Abstract
Freeze-thaw (F-T) cycles in seasonally frozen regions induce progressive volumetric strains leading to degradation of soils’ mechanical properties and performance of earthen infrastructure. Conventional chemical stabilization techniques often are not adaptive to cyclic thermal stresses and do not address the fundamental phase changes of porous media, underscoring the need for sustainable alternatives. This study explores the potential of extracellular polymeric substances (EPS) produced by the psychrophilic bacterium Polaromonas hydrogenivorans as a bio-mediated soil treatment to enhance freeze-thaw durability. Two EPS formulations were examined—EPS 1 (high ice-binding activity) and EPS 2 (low ice-binding activity)—to evaluate their effectiveness in improving volumetric stability and thawing strength of silty soil subjected to ten F-T cycles. Tests were conducted at four moisture contents (12%, 18%, 24%, and 30%) and three EPS concentrations (3, 10, and 20 g/L). Volumetric strain measurements quantified freezing expansion and thawing contraction, while unconfined compressive strength assessed post-thaw mechanical integrity. The untreated soils exhibited maximum net volumetric strains (γNet) of 5.62% and only marginal strength recovery after ten F-T cycles. In contrast, EPS 1 at 20 g/L mitigated volumetric changes across all moisture contents and increased compressive strength to 191.2 kPa. EPS 2 yielded moderate improvements, reducing γNet to 0.98% and enhancing strength to 183.9 kPa at 30% moisture. Lower EPS concentrations (3 and 10 g/L) partially mitigated volumetric strain, with performance strongly dependent on moisture content. These results demonstrate that psychrophilic EPS, particularly EPS 1, effectively suppresses ice formation within soil pores and preserves mechanical structure, offering a sustainable, high-performance solution for stabilizing frost-susceptible soils in cold-regions.
1. Introduction
Freeze-thaw (F-T) cycles are one of the most critical environmental processes affecting the mechanical behavior and long-term stability of soils in cold regions. During these cycles, water contained within soil pores undergoes phase change, expanding upon freezing and contracting upon thawing. This repeated volumetric fluctuation can induce frost heave, settlement, cracking, and microstructural damage in soils, ultimately compromising the structural integrity of infrastructure such as roads, embankments, foundations, and retaining structures [1,2,3]. The severity of F-T damage is influenced by soil type, water content, compaction density, and thermal regime [4,5]. Among soil types, silts are particularly vulnerable because they have intermediate permeability and high capillary suction, which facilitates ice lens formation during freezing [6,7]. Ice lenses develop preferentially in fine and medium silts, producing significant volumetric expansion and permanent deformation [8,9]. The associated stress redistribution within the soil matrix reduces its shear strength and post-thaw bearing capacity, causing progressive deterioration in civil infrastructure over repeated seasonal cycles [10,11].
Traditionally, mitigating freeze-thaw effects has relied on chemical, physical, and mechanical interventions. Chemical methods often involve the addition of salts such as calcium chloride, calcium nitrate, and urea, which depress the freezing point of water and reduce frost heave by inhibiting ice lens formation [12,13]. Physical solutions include replacing frost-susceptible soil with coarse aggregates, installing thermal insulation layers, structural polymer foam injection, geotextiles, or drainage systems to control water migration and temperature gradients within the soil [14,15,16,17,18]. While effective to some extent, these conventional approaches have limitations. Chemical additives require relatively high dosages to achieve meaningful effects, raising environmental concerns such as air and soil contamination, groundwater pollution, and long-term chemical alteration of soil properties [19,20]. Physical methods, although environmentally benign, are often costly, labor-intensive, and limited in their ability to control subsurface moisture uniformly, leaving soil vulnerable in regions beyond the treatment zone [21,22]. Moreover, most existing solutions primarily target the suppression of frost heave, without addressing post-thaw mechanical performance. Consequently, treated soils may still experience residual settlement or reduced compressive strength, which can be detrimental for structural applications [22,23,24,25].
