Characteristics of Coal-Bearing Shale Reservoirs and Gas Content Features in the Carboniferous–Permian System of the Qinshui Basin, Shanxi Province, China
Abstract
1. Introduction
2. Geological Background
3. Samples and Methods
3.1. Sample Collection
3.2. Experimental Methods
3.2.1. Organic Geochemical Analysis
3.2.2. Petrological Characteristics Testing
3.2.3. Pore Characterization Testing
3.2.4. Isothermal Adsorption Experiment
3.2.5. Gas Content Testing
4. Results and Discussion
4.1. Characteristics of Mineral Composition
4.2. Organic Geochemical Characteristics
4.2.1. Type of Organic Matter
4.2.2. Abundance of Organic Matter
4.2.3. Organic Matter Maturity
4.3. Pore Structure Characteristics
4.3.1. Micropore Features
4.3.2. Pore Morphology Analysis
4.3.3. Quantitative Characterization of Pore Structure
4.4. Gas Adsorption Characteristics
4.4.1. Isothermal Adsorption Characteristics
4.4.2. Measured Gas Content
4.5. Factors Influencing the Reservoir’s Pore Structure
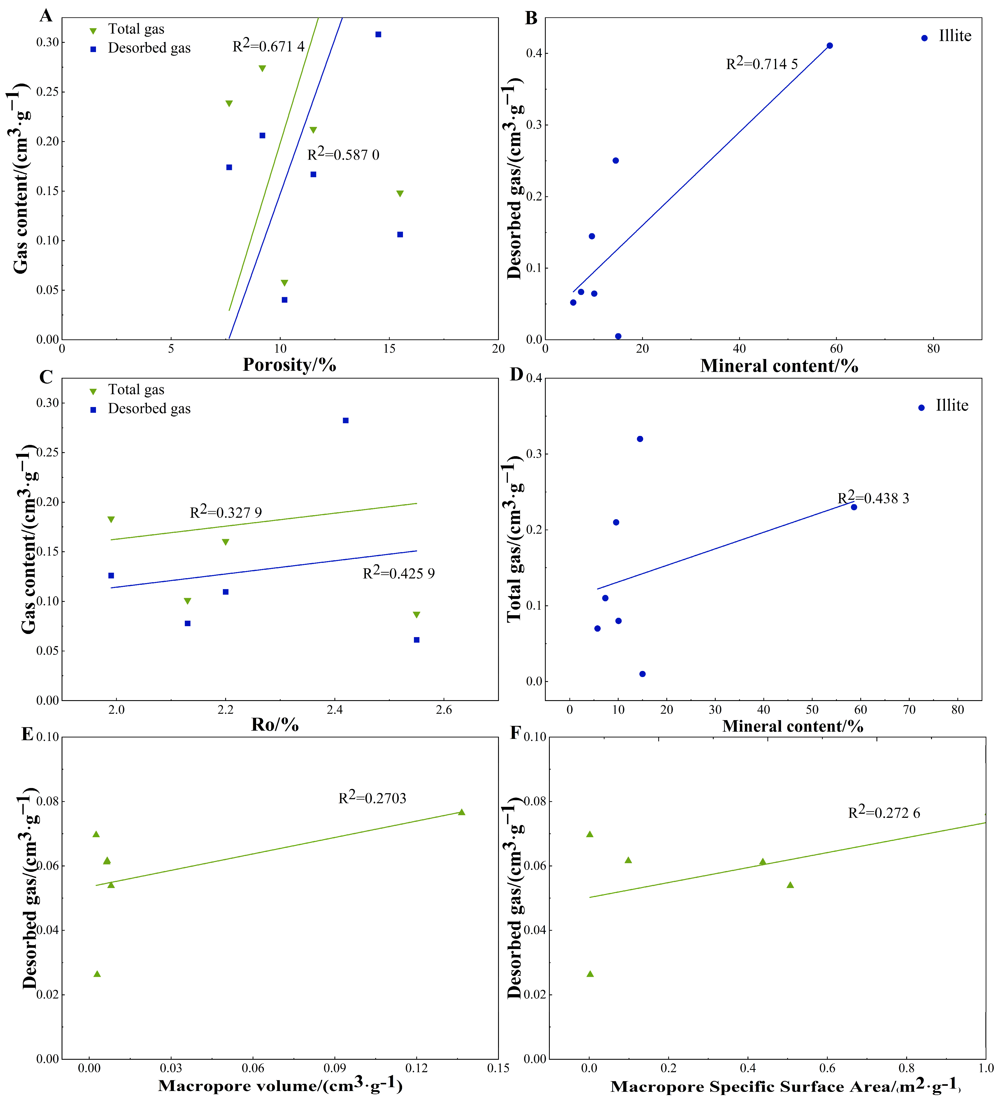
4.6. Factors Influencing Gas Content in Shale Reservoirs
5. Conclusions
Author Contributions
Funding
Data Availability Statement
Conflicts of Interest
References
- Hill, R.J.; Jarvie, D.M.; Zumberge, J.; Henry, M.; Pollastro, R.M. Oil and gas geochemistry and petroleum systems of the Fort Worth Basin. AAPG Bull. 2007, 91, 445–473. [Google Scholar] [CrossRef]
- Ross, D.J.K.; Bustin, R.M. Erratum: Shale gas potential of the Lower Jurassic Gordondale Member, northeastern British Columbia, Canada. Bull. Can. Pet. Geol. 2007, 55, 51–75. [Google Scholar] [CrossRef]
- Zhao, J.; Fang, C.; Zhang, J.; Wang, L.; Zhang, X. Evaluation of China shale gas from the exploration and development of North America shale gas. J. Xi’an Shiyou Univ. (Nat. Sci. Ed.) 2011, 26, 1–7+110+117. [Google Scholar]
- Zhang, Y.L.; Li, D.H.; Guo, D.X. A review of fracturing technologies for shale gas reservoirs. Unconv. Oil Gas 2015, 2, 7. [Google Scholar]
- Ma, Y.Z.; Wang, M.; Li, J.M.; Zhao, J.G.; Jia, T.F.; Zhu, J.Q. Reservoir characteristics and gas-bearing properties of Upper Paleozoic coal-measure shale in Qinshui Basin. Nat. Gas Geosci. 2022, 33, 441–450. [Google Scholar]
- Zhang, J.C.; Tao, J.; Li, Z.; Wang, X.W.; Li, X.Q.; Jiang, S.L.; Wang, D.S.; Zhao, X.X. Prospects and exploration potential of deep shale gas resources in China. Nat. Gas Ind. 2021, 41, 14. [Google Scholar]
- Zou, C.N.; Zhao, Q.; Cong, L.Z.; Wang, H.Y.; Shi, Z.S.; Wu, J.; Pan, S.Q. Progress, potential, and prospects of shale gas development in China. Nat. Gas Ind. 2021, 41, 1–14. [Google Scholar]
