Sign in to use this feature.

Years

Between: -

Subjects

remove_circle_outline
remove_circle_outline
remove_circle_outline
remove_circle_outline
remove_circle_outline
remove_circle_outline
remove_circle_outline
remove_circle_outline
remove_circle_outline

Journals

remove_circle_outline
remove_circle_outline
remove_circle_outline
remove_circle_outline
remove_circle_outline
remove_circle_outline
remove_circle_outline
remove_circle_outline
remove_circle_outline
remove_circle_outline
remove_circle_outline
remove_circle_outline
remove_circle_outline
remove_circle_outline
remove_circle_outline
remove_circle_outline
remove_circle_outline

Article Types

Countries / Regions

remove_circle_outline
remove_circle_outline
remove_circle_outline
remove_circle_outline
remove_circle_outline
remove_circle_outline
remove_circle_outline

Search Results (3,168)

Search Parameters:
Keywords = mechanical and durability properties

Order results
Result details
Results per page
Select all
Export citation of selected articles as:
19 pages, 1236 KB  
Article
Enhancing Frost Durability of Cement-Stabilized Silty Clay: Experimental Evaluation and Prediction Model Development
by Yu Zhang, Lingjie Li and Bangyan Hu
Buildings 2026, 16(3), 484; https://doi.org/10.3390/buildings16030484 - 23 Jan 2026
Abstract
Ensuring the long-term performance of infrastructure in cold regions necessitates evaluating the frost durability of subgrade materials. This study comprehensively investigates the mechanical behavior of cement-stabilized silty clay, a common material for subgrade improvement, under freeze–thaw (F–T) cycles. A series of unconfined compressive [...] Read more.
Ensuring the long-term performance of infrastructure in cold regions necessitates evaluating the frost durability of subgrade materials. This study comprehensively investigates the mechanical behavior of cement-stabilized silty clay, a common material for subgrade improvement, under freeze–thaw (F–T) cycles. A series of unconfined compressive strength (UCS) and resilient modulus (MR) tests were conducted to quantify the effects of cement content (3%, 6%, 9%), initial moisture content (OMC − 2% to OMC + 6%), and the number of F–T cycles (0 to 9). The results demonstrate that increasing the cement content significantly enhances the MR, with the most effective improvement observed up to 6%. Specifically, increasing cement from 3% to 6% boosted MR by 11.62% to 26.69%, while a further increase to 9% yielded a smaller gain of 4.59% to 12.60%, indicating an optimal content. Both UCS and MR peak at the optimum moisture content (OMC) and degrade markedly with F–T cycles, with the first cycle causing over 50% of the total MR loss in most cases. Properties tend to stabilize after approximately six cycles. The stabilized soil exhibits superior performance, with its MR being 2.29–2.43 times that of the original soil at OMC after nine F–T cycles. Furthermore, a logarithmic model (R2 = 0.87–0.94) effectively captures the attenuation of MR with F–T cycles, while a strong linear relationship (R2 = 0.90–0.96) exists between the initial moisture content and the degradation coefficient. An empirical predictive model for UCS, integrating cement content, moisture content, and F–T cycles, is proposed and shows excellent correlation with experimental data (R2 > 0.92). Microstructural analysis reveals that the enhancement mechanism is attributed to hydration, cation exchange, and flocculation, which collectively form a stable cementitious network. The findings and proposed models provide critical quantitative insights for optimizing the design of frost-resistant cement-stabilized subgrades, thereby contributing to the enhanced durability and performance of overlying structures in seasonal freeze–thaw environments. Full article
(This article belongs to the Special Issue Foundation Treatment and Building Structural Performance Enhancement)
28 pages, 3981 KB  
Article
Influence of Addition of Recycled Concrete Aggregate on Physico-Mechanical Properties and Microstructure of Mortar
by Gabriela Rutkowska, Barbara Francke, Filip Chyliński, Mariusz Żółtowski, Adam Baryłka and Paulina Matyjasek
Buildings 2026, 16(3), 466; https://doi.org/10.3390/buildings16030466 - 23 Jan 2026
Abstract
The progressive depletion of natural aggregate resources and the increasing emphasis on sustainable construction practices have intensified interest in incorporating recycled concrete aggregate (RCA) into cement-based materials. This study provides a comprehensive evaluation of the influence of partially replacing natural fine aggregate with [...] Read more.
