Spatial Variation of Soil Organic Carbon and Total Nitrogen in the Coastal Area of Mid-Eastern China
Abstract
:1. Introduction
2. Materials and Methods
2.1. Study Area
2.2. Soil Collection and Analysis
2.3. Calculation of Soil C and N Density
2.4. Statistical Analysis
3. Results
3.1. Soil Properties of Uncultivated Coastal Tidal Flat
3.2. SOC and TN Density of Uncultivated Coastal Tidal Flat and Cropland
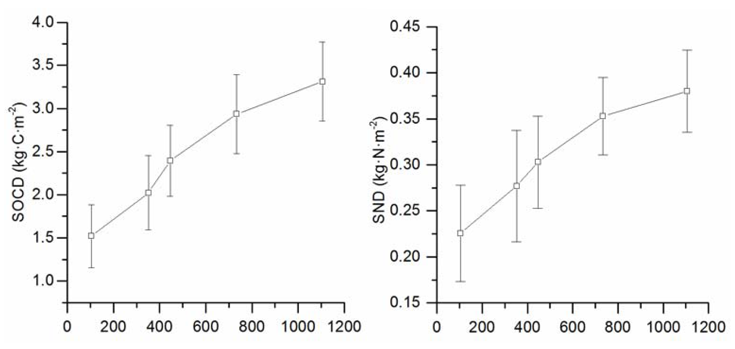
3.3. The Effect of Cultivation Time on SOC and TN of Cropland
3.4. Mapping Organic Carbon and Total Nitrogen of Soil by Kriging
4. Discussion
4.1. OC and TN in Soil of the Coastal Tidal Flat
4.2. Effect of Land Use Changes on SOC and TN
4.3. SOC and TN Following Long-Term Cultivation
4.4. The Potential of Soil Carbon Sequestration at the Reclaimed Coastal Tidal Flats
5. Conclusions
Acknowledgments
Author Contributions
Conflicts of Interest
References
- Eswaran, H.; Van Den Berg, E.; Reich, P. Organic carbon in soils of the world. Soil Sci. Soc. Am. J. 1993, 57, 192–194. [Google Scholar] [CrossRef]
- Batjes, N.H. Total carbon and nitrogen in the soils of the world. Eur. J. Soil Sci. 1996, 47, 151–163. [Google Scholar] [CrossRef]
- Ouédraogo, E. Soil quality improvement for crop production in semi-arid West Africa. Clin. Chiropr. 2004, 13, 210–214. [Google Scholar]
- Lal, R. Soil carbon sequestration to mitigate climate change. Geoderma 2004, 123, 1–22. [Google Scholar] [CrossRef]
- Syakila, A.; Kroeze, C. The global nitrous oxide budget revisited. Greenh. Gas Meas. Manag. 2011, 1, 17–26. [Google Scholar] [CrossRef]
- Bai, J.; Xiao, R.; Zhang, K.; Gao, H.; Cui, B.; Liu, X. Soil organic carbon as affected by land use in young and old reclaimed regions of a coastal estuary wetland. China Soil Use Manag. 2013, 29, 57–64. [Google Scholar] [CrossRef]
- Yu, J.; Wang, Y.; Li, Y.; Dong, H.; Zhou, D.; Han, G.; Wu, H.; Wang, G.; Mao, P.; Gao, Y. Soil organic carbon storage changes in coastal wetlands of the modern Yellow River Delta from 2000 to 2009. Biogeosciences 2012, 9, 2325–2331. [Google Scholar] [CrossRef]
- Zhou, Z.; Sun, O.J.; Huang, J.; Li, L.; Liu, P.; Han, X. Soil carbon and nitrogen stores and storage potential as affected by land-use in an agro-pastoral ecotone of northern China. Biogeochemistry 2007, 82, 127–138. [Google Scholar] [CrossRef]
- Zhang, Y.; Ding, W.; Luo, J.; Donnison, A. Changes in soil organic carbon dynamics in an Eastern Chinese coastal wetland following invasion by a C 4 plant Spartina alterniflora. Soil Biol. Biochem. 2010, 42, 1712–1720. [Google Scholar] [CrossRef]
- Springsteen, A.; Loya, W.; Liebig, M.; Hendrickson, J. Soil carbon and nitrogen across a chronosequence of woody plant expansion in North Dakota. Plant Soil 2010, 328, 369–379. [Google Scholar] [CrossRef]
- Spargo, J.T.; Alley, M.M.; Follett, R.F.; Wallace, J.V. Soil carbon sequestration with continuous no-till management of grain cropping systems in the Virginia coastal plain. Soil Till Res. 2008, 100, 133–140. [Google Scholar] [CrossRef]
- Deng, L.; Shangguan, Z.P.; Sweeney, S. Changes in soil carbon and nitrogen following land abandonment of farmland on the Loess Plateau, China. PLoS ONE 2013, 8, e71923. [Google Scholar] [CrossRef]