- Dong, D.Z.; Qiu, Z.; Zhang, L.F.; Li, S.X.; Zhang, Q.; Li, X.T.; Zhang, S.R.; Liu, H.L.; Wang, Y.M. Advances in sedimentology of marine-continental transitional shale gas strata and new shale gas discoveries. Acta Sedimentol. Sin. 2021, 39, 29–45. [Google Scholar] [CrossRef]
- Guo, S.B.; Wang, Z.L.; Ma, X. Exploration prospects of Permian marine-continental transitional shale gas in key regions of China. Pet. Geol. Exp. 2021, 43, 377–385+414. [Google Scholar]
- Li, Y.Y.; Li, X.Q.; Zhang, X.Q.; Xiao, X.M.; Yu, Z.F.; Wang, B.Y. Reservoir characteristics of Upper Paleozoic coal-measure shale in Yangquan Block, Qinshui Basin. Coal Geol. Explor. 2021, 49, 142–151. [Google Scholar]
- Cai, G.Y.; Jiang, Y.Q.; Li, X.T.; Sun, S.S.; Fu, Y.H.; Gu, Y.F.; Wang, Z.L.; Ji, C.H. Differences in reservoir characteristics between marine-continental transitional and marine organic-rich shales. Acta Sedimentol. Sin. 2022, 40, 1030–1042. [Google Scholar] [CrossRef]
- Chen, Y.; Lin, W.; Chen, Y.; Guo, W.; Du, B.; Li, M.; Zhang, J. Depositional Model and Controlling Factors of High-Quality Shales of the Wufeng and Longmaxi Formations in Western Chongqing, Sichuan Basin, China. ACS Omega 2024, 9, 16411–16419. [Google Scholar] [CrossRef]
- Shen, Y.Y.; Wang, K.F.; Tang, S.H.; Zhang, S.H.; Xi, Z.D.; Yang, X.D. Geological modeling and “sweet spot” prediction of Permian coal-measure shale reservoirs in Yushe-Wuxiang Block, Qinshui Basin. Lithol. Reserv. 2024, 36, 98–108. [Google Scholar]
- Jia, T.F.; Wang, M.; Zhao, J.G. Characteristics and hydrocarbon generation potential of Carboniferous-Permian coal-measure shale gas reservoirs in Qinshui Basin: A case study of Well Y1 in Linfen City, Shanxi Province. Sci. Technol. Eng. 2020, 20, 2169–2178. [Google Scholar]
- Zhang, J.Q.; Li, X.Q.; Zhang, B.X.; Zhang, X.Q.; Yang, J.W.; Yu, Z.F. Pore characteristics and structure of Upper Paleozoic coal-measure shale gas reservoirs in Wuxiang Block, Qinshui Basin. Geoscience 2022, 36, 1551–1562. [Google Scholar] [CrossRef]
- Ma, Y.Z.; Wang, M.; Ma, R.Y.; Dai, X.G.; Xie, W.D.; Li, J.M. Microscopic characteristics and influencing factors of marine-continental transitional coal-measure shale gas reservoirs: A case study of Well Y2 in central-eastern Qinshui Basin. J. Henan Polytech. Univ. (Nat. Sci.) 2023, 42, 80–92. [Google Scholar] [CrossRef]
- Zhao, X.; Liu, J.G.; Zhang, S.K.; Ding, L.; Yin, Y.L.; Sun, J.; Jiang, Z. Reservoir characteristics and exploration recommendations for coal-measure mud shale in Wuxiang area, Qinshui Basin: A case study of Well ZK-42 in Shanxi. Coal Geol. China 2023, 35, 29–36. [Google Scholar]
