Sign in to use this feature.

Years

Between: -

Subjects

remove_circle_outline
remove_circle_outline
remove_circle_outline
remove_circle_outline
remove_circle_outline
remove_circle_outline
remove_circle_outline
remove_circle_outline
remove_circle_outline

Journals

remove_circle_outline
remove_circle_outline
remove_circle_outline
remove_circle_outline
remove_circle_outline
remove_circle_outline
remove_circle_outline
remove_circle_outline
remove_circle_outline
remove_circle_outline
remove_circle_outline
remove_circle_outline
remove_circle_outline
remove_circle_outline
remove_circle_outline
remove_circle_outline
remove_circle_outline
remove_circle_outline
remove_circle_outline
remove_circle_outline
remove_circle_outline
remove_circle_outline
remove_circle_outline

Article Types

Countries / Regions

remove_circle_outline
remove_circle_outline
remove_circle_outline
remove_circle_outline
remove_circle_outline
remove_circle_outline

Search Results (4,623)

Search Parameters:
Keywords = metal substrates

Order results
Result details
Results per page
Select all
Export citation of selected articles as:
17 pages, 3381 KB  
Article
Trace Element Supplementation Enables Sustainable High-Straw Dry Anaerobic Digestion by Suppressing Acidification and Boosting Biogas via Microbial Network Rewiring
by Wenguang Liang, Gang Li, Yigao Dai, Hanbao Zhou, Yeyu Wang, Yingcai Han, Yiheng Qi, Dongmei Wang, Keyang Jiang and Qiuheng Zhu
Sustainability 2026, 18(3), 1395; https://doi.org/10.3390/su18031395 - 30 Jan 2026
Abstract
The global output of organic solid residues (e.g., crop straw) is substantial, creating an urgent sustainability need for low-impact pathways that avoid open burning or disposal while recovering renewable energy. Dry anaerobic digestion (AD) offers a water-saving, high-solids valorization route for straw-rich substrates, [...] Read more.
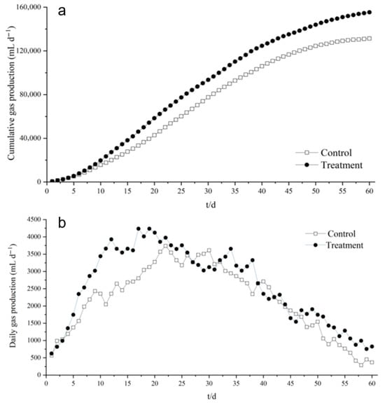
The global output of organic solid residues (e.g., crop straw) is substantial, creating an urgent sustainability need for low-impact pathways that avoid open burning or disposal while recovering renewable energy. Dry anaerobic digestion (AD) offers a water-saving, high-solids valorization route for straw-rich substrates, but its deployment is often constrained by acidification that suppresses methanogenesis, reducing reliability and limiting practical adoption. Here, at laboratory scale, we formulated a co-digestion substrate dominated by wheat straw (50%) with swine manure and household organic waste, and evaluated whether co-supplementation of trace metals (Fe, Ni, Co) can enhance process stability and energy recovery, thereby strengthening the sustainability of high-solids straw treatment. System performance was assessed by pH, biogas production, volatile fatty acids (VFAs), functional genes, and microbial community profiles to elucidate micronutrient effects and microbial responses. Micronutrient addition stabilized pH (minimum 6.5) and enhanced biogas output. Specific yields in the supplemented digester were 260.64 ± 11.83 mL g−1 TS and 319.89 ± 14.27 mL g−1 VS, compared with 220.31 ± 9.45 mL g−1 TS and 270.33 ± 11.72 mL g−1 VS in the control; cumulative gas production was higher by 18.33%. Community analyses showed marked enrichment of Methanosarcina, increasing from 7.28% on day 10 to 44.00% on day 30. Molecular ecological network analysis indicated a transition from a sparse, fragmented configuration to a highly connected, centralized one: the number of nodes decreased from 74 to 70; the number of edges increased from 46 to 223 (a 4.85-fold rise); network density increased from 0.0170 to 0.0923; mean degree increased from 1.24 to 6.37; the number of modules declined from 39 to 5; and the proportion of positive versus negative links shifted from 85%/15% to 70%/30%, evidencing stronger interspecies coupling and functional robustness. Consistently, methyl-coenzyme reductase subunit A gene copy numbers were about 1.60-fold higher on day 30 and about 1.51-fold higher on day 50 than in the control. Overall, Fe-Ni-Co co-supplementation enhances methane potential and suppresses acidification in straw-rich dry anaerobic digestion, providing a low-input and practical strategy to stabilize high-solids systems. By improving microbial robustness, this approach enables efficient renewable energy recovery with reduced water demand and lower risk of process failure, thereby supporting scalable straw valorization and advancing circular bioeconomy pathways for agricultural and organic solid residues. Full article
(This article belongs to the Special Issue Solid Waste Management and Sustainable Environmental Remediation)
Show Figures