The progressive depletion of natural aggregate resources and the increasing emphasis on sustainable construction practices have intensified interest in incorporating recycled concrete aggregate (RCA) into cement-based materials. This study provides a comprehensive evaluation of the influence of partially replacing natural fine aggregate with fine RCA on the physical, mechanical, and durability properties, as well as the microstructure, of cement mortars. Mortar mixtures containing 25%, 50%, 75%, and 100% RCA were tested and compared with a reference mix MC. The experimental program included measurements of bulk density, compressive and flexural strength, water absorption, and freeze–thaw resistance. Additionally, microstructural observations were performed to assess the effect of RCA on the internal structure of matured mortars. The results demonstrated that the intrinsic characteristics of RCA—particularly its higher water absorption and lower density—significantly affected the pore structure and mechanical behavior of the cement mortars. Mortars with RCA exhibited enhanced early-age compressive and flexural strength, especially at substitution levels of 50–100%, attributed to the activation of residual cement paste adhering to the recycled particles. However, increased porosity and water absorption in RCA-based mixes led to a higher sensitivity to freeze–thaw cycles compared with the reference mix. Overall, the findings indicate that incorporating fine RCA up to 50% enables the production of mortars with performance comparable to conventional mixtures under non-freezing conditions, while, under freeze–thaw exposure, comparable performance is achieved at replacement levels up to 25%, contributing to improved resource efficiency and reduced environmental impact. This study confirms the viability of fine RCA in cement mortars, emphasizing the importance of controlling pore structure development to maintain long-term durability. Additionally, it demonstrates that the use of recycled concrete aggregates provides a sustainable alternative to natural sand in mortar production. Full article
(This article belongs to the Section Building Materials, and Repair & Renovation)
32 pages, 5825 KB  
Review
Research Progress and the Prospect of Artificial Reef Preparation and Its Impact on the Marine Ecological Environment
by Hao-Tian Li, Ya-Jun Wang, Jian-Bao Zhang, Peng Yu, Yi-Tong Wang, Jun-Guo Li, Shu-Hao Zhang, Zi-Han Tang and Jie Yang
Materials 2026, 19(3), 447; https://doi.org/10.3390/ma19030447 - 23 Jan 2026
Abstract
Artificial reefs are an important tool for marine ecological restoration and fishery resource proliferation, and are widely used around the world. Among them, Japan, the United States, China, South Korea, Australia, and the Mediterranean coastal countries have particularly invested in scientific research and [...] Read more.
Artificial reefs are an important tool for marine ecological restoration and fishery resource proliferation, and are widely used around the world. Among them, Japan, the United States, China, South Korea, Australia, and the Mediterranean coastal countries have particularly invested in scientific research and practice in this field, and the reefs’ material selection, structural performance, and ecological benefits have attracted much attention. The purpose of this paper is to summarize the preparation methods, characterization methods (such as microstructure analysis and mechanical tests) and mechanical properties (such as compressive strength and durability) of new concrete materials (steel slag-blast furnace slag concrete, oyster shell concrete, sulfoaluminate cement concrete, recycled brick concrete, silica fume concrete, and banana peel filler concrete) that artificial reefs and ceramic artificial reefs developed in recent years, and to explore the resource utilization potential of different waste materials. At the same time, the biostatistical methods (such as species abundance and community diversity) of wood, shipwreck, steel, rock, waste tire, and ordinary concrete artificial reefs and their effects on the marine environment were compared and analyzed. In addition, the potential impact of artificial reef deployment on local fishermen’s income was also assessed. It is found that the use of steel slag, blast furnace slag, sulfoaluminate cement, and silica fume instead of traditional Portland cement can better improve the mechanical properties of concrete artificial reefs (compressive strength can be increased by up to 20%) and reduce the surface pH to neutral, which is more conducive to the adhesion and growth of marine organisms. The compressive strength of oyster shell concrete and banana peel filler concrete artificial reef is not as good as that of traditional Portland cement concrete artificial reef, but it still avoids the waste of a large amount of solid waste resources, provides necessary nutritional support for aquatic organisms, and also improves its chemical erosion resistance. The deployment of artificial reefs of timber, wrecks, steel, rock, waste tires, and ordinary concrete has significantly increased the species richness and biomass in the adjacent waters and effectively promoted the development of fisheries. Cases show that artificial reefs can significantly increase fishermen’s income (such as an increase of about EUR 13 in the value of a unit effort in a certain area), but the long-term benefits depend on effective supervision and community co-management mechanisms. This paper provides a scientific basis for the research and development of artificial reef materials and the optimization of ecological benefits, and promotes the sustainable development of marine ecological restoration technology and fishery economy. Full article
(This article belongs to the Section Green Materials)
Show Figures