- Wang, W.; Liu, Z.J.; Wei, F.B.; Li, F. Characteristics and controlling factors of Permian Dalong Formation shale reservoirs in northeastern Sichuan Basin. Oil Gas Geol. 2024, 45, 1355–1367. [Google Scholar]
- Nie, H.K.; Zhang, J.C.; Jin, Z.J.; Liu, Q.Y.; Li, S.J.; Dang, W.; Li, P.; Bian, R.K.; Sun, C.X.; Zhang, K.; et al. On the enrichment mechanism of marine shale gas: A case study of the Wufeng-Longmaxi Formations in Sichuan Basin. Acta Geol. Sin. 2024, 98, 975–991. [Google Scholar] [CrossRef]
- Zhong, Q.; Fu, X.H.; Zhang, M.; Zhang, Q.H.; Cheng, W.P. Evaluation of shale gas development potential in Carboniferous-Permian coal measures of Qinshui Coalfield. Nat. Gas Geosci. 2020, 31, 110–121. [Google Scholar]
- Yang, C.Y.; Hao, C.S.; Tian, Q.L.; Ji, C.J.; Shao, X.H.; Chang, H.Z. Study on physical properties of No.15 coal reservoir in northeastern Qinshui Coalfield. Coal Eng. 2019, 51, 11–17. [Google Scholar]
- Li, G.F.; Zhang, W.; Li, M.; Pan, J.N.; Liu, L.L.; Chen, Z.Y.; Zhang, Y.C.; Bai, Y. Gas-bearing properties and productivity controls of coal reservoirs in Sijiazhuang Block, Qinshui Basin. Coal Geol. Explor. 2022, 50, 146–155. [Google Scholar]
- Li, W.; Shen, J.; Li, C.; Wen, R.D.; Su, Y.F. Occurrence conditions and development sweet spot prediction of deep coalbed methane in Yushe-Wuxiang Block, Qinshui Basin. Pet. Geol. Oilfield Dev. Daqing 2023, 42, 9–19. [Google Scholar] [CrossRef]
- Ma, R.Y.; Zhang, J.; Wang, M.; Ma, W.P.; Zhao, J.G. Microscopic pore characteristics and gas-bearing properties of marine-continental transitional shale reservoirs in Qinshui Basin. J. Henan Polytech. Univ. (Nat. Sci.) 2021, 40, 66–77. [Google Scholar] [CrossRef]
- Zhang, X.Q. Characteristics of Upper Paleozoic Coal-Measure Shale Reservoirs and Shale Gas Occurrence Mechanism in Qinshui Basin. Ph.D. Thesis, China University of Mining and Technology, Beijing, China, 2023. [Google Scholar]
- Fang, H.; Sang, S.; Liu, S.; Liu, H.; Xu, H.; Huang, Y. Determination of representative elementary volume of digital coal based on fractal theory with X-ray CT data and its application in fractal permeability predication model. Front. Earth Sci. 2022, 16, 657–670. [Google Scholar] [CrossRef]
- Jiang, S.; Xu, Z.; Feng, Y.; Zhang, J.; Cai, D.; Chen, L.; Wu, Y.; Zhou, D.; Bao, S.; Long, S. Geologic characteristics of hydrocarbon-bearing marine, transitional and lacustrine shales in China. J. Asian Earth Sci. 2016, 115, 404–418. [Google Scholar] [CrossRef]