Figure 1

27 pages, 21430 KB  
Article
Comparative Analysis of Microstructure, Phase Composition, and Wear Characterization of Fe-Cr-C, Fe-Mn-Mo-B, and Ni-WC Hardfacing Alloys
by Jan Pawlik, Pavlo Prysyazhnyuk, Vasyl Vytvytskyi, Iuliia Medvid and Michał Bembenek
Coatings 2026, 16(2), 178; https://doi.org/10.3390/coatings16020178 - 30 Jan 2026
Abstract
Wear resistance of hardfaced or cladded protective layers is commonly assessed through hardness measurements. Traditionally, this involves single-point diamond indenter tests. However, in complex cladding alloys, such methods often yield inconsistent results due to significant differences between the hardness of the metallic matrix [...] Read more.
Wear resistance of hardfaced or cladded protective layers is commonly assessed through hardness measurements. Traditionally, this involves single-point diamond indenter tests. However, in complex cladding alloys, such methods often yield inconsistent results due to significant differences between the hardness of the metallic matrix and harder constituents, such as carbides or nitrides. To address this, the authors performed a series of scratch tests on four wear-resistant hardfacing materials. The method involves producing a scratch under constant load on a polished bead surface and measuring the resulting groove width as an indirect measure of hardness and wear behavior. The study focuses on four FCAW hardfacing wires: a Cr-Si-C-Mn solid cored wire (Alloy A), a Cr-Mo-C-Si-Mn cored wire (Alloy B), a nickel-sheathed macrocrystalline tungsten carbide cored wire (Alloy C), and an original Fe(Mn)-Mo-B-C hardfacing alloy (Alloy D) developed by one of the authors. All materials were deposited on C45 steel substrates. Comparative analysis included scratch tests, abrasion wear tests, and thermodynamic modeling. The scratch test approach proved effective in evaluating and optimizing deposition parameters to achieve improved wear resistance of the investigated Fe–Cr–C, Ni–WC, and Fe–Mo–Mn–B hardfacing systems. Full article
Show Figures

Figure 1

11 pages, 2905 KB  
Article
Fabrication of Sapphire-Embedded Ultra-Wear-Resistant Metal Grids
by Gaoyuan Mi, Songlin Wang, Jianfu Zhang, Runqing Li, Qingqing Wu, Xiang Zhang, Wanhong Yin and Tianyu Wu
Coatings 2026, 16(2), 166; https://doi.org/10.3390/coatings16020166 - 30 Jan 2026
Abstract
To address poor wear resistance of surface metal grids for optical windows and low efficiency and poor uniformity of traditional embedded technologies, this study fabricates ultra-wear-resistant embedded metal grids on 180 mm × 180 mm × 8 mm sapphire via photolithography and large-area [...] Read more.
To address poor wear resistance of surface metal grids for optical windows and low efficiency and poor uniformity of traditional embedded technologies, this study fabricates ultra-wear-resistant embedded metal grids on 180 mm × 180 mm × 8 mm sapphire via photolithography and large-area plasma etching. Etching grooves (depth about 300 nm) and depositing 135 nm silver (Ag) + 170 nm alumina (Al2O3) films, the grids exhibit transmittance 80.2%~80.9% (2~5 μm), wear resistance without damage, and reliable EMI shielding (Electromagnetic Interference Shielding) (3~18 GHz), offering a scalable solution for harsh-environment optoelectronic windows. The embedded structure integrates high transmittance, ultra-wear resistance, and reliable EMI shielding, addressing the core demands of optoelectronic windows in aerospace, outdoor monitoring, and other harsh environments where durability and stability are critical. The key innovation lies in the optimized integration of large-area plasma etching and low-temperature electron beam deposition, achieving precise control of groove depth uniformity (<4%) and transmittance uniformity (<1%) on high-hardness sapphire substrates, which overcomes the trade-off between efficiency and uniformity in traditional embedded technologies. Future applications include high-performance optical windows for airborne surveillance systems, space-borne optoelectronic devices, and harsh-environment industrial monitoring equipment, with potential extension to other high-hardness dielectric substrates. Full article
(This article belongs to the Special Issue Surface Modification Techniques Utilizing Plasma and Photonic Methods)
Show Figures