Graphical abstract

21 pages, 4156 KB  
Article
Influence of Cement Type on the Performance and Durability of Cement Paste and Concrete with Wastewater
by Eirini-Chrysanthi Tsardaka, Eleftherios K. Anastasiou, Aikaterina Karanafti, Juan Antonio Ferriz-Papi, Jan Valentin and Theodoros Theodosiou
Materials 2026, 19(2), 435; https://doi.org/10.3390/ma19020435 - 22 Jan 2026
Abstract
Recycling wastewater from washing concrete trucks in concrete production addresses both economic and sustainability needs. In the present article, wastewater from washing concrete trucks was added to cement pastes made with two different types of cement for comparison. OPC type CEM I 42.5 [...] Read more.
Recycling wastewater from washing concrete trucks in concrete production addresses both economic and sustainability needs. In the present article, wastewater from washing concrete trucks was added to cement pastes made with two different types of cement for comparison. OPC type CEM I 42.5 was compared to pozzolanic cement type CEM IV/B (P-W) 32.5 in terms of hydration behavior and compressive strength development. The hydration of ordinary Portland cement (CEM I 42.5) was accelerated, while the hydration of pozzolanic cement (CEM IV 32.5) showed a relatively lower total normalized heat. Cement pastes were produced from both cement types, and compressive strength, thermal analysis, and setting time tests were performed for their characterization. The early-age kinetics and compressive strength development of CEM I 42.5 pastes indicate that hydration with wastewater leads to a slight increase in compressive strength. Test concrete prepared with pozzolanic cement (CEM IV 32.5) exhibited increased capillary voids, which contributed to less favorable mechanical and durability performance. Compared to the reference concrete, compressive strength was reduced by 7% at 28 days. Wastewater utilization increased the initial absorption rate by approximately 20%, but the calculated chloride content at the exposed concrete surface decreased after the addition of wastewater compared to the control mix. The carbonation depth of concrete with wastewater increased by 1–2 mm, with an uneven penetration zone, but the compressive strength after carbonation increased. Overall, the type of cement used appears to significantly influence the performance of concrete prepared with wastewater. For wastewater collected from sedimentation tanks, replacing fresh water at a 100% rate and using it with pozzolanic cement to produce concrete, it seems that the mechanical properties and durability are only slightly affected. Full article
Show Figures

Graphical abstract

17 pages, 2501 KB  
Article
Mechanical and Carbonation Performance of Alkali-Activated Mortars Incorporating GGBS and Recycled Construction Spoil
by Kai Wang, Yu Lei and Xiaoxiong Zha
Buildings 2026, 16(2), 453; https://doi.org/10.3390/buildings16020453 - 21 Jan 2026
Viewed by 41
Abstract
This study evaluates the mechanical properties and carbonation resistance of alkali-activated mortars (AAMs) formulated with ground granulated blast-furnace slag (GGBS) and recycled construction spoil (CS). The experimental variables included the water-to-solid ratio, alkali content, activator type (NaOH vs. Na2SiO3), [...] Read more.
This study evaluates the mechanical properties and carbonation resistance of alkali-activated mortars (AAMs) formulated with ground granulated blast-furnace slag (GGBS) and recycled construction spoil (CS). The experimental variables included the water-to-solid ratio, alkali content, activator type (NaOH vs. Na2SiO3), and GGBS/CS mass ratio. The effects of these parameters on workability, flexural strength, and compressive strength were analyzed, along with the influence of accelerated carbonation curing. Results indicate that CS incorporation reduces flowability, with NaOH-activated mortars displaying marginally better workability than the Na2SiO3-activated counterparts. At an alkali content of 6.5% and a water-to-solid ratio of 0.45–0.5, a 30% CS replacement significantly improved the 7-day flexural strength in Na2SiO3-activated systems. Compressive strength generally increased with higher alkali content, though this effect diminished at elevated CS substitution levels. Under supercritical carbonation, NaOH-activated GGBS exhibited a ~20% strength increase, whereas Na2SiO3-activated GGBS showed negligible change or a slight reduction. Blends containing 50% CS demonstrated minimal carbonation-induced alterations. These findings provide insights into optimizing industrial byproduct utilization in AAMs while improving their carbonation durability, supporting sustainable construction material development. Full article
(This article belongs to the Special Issue The Greening of the Reinforced Concrete Industry)
Show Figures