- Lin, Z.; Liu, K.; Wei, Y. Tectonic Evolution Characteristics of Carboniferous-Permian Coal Measures in the Central-Northern Qinshui Basin. Coal Geol. Explor. 2020, 48, 85–91. [Google Scholar]
- Zhang, M.T.; Fu, W.; Jiang, B.R.; Gao, W.; Deng, E.D. Reservoir characteristics and exploration potential evaluation of Upper Permian Longtan Formation coal-measure shale gas in northern Guizhou Coalfield. Coal Sci. Technol. 2022, 50, 133–139. [Google Scholar] [CrossRef]
- Xie, W.; Gan, H.; Chen, C.; Vandeginste, V.; Chen, S.; Wang, M.; Wang, J.; Yu, Z. A model for superimposed coalbed methane, shale gas and tight sandstone reservoirs, Taiyuan Formation, Yushe-Wuxiang Block, eastern Qinshui Basin. Sci. Rep. 2022, 12, 11455. [Google Scholar] [CrossRef]
- Zhao, K.D.; Fu, X.H.; Zhang, M.; Cheng, W.P.; Qu, L.Z. Organic geochemical characteristics and hydrocarbon generation potential evaluation of coal-measure mud shale. Coal Sci. Technol. 2019, 47, 182–188. [Google Scholar] [CrossRef]
- GB/T 19145-2022; Determination for Total Organic Carbon in Sedimentary Rock. Standardization Administration of China: Beijing, China, 2022.
- GB/T 18602-2012; Rock Pyrolysis Analysis. Standardization Administration of China: Beijing, China, 2012.
- SY/T 5125-2014; Method for Identification and Classification of Kerogen Macerals Using Transmitted Light and Fluorescence Microscopy. National Energy Administration of China: Beijing, China, 1996.
- SY/T 5124-2012; Method for Determining Vitrinite Reflectance in Sedimentary Rocks. National Energy Administration of China: Beijing, China, 1995.
- SY/T 5163-2018; Methods for X-ray Diffraction Analysis of Clay Minerals and Common Non-Clay Minerals in Sedimentary Rocks. National Energy Administration of China: Beijing, China, 2010.
- SY/T 5162-2021; Analytical Method for Rock Samples Using Scanning Electron Microscopy. National Energy Administration of China: Beijing, China, 1997.
- SY/T 6189-2018; Energy Spectrum Quantitative Analysis Method for Rock and Mineral. National Energy Administration of China: Beijing, China, 1996.
- GB/T 21650.1-2008; Pore Size Distribution and Porosity of Solid Materials by Mercury Porosimetry and Gas Adsorption—Part 1: Mercury Porosimetry. Standardization Administration of China: Beijing, China, 2008.
- GB/T 19560-2008; Experimental Method of High-Pressure Isothermal Adsorption to Coal. Standardization Administration of China: Beijing, China, 2008.
- GB/T 19559-2021; Method of Determining Coalbed Methane Content. Standardization Administration of China: Beijing, China, 2021.