In recent years, bio-inspired soil stabilization approaches have gained attention due to their potential to enhance soil mechanical performance sustainably [26,27,28,29]. Among these, microbial extracellular polymeric substances (EPS) have emerged as particularly promising for frost-susceptible soils. EPS are high molecular weight polysaccharides secreted by microorganisms, consisting of linear or branched chains of sugars such as glucose, galactose, mannose, and occasionally uronic acids or acetylated residues [30,31]. These molecules possess abundant functional groups, particularly hydroxyl (-OH) and carboxyl (-COOH), capable of forming extensive hydrogen bonds with soil particles and pore water [32,33]. The molecular structure of EPS allows them to form a three-dimensional gel-like network that physically entangles soil grains, creating a cohesive matrix. In this context, EPS interactions can be classified as adhesive (between EPS molecules and soil particles), and cohesive (within the EPS network itself). Adhesion is mediated by electrostatic forces, hydrogen bonding, and polymer bridging, whereas cohesion arises from intermolecular bonding and chain entanglement [26,34,35,36]. Together, these has the potential to resist volumetric deformation and redistribute stress within the soil. Leveraging the same adhesive and cohesive interactions, these biopolymers are also widely used in wastewater treatment and water purification processes, where their gel-like structure promotes flocculation, settling of suspended solids, and removal of contaminants, highlighting their versatility as a natural biopolymer in environmental applications [37].
The mechanistic basis for EPS effectiveness under freeze-thaw conditions involves several synergistic processes. First, the hydrogen-bonding interactions between EPS and water molecules limit the mobility of free water in the soil pores, reducing ice nucleation and ice crystal growth [30,38]. By constraining water expansion during freezing, EPS lowers the magnitude of frost-induced volumetric strain and prevents the development of large ice lenses, which are the primary drivers of frost heave in silty soils. Second, EPS chains physically bridge and interlock soil particles, increasing interparticle cohesion and forming a flexible, gel-like matrix that enhances the structural integrity of the soil [26]. This matrix distributes stress during freeze-thaw cycles, reducing localized deformation and microcracking [39]. Third, EPS molecules exhibit hygroscopic properties, allowing them to retain water in a bound form, which moderates the rate of freezing and thawing within the soil and prevents rapid phase changes that can induce volumetric shock [40]. Collectively, these mechanisms enable EPS-treated soils to exhibit both reduced volumetric change and enhanced post-thaw strength, a dual functionality not fully achieved by conventional chemical or physical treatments.
Several studies have demonstrated the cryoprotective and stabilizing effects of EPS in cold environments. For instance, Rahman et al. (2025) showed that EPS from psychrophilic bacteria can depress the freezing point of soil pore water, inhibit ice crystal growth, and reduce the size of ice lenses in fine-grained soils [41,42]. Similar findings in microbial and polymer research highlight that the complex, high-molecular-weight structure of EPS allows it to act as a natural antifreeze agent, analogous to antifreeze proteins observed in psychrophilic organisms [43]. Beyond frost mitigation, EPS has been shown to increase soil cohesion, aggregate stability, and compressive strength under various environmental conditions, providing a multifaceted improvement in soil mechanical behavior [35]. Despite this potential, the application of EPS in frost-susceptible soils has been underexplored, particularly regarding the interplay between EPS type, concentration, moisture content, and freeze-thaw performance.
The concentration of EPS is a critical factor influencing its effectiveness. Low concentrations may provide limited binding, insufficient to prevent microstructural deformation, whereas excessively high concentrations can create overly stiff matrices that restrict water redistribution or interfere with compaction. Likewise, soil moisture content governs the extent to which EPS can interact with both water and soil particles. At moisture contents lower than optimum, limited water availability may hinder hydrogen bonding and gel formation, whereas at higher moisture levels, the presence of excess free water can dilute EPS effectiveness, reducing its ability to constrain ice formation and soil movement. Therefore, identifying the optimal EPS type and concentration relative to soil moisture is essential for achieving both volumetric stability and post-thaw strength enhancement.