Figure 1

25 pages, 2841 KB  
Article
Mechanistic Insights into Asphalt Natural Aging: Microstructural and Micromechanical Transformations Under Diverse Climates
by Shanglin Song, Xiaoyan Ma, Xiaoming Kou, Lanting Feng, Yatong Cao, Fukui Zhang, Haihong Zhang and Huiying Zhang
Coatings 2026, 16(1), 140; https://doi.org/10.3390/coatings16010140 - 21 Jan 2026
Viewed by 42
Abstract
Understanding mechanisms of asphalt in the process of natural aging is crucial for predicting its long-term durability and optimizing performance under diverse environmental conditions. Despite its importance, the microstructural and micromechanical changes induced by natural aging remain poorly understood, particularly under varying climatic [...] Read more.
Understanding mechanisms of asphalt in the process of natural aging is crucial for predicting its long-term durability and optimizing performance under diverse environmental conditions. Despite its importance, the microstructural and micromechanical changes induced by natural aging remain poorly understood, particularly under varying climatic influences. This study addresses this gap by analyzing the effects of natural aging on asphalt’s microscopic properties and identifying key indicators that govern its degradation. Asphalt samples were subjected to natural aging across five climatically distinct regions over 6, 12, and 18 months. Atomic force microscopy (AFM) was employed to characterize surface roughness, adhesion forces, and DMT modulus, while correlation analysis and principal component analysis (PCA) were used to identify relationships among micromechanical indicators and streamline the dataset. The results reveal that natural aging induces irreversible transformations in asphalt’s microstructure, driven by the combined effects of temperature, UV radiation, humidity, and oxygen. These processes promote the evolution of “Bee structures,” increase surface roughness, and accelerate phase separation, alongside chemical modifications such as oxidation and polymerization, leading to progressive material hardening and stiffness. Significant regional and temporal variations in adhesion forces and DMT modulus were observed, reflecting the cumulative impact of environmental factors on asphalt’s aging dynamics. Correlation analysis demonstrated strong associations between surface roughness and “Bee structure” area, while mechanical properties such as stiffness and adhesion were largely decoupled from morphological features. Environmental factors interact in complex ways to drive asphalt aging. Humidity enhances adhesion and stiffness via water-induced capillary forces, while temperature reduces surface roughness and adhesion through molecular reorganization. UV radiation accelerates oxidative degradation, promoting surface erosion and stiffness loss, while altitude modulates these dynamics by influencing temperature and UV exposure. Full article
(This article belongs to the Special Issue Advances in Asphalt and Concrete Coatings)
Show Figures

Figure 1

17 pages, 2503 KB  
Article
Effect of Resin Type, Layer Thickness, and Printing Orientation on the Mechanical and Surface Properties of 3D-Printed Occlusal Splints
by Beyza Tandogan, Faruk Emir and Gulsum Ceylan
Polymers 2026, 18(2), 290; https://doi.org/10.3390/polym18020290 - 21 Jan 2026
Viewed by 63
Abstract
This in vitro study aimed to evaluate the effects of resin type, layer thickness, and printing orientation on the surface and mechanical properties of 3D-printed occlusal splints fabricated using digital light processing (DLP) technology. Three commercially available splint resins (KeySplint Hard, Freeprint Splint [...] Read more.
This in vitro study aimed to evaluate the effects of resin type, layer thickness, and printing orientation on the surface and mechanical properties of 3D-printed occlusal splints fabricated using digital light processing (DLP) technology. Three commercially available splint resins (KeySplint Hard, Freeprint Splint 2.0, and V-Print Splint) were used to fabricate 180 rectangular specimens with two-layer thicknesses (50 µm and 100 µm) and three printing orientations (0°, 45°, 90°). Surface roughness (Ra, Rz), gloss, microhardness, flexural strength, and elastic modulus were measured. Statistical analysis was performed using robust ANOVA with Bonferroni correction. Resin type and printing orientation significantly influenced all surface and mechanical properties (p < 0.001), while layer thickness had a limited effect. Keystone resin exhibited the smoothest surface and highest gloss, whereas Freeprint resin showed the highest microhardness and elastic modulus. Printing at 45° generally enhanced flexural strength and provided more balanced mechanical performance. SEM analysis confirmed that surface morphology varied with orientation, correlating with profilometric and gloss measurements. Resin composition and printing orientation are critical determinants of the mechanical and surface performance of 3D-printed occlusal splints. Optimizing these parameters can improve durability, esthetics, and clinical functionality. All tested materials achieved clinically acceptable surface smoothness, supporting their suitability for intraoral use. Full article
(This article belongs to the Special Issue Polymers for Dental, Oral, and Craniofacial Applications)
Show Figures

