1

24 pages, 4601 KB  
Article
Reverse Logistics Network Design and Simulation for Automatic Teller Machines Based on Carbon Emission and Economic Benefits: A Study of the Anhui Province ATMs Industry
by Shouxu Song, Yongting Tian and Dan Zhou
Sustainability 2021, 13(20), 11373; https://doi.org/10.3390/su132011373 - 14 Oct 2021
Cited by 6 | Viewed by 4346
Abstract
In recent years, mobile payments have gradually replaced cash payments, resulting in a gradual decline in the number of automatic teller machines (ATMs) demanded by banks. Through investigation and analysis, we determine four means to deal with decommissioned ATMs, and construct thereafter an [...] Read more.
In recent years, mobile payments have gradually replaced cash payments, resulting in a gradual decline in the number of automatic teller machines (ATMs) demanded by banks. Through investigation and analysis, we determine four means to deal with decommissioned ATMs, and construct thereafter an ATM reverse logistics (RL_ATMs) network model, which includes suppliers, producers, warehouses, operators, maintenance centers, collection and inspection centers, disposal centers, remanufacturing centers, and recycling centers. This model is further expressed as a mixed integer linear programming (MILP) model. Given that an ATM recycling network has planned and batched characteristics, a percentage diversion method is proposed to transform a real multi-cycle problem to a single-cycle problem. The RL_ATMs network constructed in this study presents the two forms of ATMs, functional modules and the entire machine. We used the actual situations of the related companies and enterprises in Anhui Province and its surrounding areas, as well as major banks’ ATMs, as bases in using the LINGO software to solve the proposed MILP model with the objective function of minimizing costs and environmental emissions, and obtain the relevant companies’ launch operations. Lastly, we analyzed the relationship between coefficients in the percentage diversion method and calculation results, cost, and carbon emissions. Accordingly, we find that the number of remanufacturing and maintenance centers has no evident impact on the objective function, transportation costs account for a large proportion of the total cost, and emissions tax is small. Full article
Show Figures

Figure 1

17 pages, 2353 KB  
Article
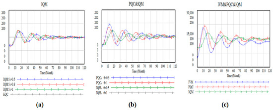
The Dynamics of Brand-Driven Quality Improvement Decision-Making in Multi-Small-Supplier Agri-Food Supply Chain: The Case of China
by Jing Mu, Jing Li, Yaze Li and Chao Liu
Sustainability 2021, 13(19), 10815; https://doi.org/10.3390/su131910815 - 29 Sep 2021
Cited by 2 | Viewed by 2657
Abstract
This paper develops a system dynamics framework for the closed-loop agri-food brand supply chain (AFBSC) with multiple small farmer suppliers and one core brand manufacturer, and investigates the influences of various factors including brand effort, quality elasticity, price elasticity, revenue sharing, and the [...] Read more.
This paper develops a system dynamics framework for the closed-loop agri-food brand supply chain (AFBSC) with multiple small farmer suppliers and one core brand manufacturer, and investigates the influences of various factors including brand effort, quality elasticity, price elasticity, revenue sharing, and the number of suppliers on the system behavior. The results show: (i) food quality is determined by all farmer suppliers, who might choose hitchhiking with the prisoner’s dilemma game in a decentralized decision-making mode; (ii) brand effort to improve brand value for food quality is mainly made by the core brand manufacturer, who presents a goal-seeking system dynamics (SD) manner with oscillation behavior around the expected quality of consumers; (iii) whether farmer suppliers or brand manufacturers, the centralized decision-making mode is more useful for them to increase revenue than the decentralized one; furthermore, the shared centralized decision-making mode is most useful for them to obtain more revenue, and the brand manufacturer is still the biggest beneficiary. Full article
Show Figures

Figure 1

Back to TopTop