- Li, X.; Sun, Y.; Mander, Ü.; He, Y. Effects of land use intensity on soil nutrient distribution after reclamation in an estuary landscape. Landsc. Ecol. 2013, 28, 699–707. [Google Scholar] [CrossRef]
- Jelinski, N.A. Land-use effects on soil carbon and nitrogen on a U.S. Midwestern floodplain. Soil Sci. Soc. Am. J. 2009, 73, 217–225. [Google Scholar] [CrossRef]
- Shrestha, R.K.; Lal, R. Soil carbon and nitrogen in 28-year-old land uses in reclaimed coal mine soils of Ohio. J. Environ. Qual. 2007, 36, 1775–1783. [Google Scholar] [CrossRef] [PubMed]
- Dou, F.G.; Yu, X.; Ping, C.L.; Michaelson, G.; Guo, L.D.; Jorgenson, T. Spatial variation of tundra soil organic carbon along the coastline of northern Alaska. Geoderma 2010, 154, 328–335. [Google Scholar] [CrossRef]
- Chmura, G.L.; Anisfeld, S.C.; Cahoon, D.R.; Lynch, J.C. Global carbon sequestration in tidal, saline wetland soils. Glob. Biogeochem. Cycles 2003, 17, 1–22. [Google Scholar] [CrossRef]
- Kim, R.-H.; Kim, J.-H.; Ryu, J.-S.; Chang, H.-W. Salinization properties of a shallow groundwater in a coastal reclaimed area, Yeonggwang, Korea. Environ. Geol. 2006, 49, 1180–1194. [Google Scholar] [CrossRef]
- De Mulder, E.; Van Bruchem, A.; Claessen, F.; Hannink, G.; Hulsbergen, J.; Satijn, H. Environmental impact assessment on land reclamation projects in The Netherlands: A case history. Eng. Geol. 1994, 37, 15–23. [Google Scholar] [CrossRef]
- Bi, X.; Liu, F.; Pan, X. Coastal projects in China: From reclamation to restoration. Environ. Sci. Technol. 2012, 46, 4691–4692. [Google Scholar] [CrossRef] [PubMed]
- Lawrencer, W.; Davida, W.; Richardd, B.; Bruced, C. The use of chronosequences in studies of ecological succession and soil development. J. Ecol. 2010, 98, 725–736. [Google Scholar]
- Kölbl, A.; Schad, P.; Jahn, R.; Amelung, W.; Bannert, A.; Cao, Z.H.; Fiedler, S.; Kalbitz, K.; Lehndorff, E.; Müller-Niggemann, C.; et al. Accelerated soil formation due to paddy management on marshlands (Zhejiang Province, China). Geoderma 2014, s228–s229, 67–89. [Google Scholar] [CrossRef]
- Zou, P.; Fu, J.; Cao, Z. Chronosequence of paddy soils and phosphorus sorption–desorption properties. J. Soils Sediments 2011, 11, 249–259. [Google Scholar] [CrossRef]
- An, S.; Liu, Y. China’s natural wetlands: Past problems, current status, and future challenges. Ambio 2007, 36, 335–342. [Google Scholar] [CrossRef]
- Xu, C.; Pu, L.; Zhu, M.; Li, J.; Chen, X.; Wang, X.; Xie, X.F. Ecological security and ecosystem services in response to land use change in the coastal area of Jiangsu, China. Sustainability 2016, 8, 816. [Google Scholar] [CrossRef]
- Liu, Y.; Wang, Y.P.; Li, Y.; Gao, J.H.; Jia, J.; Xia, X.M.; Gao, S. Coastal embayment long-term erosion/siltation associated with P-A relationships: A Case Study from Jiaozhou Bay, China. J. Coast. Res. 2012, 28, 1236–1246. [Google Scholar] [CrossRef]
- Ren, M. Comprehensive Investigation Report of Coastal Zone and Sea Beach Resource in Jiangsu; Ocean Press: Beijing, China, 1996. [Google Scholar]