Figure 1

21 pages, 2057 KB  
Review
Main Parameters of Fixed-Bed Column Systems Using White-Rot Fungi (Pleurotus spp., Trametes versicolor) and Their Effect on the Removal of Micropollutants from Water: An Overview
by Attila Csaba Kondor, László Bauer, Anna Vancsik, Péter Szávai, Zoltán Szalai, Dániel Krüzselyi, Alexandra Pintye and Lili Szabó
Water 2026, 18(3), 334; https://doi.org/10.3390/w18030334 - 29 Jan 2026
Abstract
The use of white-rot fungi Pleurotus spp. and Trametes versicolor in continuous-flow fixed-bed systems has emerged as a promising and sustainable approach for the removal of different pollutants from aqueous media. This overview presents the most important design and operating parameters, the efficiency [...] Read more.
The use of white-rot fungi Pleurotus spp. and Trametes versicolor in continuous-flow fixed-bed systems has emerged as a promising and sustainable approach for the removal of different pollutants from aqueous media. This overview presents the most important design and operating parameters, the efficiency of fixed-bed systems using these fungi and their spent substrate, and the effect of operating parameters on changes in removal efficiency. After a literature screening based on the Scopus database, the overview focuses specifically on 55 studies that present the results of several hundred tests, meeting the criteria for continuous-flow fixed-bed systems, which include ensuring uninterrupted flow, constant adsorbent mass, and continuous interaction between the stationary and mobile phases. Results reported in the literature show the varying importance of biodegradation and biosorption processes in the removal of metals and organic pollutants (e.g., dyes, pharmaceuticals, pesticides, volatile compounds). The overview highlights the impact of operational parameters on removal efficiency, including bed depth, flow rate, type of polluted water, and initial concentration. It also determines that these fixed-bed systems using Pleurotus spp. and Trametes versicolor are primarily suitable for modelling the adsorption-based removal of given pollutants and the bioremediation of smaller amounts of municipal, industrial, or agricultural wastewater. Full article
Show Figures

Figure 1

20 pages, 1160 KB  
Review
Green-Synthesized Nanoparticles for Efficient Dye Degradation: Mechanisms, Applications, and Future Perspectives
by Xi Zheng, Xiang Li, Jiahui Deng, Yanhui Yuan, Xiaodong Jiang and Kun Xu
Catalysts 2026, 16(2), 125; https://doi.org/10.3390/catal16020125 - 29 Jan 2026
Abstract
The acceleration of industrialization in many countries, driven by increasing societal demands, has led to a substantial rise in dye consumption and associated environmental concerns. Dye wastewater constitutes a significant pollution source, with certain dyes exhibiting high toxicity and carcinogenicity, posing serious threats [...] Read more.
The acceleration of industrialization in many countries, driven by increasing societal demands, has led to a substantial rise in dye consumption and associated environmental concerns. Dye wastewater constitutes a significant pollution source, with certain dyes exhibiting high toxicity and carcinogenicity, posing serious threats to human health and ecosystem integrity. Current dye removal techniques face notable limitations: adsorption methods often entail high costs and restricted applicability, whereas biological treatments impose specific requirements on the physicochemical properties of wastewater. Nanoparticles, characterized by their distinct physical, chemical, and biological properties, offer promising alternatives due to their high surface-to-volume ratios, which render them effective as both catalysts and adsorbents. This review systematically categorizes the mechanisms of nanoparticle-mediated dye degradation into three primary pathways, with a specific focus on the application of green-synthesized metal nanoparticles within each category. It elucidates the fundamental reaction mechanisms of green synthesis and provides an in-depth analysis of how bioactive components regulate the final morphology, crystal structure, and surface properties of the resulting nanoparticles. Furthermore, strategies to enhance degradation efficiency are discussed, including nanoparticle modification, bimetallic doping, and immobilization on suitable substrates. The incorporation of magnetic properties, either through intrinsic design or by supporting nanoparticles on magnetic carriers, also improves recyclability and practical utility. These advances underscore the considerable potential of nanoparticles to address the challenges of dye pollution. Full article
(This article belongs to the Topic Green and Sustainable Catalytic Process)
Show Figures