Based on these mechanistic considerations, this study hypothesizes that EPS treatment can simultaneously reduce freezing and thawing volumetric strains and enhance post-thaw compressive strength in silty soils. Specifically, it is anticipated that (i) EPS-treated soils will exhibit lower freezing and thawing volumetric strains compared to untreated soils, (ii) higher EPS concentrations will further minimize volumetric deformation, and (iii) different EPS types may display distinct performance characteristics depending on soil moisture content and density. To test these hypotheses, silt soils were treated with EPS produced by psychrophilic bacterial strains, subjected to repeated freeze-thaw cycles, and evaluated for volumetric strain and compressive strength. The study systematically investigates the effects of EPS type, concentration, and moisture content on the thermo-mechanical behavior of silty soils, aiming to provide a sustainable, bio-inspired strategy for frost mitigation that overcomes the limitations of conventional chemical and physical treatments.
2. Materials and Methods
2.1. Materials
2.1.1. Soil
Silt, classified as a very high frost-susceptible soil by the Federal Highway Administration, was selected to investigate the effects of EPS on thermal behavior and soil-ice interactions [6,44]. The material is a commercially sourced, natural soil. Its key physical and chemical properties were determined following ASTM standards (ASTM E3294-22, ASTM D6913, ASTM D854, and ASTM D698) [45,46,47,48]. The particle size distribution (PSD), obtained via laser diffraction/sieving and presented in Table 1, is uniformly fine-grained. The median particle size (D50) is 0.05 mm, with 100% of particles passing the #200 sieve (0.075 mm). Soil pH was measured by mixing the silt with deionized water at a 1:1 gravimetric ratio. Scanning Electron Microscopy (SEM) analysis (Figure 1) reveals that the particles are predominantly irregular, angular to sub-angular in shape, with rough and uneven surfaces. Particle morphology is heterogeneous, ranging from fine platy structures (likely associated with chlorite) to more equidimensional, granular quartz grains. Many particles form loosely packed aggregates with visible inter-particle voids. Table 2 presents the mineral composition as determined by X-ray diffraction (XRD). Quartz (SiO2) is the dominant phase (~51%), followed by feldspars, including albite (~32%) and K-feldspar (~7%). The sample also contains chlorite (~5%), magnetite (~4%), and minor plagioclase (~0.4%).
Table 1.
Properties of Soil.
Figure 1.
Scanning Electron Microscopy (SEM) image depicting the particle morphology and surface texture of untreated silt.
Table 2.
Mineralogy of Silt Based on X-Ray Diffraction.
2.1.2. Psychrophilic Strains, Inoculum, and Maintenance
The psychrophilic bacterium Polaromonas hydrogenivorans strain cellfe301 was used in this study. The organism was cultured in Tryptic Soy Broth (TSB), composed of 17 g/L casein peptone (pancreatic digest), 2.5 g/L glucose, 2.5 g/L dipotassium hydrogen phosphate, 5 g/L sodium chloride (NaCl), and 3 g/L soya peptone (papain digest). The pH of the medium was adjusted to 7.0–7.2 prior to sterilization. The medium was autoclaved at 121 °C for 15 min under 15 psi. Strain cellfe301 was cultivated at both 30 °C and 4 °C to evaluate its growth under mesophilic and psychrophilic conditions.
