Sign in to use this feature.

Years

Between: -

Subjects

remove_circle_outline
remove_circle_outline
remove_circle_outline
remove_circle_outline
remove_circle_outline
remove_circle_outline
remove_circle_outline
remove_circle_outline
remove_circle_outline

Journals

Article Types

Countries / Regions

Search Results (11)

Search Parameters:
Keywords = mideastern China

Order results
Result details
Results per page
Select all
Export citation of selected articles as:
21 pages, 21986 KB  
Article
Characteristics of Coal-Bearing Shale Reservoirs and Gas Content Features in the Carboniferous–Permian System of the Qinshui Basin, Shanxi Province, China
by Shen Xu, Meng Wang, Jie Gao, Wenhao Li, Xiaorong Zhang, Wenxin Zhou and Yanzixian Zheng
Energies 2025, 18(5), 1120; https://doi.org/10.3390/en18051120 - 25 Feb 2025
Viewed by 769
Abstract
The evaluation of reservoir properties and gas-bearing characteristics is critical for assessing shale gas accumulation. This study aimed to improve the precision of characterizing the properties and gas-bearing features of the Carboniferous and Permian shale reservoirs within the Qinshui Basin, Shanxi Province, China. [...] Read more.
The evaluation of reservoir properties and gas-bearing characteristics is critical for assessing shale gas accumulation. This study aimed to improve the precision of characterizing the properties and gas-bearing features of the Carboniferous and Permian shale reservoirs within the Qinshui Basin, Shanxi Province, China. It specifically focuses on the shale from the Late Carboniferous to Early Permian Shanxi and Taiyuan formations at Well Z1, located in the mid-eastern region of the basin. A comprehensive suite of analytical techniques, including organic geochemical analysis, scanning electron microscopy (SEM), X-ray diffraction (XRD), high-pressure mercury intrusion, low-temperature nitrogen adsorption, isothermal adsorption experiments, and gas content measurements, was used to systematically evaluate the reservoir properties and gas-bearing characteristics of the Carboniferous–Permian shale in Well Z1. The findings reveal the following. (1) The organic matter in the Shanxi and Taiyuan formations of Well Z1 is predominantly Type III humic kerogen, exhibiting high maturity and abundance. Specifically, 67.40% of the samples have TOC > 1.00%, classifying them as medium- to high-quality source rocks. The vitrinite reflectance (Ro) ranges from 1.99% to 2.55%, and Tmax varies from 322.01 °C to 542.01 °C, indicating a high to over-mature stage. (2) The mineral composition of the shale is dominated by kaolinite, illite, and quartz, with a moderate brittleness index. The average clay mineral content is 52.12%, while quartz averages 45.53%, and the brittleness index averages 42.34. (3) The pore types in the shale are predominantly macropores, with varying peak intervals among different samples. (4) The surface area and specific pore volume of macropores show positive relationships with TOC, Tmax, kaolinite, and the amount of desorbed gas, while they are negatively correlated with quartz. In contrast, mesopores exhibit positive correlations with TOC and illite. (5) Desorbed gas content exhibits a positive correlation with porosity, Ro, and illite. These insights enhance the comprehension of the reservoir’s properties, the characteristics of gas presence, and the determinant factors for the Carboniferous–Permian shale located in the Qinshui Basin, providing a robust practical procedure for the exploration and extraction of coal-measure shale gas resources within this area. Full article
(This article belongs to the Section H: Geo-Energy)
Show Figures