Graphical abstract

19 pages, 34654 KB  
Article
Influence of Pd Coating Thickness and Pd Content in Sn-Based Solders on Interfacial IMC Formation and Microstructural Evolution in Solder/Ni Joints
by Chao-Hong Wang, Chu-An Li, Kuan-Ting Li and Hsuan-Wei Chiu
Materials 2026, 19(3), 526; https://doi.org/10.3390/ma19030526 - 28 Jan 2026
Viewed by 1
Abstract
Interfacial reactions between Sn-based solders and Au/Pd/Ni metallization were investigated at 260 °C, with particular emphasis on the effects of Pd and Sn thicknesses. Au/Pd/Ni substrates with Pd layers of approximately 70 nm, 200 nm, and 1 µm were reacted with Sn layers [...] Read more.
Interfacial reactions between Sn-based solders and Au/Pd/Ni metallization were investigated at 260 °C, with particular emphasis on the effects of Pd and Sn thicknesses. Au/Pd/Ni substrates with Pd layers of approximately 70 nm, 200 nm, and 1 µm were reacted with Sn layers of about 50, 20, and 10 µm. Additionally, Sn-Pd and Sn-3Ag-Pd solders containing 0.1–1 wt.% Pd were reacted with Ni substrates. In the Sn/Au/Pd/Ni reactions, rapid dissolution of the Pd layer and partial Ni dissolution at the early stage promoted the formation of large amounts of faceted (Pd,Ni)Sn4. With increasing reaction time, continuous Ni diffusion enriched the interfacial region, leading to the nucleation and growth of Ni3Sn4. Once the Ni solubility limit in (Pd,Ni)Sn4 was exceeded, this phase gradually transformed into the thermodynamically more stable Ni3Sn4. In addition to phase evolution, Pd was found to significantly influence the interfacial grain morphology. Minor Pd additions enhanced the Ni3Sn4 nucleation, resulting in refined and columnar grains. In the Sn-Pd/Ni reactions, low Pd contents led to the rapid replacement of (Pd,Ni)Sn4 by Ni3Sn4, whereas higher Pd contents significantly enhanced the stability and interfacial retention of (Pd,Ni)Sn4. These results reveal that increasing Pd thickness or Pd content in the solder significantly enhances the stability of (Pd,Ni)Sn4, whereas reducing Sn thickness markedly accelerates interfacial reactions and phase transformation. The experimental observations can be consistently interpreted using a local interfacial equilibrium hypothesis based on the Sn-Pd-Ni phase diagram. Full article
(This article belongs to the Section Metals and Alloys)
11 pages, 1126 KB  
Article
Raman Scattering Enhanced by Surface Plasmon Polaritons on Ag and Al Gratings
by Ivan Z. Indutnyi, Viktor I. Mynko, Volodymyr M. Dzhagan, Andrii A. Korchovyi, Nazar V. Mazur, Oleksandr M. Hreshchuk, Stanislav S. Serhiichuk, Volodymyr S. Yefanov and Volodymyr O. Yukhymchuk
Photonics 2026, 13(2), 120; https://doi.org/10.3390/photonics13020120 - 28 Jan 2026
Viewed by 39
Abstract
This paper describes the development and characterization of surface-enhanced Raman spectroscopy (SERS) substrates that employ the excitation of surface plasmon polaritons (SPPs) on periodic metal diffraction gratings to amplify the Raman signal of an analyte. The gratings were fabricated via interference photolithography on [...] Read more.
This paper describes the development and characterization of surface-enhanced Raman spectroscopy (SERS) substrates that employ the excitation of surface plasmon polaritons (SPPs) on periodic metal diffraction gratings to amplify the Raman signal of an analyte. The gratings were fabricated via interference photolithography on As40S40Se20 thin films. The resulting surface relief was subsequently coated with either aluminium (Al gratings) or aluminium followed by silver (Ag gratings). The ratio of the relief depth to the grating period (h/a) was optimized to maximize SPP excitation efficiency. For both types of gratings, a strong angular dependence of the Raman scattering intensity of the analyte molecule (Rhodamine 6G) was observed, which anticorrelates with the angular dependence of the specularly reflected light intensity. The enhancement factor is 2 × 102 for the aluminium grating and 1 × 103 for the silver grating. This finding suggests that aluminium-based SERS substrates may serve as a cost-effective alternative to those coated with noble metals. Although the overall amplification is significantly lower than that achieved by SERS substrates based on localized surface plasmon (LSP) excitation, the grating-based SPP substrates offer a crucial advantage for quantitative measurements due to their uniform enhancement across the entire substrate area. Full article
(This article belongs to the Special Issue Advances in Raman Spectroscopy)
Show Figures