2.1.3. Production of EPS
For this study, Polaromonas hydrogenivorans strain cellfe301 was cultured in two growth media (Media 1 and Media 2) with 2% w/v bacterial inoculum. Media 1 followed the EPS production protocol of Jia Wang et al., containing 10 g/L glucose, 1 g/L yeast extract, 3 g/L NaCl, 1 g/L peptone, and 1 g/L beef extract (pH 7.0–7.2) [49]. Media 2 consisted of 30 g/L tryptic soy broth (pH 7.0–7.2). Cultures were incubated at 30 °C with shaking at 150 rpm, and growth was monitored at 600 nm every 24 h. After incubation, cultures were centrifuged (10,000 rpm, 15 min, 4 °C), and the supernatant was mixed 1:1 with ethanol and incubated overnight at 4 °C to precipitate EPS. The EPS was collected by centrifugation (10,000 rpm, 20 min) and dried for gravimetric determination. EPS 1 and EPS 2 were obtained from Media 1 and Media 2, respectively.
2.2. Soil Sample Preparation
A transparent acrylic glass box measuring 5.6 × 5.6 × 5.6 cm was utilized to prepare the soil samples [42]. The rigid acrylic box does not deform or change height due to temperature variations within the range studied (−7 °C to 25 °C), ensuring that observed height changes are solely due to soil volumetric changes. Additionally, the smooth acrylic surfaces and careful compaction minimize sidewall friction, lateral constraints, and potential arching effects. The bottom of the box was filled with fine sand up to 1 cm, compacted evenly, and then submerged in water. The fine sand layer served as a transient water source during the freeze-thaw cycles. Although upward water migration was not directly measured, all samples were prepared consistently, ensuring uniform water supply. Differences in observed volumetric strain and frost heave were therefore attributed to EPS treatment rather than variations in water availability. The silt was mixed with deionized (DI) water and three EPS concentration solutions (3, 10, 20 g/L) at 12%, 18%, 24%, and 30%, with 24% representing the soil’s optimum moisture content. Because each moisture level uses a different liquid mass, the actual EPS mass per unit soil varies slightly. Table 3 summarizes the calculated EPS content in dry soil for each EPS type, solution concentration, and moisture content, ranging from approximately 0.04% to 0.6% of dry soil mass. The silt soil was compacted in three layers using a small cylindrical weight (250 gm) with a 1-inch diameter, applying ten blows from a 1-inch drop. This blow count was determined through several trials, with ten blows yielding the maximum dry density according to the standard compaction test outlined in ASTM D698. Figure 2 illustrates the schematic of the prepared test samples for macro-scale testing, which aims to determine the treated soil’s volumetric strain and thawing strength over 10 freeze-thaw cycles. Table 3 presents a summary of the silt soil sample preparation, including EPS type, EPS concentration, moisture content, and the number of freeze-thaw cycles. All tests were performed in duplicate, and the reported values represent the average of the measurements.
Table 3.
Summary of Experimental Test Program.
Figure 2.
Schematic representation of EPS-treated and untreated silt soil for macro-scale experiments.
2.3. Experimental Program
2.3.1. Volumetric Strain
Prepared samples were analyzed to assess the effect of EPS 1 and EPS 2 on controlling volumetric strain, commonly referred to as frost heave and thaw weakening. The initial heights of the control and treated silt soil samples were recorded before the freeze-thaw cycles commenced. The samples were placed in the “Freeze-thaw Cabinet” and frozen until the temperature reached −7 °C. Freezing was conducted at a controlled cooling rate of approximately 5 °C per hour, and samples were held for 1 h at −7 °C to ensure thermal equilibrium throughout the specimen. After the first freeze-thaw cycle, the sample heights were measured. The samples were then thawed until the temperature rose to 25 °C, using a heating rate of approximately 5 °C per hour, and held for 1 h at 25 °C to ensure complete thawing. At this point, additional height measurements were taken. This process was repeated after each freeze-thaw cycle, with the height being recorded each time to determine the volumetric changes after freezing and thawing. A vernier slide caliper with a precision of 0.05 mm was used for the measurements, and the freeze-thaw cycle procedure followed ASTM C666 standards [50].