- Lu, K.R. Methods of Soil Agrochemistry; Agricultural Science and Technology Press: Beijing, China, 2000. [Google Scholar]
- Miller, B.A.; Schaetzl, R.J. Precision of soil particle size analysis using Laser Diffractometry. Soil Sci. Soc. Am. J. 2012, 76, 1719–1727. [Google Scholar] [CrossRef]
- Lal, R. Global potential of soil carbon sequestration to mitigate the greenhouse effect. Crit. Rev. Plant Sci. 2003, 22, 151–184. [Google Scholar] [CrossRef]
- Schlesinger, W.H. Carbon sequestration in soils. Science 1999, 284, 2095. [Google Scholar] [CrossRef]
- Wang, L.; Song, C.; Song, Y.; Guo, Y.; Wang, X.; Sun, X. Effects of reclamation of natural wetlands to a rice paddy on dissolved carbon dynamics in the Sanjiang Plain, Northeastern China. Ecol. Eng. 2010, 36, 1417–1423. [Google Scholar] [CrossRef]
- Wang, X.; Pu, L.; Zhang, M.; Wang, Q.; Yu, X. Spatial and temporal variations of soil organic carbon and total nitrogen pools in the coastal reclamation area, eastern China. Environ. Earth Sci. 2015, 74, 4763–4769. [Google Scholar] [CrossRef]
- Hansen, V.D.; Nestlerode, J.A. Carbon sequestration in wetland soils of the northern Gulf of Mexico coastal region. Wetl. Ecol. Manag. 2014, 22, 289–303. [Google Scholar] [CrossRef]
- Marin-Muniz, J.L.; Hernandez, M.E.; Moreno-Casasola, P. Comparing soil carbon sequestration in coastal freshwater wetlands with various geomorphic features and plant communities in Veracruz, Mexico. Plant Soil 2014, 378, 189–203. [Google Scholar] [CrossRef]
- Chan, K.; McCoy, D. Soil carbon storage potential under perennial pastures in the mid-north coast of New South Wales, Australia. Trop. Grassl. 2010, 44, 184–191. [Google Scholar]
- Santín, C.; De La Rosa, J.; Knicker, H.; Otero, X.; Alvarez, M.; González-Vila, F.J. Effects of reclamation and regeneration processes on organic matter from estuarine soils and sediments. Org. Geochem. 2009, 40, 931–941. [Google Scholar] [CrossRef]
- Hubbard, R.K.; Strickland, T.C.; Phatak, S. Effects of cover crop systems on soil physical properties and carbon/nitrogen relationships in the coastal plain of southeastern USA. Soil Till Res. 2013, 126, 276–283. [Google Scholar] [CrossRef]
- Gamble, A.V.; Howe, J.A.; Wood, C.W.; Watts, D.B.; van Santen, E. Soil Organic carbon dynamics in a sod-based rotation on coastal plain soils. Soil Sci. Soc. Am. J. 2014, 78, 1997–2008. [Google Scholar] [CrossRef]
- Cui, J.; Liu, C.; Li, Z.; Wang, L.; Chen, X.; Ye, Z.; Fang, C.M. Long-term changes in topsoil chemical properties under centuries of cultivation after reclamation of coastal wetlands in the Yangtze Estuary, China. Soil Till Res. 2012, 123, 50–60. [Google Scholar] [CrossRef]
- Meng, Q.F.; Yang, J.S.; Yao, R.J.; Liu, G.M.; Yu, S.P. Fertilization Affects biomass production of Suaeda salsa and soil organic carbon pool in east coastal region of China. J. Integr. Agric. 2013, 12, 1659–1672. [Google Scholar] [CrossRef]
- Yang, W.; Zhao, H.; Chen, X.; Yin, S.; Cheng, X.; An, S. Consequences of short-term C-4 plant Spartina alterniflora invasions for soil organic carbon dynamics in a coastal wetland of Eastern China. Ecol. Eng. 2013, 61, 50–57. [Google Scholar] [CrossRef]