Figure 1

26 pages, 5622 KB  
Article
Phase-Controlled Bidirectional Circularly Polarized Dual 4-Port SIW MIMO Antenna with Enhanced Isolation for Sub-6 GHz Vehicular Communications
by Kamepalli Dharani, M. Sujatha, Samineni Peddakrishna and Jayendra Kumar
Electronics 2026, 15(3), 539; https://doi.org/10.3390/electronics15030539 - 27 Jan 2026
Viewed by 87
Abstract
This paper presents a dual four-port circularly polarized (CP) MIMO antenna based on substrate integrated waveguide (SIW) technology for sub-6 GHz applications. The design consists of two identical four-port SIW-based CP-MIMO antennas arranged in a mirror-symmetric configuration with an air gap of 15 [...] Read more.
This paper presents a dual four-port circularly polarized (CP) MIMO antenna based on substrate integrated waveguide (SIW) technology for sub-6 GHz applications. The design consists of two identical four-port SIW-based CP-MIMO antennas arranged in a mirror-symmetric configuration with an air gap of 15 mm. Each antenna employs four symmetrically arranged cross-shaped SIW patches excited by coaxial probes. Bidirectional radiation is achieved by applying a 180° phase difference between corresponding ports of the mirror symmetric configuration, referred to as the Backward-Radiating Unit (BRU) and the Forward-Radiating Unit (FRU). The bidirectional radiation mechanism is supported by array-factor-based theoretical modelling, which explains the constructive and destructive interference under phase-controlled excitation. To ensure high isolation and stable polarization performance, the antenna design incorporates defected ground structures, inter-element decoupling strips, and vertical metallic vias. Simulations indicate an operating band from 5.1 to 5.4 GHz. Measurements show a −10 dB bandwidth from 5.25 to 5.55 GHz, with the frequency shift attributed to fabrication tolerances and measurement uncertainties. The antenna achieves inter-port isolation better than −15 dB. A 3 dB axial-ratio bandwidth is maintained across the operating band. Measured axial-ratio values remain below 3 dB from 5.25 to 5.55 GHz, while simulations predict a corresponding range from 5.1 to 5.4 GHz. The proposed configuration achieves a peak gain exceeding 4 dBi and maintains an envelope correlation coefficient below 0.05. These results confirm its suitability for CP-MIMO systems with controlled spatial coverage. With a physical size of 0.733λ0 × 0.733λ0 per array, the proposed antenna is well-suited for vehicular and space-constrained wireless systems requiring bidirectional CP-MIMO coverage. Full article
(This article belongs to the Section Microwave and Wireless Communications)
Show Figures

Figure 1

12 pages, 5152 KB  
Article
An Initiator-Free Electrochemical Approach to Radical Thiol–Ene Coupling in a Microfluidic Reactor
by Kakeru Yamamoto and Kenta Arai
Molecules 2026, 31(3), 429; https://doi.org/10.3390/molecules31030429 - 26 Jan 2026
Viewed by 162
Abstract
The anti-Markovnikov addition of thiyl radicals, generated via one-electron oxidation of thiols, to C=C double bonds is a useful method for synthesizing unsymmetrical sulfides and has been widely applied in the preparation of pharmaceuticals and functional materials. However, conventional radical thiol–ene reactions require [...] Read more.
The anti-Markovnikov addition of thiyl radicals, generated via one-electron oxidation of thiols, to C=C double bonds is a useful method for synthesizing unsymmetrical sulfides and has been widely applied in the preparation of pharmaceuticals and functional materials. However, conventional radical thiol–ene reactions require metal-based photoinitiators or organic photosensitizers, raising concerns about product isolation and environmental impact. Herein, we demonstrate an initiator-free thiol–ene coupling via electrochemical oxidation of thiols. Using a microfluidic electrochemical reactor, the electrochemically generated thiyl radicals undergo rapid and selective addition to alkenes, affording thioethers in reasonable yields. Substrate scope studies involving 13 alkenes and 13 thiols indicate that thiol acidity (pKa), alkene electronic properties, and steric effects play key roles in determining reaction efficiency. Although further optimization is required to improve yields and broaden substrate scope, this electrochemical approach highlights the potential of thiol–ene coupling as a sustainable tool in green synthetic chemistry. Full article
(This article belongs to the Special Issue Recent Advances in Organochalcogen Chemistry)
Show Figures