2.3.2. Thawing Strength Measurement
The Pocket Penetrometer Test (PPT) was used in the laboratory to measure the soil’s compressive strength. The PPT can assess the undrained shear strength of fine-grained soils within the range of 0–4.5 kg/cm2 [51]. The testing method involves pushing the PPT probe into the soil and measuring the unconfined compressive strength (UCS) determined by a calibrated spring with constant stiffness values [52]. Laboratory tests conducted in 2016 demonstrated that this method can effectively approximate the UCS of cohesive soil samples [51,53].
During the test, the spring-loaded piston of the PPT was pressed into the control soil and soils treated with EPS 1 and EPS 2 at the beginning of the freeze-thaw cycle and at the thawing stage after 1, 2, 5, and 10 freeze-thaw cycles. This measurement aimed to assess whether the treatment with EPS improved the reduction in thawing strength. To minimize variability due to surface moisture and insertion rate, the PPT rod was positioned perpendicular to the flat soil surface and pressed gently and uniformly into the soil at a consistent rate. The measured values were originally in kg/cm2 and converted to kPa for reporting consistency. Once the rod reached the indicator, the compression strength was recorded. The PPT readings are considered relative UCS values, providing a comparative assessment between control and treated soils, rather than absolute UCS measurements. The strength indicating scale was modified to enhance measurement precision by subdividing the marked penetrometer scale using a vernier slide caliper to achieve readings at 0.05 kg/cm2 intervals.
2.4. Parameters Studied and Formulas Used in This Study
In this study, the volumetric changes of both control and EPS-treated soil samples were measured during freezing (γF) and thawing (γT) conditions using Equation (1). The net volumetric strain (γNet) was calculated using Equation (2). The maximum volumetric strain corresponds to the largest net volumetric change observed in any freeze-thaw cycle, while the final volumetric strain (γF-Net) represents the net volumetric change recorded at the tenth cycle.
where
γ = volumetric strain (%);
ΔH = change in sample height after freezing or thawing (cm);
Ho = initial height of the soil sample (cm);
γNet = net volumetric strain (%);
γF = volumetric strain after freezing (%);
γT = volumetric strain after thawing (%).
3. Result
3.1. Volumetric Strain Behavior of EPS-Treated Silts Under Freeze-Thaw Cycles
Volumetric strain (γ) quantifies the relative change in sample height (ΔH/H) after each freeze-thaw (F-T) cycle. This parameter reflects the soil’s susceptibility to frost-induced heaving and thaw consolidation. The working hypothesis was that bio-treated soils containing extracellular polymeric substances (EPS) would exhibit reduced volumetric changes by suppressing phase transitions and minimizing associated deformation. To test this, both untreated (control) and EPS-treated silt specimens were subjected to ten consecutive F-T cycles, with post-cycle height changes measured using precision calipers (±0.05 mm).
3.1.1. Control Soil Response to Freeze-Thaw Cycles
Figure 3 presents the volumetric strain behavior of control silt samples compacted at four moisture contents: 12%, 18%, 24%, and 30%. The 24% moisture level represents the soil’s optimum moisture content (OMC). Positive γF values indicate expansion during freezing, while negative γT values denote contraction upon thawing.
Figure 3.
Volumetric strain (γ) of control silt soil under 10 freezing–thawing cycles, at 12%, 18%, 24%, and 30% moisture content, respectively. All measurements were performed in duplicate. The maximum, minimum, and average standard deviations (σ) for the volumetric dataset were σmax = 0.074%, σmin = 0.013%, and σavg = 0.025%, respectively.
The control soil exhibited the highest overall deformation among all test groups. A distinct expansion–contraction pattern emerged during the early cycles, followed by stabilization after approximately five cycles for most moisture contents. However, samples with 30% moisture continued to show progressive expansion, reaching a maximum freezing volumetric strain (γF) of 6.1%. At OMC (24%), the γF and γT stabilized at 6.1% and 0.5%, respectively, indicating that although compaction improved the soil’s resistance to deformation, moisture migration and ice crystallization still caused substantial volumetric instability. The continuous increase in γF at 30% moisture demonstrates the detrimental influence of excess pore water, which promotes ice lens formation and frost heave.