- Meng, Q.; Yang, J.; Yao, R.; Liu, G. Soil quality in east coastal region of China as related to different land use types. J Soils Sediments 2013, 13, 664–676. [Google Scholar] [CrossRef]
- Hu, Y.; Wang, L.; Tang, Y.S.; Li, Y.L.; Chen, J.H.; Xi, X.F.; Zhang, Y.N.; Fu, X.H.; Wu, J.H.; Sun, Y. Variability in soil microbial community and activity between coastal and riparian wetlands in the Yangtze River estuary—Potential impacts on carbon sequestration. Soil Biol. Biochem. 2014, 70, 221–228. [Google Scholar] [CrossRef]
- Ausseil, A.G.E.; Jamali, H.; Clarkson, B.R.; Golubiewski, N.E. Soil carbon stocks in wetlands of New Zealand and impact of land conversion since European settlement. Wetl. Ecol. Manag. 2015, 23, 947–961. [Google Scholar] [CrossRef]
- Zhao, G.M.; Sun, X.; Ling, L.; Liu, Z.P. Innovative Artificial agro-ecosystems enhance soil carbon sequestration in coastal zones of southeast China. Clean-Soil Air Water 2013, 41, 581–586. [Google Scholar] [CrossRef]
- Mao, R.; Zhang, X.H.; Meng, H.N. Effect of Suaeda salsa on soil aggregate-associated organic carbon and nitrogen in tidal salt marshes in the Liaohe Delta, China. Wetlands 2014, 34, 189–195. [Google Scholar] [CrossRef]
- Yu, J.B.; Dong, H.F.; Li, Y.Z.; Wu, H.F.; Guan, B.; Gao, Y.J.; Zhou, D.; Wang, Y.L. Spatiotemporal distribution characteristics of soil organic carbon in newborn coastal wetlands of the Yellow River Delta Estuary. Clean-Soil Air Water 2014, 42, 311–318. [Google Scholar] [CrossRef]
- Guo, L.B.; Gifford, R.M. Soil carbon stocks and land use change: A meta analysis. Glob. Chang. Biol. 2002, 8, 345–360. [Google Scholar] [CrossRef]
- Iost, S.; Landgraf, D.; Makeschin, F. Chemical soil properties of reclaimed marsh soil from Zhejiang Province PR China. Geoderma 2007, 142, 245–250. [Google Scholar] [CrossRef]
- Bu, N.S.; Qu, J.F.; Li, G.; Zhao, B.; Zhang, R.J.; Fang, C.M. Reclamation of coastal salt marshes promoted carbon loss from previously-sequestered soil carbon pool. Ecol. Eng. 2015, 81, 335–339. [Google Scholar] [CrossRef]
- Reicosky, D.C.; Forcella, F. Cover crop and soil quality interactions in agroecosystems. J. Soil Water Conserv. 1998, 53, 224–229. [Google Scholar]
- Mann, L.K. Changes in soil carbon storage after cultivation. Soil Sci. 1986, 142, 279–288. [Google Scholar] [CrossRef]
- Freibauer, A.; Rounsevell, M.D.A.; Smith, P.; Verhagen, J. Carbon sequestration in the agricultural soils of Europe. Geoderma 2004, 122, 1–23. [Google Scholar] [CrossRef]
- Kucharik, C.J.; Brye, K.R.; Norman, J.M.; Foley, J.A.; Gower, S.T.; Bundy, L.G. Measurements and modeling of carbon and nitrogen cycling in agroecosystems of southern Wisconsin: Potential for SOC sequestration during the next 50 years. Ecosystems 2001, 4, 237–258. [Google Scholar] [CrossRef]
- Baker, J.M.; Ochsner, T.E.; Venterea, R.T.; Griffis, T.J. Tillage and soil carbon sequestration—What do we really know? Agric. Ecosyst. Environ. 2007, 118, 1–5. [Google Scholar] [CrossRef]
- Lal, R. Soil carbon sequestration impacts on global climate change and food security. Science 2004, 304, 1623–1627. [Google Scholar] [CrossRef] [PubMed]