Figure 1

20 pages, 7856 KB  
Article
Single-Die-Level MEMS Post-Processing for Prototyping CMOS-Based Neural Probes Combined with Optical Fibers for Optogenetic Neuromodulation
by Gabor Orban, Alberto Perna, Matteo Vincenzi, Raffaele Adamo, Gian Nicola Angotzi, Luca Berdondini and João Filipe Ribeiro
Micromachines 2026, 17(2), 159; https://doi.org/10.3390/mi17020159 - 26 Jan 2026
Viewed by 111
Abstract
The integration of complementary metal–oxide–semiconductor (CMOS) and micro-electromechanical systems (MEMSs) technologies for miniaturized biosensor fabrication enables unprecedented spatiotemporal resolution in monitoring the bioelectrical activity of the nervous system. Wafer-level CMOS technology incurs high costs, but multi-project wafer (MPW) runs mitigate this by allowing [...] Read more.
The integration of complementary metal–oxide–semiconductor (CMOS) and micro-electromechanical systems (MEMSs) technologies for miniaturized biosensor fabrication enables unprecedented spatiotemporal resolution in monitoring the bioelectrical activity of the nervous system. Wafer-level CMOS technology incurs high costs, but multi-project wafer (MPW) runs mitigate this by allowing multiple users to share a single wafer. Still, monolithic CMOS biosensors require specialized surface materials or device geometries incompatible with standard CMOS processes. Performing MEMS post-processing on the few square millimeters available in MPW dies remains a significant challenge. In this paper, we present a MEMS post-processing workflow tailored for CMOS dies that supports both surface material modification and layout shaping for intracortical biosensing applications. To address lithographic limitations on small substrates, we optimized spray-coating photolithography methods that suppress edge effects and enable reliable patterning and lift-off of diverse materials. We fabricated a needle-like, 512-channel simultaneous neural recording active pixel sensor (SiNAPS) technology based neural probe designed for integration with optical fibers for optogenetic studies. To mitigate photoelectric effects induced by light stimulation, we incorporated a photoelectric shield through simple modifications to the photolithography mask. Optical bench testing demonstrated >96% light-shielding effectiveness at 3 mW of light power applied directly to the probe electrodes. In vivo experiments confirmed the probe’s capability for high-resolution electrophysiological measurements. Full article
(This article belongs to the Special Issue CMOS-MEMS Fabrication Technologies and Devices, 2nd Edition)
20 pages, 4351 KB  
Article
A Conductive, Photothermal and Antioxidant ε-Poly-L-Lysine/Carbon Nanotube Hydrogel as a Candidate Dressing for Chronic Diabetic Wounds
by Jinqiang Zhu, Wenjun Qin, Bo Wu, Haining Li, Cui Cheng, Xiao Han and Xiwen Jiang
Polymers 2026, 18(3), 332; https://doi.org/10.3390/polym18030332 - 26 Jan 2026
Viewed by 169
Abstract
Background: Chronic diabetic wounds, particularly diabetic foot ulcers (DFUs), are prone to recurrent infection and delayed healing, resulting in substantial morbidity, mortality, and economic burden. Multifunctional wound dressings that combine antibacterial, antioxidant, conductive, and self-healing properties may help to address the complex microenvironment [...] Read more.
Background: Chronic diabetic wounds, particularly diabetic foot ulcers (DFUs), are prone to recurrent infection and delayed healing, resulting in substantial morbidity, mortality, and economic burden. Multifunctional wound dressings that combine antibacterial, antioxidant, conductive, and self-healing properties may help to address the complex microenvironment of chronic diabetic wounds. Methods: In this study, ε-poly-L-lysine and amino-terminated polyethylene glycol were grafted onto carboxylated single-walled carbon nanotubes (SWCNTs) via amide coupling to obtain ε-PL-CNT-PEG. Aminated chondroitin sulfate (CS-ADH) and a catechol–metal coordination complex of protocatechualdehyde and Fe3+ (PA@Fe) were then used to construct a dynamic covalently cross-linked hydrogel network through Schiff-base chemistry. The obtained hydrogels (Gel0–3, Gel4) were characterized for photothermal performance, rheological behavior, microstructure, swelling/degradation, adhesiveness, antioxidant capacity, electrical conductivity, cytocompatibility, hemocompatibility, and antibacterial activity in the presence and absence of near-infrared (NIR, 808 nm) irradiation. Results: ε-PL-CNT-PEG showed good aqueous dispersibility, NIR-induced photothermal conversion, and improved cytocompatibility after surface modification. Incorporation of ε-PL-CNT-PEG into the PA@Fe/CS-ADH network yielded conductive hydrogels with porous microstructures and storage modulus (G′) higher than loss modulus (G′′) over the tested frequency range, indicating stable gel-like behavior. The hydrogels exhibited self-healing under alternating strain and macroscopic rejoining after cutting. Swelling and degradation studies demonstrated pH-dependent degradation, with faster degradation in mildly acidic conditions (pH 5.0), mimicking infected chronic diabetic wounds. The hydrogels adhered to diverse substrates and tolerated joint movements. Gel4 showed notable DPPH• and H2O2 scavenging (≈65% and ≈60%, respectively, within several hours). The electrical conductivity was 0.19 ± 0.0X mS/cm for Gel0–3 and 0.21 ± 0.0Y mS/cm for Gel4 (mean ± SD, n = 3), falling within the range reported for human skin. In vitro, NIH3T3 cells maintained >90% viability in the presence of hydrogel extracts, and hemolysis ratios remained below 5%. Hydrogels containing ε-PL-CNT-PEG displayed enhanced antibacterial effects against Escherichia coli and Staphylococcus aureus, and NIR irradiation further reduced bacterial survival, with some formulations achieving near-complete inhibition under low-power (0.2–0.3 W/cm2) 808 nm irradiation. Conclusions: A dynamic, conductive hydrogel based on PA@Fe, CS-ADH, and ε-PL-CNT-PEG was successfully developed. The hydrogel combines photothermal antibacterial activity, antioxidant capacity, electrical conductivity, self-healing behavior, adhesiveness, cytocompatibility, and hemocompatibility. These properties suggest potential for application as a wound dressing for chronic diabetic wounds, including diabetic foot ulcers, although further in vivo studies are required to validate therapeutic efficacy. Full article
(This article belongs to the Section Polymer Networks and Gels)
16 pages, 2987 KB  
Article
Sustainable Graphene Electromagnetic Shielding Paper: Preparation and Applications in Packaging and Functional Design
by Chaohua Chen, Qingyuan Shi, Wei Chen and Yongjian Huai
Sustainability 2026, 18(3), 1219; https://doi.org/10.3390/su18031219 - 26 Jan 2026
Viewed by 108
Abstract
Electromagnetic interference (EMI) shielding materials are essential for ensuring the reliable operation of electronic devices and safeguarding human health, yet conventional metal-polymer materials are non-biodegradable, energy-intensive, and difficult to recycle. This study prepared a biodegradable paper-based shielding material; renewable cellulose filter paper was [...] Read more.
Electromagnetic interference (EMI) shielding materials are essential for ensuring the reliable operation of electronic devices and safeguarding human health, yet conventional metal-polymer materials are non-biodegradable, energy-intensive, and difficult to recycle. This study prepared a biodegradable paper-based shielding material; renewable cellulose filter paper was employed as the sole substrate, and graphene was integrated to construct an electromagnetic shielding network. A low-cost paper-based electromagnetic shielding preparation method was developed, and the performance of the material was analyzed in electromagnetic shielding applications. Samples were fabricated through a simple impregnation-evaporation-lamination process. It has a thickness of 1 mm for single layers and a maximum conductivity of 21.3 S/m. The influence of sample thickness on electromagnetic shielding in the X-band (8.2–12.4 GHz) was investigated, when the graphene filter cake loading reached 20 wt%, the SET values for triple-layer electromagnetic shielding papers reach 36 dB at 8.2 GHz and 33 dB at 12.4 GHz. A phone box for indoor environments and a card holder with anti-radio-frequency identification (RFID) functionality were designed. Furthermore, achievable design solutions for an EMI shielding wallpaper in medical and artistic installations were proposed. Full article
Show Figures

