Effects of Agricultural Reclamation on Soil Physicochemical Properties in the Mid-Eastern Coastal Area of China
Abstract
1. Introduction
2. Materials and Methods
2.1. Study Area
2.2. Soil Sampling and Laboratory Analyses
2.3. Data Processing and Analysis
3. Results
3.1. Historical Land-Use Changes after Reclamation
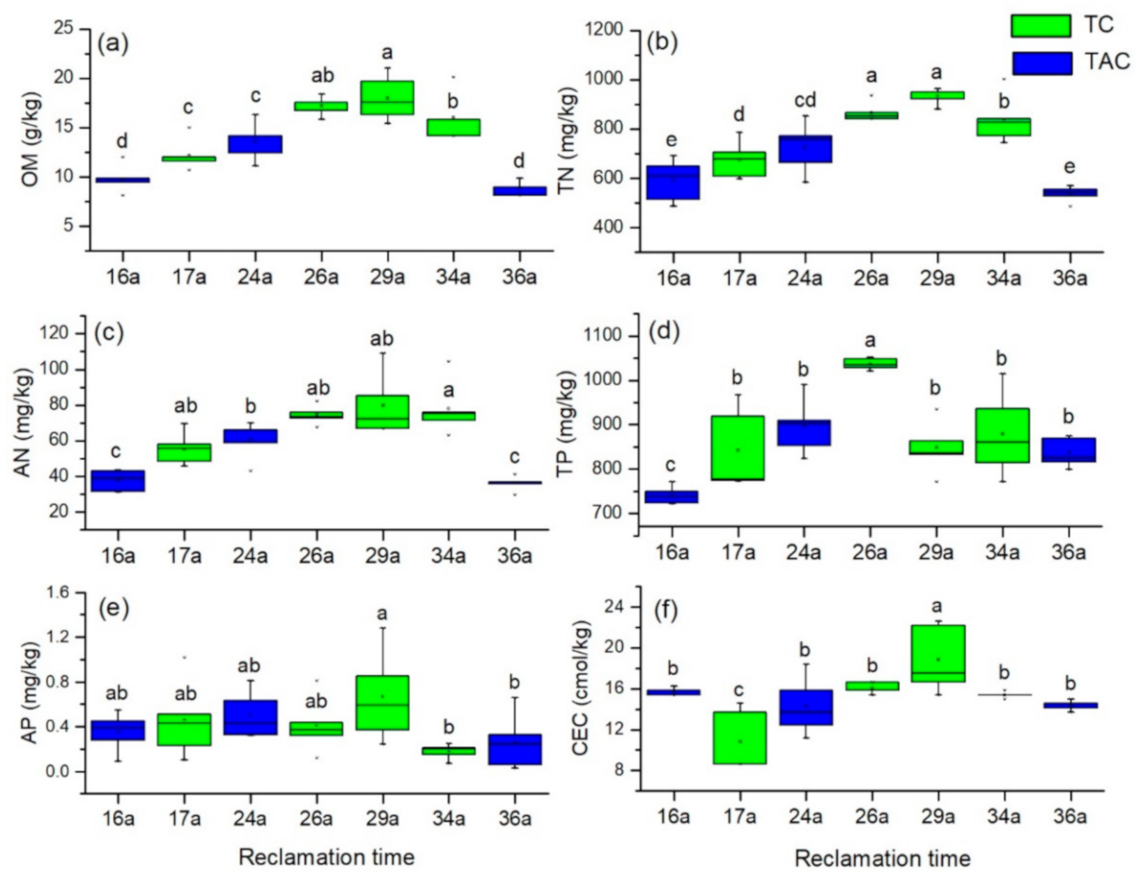
3.2. Evolution of Soil Physicochemical Properties
4. Discussion
4.1. Land-Use Changes after Reclamation
4.2. Changes in Soil Physicochemical Properties after Reclamation
4.3. Implications for Managing Soils Reclaimed from Coastal Wetlands
5. Conclusions
Author Contributions
Funding
Institutional Review Board Statement
Informed Consent Statement
Data Availability Statement
Acknowledgments
Conflicts of Interest
References
- Bi, X.L.; Liu, F.Q.; Pan, X.B. Coastal projects in China: From reclamation to restoration. Environ. Sci. Technol. 2012, 46, 4691–4692. [Google Scholar]
- Yang, W.; Sun, T.; Yang, Z.F. Effect of activities associated with coastal reclamation on the macrobenthos community in coastal wetlands of the Yellow River Delta, China: A literature review and systematic assessment. Ocean. Coast. Manag. 2016, 129, 1–9. [Google Scholar]
- Xu, C.Y.; Pu, L.J.; Zhu, M.; Chen, X.J.; Wang, X.H.; Xie, X.F. Ecological security and ecosystem services in response to land use change in the coastal area of Jiangsu, China. Sustainability 2016, 8, 816. [Google Scholar]
- Li, J.G.; Pu, L.J.; Zhu, M.; Zhang, J.; Li, P.; Dai, X.; Xu, Y.; Liu, L.L. Evolution of soil properties following reclamation in coastal areas: A review. Geoderma 2014, 226, 130–139. [Google Scholar]
- Cai, F.F.; Vliet, J.V.; Verburg, P.H.; Pu, L.J. Land use change and farmer behavior in reclaimed land in the middle Jiangsu coast, China. Ocean. Coast. Manag. 2017, 137, 107–117. [Google Scholar]
- Iost, S.; Landgraf, D.; Makeschin, F. Chemical soil properties of reclaimed marsh soil from Zhejiang Province PR China. Geoderma 2007, 142, 245–250. [Google Scholar]
- Yin, A.J.; Gao, C.; Zhang, M.; Wu, P.B.; Yang, X.H. Rapid changes in phosphorus species in soils developed on reclaimed tidal flat sediments. Geoderma 2017, 307, 46–53. [Google Scholar]
- Zhang, H.; Yin, A.J.; Yang, X.H.; Wu, P.B.; Fan, M.M.; Wu, J.T.; Zhang, M.; Gao, C. Changes in surface soil organic/inorganic carbon concentrations and their driving forces in reclaimed coastal tidal flats. Geoderma 2019, 352, 150–159. [Google Scholar]
- Lambin, E.F.; Geist, H.J. Land-Use and Land-Cover Change: Local Processes and Global Impacts; Springer Science & Business Media: Berlin/Heidelberg, Germany, 2008. [Google Scholar]