- Chuai, X.W.; Huang, X.J.; Wand, W.J.; Zhang, M.; Lai, L.; Liao, Q.L. Spatial variability of soil organic carbon and related factors in Jiangsu Province, China. Pedosphere 2012, 22, 404–414. [Google Scholar] [CrossRef]
- Deng, X.; Zhan, Y.; Wang, F.; Ma, W.; Ren, Z.; Chen, X.J.; Qin, F.J.; Long, W.L.; Zhu, Z.L.; Lv, X.N. Soil organic carbon of an intensively reclaimed region in China: Current status and carbon sequestration potential. Sci. Total Environ. 2016, 565, 539–546. [Google Scholar] [CrossRef] [PubMed]




| BD | pH | SW | SOC | TN | Sand | Silt | Clay | |
|---|---|---|---|---|---|---|---|---|
| BD | 1 | |||||||
| pH | 0.159 | 1 | ||||||
| SW | 0.119 | 0.541 | 1 | |||||
| SOC | −0.004 | 0.161 | 0.145 | 1 | ||||
| TN | −0.567 | 0.379 | −0.012 | 0.197 | 1 | |||
| Sand | 0.578 | 0.262 | 0.416 | −0.081 | −0.298 | 1 | ||
| Silt | −0.517 | −0.255 | −0.359 | 0.057 | 0.271 | −0.991 ** | 1 | |
| Clay | −0.717 * | −0.237 | −0.570 | 0.166 | 0.353 | −0.830 ** | 0.749 * | 1 |
| Minimum | 0.94 | 8.33 | 9.21 | 1.62 | 0.15 | 22.56 | 34.81 | 1.88 |
| Maximum | 1.66 | 9.00 | 20.63 | 3.75 | 0.25 | 63.31 | 66.12 | 11.33 |
| Mean | 1.36 | 8.67 | 13.51 | 2.49 | 0.21 | 44.29 | 50.73 | 4.97 |
| SE | 0.08 | 0.09 | 1.16 | 0.59 | 0.00 | 4.53 | 3.81 | 0.91 |
| CV | 0.17 | 0.03 | 0.26 | 0.23 | 0.15 | 0.31 | 0.23 | 0.55 |
| Skewness | −0.67 | 0.05 | 1.09 | 0.94 | −0.68 | 0.06 | −0.31 | 1.73 |
| Kurtosis | −0.10 | −1.59 | 1.21 | 2.59 | 0.06 | −0.85 | −1.46 | 3.96 |
| OC | TN | Minimum | Maximum | Mean | SE | CV | Skewness | Kurtosis | |
|---|---|---|---|---|---|---|---|---|---|
| OC | 1.000 | 2.90 | 17.20 | 10.72 | 3.12 | 0.29 | −0.28 | −0.70 | |
| TN | 0.946 ** | 1.000 | 0.44 | 1.94 | 1.30 | 0.29 | 0.23 | −0.54 | −0.02 |
| SOC (g·kg−1) | TN (g·kg−1) | C/N | ||||
|---|---|---|---|---|---|---|
| Mean | Std | Mean | Std | Mean | Std | |
| Zone E (n = 48) | 5.76a | 1.43 | 0.86a | 0.20 | 6.78a | 0.79 |
| Zone D (n = 70) | 7.74b | 1.70 | 1.06b | 0.24 | 7.38b | 0.88 |
| Zone C (n = 45) | 9.22c | 1.64 | 1.17c | 0.20 | 7.91c | 0.52 |
| Zone B (n = 92) | 11.42d | 1.87 | 1.37d | 0.17 | 8.30d | 0.60 |
| Zone A (n = 199) | 12.98e | 1.89 | 1.49e | 0.19 | 8.71e | 0.58 |
| Model | Nugget | Sill | Nugget/Sill | Range | Cross Validation | ||||
|---|---|---|---|---|---|---|---|---|---|
| MS | RMS | ASE | RMSS | ||||||
| SOC | circular | 0.01 | 0.27 | 0.05 | 0.78 | 0.00 | 0.15 | 0.16 | 0.98 |
| spherical | 0.01 | 0.23 | 0.05 | 0.78 | 0.00 | 0.15 | 0.16 | 1.00 | |
| Exponential | 0.00 | 0.19 | 0.00 | 0.78 | 0.00 | 0.15 | 0.12 | 1.37 | |
| Gaussian | 0.04 | 0.27 | 0.13 | 0.69 | 0.00 | 0.16 | 0.22 | 0.77 | |
| N | circular | 0.01 | 0.15 | 0.09 | 0.78 | 0.01 | 0.02 | 0.02 | 0.91 |
| spherical | 0.01 | 0.13 | 0.10 | 0.78 | 0.00 | 0.02 | 0.02 | 0.92 | |
| Exponential | 0.01 | 0.11 | 0.05 | 0.78 | −0.01 | 0.02 | 0.02 | 1.06 | |
| Gaussian | 0.03 | 0.17 | 0.17 | 0.78 | 0.03 | 0.02 | 0.02 | 0.78 | |
| Index | Depth | Value | Date Source | ||
|---|---|---|---|---|---|
| Gulf of Mexico | Salt marsh | CD | 0–2 cm | 0.010–0.190 | [17] |
| Mangrove | CD | 0–2 cm | 0.024–0.071 | [17] | |
| Coastal wetlands | OC | 0–15 cm | 2.03–34.69 | [34] | |
| Freshwater marsh | OC | 0–20 cm | 137.3 | [35] | |