- Chen, J.; Xiao, X.M. Mineral Composition and Brittleness Analysis of Three Sets of Organic-Rich Shale in the South China Paleozoic. J. China Coal Soc. 2013, 38, 822–826. [Google Scholar] [CrossRef]
- Shi, C.; Lin, B.T. Research on fracture propagation laws and influencing factors in shale reservoirs. Pet. Sci. Bull. 2021, 6, 92–113. [Google Scholar]
- Rickman, R.; Mullen, M.; Petre, E.; Grieser, B.; Kundert, D. A Practical Use of Shale Petrophysics for Stimulation Design Optimization: All Shale Plays Are Not Clones of the Barnett Shale. In Proceedings of the SPE Annual Technical Conference and Exhibition, Denver, CO, USA, 21–24 September 2008. [Google Scholar] [CrossRef]
- Yao, J.T.; Zhou, D.; Liu, R.H.; Liu, S.B. Geochemical characteristics and sedimentary environment of Middle-Lower Jurassic source rocks in the right bank of Amu Darya. Geol. Sci. 2024, 59, 352–364. [Google Scholar]
- Liu, J.N.; Zhu, Y.M.; Liu, Y.; Tang, X. Study on reservoir characteristics of marine-continental transitional shale: A case study of Qinshui Basin. Coal Geol. Explor. 2015, 43, 23–28. [Google Scholar]
- Cui, B.F.; Kong, L.H.; Chen, J.; Zhang, D.Y.; Liang, H.; Li, S.K.; Guo, W. Characteristics and hydrocarbon generation potential analysis of Carboniferous Shiqiantan Formation source rocks in Shiqiantan Sag, eastern Junggar Basin. Northwestern Geol. 2024, 57, 34–45. [Google Scholar]
- Yang, S.; Horsfield, B. Critical review of the uncertainty of Tmax in revealing the thermal maturity of organic matter in sedimentary rocks—ScienceDirect. Int. J. Coal Geol. 2020, 225, 103500. [Google Scholar] [CrossRef]
- Cao, T.-T.; Deng, M.; Xiao, J.-Y.; Liu, H.; Pan, A.-Y.; Cao, Q.-G. Reservoir characteristics and gas occurrence mechanisms in marine-continental transitional shale: Insights from comparison with marine shale reservoirs. Nat. Gas Geosci. 2023, 34, 122–139. [Google Scholar]
- Loucks, R.G.; Reed, R.M.; Ruppel, S.C.; Hammes, U. Spectrum of pore types and networks in mudrocks and a descriptive classification for matrix-related mudrock pores. AAPG Bull. 2012, 96, 1071–1098. [Google Scholar] [CrossRef]
- Mandelbrot, B.B. Stochastic models for the Earth’s relief, the shape and the fractal dimension of the coastlines, and the number-area rule for islands. Proc. Natl. Acad. Sci. USA 1975, 72, 3825–3828. [Google Scholar] [CrossRef] [PubMed]
- Pan, J.; Wang, K.; Hou, Q.; Niu, Q.; Wang, H.; Ji, Z. Micro-pores and fractures of coals analysed by field emission scanning electron microscopy and fractal theory. Fuel 2016, 164, 277–285. [Google Scholar] [CrossRef]
- Wancai, N.; Tingshan, Z.; Mingwei, W.; Wen, W.U.; Xiucheng, T. Fractal Characteristics and Interfering Factors of Microscopic Pores in Marine-Continental Transitional Coal Shale: A case study of the Taiyuan Formation in the northern Qinshui Basin. Acta Sedimentol. Sin. 2024, 42, 1047. [Google Scholar] [CrossRef]
- Yao, Y.B.; Liu, D.M. Fine Quantitative Characterization and Comprehensive Evaluation Model of Coal Reservoirs; Science Press: Beijing, China, 2013. [Google Scholar]