- Abdullah, A.M.; Masrur, A.; Adnan, M.S.G.; Al Baky, M.A.; Hassan, Q.K.; Dewan, A. Spatio-temporal patterns of land use/land cover change in the heterogeneous coastal region of Bangladesh between 1990 and 2017. Remote Sens. 2019, 11, 26. [Google Scholar]
- Mihelič, R.; Pečnik, J.; Glavan, M.; Pintar, M. Impact of sustainable land management practices on soil properties: Example of organic and integrated agricultural management. Land 2021, 10, 8. [Google Scholar]
- Sun, Y.G.; Li, X.Z.; Mander, Ü.; He, Y.L.; Jia, Y.; Ma, Z.G.; Guo, W.Y.; Xin, Z.J. Effect of reclamation time and land use on soil properties in Changjiang River Estuary, China. Chin. Geogr. Sci. 2011, 21, 403–416. [Google Scholar]
- Wang, G.B.; Zhao, X.L.; Wang, M.H.; Ruan, H.H.; Xu, C.B.; Xu, Y.M. Effects of land use change on soil readily oxidizable carbon in a coastal area of northern Jiangsu Province, East China. Chin. J. Appl. Ecol. 2013, 24, 921–926. (In Chinease) [Google Scholar]
- Li, X.Z.; Sun, Y.G.; Mander, Ü.; He, Y.L. Effects of land use intensity on soil nutrient distribution after reclamation in an estuary landscape. Landsc. Ecol. 2013, 28, 699–707. [Google Scholar]
- Bai, J.; Xiao, R.; Zhang, K.; Gao, H.; Cui, B.; Liu, X. Soil organic carbon as affected by land use in young and old reclaimed regions of a coastal estuary wetland, China. Soil Use Manag. 2013, 29, 57–64. [Google Scholar]
- Meng, Q.F.; Yang, J.S.; Yao, R.J.; Liu, G.M. Soil quality in east coastal region of China as related to different land use types. J. Soils Sediments 2013, 13, 664–676. [Google Scholar]
- Xie, X.F.; Pu, L.J.; Zhu, M.; Wu, T.; Xu, Y. Spatio-temporal variability of soil salinity and sodicity in agricultural reclaimed coastal wetlands, Eastern China. Arch. Agron. Soil Sci. 2019, 66, 1–12. [Google Scholar]
- Xu, Y.; Pu, L.J.; Zhu, M.; Li, J.G.; Zhang, M.; Li, P.; Zhang, J. Spatial variation of soil salinity in the coastal reclamation area, eastern China. J. Coast. Res. 2014, 30, 411–417. [Google Scholar]
- Yin, A.J.; Zhang, M.; Gao, C.; Yang, X.H.; Xu, Y.; Wu, P.B.; Zhang, H. Salinity evolution of coastal soils following reclamation and intensive usage, Eastern China. Environ. Earth Sci. 2016, 75, 1281. [Google Scholar]
- Ziter, C.; Turner, M.G. Current and historical land use influence soil-based ecosystem services in an urban landscape. Ecol. Appl. 2018, 28, 643–654. [Google Scholar]
- Yesilonis, I.; Szlavecz, K.; Pouyat, R.; Whigham, D.; Xia, L. Historical land use and stand age effects on forest soil properties in the Mid-Atlantic US. For. Ecol. Manag. 2016, 370, 83–92. [Google Scholar]
- Bao, J.L.; Gao, S.; Ge, J.X. Salt and wetland: Traditional development landscape, land use changes and environmental adaptation on the central Jiangsu Coast, China. Wetlands 2019, 39, 1089–1102. [Google Scholar] [CrossRef]