| Freshwater swamp | OC | 0–20 cm | 200 | [35] | |
| Pacific and India Ocean | Mangrove | CD | 0–2 cm | 0.023–0.040 | [17] |
| Native forest | OC | 0–10 cm | 60.8 | [36] | |
| Perennial pasture | OC | 0–10 cm | 30.1 | [36] | |
| Northeast Atlantic | Salt marsh | CD | 0–2 cm | 0.020–0.041 | [17] |
| Southwest Atlantic | Salt marsh | OC | 0–5 cm | 67 | [37] |
| Bare sediment | OC | 0–5 cm | 14 | [37] | |
| Northwest Atlantic | Salt marsh | CD | 0–2 cm | 0.018–0.078 | [17] |
| Mediterranean | Salt marsh | CD | 0–2 cm | 0.073 | [17] |
| Northeastern Pacific | Salt marsh | CD | 0–2 cm | 0.009–0.040 | [17] |
| Southeastern Pacific | Cropland | TC | 0–2.5 cm | 4.6–7.4 | [38] |
| Cropland | OC | 0–5 cm | 4.96 | [39] | |
| Southwestern Pacific | Rice paddy | OC | 0–7 cm | 17.8 | [22] |
| Cropland | OC | 0–20 cm | 13.48 | [6] | |
| Salt marsh | OC | 0–13 cm | 10.9 | [22] | |
| Salt marsh | OC | 0–20 cm | 15.44–21.83 | [6] | |
| Bare sediment | OC | 0–30 cm | 5.1 | [22] | |
| Mid-western Pacific | Salt marsh | OC | 0–8 cm | 15.68 | [40] |
| Salt marsh | OC | 0–20 cm | 1.28 | [41] | |
| Salt marsh | OC | 0–30 cm | 1–10 | [42] | |
| Tidal flat | OM | 0–20 cm | 4.78 | [43] | |
| Salt marsh | OC | 5–20 cm | 4–8.23 | [44] | |
| Bare sediment | OC | 0–20 cm | 0.69 | [45] | |
| Tidal flat | OC | 0–20 cm | 2.49 | our study | |
| Cropland | OC | 0–20 cm | 5.76–12.98 | our study | |
| Cropland | OC | 0–8 cm | 5.70–24.35 | [40] | |
| Cropland | OC | 0–20 cm | 4.2–22.5 | [31,46] | |
| Northwestern Pacific | Salt marsh | OM | 0–20 cm | 130.09 | [32] |
| Salt marsh | OC | 0–15 cm | 9.09 | [47] | |
| Salt marsh | OC | 0–60 cm | 2.15–5.00 | [48] | |
| Bare sediment | OC | 0–15 cm | 6.68 | [47] | |
| Rice paddy | OM | 0–20 cm | 29 | [32] |
© 2017 by the authors. Licensee MDPI, Basel, Switzerland. This article is an open access article distributed under the terms and conditions of the Creative Commons Attribution (CC BY) license (http://creativecommons.org/licenses/by/4.0/).
Share and Cite
Xu, Y.; Pu, L.; Liao, Q.; Zhu, M.; Yu, X.; Mao, T.; Xu, C. Spatial Variation of Soil Organic Carbon and Total Nitrogen in the Coastal Area of Mid-Eastern China. Int. J. Environ. Res. Public Health 2017, 14, 780. https://doi.org/10.3390/ijerph14070780
Xu Y, Pu L, Liao Q, Zhu M, Yu X, Mao T, Xu C. Spatial Variation of Soil Organic Carbon and Total Nitrogen in the Coastal Area of Mid-Eastern China. International Journal of Environmental Research and Public Health. 2017; 14(7):780. https://doi.org/10.3390/ijerph14070780
Chicago/Turabian StyleXu, Yan, Lijie Pu, Qilin Liao, Ming Zhu, Xue Yu, Tianying Mao, and Chenxing Xu. 2017. "Spatial Variation of Soil Organic Carbon and Total Nitrogen in the Coastal Area of Mid-Eastern China" International Journal of Environmental Research and Public Health 14, no. 7: 780. https://doi.org/10.3390/ijerph14070780
APA StyleXu, Y., Pu, L., Liao, Q., Zhu, M., Yu, X., Mao, T., & Xu, C. (2017). Spatial Variation of Soil Organic Carbon and Total Nitrogen in the Coastal Area of Mid-Eastern China. International Journal of Environmental Research and Public Health, 14(7), 780. https://doi.org/10.3390/ijerph14070780