- Tang, S.-L.; Tang, D.-Z.; Yang, J.-S.; Deng, Z.; Li, S.; Chen, S.-D.; Feng, P.; Huang, C.; Li, Z.-W. Pore structure characteristics and gas storage potential of deep coal reservoirs in Daning-Jixian Block, Ordos Basin. Acta Pet. Sin. 2023, 44, 1854–1866+1902. [Google Scholar]
- IUPAC. Physical chemistry division commission on colloid and surface chemistry, subcommittee on characterization of porous solids: Recommendations for the characterization of porous solids (Technical Report). Pure Appl. Chem. 1994, 66, 1739–1758. [Google Scholar] [CrossRef]
- Dai, X.; Wei, C.; Wang, M.; Ma, R.; Song, Y.; Zhang, J.; Wang, X.; Shi, X.; Vandeginste, V. Interaction mechanism of supercritical CO2 with shales and a new quantitative storage capacity evaluation method. Energy. 2023, 264, 126424. [Google Scholar] [CrossRef]
- Zhou, J.P.; Fan, M.L.; Xian, X.F.; Yang, K.; Lu, Z.H. Shale gas adsorption correction and influencing factors of adsorption capacity. Coal Sci. Technol. 2022, 50, 154–162. [Google Scholar] [CrossRef]
- Zhang, Y.Y.; Fang, X.H.; Zeng, F.G. Molecular simulation of methane adsorption in kaolinite slits. Multipurp. Util. Miner. Resour. 2019, 40, 130–134+113. [Google Scholar]
- Liu, Z.H. Study on Characteristics of Clay Minerals in Shale Reservoirs and Their Influence on Porosity. Master’s Thesis, China University of Mining and Technology, Xuzhou, China, 2018. [Google Scholar]
- Li, Y.; Gao, S.; Wu, P.; Xu, L.-F.; Ma, L.-T.; Hu, W.-Q.; Yang, J.-H. Evaluation and correction of prediction models for free gas content in deep coalbed methane reservoirs: A case study of deep coal seams in the eastern margin of Ordos Basin. Acta Pet. Sin. 2023, 44, 1892–1902. [Google Scholar]
- Dong, D.Z.; Wang, Y.M.; Huang, X.N.; Zhang, C.C.; Guan, Q.Z.; Huang, J.L.; Wang, S.F.; Li, X.J. Geological characteristics, resource assessment methods and key parameters of shale gas in China. Nat. Gas Geosci. 2016, 27, 1583–1601. [Google Scholar]












| Sample ID | Lithology | Clay Mineral Content (%) | Whole Rock Composition (%) | |||||||
|---|---|---|---|---|---|---|---|---|---|---|
| Kaolinite | Chlorite | Illite | Total Clay | Quartz | Sodium Feldspar | Dolomite | Limonite | Laumontite | ||
| Z1-2 | Sandy mudstone | 50.10 | 15.12 | 34.83 | 43.09 | 46.89 | \ | \ | \ | 10.02 |
| Z1-8 | Sandy mudstone | 17.53 | 12.66 | 69.81 | 8.19 | 75.92 | 15.9 | \ | \ | \ |
| Z1-12 | Mudstone | 90.72 | \ | 9.32 | 78.89 | 21.11 | \ | \ | \ | \ |
| Z1-18 | Mudstone | 83.21 | \ | 16.82 | 59.81 | 35.87 | \ | \ | \ | 4.32 |
| Z1-23 | Mudstone | 80.93 | \ | 19.07 | 50.11 | 37.58 | \ | \ | \ | 12.31 |
| Z1-26 | Mudstone | 7.10 | \ | 92.86 | 63.09 | 36.91 | \ | \ | \ | \ |
| Z1-33 | Mudstone | 100.00 | \ | \ | 48.07 | 50.52 | \ | 1.41 | \ | \ |
| Z1-39 | Sandstone | 64.62 | \ | 35.41 | 40.88 | 59.12 | \ | \ | \ | \ |
| Z1-46 | Sandy mudstone | 100.00 | \ | \ | 76.67 | \ | \ | \ | 23.33 | - |
| Sample ID | TI | Ro (%) | Kerogen Types |
|---|---|---|---|
| Z1-1 | −75 | 1.99 | III |
| Z1-4 | −88 | 2.2 | III |
| Z1-15 | −83 | 2.55 | III |
| Z1-28 | −73 | 2.13 | III |
| Z1-40 | −79 | 2.42 | III |
| Sample Stratigraphy | Sample ID | Lithology | S1 + S2 (mg/g) | Tmax (°C) | TOC (%) |
|---|---|---|---|---|---|
| Shanxi formation | Z1-1 | Mudstone | 0.65 | 502.03 | 1.43 |
| Z1-5 | Mudstone | 0.68 | 524.50 | 1.75 | |