Figure 1

31 pages, 9516 KB  
Article
Optimization of Hydrothermal and Oleothermal Treatments for the Resistance of Dabema (Piptadeniastrum africanum (Hook.f.) Brenan) Wood
by John Nwoanjia, Jean Jalin Eyinga Biwôlé, Joseph Zobo Mfomo, Joel Narcisse Bebga, Desmond Mufor Zy, Junior Maimou Nganko, Yvane S. Nké Ayinda, Pierre-Marie Tefack, Antonio Pizzi, Ioanna A. Papadopoulou, Salomé Ndjakomo Essiane, Antonios N. Papadopoulos and Achille Bernard Biwolé
Forests 2026, 17(1), 138; https://doi.org/10.3390/f17010138 - 21 Jan 2026
Viewed by 190
Abstract
This study evaluates the effects of hydrothermal and oleothermal treatments on the physical, colorimetric, and mechanical properties of Dabema wood. Samples were heated at 100, 160, and 220 °C for 2, 3.5, and 5 h. Equilibrium moisture content decreased from 13.16% in untreated [...] Read more.
This study evaluates the effects of hydrothermal and oleothermal treatments on the physical, colorimetric, and mechanical properties of Dabema wood. Samples were heated at 100, 160, and 220 °C for 2, 3.5, and 5 h. Equilibrium moisture content decreased from 13.16% in untreated wood to approximately 43% lower after hydrothermal treatment at 160 °C for 5 h and to 64% lower after oleothermal treatment at 220 °C for 5 h. Water absorption decreased from 78% in untreated samples to 25%–64% following hydrothermal treatment and to 17%–44% after oleothermal treatment. Hydrothermal treatment caused significant darkening, whereas oleothermal treatment maintained a lighter, more stable color. Mechanical properties improved substantially: in compression, MOE increased by 113% after oleothermal treatment at 220 °C for 5 h. In bending, MOR and MOE rose by 25%–35% under optimal oil-heat conditions. In tensile, MOE increased by 30%, and maximum tensile stress improved by up to 130%. Oleothermal treatments yielded the most stable enhancements, whereas severe hydrothermal treatments sometimes reduced mechanical performance despite improving moisture resistance. Multivariate analysis (PCA) and response surface methodology (RSM) indicate that oleothermal treatment at 160 °C for 3.5–5 h provides the best compromise between stiffness and color stability. Thermogravimetric analyses (TG/DTG) show hydrothermal treatment promotes hemicelluloses degradation, whereas oleothermal treatment stabilizes the cellulose–lignin network. Overall, hydrothermal treatment enhances dimensional stability, while oleothermal treatment achieves an optimal balance of stiffness, mechanical performance, and color retention. Deep color changes from furanic resin formation under hydrothermal conditions are strongly suppressed by oil during oleothermal processing, yielding lighter and more durable wood. For commercial applications such as furniture and structural components, oleothermal treatment is recommended, whereas hydrothermal treatment is more suitable when dimensional stability is prioritized over mechanical performance. Full article
(This article belongs to the Special Issue Wood Testing, Processing and Modification)
Show Figures

Figure 1

17 pages, 3132 KB  
Article
Experimental Thermal Study of the Materials Used in the Construction of Combustion Chamber of Firewood Stoves in Southern Mexico and Central America
by Edwin N. Hernandez-Estrada, José B. Robles-Ocampo, Perla Y. Sevilla-Camacho, Marco Antonio Zúñiga Reyes, Roberto Adrian González Domínguez and Juvenal Rodriguez-Resendiz
Thermo 2026, 6(1), 8; https://doi.org/10.3390/thermo6010008 - 21 Jan 2026
Viewed by 140
Abstract
A firewood stove’s combustion chamber can withstand temperatures of 1500 °C. To prevent the deterioration of a firewood stove due to excessive heat, it is necessary to use thermal insulation materials that stop heat transfer to the walls. These materials must be economical [...] Read more.
A firewood stove’s combustion chamber can withstand temperatures of 1500 °C. To prevent the deterioration of a firewood stove due to excessive heat, it is necessary to use thermal insulation materials that stop heat transfer to the walls. These materials must be economical and durable. This work examines the materials used in the construction of combustion chambers of firewood stoves in southern Mexico and Central America. This field study collects information and samples of materials used in the manufacture of firewood stoves. Heat transfer experiments are conducted, and the thermal properties of each material are analyzed. As a result, methodology and information is provided for the manufacture of future plancha-type firewood stoves used in the study area, such as pine wood (pinus chiapensis) which is mainly used as casing for firewood stoves in coniferous forest areas; in addition, the use of wood ash as thermal insulation material is proposed since it does not present direct costs and has a thermal conductivity between 0.10 and 0.20 W/m°C and a melting point greater than 1500 °C. The next layer proposed is hollow brick, a high-temperature-resistant material that can be used as support due to its mechanical strength and low thermal conductivity of 0.6 W/m°C. Finally, the use of calcium hydroxide as a coating material is proposed, applied in the form of a paste or paint to detail the imperfections of the combustion chamber construction as it resists temperatures above 1000 °C. Full article
Show Figures