Figure 1

13 pages, 1164 KB  
Article
Exposure Profile and Characteristics of Parabens and Alkylphenols in Plasma among Rural Adults in Central China
by Qian Gao, Changsheng Huan, Yu Song, Zexin Jia, Qingqing Cao, Chongjian Wang, Zhenxing Mao and Wenqian Huo
Toxics 2023, 11(11), 926; https://doi.org/10.3390/toxics11110926 - 13 Nov 2023
Cited by 8 | Viewed by 2676
Abstract
Parabens and alkylphenols pose serious hazards to human health, yet there are few studies on their exposure profiles and health risks in rural Chinese populations. In this study, 804 participants were selected from the Henan Rural Cohort in mid-eastern China. The plasma levels [...] Read more.
Parabens and alkylphenols pose serious hazards to human health, yet there are few studies on their exposure profiles and health risks in rural Chinese populations. In this study, 804 participants were selected from the Henan Rural Cohort in mid-eastern China. The plasma levels of parabens (methylparaben, ethylparaben, propylparaben, butylparaben (BuP)) and alkylphenols (4-tert-butylphenol (4-t-BP), 4-tert-octylphenol (4-t-OP)) were analyzed via liquid chromatography–tandem mass spectrometry. Linear regression models were used to investigate factors that may influence pollutant exposure levels. The correlation between contaminants was assessed using Spearman’s correlation. The human contaminant intake was estimated using the estimated daily intake (EDI). The health risk was assessed using the hazard quotient (HQ). The detection frequency of four parabens and two alkylphenols exceeded 75%, with median concentrations of 0.444, 0.067, 0.078, 0.053, 8.810, and 6.401 ng/mL, respectively. Significant correlations were observed between parabens, as well as between 4-t-BP and 4-t-OP. Regarding gender, paraben concentrations were higher in women than in men, except for BuP. The EDI for pollutants except 4-t-OP was lower than their respective tolerable/acceptable daily intake. In total, 85.70% of participants had 4-t-OP HQ > 1. A widespread exposure to parabens and alkylphenols among the rural population was found. The high health risks of alkylphenol exposure indicate that alkylphenols should be used with caution. Full article
(This article belongs to the Special Issue Endocrine Disruptors Exposure, Toxicity and Health Risk Assessment)
Show Figures

Figure 1

16 pages, 3725 KB  
Article
Spatiotemporal Variation and Driving Factors for NO2 in Mid-Eastern China
by Mingjian Yi, Yongqing Jiang, Qiang Zhao, Junxia Qiu and Yi Li
Atmosphere 2023, 14(9), 1369; https://doi.org/10.3390/atmos14091369 - 30 Aug 2023
Cited by 3 | Viewed by 1826
Abstract
Nitrogen dioxide (NO2) is one of the major air pollutants in cities across mid-eastern China. Comprehending the spatial and temporal dynamics of NO2 drivers in various urban areas is imperative for tailoring effective air control strategies. Using data from ground-based [...] Read more.
Nitrogen dioxide (NO2) is one of the major air pollutants in cities across mid-eastern China. Comprehending the spatial and temporal dynamics of NO2 drivers in various urban areas is imperative for tailoring effective air control strategies. Using data from ground-based monitoring stations, we investigated the impact of socioeconomic and meteorological factors on NO2 concentrations in cities in mid-eastern China from 2015 to 2021 using the Geographically and Temporally Weighted Regression (GTWR) model. The findings reveal a notable reduction of over 10% in NO2 concentrations since 2015 in most cities, notably a 50.5% decrease in Bozhou. However, certain areas within Anhui and Jiangsu have experienced an increase in NO2 concentrations. Significant spatial heterogeneity is observed in the relationship between NO2 concentrations and influencing factors. The permanent population density (POP) and the electricity consumption (EC) of the entire society exhibited the strongest correlations with NO2 concentrations, with average coefficients of 0.431 and 0.520, respectively. Furthermore, other economic factors such as urbanization rate (UR), the share of secondary sector output in total GDP (IS), and the coverage rate of urban green areas (CG) were predominantly positively correlated, while GDP per capita (PGDP) and civil car vehicles (CV) demonstrated primarily negative correlations. Furthermore, we examined the correlations between four meteorological factors (temperature, relative humidity, wind speed, and precipitation) and NO2 concentrations. All these factors exhibited negative correlations with NO2 concentrations. Among them, temperature exhibited the strongest negative correlation, with a coefficient of −0.411. This research may contribute valuable insights and guidance for developing air emission reduction policies in various cities in mid-eastern China. Full article
(This article belongs to the Special Issue Air Quality and the Implementation of Sustainable Development Goals)
Show Figures