| Z1-8 | Sandy mudstone | 0.31 | 514.09 | 0.45 | |
| Taiyuan formation | Z1-18 | Mudstone | 3.61 | 490.34 | 16.22 |
| Z1-23 | Sandy mudstone | 0.22 | 522.01 | 0.96 | |
| Z1-26 | Mudstone | 1.1 | 512.84 | 3.03 | |
| Z1-33 | Sandy mudstone | 0.29 | 542.01 | 1.42 | |
| Z1-39 | Sandy mudstone | 0.14 | 322.01 | 0.47 |
| Pore Type | Average Pore Area (nm2) | Average Pore Major Axis (nm) | Average Pore Diameter (nm) | D | Determination Coefficient (R2) |
|---|---|---|---|---|---|
| Quartz intragranular pore | 58,473.37 | 248.17 | 192.45 | 2.46 | 0.97 |
| Pyrite casting moldic pole | 287,288.23 | 679.15 | 588.63 | 2.55 | 0.96 |
| Intergranular pores of clay minerals | 83.72 | 325.72 | 266.67 | 2.39 | 0.95 |
| Detrital organic matter pores | 43,442.58 | 297.16 | 356.58 | 2.51 | 0.95 |
| Sample | Pore Volume (cm3/g) | Specific Surface Area (m2/g) | ||||
|---|---|---|---|---|---|---|
| Macroporous | Mesoporous | Total | Macroporous | Mesoporous | Total | |
| Z1-18 | 0.64 × 10−2 | 0.02 | 0.28 × 10−1 | 0.44 | 11.63 | 12.06 |
| Z1-23 | 0.80 × 10−2 | 0.27 × 10−1 | 0.35 × 10−1 | 0.51 | 13.07 | 13.57 |
| Z1-26 | 0.14 | 0.03 | 0.17 | 1.00 | 18.33 | 19.34 |
| Z1-33 | 0.25 × 10−2 | 0.86 × 10−2 | 0.01 | 0.15 × 10−2 | 1.82 | 1.83 |
| Z1-39 | 0.66 × 10−2 | 0.15 × 10−1 | 0.02 | 0.99 × 10−1 | 6.43 | 6.53 |
| Z1-46 | 0.29 × 10−2 | 0.90 × 10−2 | 0.12 × 10−1 | 0.26 × 10−2 | 2.44 | 2.44 |
Disclaimer/Publisher’s Note: The statements, opinions and data contained in all publications are solely those of the individual author(s) and contributor(s) and not of MDPI and/or the editor(s). MDPI and/or the editor(s) disclaim responsibility for any injury to people or property resulting from any ideas, methods, instructions or products referred to in the content. |
© 2025 by the authors. Licensee MDPI, Basel, Switzerland. This article is an open access article distributed under the terms and conditions of the Creative Commons Attribution (CC BY) license (https://creativecommons.org/licenses/by/4.0/).
Share and Cite
Xu, S.; Wang, M.; Gao, J.; Li, W.; Zhang, X.; Zhou, W.; Zheng, Y. Characteristics of Coal-Bearing Shale Reservoirs and Gas Content Features in the Carboniferous–Permian System of the Qinshui Basin, Shanxi Province, China. Energies 2025, 18, 1120. https://doi.org/10.3390/en18051120
Xu S, Wang M, Gao J, Li W, Zhang X, Zhou W, Zheng Y. Characteristics of Coal-Bearing Shale Reservoirs and Gas Content Features in the Carboniferous–Permian System of the Qinshui Basin, Shanxi Province, China. Energies. 2025; 18(5):1120. https://doi.org/10.3390/en18051120
Chicago/Turabian StyleXu, Shen, Meng Wang, Jie Gao, Wenhao Li, Xiaorong Zhang, Wenxin Zhou, and Yanzixian Zheng. 2025. "Characteristics of Coal-Bearing Shale Reservoirs and Gas Content Features in the Carboniferous–Permian System of the Qinshui Basin, Shanxi Province, China" Energies 18, no. 5: 1120. https://doi.org/10.3390/en18051120
APA StyleXu, S., Wang, M., Gao, J., Li, W., Zhang, X., Zhou, W., & Zheng, Y. (2025). Characteristics of Coal-Bearing Shale Reservoirs and Gas Content Features in the Carboniferous–Permian System of the Qinshui Basin, Shanxi Province, China. Energies, 18(5), 1120. https://doi.org/10.3390/en18051120