Figure 1

21 pages, 3990 KB  
Article
Enhancing Thermo-Mechanical Behavior of Bio-Treated Silts Under Cyclic Thermal Stresses
by Rashed Rahman, Tejo V. Bheemasetti, Tanvi Govil and Rajesh Sani
Geosciences 2026, 16(1), 48; https://doi.org/10.3390/geosciences16010048 - 21 Jan 2026
Viewed by 57
Abstract
Freeze-thaw (F-T) cycles in seasonally frozen regions induce progressive volumetric strains leading to degradation of soils’ mechanical properties and performance of earthen infrastructure. Conventional chemical stabilization techniques often are not adaptive to cyclic thermal stresses and do not address the fundamental phase changes [...] Read more.
Freeze-thaw (F-T) cycles in seasonally frozen regions induce progressive volumetric strains leading to degradation of soils’ mechanical properties and performance of earthen infrastructure. Conventional chemical stabilization techniques often are not adaptive to cyclic thermal stresses and do not address the fundamental phase changes of porous media, underscoring the need for sustainable alternatives. This study explores the potential of extracellular polymeric substances (EPS) produced by the psychrophilic bacterium Polaromonas hydrogenivorans as a bio-mediated soil treatment to enhance freeze-thaw durability. Two EPS formulations were examined—EPS 1 (high ice-binding activity) and EPS 2 (low ice-binding activity)—to evaluate their effectiveness in improving volumetric stability and thawing strength of silty soil subjected to ten F-T cycles. Tests were conducted at four moisture contents (12%, 18%, 24%, and 30%) and three EPS concentrations (3, 10, and 20 g/L). Volumetric strain measurements quantified freezing expansion and thawing contraction, while unconfined compressive strength assessed post-thaw mechanical integrity. The untreated soils exhibited maximum net volumetric strains (γNet) of 5.62% and only marginal strength recovery after ten F-T cycles. In contrast, EPS 1 at 20 g/L mitigated volumetric changes across all moisture contents and increased compressive strength to 191.2 kPa. EPS 2 yielded moderate improvements, reducing γNet to 0.98% and enhancing strength to 183.9 kPa at 30% moisture. Lower EPS concentrations (3 and 10 g/L) partially mitigated volumetric strain, with performance strongly dependent on moisture content. These results demonstrate that psychrophilic EPS, particularly EPS 1, effectively suppresses ice formation within soil pores and preserves mechanical structure, offering a sustainable, high-performance solution for stabilizing frost-susceptible soils in cold-regions. Full article
Show Figures

Figure 1

23 pages, 6872 KB  
Article
Experimental Evaluation of Tensile Behavior and Hygrothermal Degradation of Glass Fiber Composites
by Ciprian Ionuț Morăraș, Viorel Goanță, Lucia Raluca Maier, Teodor Adrian Badea and Paul Doru Bârsănescu
Polymers 2026, 18(2), 277; https://doi.org/10.3390/polym18020277 - 20 Jan 2026
Viewed by 93
Abstract
Glass fiber-reinforced polymer (GFRP) composites are widely used in structural applications due to their high specific strength and durability; however, their mechanical performance strongly depends on fiber architecture and environmental exposure. This study evaluates the mechanical behavior and moisture-induced degradation of GFRP laminates [...] Read more.
Glass fiber-reinforced polymer (GFRP) composites are widely used in structural applications due to their high specific strength and durability; however, their mechanical performance strongly depends on fiber architecture and environmental exposure. This study evaluates the mechanical behavior and moisture-induced degradation of GFRP laminates through tensile tests, impact tests, dynamic mechanical analysis (DMA), and thermomechanical analysis (TMA) performed on a bi-directional glass–epoxy GFRP laminate ([0°/90°]). Tensile tests revealed a maximum longitudinal strength of 369 MPa in dry specimens, while water immersion for up to 21 days led to a significant reduction in tensile strength, from 207 MPa to 63 MPa, in diagonally cut specimens. Impact tests conducted at 12 J showed larger displacements in specimens cut along directions not aligned with the fibers, indicating matrix-dominated behavior. Dynamic mechanical analysis demonstrated strong dependence of stiffness on fiber orientation, with storage modulus values decreasing by approximately 45% in 45° specimens compared with the principal directions, while the glass transition temperature remained within 59–62 °C. Thermomechanical analysis confirmed an increase in the coefficient of thermal expansion after aging, from 205.6 to 291.65 µm/(m·°C) below Tg. These results provide insights into the structure–property–environment relationships governing the durability of GFRP composites and support the optimization of their design for long-term polymer-based applications. Full article
(This article belongs to the Special Issue Fiber-Reinforced Polymer Composites: Progress and Prospects)
Show Figures