Figure 1

14 pages, 1587 KB  
Article
The Impacts of Climate Change on the Potential Distribution of Plodia interpunctella (Hübner) (Lepidoptera: Pyralidae) in China
by Jinyu Zhao, Chengfei Song, Li Ma, Xizhong Yan, Juan Shi and Chi Hao
Insects 2022, 13(7), 636; https://doi.org/10.3390/insects13070636 - 15 Jul 2022
Cited by 11 | Viewed by 3111
Abstract
The Indian meal moth Plodia interpunctella (Hübner) (Lepidoptera: Pyralidae) is a notorious stored-grain pest that can be found in most parts of China. The corpses, excretions, and other secretions of P. interpunctella larvae cause serious grain pollution, seriously affecting the nutritional and economic [...] Read more.
The Indian meal moth Plodia interpunctella (Hübner) (Lepidoptera: Pyralidae) is a notorious stored-grain pest that can be found in most parts of China. The corpses, excretions, and other secretions of P. interpunctella larvae cause serious grain pollution, seriously affecting the nutritional and economic value of stored grain in China. To elucidate the potential distribution of P. interpunctella in China, we used the CLIMEX 4.0 model to project the potential distribution of the pest using historical climate data (1960–1990) and estimated future climate data (2030, 2050, and 2070). Under the historical climate situation, P. interpunctella was distributed in most areas of China, and its highly favorable habitats account for 48.14% of its total potential distribution. Because of temperature change in the future climate, suitable habitats will increase in the eastern part of Qinghai and will decrease in the mid-eastern, northeastern, and southeastern parts of China. Under these scenarios, the area of this pest’s highly favorable habitat will be reduced by 1.24 million km2, and its proportion will decrease to about 28.48%. These predicted outcomes will help to distinguish the impact of climate change on the potential distribution of P. interpunctella, thereby providing important information to design early forecasting and strategies to prevent pest harm to stored grain. Full article
(This article belongs to the Section Insect Pest and Vector Management)
Show Figures

Figure 1

11 pages, 11695 KB  
Article
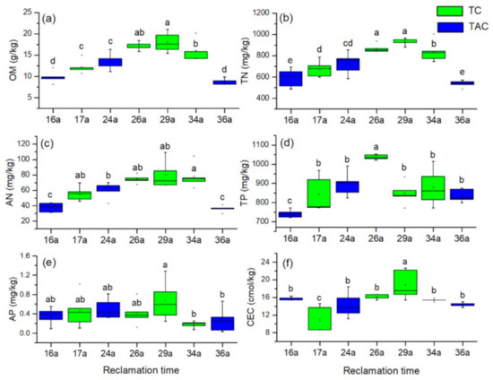
Effects of Agricultural Reclamation on Soil Physicochemical Properties in the Mid-Eastern Coastal Area of China
by Yan Xu, Lijie Pu, Runsen Zhang, Ming Zhu, Meng Zhang, Xinguo Bu, Xuefeng Xie and Yuan Wang
Land 2021, 10(2), 142; https://doi.org/10.3390/land10020142 - 2 Feb 2021
Cited by 25 | Viewed by 4077
Abstract
Agricultural reclamation in coastal zones is effective for mitigating population pressure on the food supply. Soil properties are important factors influencing crop production in reclaimed coastal lands. This study aims to investigate the impacts of time and land use trajectories on soil physicochemical [...] Read more.
Agricultural reclamation in coastal zones is effective for mitigating population pressure on the food supply. Soil properties are important factors influencing crop production in reclaimed coastal lands. This study aims to investigate the impacts of time and land use trajectories on soil physicochemical properties after reclamation. We sampled soils in areas that were reclaimed in 1999, 1998, 1991, 1989, 1986, 1981, and 1979 and determined some soil physicochemical properties such as electrical conductivity with a 1:5 soil:water ratio (EC1:5), exchange sodium percentage (ESP), sodium adsorption ratio (SAR), pH, organic matter (OM), total nitrogen (TN), alkaline hydrolyzable nitrogen (AN), cation exchange capacity (CEC), total phosphorus (TP), available phosphorus (TP) and soil particle size ratio. We analyzed their correlation with land use and the time since reclamation using one-way analysis of variance (ANOVA) and principal component analysis (PCA). The results showed that soil physicochemical properties changed significantly after agricultural reclamation. Soil EC1:5, ESP, and SAR declined rapidly, and OM, TN, and AN increased rapidly during the 29 years after reclamation. The soil particle size ratio was not significantly correlated with reclamation time. The land-use trajectories identified after reclamation had obvious effects on soil physicochemical properties. Aquaculture ponds were superior to cultivated land in terms of decreasing soil salinity but were inferior in terms of soil nutrient accumulation. In the future, more attention should be given to the environmental effects of agricultural reclaimed soils. Full article
(This article belongs to the Section Landscape Ecology)
Show Figures