Figure 1

12 pages, 7999 KB  
Article
A Transition Structure from Stripline to Substrate-Integrated Waveguide Based on LTCC
by Lu Teng, You Zhou, Ting Zhang, Zhongjun Yu and Shunli Han
Micromachines 2026, 17(2), 155; https://doi.org/10.3390/mi17020155 - 26 Jan 2026
Viewed by 144
Abstract
With the advancement of wireless communication technologies into high-frequency millimeter wave and sub-THz bands, conventional transmission lines such as microstrip and stripline face significant limitations. Under the circumstances, along with the increased application of new transmission lines such as substrate-integrated waveguides (SIWs), the [...] Read more.
With the advancement of wireless communication technologies into high-frequency millimeter wave and sub-THz bands, conventional transmission lines such as microstrip and stripline face significant limitations. Under the circumstances, along with the increased application of new transmission lines such as substrate-integrated waveguides (SIWs), the design of transition structures between different transmission lines has become a practical requirement in modern signal transmission systems. This paper presents a novel stripline to SIW transition structure. Drawing inspiration from the classical microstrip probe techniques in metal waveguides, the proposed design employs Low-Temperature Co-fired Ceramic (LTCC) technology for both device fabrication and SIW implementation. The developed structure demonstrates a stable performance, structural simplicity, and manufacturing feasibility. Through fabrication and testing, the transition structure can achieve a return loss below −10 dB across the 89–100 GHz frequency range, with an insertion loss of approximately 0.75 dB. Full article
(This article belongs to the Special Issue Microwave Passive Components, 3rd Edition)
Show Figures