Figure 1

36 pages, 3164 KB  
Review
Self-Healing Polymer Nanocomposites: Mechanisms, Structure–Property Relationships, and Emerging Applications
by Sachin Kumar Sharma, Sandra Gajević, Lokesh Kumar Sharma, Yogesh Sharma, Mohit Sharma, Lozica Ivanović, Saša Milojević and Blaža Stojanović
Polymers 2026, 18(2), 276; https://doi.org/10.3390/polym18020276 - 20 Jan 2026
Viewed by 346
Abstract
Self-healing polymer nanocomposites are increasingly investigated as damage-tolerant materials for structural and functional applications; however, their engineering translation remains limited by the difficulty of achieving high mechanical reinforcement while retaining sufficient polymer mobility for effective repair. Previous reviews have largely summarized healing chemistries [...] Read more.
Self-healing polymer nanocomposites are increasingly investigated as damage-tolerant materials for structural and functional applications; however, their engineering translation remains limited by the difficulty of achieving high mechanical reinforcement while retaining sufficient polymer mobility for effective repair. Previous reviews have largely summarized healing chemistries or nanofiller classes but have rarely established quantitative structure–property–healing relationships or resolved contradictory trends reported across studies. In this review, we develop an integrated framework that links polymer network architecture, nanofiller geometry/percolation behavior, and interfacial dynamics to healing kinetics, and we compile quantitative design windows for nanofiller loading, percolation thresholds, activation conditions, and durability metrics. The synthesis reveals that healing performance is maximized within intermediate filler contents near the percolation regime, whereas excessive nanofiller loading commonly suppresses healing by nanoscale confinement and interphase immobilization despite improving modulus and conductivity. Finally, we propose application-oriented design rules and benchmarking priorities, emphasizing standardized fracture/fatigue-based evaluation, multi-cycle healing retention, and scalable interphase engineering as the key pathways for translating self-healing nanocomposites from laboratory demonstrations to validated engineering systems. Full article
(This article belongs to the Section Polymer Composites and Nanocomposites)
Show Figures

Graphical abstract

21 pages, 4949 KB  
Article
Corrosion Resistance of Fly Ash-Enhanced Cement-Based Materials in High-Chloride Gas Storage Reservoirs
by Hong Fu, Defei Chen, Bao Zhang, Hongjun Wu, Sheng Huang, Weizhi Tuo, Kun Chen, Hexiang Zhou and Yuanwu Dong
Materials 2026, 19(2), 406; https://doi.org/10.3390/ma19020406 - 20 Jan 2026
Viewed by 226
Abstract
This study investigates the use of fly ash to mitigate the long-term performance degradation of Portland cement-based sealing materials in high-salinity environments, such as those found in gas storage reservoirs. We systematically evaluated the evolution of material properties under different temperatures and curing [...] Read more.
This study investigates the use of fly ash to mitigate the long-term performance degradation of Portland cement-based sealing materials in high-salinity environments, such as those found in gas storage reservoirs. We systematically evaluated the evolution of material properties under different temperatures and curing periods. Our integrated methodology combining mechanical tests, microstructural analysis, and chloride migration assessment, reveals a multi-faceted mechanism by which fly ash enhances chloride resistance. The key findings demonstrate that reactive Al2O3 in fly ash promotes the formation of Friedel’s salt, increasing chemical chloride binding and reducing the chloride ingress rate in the Portland cement–Fly ash system (PFS) to only 26.6% of that in the Portland Cement system (PCS). Concurrently, the pozzolanic reaction consumes portlandite (Ca(OH)2), forming stable C-A-S-H gel and refining the pore structure by filling interconnected channels. This nanoscale pore refinement decreased permeability by nearly an order of magnitude. After 90 days of curing in 90 °C saline solution, PFS achieved a compressive strength of 28.2 MPa and maintained an exceptionally low internal chloride content of 0.08 wt.%, demonstrating superior long-term durability. This work clarifies the synergistic mechanisms of fly ash modification and temperature effects, providing a theoretical basis for optimizing sealing materials for deep geological reservoirs and experimental support for the application of fly ash in high-temperature, high-salinity engineering environments. Full article
(This article belongs to the Special Issue Advances in Hydration Chemistry for Low-Carbon Cementitious Materials)
Show Figures