Figure 1

12 pages, 1280 KB  
Article
Landscape Sustainability Evaluation of Ecologically Fragile Areas Based on Boltzmann Entropy
by Jingyi Xu, Xiaoying Liang and Hai Chen
ISPRS Int. J. Geo-Inf. 2020, 9(2), 77; https://doi.org/10.3390/ijgi9020077 - 29 Jan 2020
Cited by 9 | Viewed by 3332
Abstract
From the perspective of landscape, it is important to evaluate the landscape sustainability of ecologically fragile areas and explore temporal and spatial evolution laws to promote their sustainable development. Presently, most studies on the analysis of landscape Boltzmann entropy (also called configurational entropy) [...] Read more.
From the perspective of landscape, it is important to evaluate the landscape sustainability of ecologically fragile areas and explore temporal and spatial evolution laws to promote their sustainable development. Presently, most studies on the analysis of landscape Boltzmann entropy (also called configurational entropy) are based on a single landscape, and most of these studies are theoretical discussions. However, there are few case studies on landscape ecology. The main objectives of this paper are to explore a quantitative relationship between Boltzmann entropy and landscape sustainability, to propose a method for evaluating landscape sustainability based on Boltzmann entropy, and to evaluate the sustainability of diverse landscapes in Mizhi County, Shaanxi Province, China. This article uses digital elevation model (DEM) data with a spatial resolution of 30 m in Mizhi County. The remote sensing data on Mizhi County from 2000 were obtained by the Landsat Enhanced Thematic Mapper (ETM) + sensor, and the high-resolution image of Mizhi County from 2015 was obtained by the Gaofen-1 satellite. In this article, the subbasins are taken as the evaluation unit, and the Boltzmann entropy of Mizhi County is calculated based on the experts’ scoring of landscape sustainability in the study area. Through the analysis of landscape sustainability results from 216 subbasins in Mizhi County in 2000 and 2015, the following conclusions are drawn: (1) the evaluation matrix proposed in this paper is effective, and the Boltzmann entropy obtained by this method can directly reflect the level of landscape sustainability; (2) during the research period, the landscape sustainability of Mizhi County showed a good trend overall, especially the three townships of Taozhen, Shadian, and Shigou, which were significantly improved, and these findings were consistent with the field investigation; (3) on the spatial level, the landscape sustainability of mid-eastern Mizhi County is relatively poor compared to that in other regions, but the sustainability is also slowly increasing. Full article
(This article belongs to the Special Issue Geographic Complexity: Concepts, Theories, and Practices)
Show Figures