- Zhang, R.S. Suspended sediment transport processes on tidal mudflat in Jiangsu Province, China. Estuar. Coast. Shelf Sci. 1992, 35, 225–233. [Google Scholar]
- Wu, H.; Shen, J.; Zhu, J.L.; Zhang, J.; Li, L. Characteristics of the Changjiang plume and its extension along the Jiangsu Coast. Cont. Shelf. Res. 2014, 76, 108–123. [Google Scholar] [CrossRef]
- Xie, X.F.; Pu, L.J.; Zhu, M.; Wu, T.; Xu, Y.; Wang, X.H. Effect of long-term reclamation on soil quality in agricultural reclaimed coastal saline soil, Eastern China. J. Soil Sediment 2020, 20, 3909–3920. [Google Scholar] [CrossRef]
- Lu, K.R. Methods of Soil Agrochemistry; Agricultural Science and Technology Press: Beijing, China, 2000. (In Chinease) [Google Scholar]
- Burt, R. Soil Survey Field and Laboratory Methods Manual; Soil Survey Investigations Report 51; Version 1.0. USDA-NRCS; National Soil Survey Center: Lincoln, NE, USA, 2009.
- Lambin, E.F.; Meyfroidt, P. Global land use change, economic globalization, and the looming land scarcity. Proc. Natl. Acad. Sci. USA 2011, 108, 3465–3472. [Google Scholar] [CrossRef]
- Barbier, E.B.; Hacker, S.D.; Kennedy, C.; Koch, E.W.; Stier, A.C.; Silliman, B.R. The value of estuarine and coastal ecosystem services. Ecol. Monogr. 2011, 81, 169–193. [Google Scholar] [CrossRef]
- Li, J.; Gao, S.; Wang, Y.P. Invading cord grass vegetation changes analyzed from Landsat-TM imageries: A case study from the Wanggang area, Jiangsu coast, eastern China. Acta Oceanol. Sin. 2010, 29, 26–37. [Google Scholar] [CrossRef]
- Ali, A.M.S. Rice to shrimp: Land use/land cover changes and soil degradation in Southwestern Bangladesh. Land Use Policy 2006, 23, 421–435. [Google Scholar] [CrossRef]
- Zhang, R.S.; Pu, L.J.; Li, J.G.; Zhang, J.; Xu, Y. Landscape ecological security response to land use change in the tidal flat reclamation zone, China. Environ. Monit. Assess. 2016, 188, 1–10. [Google Scholar] [CrossRef]
- Cui, J.; Liu, C.; Li, Z.L.; Wang, L.; Chen, X.F.; Ye, Z.Z.; Fang, C.M. Long-term changes in topsoil chemical properties under centuries of cultivation after reclamation of coastal wetlands in the Yangtze Estuary, China. Soil Tillage Res. 2012, 123, 50–60. [Google Scholar] [CrossRef]
- Zhang, H.; Wu, P.B.; Yin, A.J.; Yang, X.H.; Zhang, X.; Zhang, M.; Gao, C. Organic carbon and total nitrogen dynamics of reclaimed soils following intensive agricultural use in eastern China. Agric. Ecosyst. Environ. 2016, 235, 193–203. [Google Scholar] [CrossRef]
- Xie, X.F.; Pu, L.J.; Zhu, M.; Xu, Y.; Wang, X.H. Linkage between soil salinization indicators and physicochemical properties in a long-term intensive agricultural coastal reclamation area, Eastern China. J. Soils Sediments 2019, 19, 1–9. [Google Scholar] [CrossRef]