3.1.2. Effect of EPS 1 Treatment on Volumetric Strain
Figure 4 compares the volumetric strain behavior of control and EPS 1-treated silts across the same moisture range. EPS 1 treatment drastically suppressed both γF and γT relative to the control.
Figure 4.
Volumetric strain (γ) of EPS 1-treated silt soil under 10 freezing–thawing cycles, where (a) 12%, (b) 18%, (c) 24%, and (d) 30% moisture content, respectively. All measurements were performed in duplicate. The maximum, minimum, and average standard deviations (σ) for the volumetric dataset were σmax = 0.052%, σmin = 0.0%, and σavg = 0.031%, respectively.
At 3 g/L EPS 1, the maximum γF was only 2.1% at 12% moisture (Figure 4a), decreasing continuously with subsequent cycles. Beyond the first two cycles, the specimens at higher moisture contents exhibited no measurable expansion; instead, a minor contraction occurred, stabilizing the height slightly below the original. This contraction behavior is attributed to the strong adhesive and cohesive interactions introduced by EPS.
EPS molecules are composed of polysaccharide chains rich in hydroxyl (-OH) groups that readily form hydrogen bonds with water and mineral surfaces. These interactions promote the formation of a gel-like matrix, physically entangling and cementing soil particles together. The resulting interparticle binding effectively reduces water mobility and inhibits ice segregation, yielding a more stable soil structure under thermal cycling.
Increasing concentration to 10 g/L further reduced volumetric changes, with γF = 1.63% and γT = 1.22% at 12% moisture. At higher moisture contents (18–30%), contraction dominated, suggesting that EPS 1 effectively offset frost heave by restraining expansion through cohesive gel bridging. The 20 g/L EPS 1 concentration resulted in negligible volume change across all moisture levels, identifying it as the optimal dosage for mitigating volumetric strain under F-T cycles.
3.1.3. Effect of EPS 2 Treatment on Volumetric Strain
Similar to EPS 1, EPS 2 treatment substantially reduced volumetric strain across all moisture levels (Figure 5). At 3 g/L, the maximum γF was 2.34% at 12% moisture and 2.77% at 18% moisture, both diminishing to near zero after successive cycles. At the OMC (24%) and 30% moisture, the samples showed contractive behavior, again reflecting the adhesive character of EPS 2.
Figure 5.
Volumetric strain (γ) of EPS 2-treated silt soil under 10 freezing–thawing cycles, where (a) 12%, (b) 18%, (c) 24%, and (d) 30% moisture content, respectively. All measurements were performed in duplicate. The maximum, minimum, and average standard deviations (σ) for the volumetric dataset were σmax = 0.062%, σmin = 0.009%, and σavg = 0.035%, respectively.
When EPS 2 concentration was increased to 10 g/L and 20 g/L, γF and γT values became slightly negative across all moisture contents except at OMC, indicating minimal to no expansion. The contractive response implies that EPS 2’s molecular structure may favor denser polymer-particle networks, leading to greater internal cohesion and limited water redistribution during freezing. However, at very high densities, this network may be less effective in soils with restricted water pathways, suggesting that EPS 2 performs optimally under moderate saturation conditions.
3.2. Net Volumetric (γNet) Strain
The net volumetric strain (γNet) provides a quantitative measure of the cumulative volumetric deformation a soil undergoes during freeze-thaw (F-T) cycles. Defined as the difference between freezing (γF) and thawing (γT) volumetric strains, γNet captures the overall volume distortion caused by alternating expansion and contraction of pore water and ice. This parameter serves as a key indicator of the long-term stability of frost-susceptible subgrades, as it governs the extent of frost heave and thaw settlement that can accumulate over successive thermal cycles.