Graphical abstract

20 pages, 12136 KB  
Article
The Linkage of the Large-Scale Circulation Pattern to a Long-Lived Heatwave over Mideastern China in 2018
by Muyuan Li, Yao Yao, Dehai Luo and Linhao Zhong
Atmosphere 2019, 10(2), 89; https://doi.org/10.3390/atmos10020089 - 20 Feb 2019
Cited by 36 | Viewed by 6173
Abstract
In this study, the large-scale circulation patterns (a blocking high, wave trains and the western Pacific subtropical high (WPSH)) associated with a wide ranging and highly intense long-lived heatwave in China during the summer of 2018 are examined using both observational data and [...] Read more.
In this study, the large-scale circulation patterns (a blocking high, wave trains and the western Pacific subtropical high (WPSH)) associated with a wide ranging and highly intense long-lived heatwave in China during the summer of 2018 are examined using both observational data and reanalysis data. Four hot periods are extracted from the heatwave and these are related to anticyclones (hereafter referred to as heatwave anticyclone) over the hot region. Further analysis shows a relationship between the heatwave anticyclone and a synthesis of low, mid- and high latitude circulation systems. In the mid-high latitudes, a midlatitude wave train and a high latitude wave train are associated with a relay process which maintains the heatwave anticyclone. The midlatitude wave train acts during 16–21 July, whereas the high latitude wave train takes affect during 22–28 July. The transition between the two wave trains leads to the northward movement of the hot region. With the help of a wave flux analysis, it was found that both wave trains originate from the positive North Atlantic Oscillation (NAO+) which acts as an Atlantic wave source. Serving as a circulation background, the blocking situated over the Scandinavia-Ural sector is maintained for 18 days from 14 to 15 August, which is accompanied by the persistent wave trains and the heatwave anticyclone. Additionally, the abnormal northward movement of the WPSH and its combination with the high latitude wave train lead to the occurrence of extreme hot weather in north-eastern China occurring during the summer of 2018. Full article
Show Figures

Figure 1

17 pages, 4988 KB  
Article
Impacts of the Qinghai–Tibet Railway on Accessibility and Economic Linkage of the Third Pole
by Shicheng Li, Jian Gong, Qinghai Deng and Tianyu Zhou
Sustainability 2018, 10(11), 3982; https://doi.org/10.3390/su10113982 - 31 Oct 2018
Cited by 24 | Viewed by 8232
Abstract
Constructing the Qinghai–Tibet Railway (QTR) was a landmark project and was beneficial to the sustainable development of the Third Pole. To understand the sustainable development of remote regions by the provision of railway, we studied the QTR’s impact on accessibilities and economic linkages [...] Read more.
Constructing the Qinghai–Tibet Railway (QTR) was a landmark project and was beneficial to the sustainable development of the Third Pole. To understand the sustainable development of remote regions by the provision of railway, we studied the QTR’s impact on accessibilities and economic linkages for four cities in the Third Pole, Xining, Golmud, Nagqu, and Lhasa, and between these four cities and 29 capital cities in mid-eastern China. First, employing average shortest travel time (ASTT) and weighted average travel time (WATT) as indicators, we calculated the railway-based accessibilities for June 2006 and January 2013. Then, using a gravity model, railway-based economic linkages were determined. The results demonstrate that: (i) ASTT for Xining–Golmud decreased by 4.14 h from June 2006 to January 2013. Both ASTT and WATT indicated that the accessibilities of the four cities and between these four cities and 29 capital cities in mid-eastern China improved significantly, and the spatial disparity in accessibility for the four cities decreased, which increased the balance and sustainability of the transportation system; (ii) the average contribution rate of the QTR to improving economic linkages for six routes among the four cities was 25.29%, with the Xining–Nagqu and Nagqu–Lhasa linkages improving most significantly; (iii) the QTR strengthened economic linkages between the four cities and mid-eastern cities. Because of the QTR, the economic linkages between the four cities and 29 capital cities increased 27.58% on average. The spatial disparity in interurban economic linkages also decreased. Transporting products from Tibet should be promoted to strengthen the sustainability of economic growth. Full article
(This article belongs to the Section Sustainable Transportation)
Show Figures