Figure 1

14 pages, 21879 KB  
Article
Comparison of Different Numbers of White Base Coat Layers on Metallized Cardboard for Obtaining High Print Quality After Rubbing
by Dino Priselac, Maja Rudolf, Ivana Plazonić and Irena Bates
Coatings 2026, 16(2), 158; https://doi.org/10.3390/coatings16020158 - 25 Jan 2026
Viewed by 171
Abstract
Metallized papers or cardboards, used when high barrier properties are required in packaging, are usually coated with white ink prior to printing to ensure accurate colors and high print quality. The coating provides well-controlled sorption properties at a certain thickness, allowing for better [...] Read more.
Metallized papers or cardboards, used when high barrier properties are required in packaging, are usually coated with white ink prior to printing to ensure accurate colors and high print quality. The coating provides well-controlled sorption properties at a certain thickness, allowing for better printability and reduced penetration of ink components into the substrate. The white ink used for coating ensures the dimensional stability of the substrate after the drying process is complete. This research compares how different numbers of white base coat layers affect the print quality of multicolor offset prints onto metallized cardboard after rubbing. A high print quality assessment after rubbing was obtained based on spectrophotometric and gloss measurements. A comparison of the number of white base coat layers on metallized cardboard indicated that multicolor prints with two base coat layers have lower reflectance, better color stability, and high print quality after rubbing. Gloss measurements showed that prints with one layer of white base coat exhibited higher gloss values, while rubbing led to a moderate increase in gloss for all samples. Ultimately, a thicker layer of white base coat enhances mechanical resistance while maintaining acceptable optical properties in multicolor prints on metallized cardboards. Full article
(This article belongs to the Section Environmental Aspects in Colloid and Interface Science)
Show Figures

Figure 1

27 pages, 6028 KB  
Article
A Comparative Study and Introduction of a New Heat Source Model for the Macro-Scale Numerical Simulation of Selective Laser Melting Technology
by Hao Zhang, Shuai Wang, Junjie Wang and Zhiqiang Yan
Materials 2026, 19(3), 480; https://doi.org/10.3390/ma19030480 - 25 Jan 2026
Viewed by 236
Abstract
Selective Laser Melting (SLM), as a common metal additive manufacturing (AM) technology, achieves high-precision complex part formation by layer-by-layer melting of metal powder using a laser. However, the dynamic behavior of the melt pool during the SLM process is influenced by the heat [...] Read more.
Selective Laser Melting (SLM), as a common metal additive manufacturing (AM) technology, achieves high-precision complex part formation by layer-by-layer melting of metal powder using a laser. However, the dynamic behavior of the melt pool during the SLM process is influenced by the heat source model, which is crucial for suppressing porosity defects and optimizing process parameters, directly determining the reliability of numerical simulations. To address the issue of traditional surface heat source models overestimating the melt pool width and volume heat source models underestimating the melt pool depth, this study constructs a three-dimensional transient heat conduction finite element model based on ANSYS Parametric Design Language (APDL) to simulate the evolution of the temperature field and melt pool geometry under different laser parameters. First, the temperature fields and melt pool morphology and dimensions of four heat source models—Gaussian surface heat source, volumetric heat source models (rotating Gaussian volumetric heat source, double ellipsoid heat source), and a combined heat source model—were investigated. Subsequently, a dynamic heat source model was proposed, combining a Gaussian surface heat source with a rotating volumetric heat source. By dynamically allocating the laser energy absorption ratio between the powder surface layer and the substrate depth, the influence of this heat source model on melt pool size was explored and compared with other heat source models. The results show that under the dynamic heat source, the melt pool width and depth are 128.6 μm and 63.13 μm, respectively. The melt pool width is significantly larger compared to other heat source models, and the melt pool depth is about 17% greater than that of the combined heat source model. At the same time, the predicted melt pool width and depth under this heat source model have relative errors of 1.0% and 5.5% compared to the experimental measurements, indicating that this heat source model has high accuracy in predicting the melt pool’s lateral dimensions and can effectively reflect the actual melt pool morphology during processing. Full article
(This article belongs to the Section Materials Simulation and Design)
Show Figures

Figure 1

Back to TopTop