Figure 6 presents the evolution of γNet for control and EPS-treated silt samples under 10 F-T cycles at moisture contents of 12%, 18%, 24%, and 30%. The control soils exhibited substantially higher γNet values than any EPS-treated samples. A maximum γNet of 5.62% was observed at cycle 3 for the specimen compacted at the optimum moisture content (OMC, 24%), indicating pronounced frost-induced deformation during the initial cycles. Beyond the third cycle, γNet progressively decreased and stabilized around 2.48% after cycle 5, suggesting a re-equilibration of the pore structure as the ice-lens formation potential diminished. Samples compacted at 18% and 30% moisture content showed relatively steady γNet trends throughout the cycles, with final values of 2.64% and 3.30%, respectively. These results indicate that soils compacted either drier or wetter than OMC experience greater susceptibility to frost heaves due to increased mobility and redistribution of unfrozen water during phase transition.
Figure 6.
Net volumetric strain (γNet) of control, EPS 1, and EPS 2-treated silt soils during 10 freezing–thawing cycles (C1–C10) at (a,e) 12%, (b,f) 18%, (c,g) 24%, and (d,h) 30% moisture contents, respectively.
In comparison, soils treated with EPS 1 and EPS 2 exhibited a pronounced reduction in γNet across all moisture conditions, confirming the strong cryo-stabilizing influence of the bio-polymeric treatment. EPS 1 (Figure 6a–d) treatment reduced γNet to below 1% at all concentrations, with the 20 g/L concentration eliminating net volumetric change throughout the 10 cycles (γNet = 0%). This behavior demonstrates the effectiveness of EPS 1 in preventing ice lens growth and maintaining structural integrity under cyclic freezing and thawing.
EPS 2 (Figure 6e–h) treatment produced similarly favorable results, although minor γNet fluctuations were recorded during the first five cycles, particularly at lower concentrations. These early-cycle variations likely reflect ongoing polymer adsorption and microstructural rearrangement within the soil matrix as the EPS progressively altered pore connectivity and hydraulic pathways. After cycle 5, γNet stabilized in the range of 0.17 to 0.68%, depending on moisture content, indicating that once equilibrium was achieved, the EPS 2-treated soil maintained its volume stability effectively. At lower moisture contents (12% and 18%), both EPS 1 and EPS 2 achieved near-zero γNet, implying that the EPS effectively restricted ice propagation by retaining water in bound form and suppressing segregated ice growth.
Overall, EPS-treated soils exhibited remarkable reductions in net volumetric strain compared to the control, with the 20 g/L EPS 1 concentration demonstrating the most stable behavior. The results suggest that EPS enhances soil thermal resilience by forming a thin hydration layer on particle surfaces, reducing ice adhesion, and regulating unfrozen water migration during freezing. Consequently, the treated soils maintained near-constant volume under cyclic thermal stresses, highlighting the potential of psychrophilic EPS as a bio-based agent for mitigating frost heave and thaw-induced settlement in fine-grained subgrades.
3.3. Effect of EPS Type and Moisture Content on Net Volumetric (γNet) Strain
This section compares the performance of EPS 1 and EPS 2 in minimizing net volumetric strain (γNet) under varying moisture conditions across 10 freeze-thaw (F-T) cycles. The analysis focuses on identifying the most effective EPS type and concentration for achieving volumetric stability, considering that both EPS composition and soil moisture strongly influence the development of frost-induced deformation.
Figure 7 presents the maximum γNet change for EPS 1 and EPS 2-treated silt at concentrations of (a) 3 g/L, (b) 10 g/L, and (c) 20 g/L. At a low concentration of 3 g/L, EPS 1 generally outperformed EPS 2 in reducing γNet across most moisture conditions, except at 12%. For example, at 30% moisture content, the untreated control exhibited a γNet of 3.30%, while EPS 1-treated soil reduced it to 1.46%, and EPS 2-treated soil showed a slightly higher value of 1.89%. These results demonstrate that even at low dosage, EPS 1 substantially mitigates frost-induced volumetric strain.