- Wang, Y.D.; Wang, Z.L.; Feng, X.P.; Guo, C.C.; Chen, Q. Long-term effect of agricultural reclamation on soil chemical properties of a coastal saline marsh in Bohai Rim, Northern China. PLoS ONE 2014, 9, e93727. [Google Scholar] [CrossRef] [PubMed]
- Xie, X.F.; Pu, L.J.; Wang, Q.Q.; Zhu, M.; Xu, Y.; Zhang, M. Response of soil physicochemical properties and enzyme activities to long-term reclamation of coastal saline soil, Eastern China. Sci. Total Environ. 2017, 607, 1419. [Google Scholar] [CrossRef] [PubMed]
- Yin, Y.H.; Chen, B.B. Discussion on the increase reason of saline soil pH following desalinization in the Jiangsu Province. J. Soil Sci. 1991, 22, 5–7. (In Chinese) [Google Scholar]
- Li, J.G.; Yang, W.H.; Li, Q.; Pu, L.J.; Xu, Y.; Zhang, Z.Q.; Liu, L.L. Effect of reclamation on soil organic carbon pools in coastal areas of eastern China. Front. Earth Sci. 2018, 12, 339–348. [Google Scholar] [CrossRef]
- Deng, X.F.; Zhan, Y.; Wang, F.; Ma, W.Z.; Ren, Z.Q.; Chen, X.J.; Qin, F.J.; Long, W.L.; Zhu, Z.L.; Lv, X.N. Soil organic carbon of an intensively reclaimed region in China: Current status and carbon sequestration potential. Sci. Total Environ. 2016, 565, 539–546. [Google Scholar] [CrossRef]
- Xu, Y.; Pu, L.J.; Liao, Q.L.; Zhu, M.; Yu, X.; Mao, T.Y.; Xu, C.X. Spatial Variation of Soil Organic Carbon and Total Nitrogen in the Coastal Area of Mid-Eastern China. Int. J. Environ. Res. Public Health 2017, 14, 780. [Google Scholar] [CrossRef]
- Xie, X.F.; Pu, L.J.; Zhu, M.; Meadows, M.; Sun, L.C.; Wu, T.; Bu, X.G.; Xu, Y. Differential effects of various reclamation treatments on soil characteristics: An experimental study of newly reclaimed tidal mudflats on the east China coast. Sci. Total Environ. 2021, 768, 144996. [Google Scholar] [CrossRef]
- Xie, X.F.; Wu, T.; Zhu, M.; Jiang, G.J.; Xu, Y.; Wang, X.H.; Pu, L.J. Comparison of random forest and multiple linear regression models for estimation of soil extracellular enzyme activities in agricultural reclaimed coastal saline land. Ecol. Indic. 2021, 120, 106925. [Google Scholar] [CrossRef]
- Saikh, H.; Varadachari, C.; Ghosh, K. Effects of deforestation and cultivation on soil CEC and contents of exchangeable bases: A case study in Simlipal National Park, India. Plant Soil 1998, 204, 175–181. [Google Scholar] [CrossRef]
- Warman, P.R.; Harnish, B.; Muizelaar, T. A lime requirement test for maritime Canada, and response time and effect of liming source on soil ph. Commun. Soil Sci. Plan. 2008, 27, 1427–1436. [Google Scholar] [CrossRef]
- Wang, W.J.; Qiu, L.; Zu, Y.G.; Su, D.X.; An, J.; Wang, H.G.; Zheng, G.Y.; Sun, W.; Chen, X.Q. Changes in soil organic carbon, nitrogen, pH and bulk density with the development of larch (Larix gmelinii) plantations in China. Glob. Chang. Biol. 2011, 17, 2657–2676. [Google Scholar]