Figure 1

20 pages, 7094 KB  
Article
Chemical Characteristics and Sources of Submicron Particles in a City with Heavy Pollution in China
by Jianlei Lang, Shengyue Li, Shuiyuan Cheng, Ying Zhou, Dongsheng Chen, Yanyun Zhang, Hanyu Zhang and Haiyan Wang
Atmosphere 2018, 9(10), 388; https://doi.org/10.3390/atmos9100388 - 5 Oct 2018
Cited by 27 | Viewed by 5219
Abstract
Submicron particle (PM1) pollution has received increased attention in recent years; however, few studies have focused on such pollution in the city of Shijiazhuang (SJZ), which is one of the most polluted cities in the world. In this study, we conducted [...] Read more.
Submicron particle (PM1) pollution has received increased attention in recent years; however, few studies have focused on such pollution in the city of Shijiazhuang (SJZ), which is one of the most polluted cities in the world. In this study, we conducted an intensive simultaneous sampling of PM1 and PM2.5 in autumn 2016, in order to explore pollution characteristics and sources in SJZ. The results showed that the average mass concentrations of PM1 and PM2.5 were 70.51 μg/m3 and 91.68 μg/m3, respectively, and the average ratio of PM1/PM2.5 was 0.75. Secondary inorganic aerosol (SIA) was the dominant component in PM1 (35.9%) and PM2.5 (32.3%). An analysis of haze episodes found that SIA had a significant influence on PM1 pollution, NH4+ promoted the formation of pollution, and SO42− and NO3 presented different chemical mechanisms. Additionally, the results of source apportionment implied that secondary source, biomass burning and coal combustion, traffic, industry, and dust were the major pollution sources for SJZ, accounting for 45.4%, 18.9%, 15.7%, 10.3%, and 9.8% of PM1, respectively, and for 42.4%, 18.8%, 12.2%, 10.2%, and 16.4% of PM2.5, respectively. Southern Hebei, mid-eastern Shanxi, and northern Henan were the major contribution regions during the study period. Three transport pathways of pollutants were put forward, including airflows from Shanxi with secondary source, airflows from the central Beijng–Tianjin–Hebei region with fossil fuel burning source, and airflows from the southern North China Plain with biomass burning source. The systematic analysis of PM1 could provide scientific support for the creation of an air pollution mitigation policy in SJZ and similar regions. Full article
(This article belongs to the Section Aerosols)
Show Figures