Figure 1

29 pages, 8758 KB  
Article
The Combined Effect of Magnetized Water and Bacillus megaterium on the Strength, Microstructure, and Self-Healing Efficiency of Sustainable Concrete Under Different Environmental Curing Regimes
by Seleem S. E. Ahmad, Esraa A. Nassar, Mahmoud A. Abdallah, El-Shikh M. Yousry, Ahmed A. Elshami and Yasmine Elmenshawy
Sustainability 2026, 18(2), 1021; https://doi.org/10.3390/su18021021 - 19 Jan 2026
Viewed by 102
Abstract
This study presents an innovative approach by combining magnetized water (MW) with Bacillus megaterium to improve the sustainability of concrete under various curing conditions. These enhancements contribute directly to reduced cement use and improved durability, both essential factors in sustainable construction. An experimental [...] Read more.
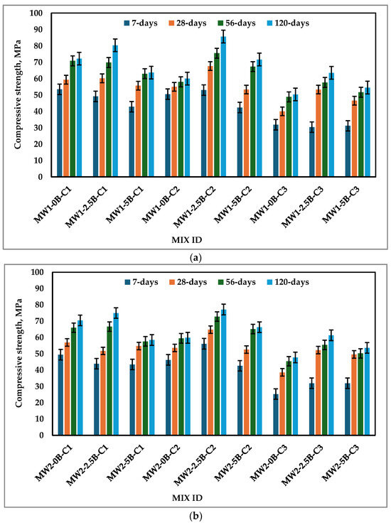
This study presents an innovative approach by combining magnetized water (MW) with Bacillus megaterium to improve the sustainability of concrete under various curing conditions. These enhancements contribute directly to reduced cement use and improved durability, both essential factors in sustainable construction. An experimental program with 27 distinct mixes analyzed variables such as the type of water (tap water/TW and two magnetization sequences/MW1 and MW2), bacterial dosage (0%, 2.5%, and 5% relative to cement weight), and curing methods (traditional water curing/C1, thermal shock/C2, freeze–thaw/C3). The primary discovery is a synergistic relationship between MW and bacteria: the MW1 treatment (1.5 T followed by 0.9 T) paired with a 2.5% bacterial dosage significantly improved the mechanical and self-healing properties of the concrete. This combination led to significant improvements in workability and compressive strength, achieving an increase of as much as 46.5% compared to the control. There was also an impressive recovery of strength in pre-cracked specimens, particularly under thermal shock curing (C2), where some healed cubes exceeded the strength of the uncracked ones. On the other hand, a 5% bacterial dosage was less effective, often resulting in reduced returns due to variations in microstructure. SEM and XRD analyses confirmed a more compact matrix and increased calcite precipitation with 2.5% bacteria, illustrating the combined effects of microbial activity and microwave treatment for sustainable concrete. Full article
(This article belongs to the Special Issue Advanced Materials and Technologies for Environmental Sustainability)
Show Figures

Figure 1

10 pages, 212 KB  
Article
The Effect of Sintering Protocols and Resin Cement Shades on the Optical Properties of Monolithic Zirconia Restorations
by Ayşe Demir Canbulut, Çağlayan Sayla Çelik, Merve Çakırbay Tanış, Emre Tokar, Serdar Polat and Kürşat Eser
Appl. Sci. 2026, 16(2), 1001; https://doi.org/10.3390/app16021001 - 19 Jan 2026
Viewed by 68
Abstract
This study investigates the influence of different sintering protocols and resin cement shades on the optical properties of monolithic zirconia restorations. Zirconia, widely used in dentistry for its superior mechanical strength and esthetic potential, demonstrates phase transformations influenced by stabilizing oxides and processing [...] Read more.
This study investigates the influence of different sintering protocols and resin cement shades on the optical properties of monolithic zirconia restorations. Zirconia, widely used in dentistry for its superior mechanical strength and esthetic potential, demonstrates phase transformations influenced by stabilizing oxides and processing conditions. While increasing yttria content enhances translucency, it compromises mechanical durability. Factors such as sintering temperature, grain size, porosity, and cement selection further affect translucency parameter, contrast ratio, and opalescence. In this research, 36 zirconia samples were divided into three groups according to sintering procedure performed; conventional, fast, and super-fast sintering. Each was tested with two shades of dual-cure resin cement (yellow and transparent). Optical parameters including translucency parameter (TP), contrast ratio (CR), and opalescence parameter (OP) were measured using a spectrophotometer under controlled conditions. Statistically significant differences in OP values between the conventional sintering protocol and both the rapid and super-fast sintering protocols were found. A statistically significant difference was observed in OP values between the yellow and transparent cement groups. Neither the main effects of the sintering protocol nor the cement type were statistically significant on TP and CR values. However, a statistically significant interaction effect between the sintering protocol and cement type was observed for CR values. The findings highlight that both processing parameters and cement selection interaction play crucial roles in optimizing the TP and CR values of zirconia restorations, enabling improved esthetic outcomes in clinical practice. Full article
Back to TopTop