| Zone | Land-Use Trajectory from 1985 to 2015 | Reclamation Time | Type |
|---|---|---|---|
| G-1999 | T→T→T→A→A→A→A→C→C→C→C | 16a | TAC |
| F-1998 | T→T→T→C→C→C→C→C→C→C→C | 17a | TC |
| E-1991 | T→T→A→A→A→A→C→C→C→C→C | 24a | TAC |
| D-1989 | T→T→C→C→C→C→C→C→C→C→C | 26a | TC |
| C-1986 | T→T→T→T→T→T→C→C→C→C→C | 29a | TC |
| B-1981 | T→C→C→C→C→C→C→C→C→C→C | 34a | TC |
| A-1979 | A→A→A→A→A→A→A→C→C→C→C | 36a | TAC |
| Zones | G | F | E | D | C | B | A |
|---|---|---|---|---|---|---|---|
| Time | 16a | 17a | 24a | 26a | 29a | 34a | 36a |
| Sand (%) | 53.8 ± 3.9 b | 59.9 ± 6.4 a | 53.2 ± 5.5 b | 50.3 ± 3.2 bc | 44.7 ± 8.2 c | 53.4 ± 2.0 b | 50.0 ± 3.6 bc |
| Silt (%) | 38.2 ± 3.3 bc | 34.5 ± 5.6 c | 40.7 ± 5.9 b | 42.1 ± 2.9 b | 48.0 ± 8.0 a | 40.2 ± 2.2 b | 42.5 ± 3.1 ab |
| Clay (%) | 8.0 ± 0.6 a | 5.6 ± 0.9 c | 6.1 ± 0.7 bc | 7.6 ± 0.5 a | 7.4 ± 0.4 a | 6.4 ± 0.7 b | 7.5 ± 0.8 a |
| SiO2 (%) | 62.1 ± 0.6 c | 65.5 ± 1.3 a | 63.7 ± 1.3 b | 62.9 ± 0.8 bc | 61.2 ± 1.8 c | 64.9 ± 1.0 ab | 61.9 ± 0.3 c |
| Al2O3 (%) | 11.7 ± 0.1ab | 10.9 ± 0.3 c | 11.2 ± 0.3 bc | 11.2 ± 0.2 bc | 12.1 ± 0.7 a | 10.9 ± 0.2 c | 11.5 ± 0.1 b |
| CaO (%) | 6.1 ± 0.1 b | 5.3 ± 0.4 d | 5.7 ± 0.3 c | 6.0 ± 0.1 b | 5.9 ± 0.1 bc | 5.4 ± 0.2 d | 6.4 ± 0.1 a |
| Fe2O3 (%) | 4.3 ± 0.0 b | 3.8 ± 0.2 d | 4.0 ± 0.2 c | 4.2 ± 0.1 bc | 4.5 ± 0.4 a | 4.0 ± 0.1 cd | 4.3 ± 0.1 ab |
Publisher’s Note: MDPI stays neutral with regard to jurisdictional claims in published maps and institutional affiliations. |
© 2021 by the authors. Licensee MDPI, Basel, Switzerland. This article is an open access article distributed under the terms and conditions of the Creative Commons Attribution (CC BY) license (http://creativecommons.org/licenses/by/4.0/).
Share and Cite
Xu, Y.; Pu, L.; Zhang, R.; Zhu, M.; Zhang, M.; Bu, X.; Xie, X.; Wang, Y. Effects of Agricultural Reclamation on Soil Physicochemical Properties in the Mid-Eastern Coastal Area of China. Land 2021, 10, 142. https://doi.org/10.3390/land10020142
Xu Y, Pu L, Zhang R, Zhu M, Zhang M, Bu X, Xie X, Wang Y. Effects of Agricultural Reclamation on Soil Physicochemical Properties in the Mid-Eastern Coastal Area of China. Land. 2021; 10(2):142. https://doi.org/10.3390/land10020142
Chicago/Turabian StyleXu, Yan, Lijie Pu, Runsen Zhang, Ming Zhu, Meng Zhang, Xinguo Bu, Xuefeng Xie, and Yuan Wang. 2021. "Effects of Agricultural Reclamation on Soil Physicochemical Properties in the Mid-Eastern Coastal Area of China" Land 10, no. 2: 142. https://doi.org/10.3390/land10020142
APA StyleXu, Y., Pu, L., Zhang, R., Zhu, M., Zhang, M., Bu, X., Xie, X., & Wang, Y. (2021). Effects of Agricultural Reclamation on Soil Physicochemical Properties in the Mid-Eastern Coastal Area of China. Land, 10(2), 142. https://doi.org/10.3390/land10020142