Graphical abstract

12 pages, 1291 KB  
Article
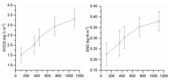
Spatial Variation of Soil Organic Carbon and Total Nitrogen in the Coastal Area of Mid-Eastern China
by Yan Xu, Lijie Pu, Qilin Liao, Ming Zhu, Xue Yu, Tianying Mao and Chenxing Xu
Int. J. Environ. Res. Public Health 2017, 14(7), 780; https://doi.org/10.3390/ijerph14070780 - 14 Jul 2017
Cited by 16 | Viewed by 4950
Abstract
Soils play an important role in sequestrating atmospheric CO2. Coastal tidal flats have been intensively reclaimed for food security and living spaces worldwide. We aimed to identify the changes of soil organic carbon (SOC) and total nitrogen (TN) following coastal reclamation [...] Read more.
Soils play an important role in sequestrating atmospheric CO2. Coastal tidal flats have been intensively reclaimed for food security and living spaces worldwide. We aimed to identify the changes of soil organic carbon (SOC) and total nitrogen (TN) following coastal reclamation and their spatial variation in the coastal area of mid-Eastern China to provide information for coastal cropland management. We measured SOC and TN of 463 soil samples in the coastal plain of mid-Eastern China. The results showed that SOC and TN increased highly from the uncultivated coastal tidal flat (2.49 g·kg−1 and 0.21 g·kg−1, respectively) to the cropland (10.73 g·kg−1 and 1.3 g·kg−1, respectively). After long-term cultivation, SOC and TN in the old farmland (12.98 g·kg−1 and 1.49 g·kg−1, respectively) were greater than those in the young farmland (5.76 g·kg−1 and 0.86 g·kg−1, respectively). The density of SOC in the uncultivated coastal tidal flat, young farmland, and old farmland were 0.68 kg·C·m−2, 1.52 kg·C·m−2, and 3.31 kg·C·m−2, respectively. The density of TN in the uncultivated coastal tidal flat, young farmland and old farmland were 0.05 kg·N·m−2, 0.23 kg·N·m−2, and 0.38 kg·N·m−2, respectively. The C/N (11.17) in the uncultivated coastal tidal flat was highest comparing to that in the young and old farmland due to lower nitrogen. The C/N increased from 6.78 to 8.71 following cultivation. Reclaimed coastal tidal flats had high carbon and nitrogen sequestration potential that not only mitigated the threat of global warming, but also improved soil fertility for crop production. Coastal management of cropland should consider the spatial distribution of SOC and TN to improve ecosystem services of coastal soils. Full article
(This article belongs to the Section Environmental Science and Engineering)
Show Figures

Figure 1

23 pages, 8986 KB  
Article
Mapping Comparison and Meteorological Correlation Analysis of the Air Quality Index in Mid-Eastern China
by Zhichen Yu, Shaobo Zhong, Chaolin Wang, Yongsheng Yang, Guannan Yao and Quanyi Huang
ISPRS Int. J. Geo-Inf. 2017, 6(2), 52; https://doi.org/10.3390/ijgi6020052 - 18 Feb 2017
Cited by 13 | Viewed by 7911
Abstract
With the continuous progress of human production and life, air quality has become the focus of attention. In this paper, Beijing, Tianjin, Hebei, Shanxi, Shandong and Henan provinces were taken as the study area, where there are 58 air quality monitoring stations from [...] Read more.
With the continuous progress of human production and life, air quality has become the focus of attention. In this paper, Beijing, Tianjin, Hebei, Shanxi, Shandong and Henan provinces were taken as the study area, where there are 58 air quality monitoring stations from which daily and monthly data are obtained. Firstly, the temporal characteristics of the air quality index (AQI) are explored. Then, the spatial distribution of the AQI is mapped by the inverse distance weighted (IDW) method, the ordinary kriging (OK) method and the Bayesian maximum entropy (BME) method. Additionally, cross-validation is utilized to evaluate the mapping results of these methods with two indexes: mean absolute error and root mean square interpolation error. Furthermore, the correlation analysis of meteorological factors, including precipitation anomaly percentage, precipitation, mean wind speed, average temperature, average water vapor pressure and average relative humidity, potentially affecting the AQI was carried out on both daily and monthly scales. In the study area and period, AQI shows a clear periodicity, although overall, it has a downward trend. The peak of AQI appeared in November, December and January. BME interpolation has a higher accuracy than OK. IDW has the maximum error. Overall, the AQI of winter (November), spring (February) is much worse than summer (May) and autumn (August). Additionally, the air quality has improved during the study period. The most polluted areas of air quality are concentrated in Beijing, the southern part of Tianjin, the central-southern part of Hebei, the central-northern part of Henan and the western part of Shandong. The average wind speed and average relative humidity have real correlation with AQI. The effect of meteorological factors such as wind, precipitation and humidity on AQI is putative to have temporal lag to different extents. AQI of cities with poor air quality will fluctuate greater than that of others when weather changes and has higher correlation with meteorological factors. Full article
(This article belongs to the Special Issue Intelligent Spatial Decision Support)
Show Figures

Figure 1

Back to TopTop