Figure 7.
Maximum net volume change (γNet) of EPS 1 and 2 treated silt soil for different moisture content at concentrations of (a) 3 g/L, (b) 10 g/L, (c) 20 g/L.
At a 10 g/L concentration, EPS 1’s performance became more distinct. At 30% moisture, EPS 1-treated soil exhibited a γNet of only 0.54%, compared to 2.07% for EPS 2-treated soil. Similarly, at 12% moisture, EPS 1 maintained a γNet of 0.41%, whereas EPS 2 recorded a significantly higher value of 3.34%. The nearly eightfold difference underscores the stronger bonding capacity and thermal stability imparted by EPS 1 at moderate concentrations.
At the highest concentration of 20 g/L, EPS 1 completely eliminated γNet change, indicating full resistance to frost-induced deformation and settlement. In contrast, EPS 2-treated samples at the same concentration still displayed a measurable γNet (2.32%) at 30% moisture, suggesting that EPS 2 is less effective in maintaining complete structural stability under wetter conditions. Overall, EPS 1 proved to be a more efficient cryo-stabilizing agent than EPS 2, particularly at higher concentrations and non-optimal moisture levels.
These findings emphasize that both EPS type and moisture content jointly control the net volumetric strain response. EPS 1’s superior performance likely arises from its enhanced polymer chain flexibility and stronger intermolecular hydrogen bonding, which facilitate stable adhesion to soil particles and improved water retention during freezing. In contrast, EPS 2 appears to have a more limited water-binding capacity, making it more sensitive to changes in saturation and temperature.
The role of moisture content in governing the final net volumetric strain (γF-Net) is further explored in Figure 8a,b. For EPS 1-treated soils (Figure 8a), the control samples exhibited the highest γF-Net values across all moisture levels, peaking at 30% water content. In contrast, EPS 1 significantly reduced γF-Net across all concentrations. At 12% and 18% moisture, the lowest γF-Net values were recorded for the 20 g/L concentration (0%), followed by 10 g/L (0.20–0.41%) and 3 g/L (0.38–0.57%). At 24% moisture (OMC), the γF-Net for 3 g/L and 10 g/L concentrations converged around 0.98%, suggesting that at maximum soil density, the role of EPS concentration becomes less pronounced. At 30% moisture, 3 g/L and 10 g/L treatments again showed minimal γF-Net (0.18% and 0.54%, respectively), confirming that EPS 1 remains effective in reducing volumetric strain even under excess or lower water conditions.
Figure 8.
Final net volume change (γF-Net) of (a) EPS 1 and (b) EPS 2 treated silt soil at different moisture contents.
For EPS 2-treated soils (Figure 8b), the response pattern differed slightly. At 3 g/L, γF-Net ranged between 0.33% and 0.39% for 12%, 18%, and 30% moisture contents, with a minimum (0.17%) observed at OMC (24%). At 10 g/L, γF-Net increased from 0.18% at 12% moisture to 0.68% at 24%, suggesting reduced efficiency at higher water levels. At 20 g/L, EPS 2 achieved γF-Net values as low as 0.17% at 12% and 24% moisture, but performance declined slightly at 18% and 30% moisture (0.52%). These results indicate that EPS 2 performs best at optimum moisture conditions, whereas its stabilizing capacity diminishes beyond OMC.
Overall, EPS 1 demonstrated greater versatility in controlling volumetric strain across a wide range of moisture contents. Its ability to maintain adhesive and gel-forming properties under both dry and saturated conditions likely contributes to more consistent volume regulation. EPS 2, by contrast, exhibited peak efficiency near OMC but reduced adaptability when the soil moisture deviated from this range. The differing responses suggest that EPS 1 possesses a broader hydration range and stronger particle–water interaction, making it the more robust bio-stabilizer for soils subjected to cyclic thermal stress.
3.4. Thawing Strength of the EPS Treated Soil
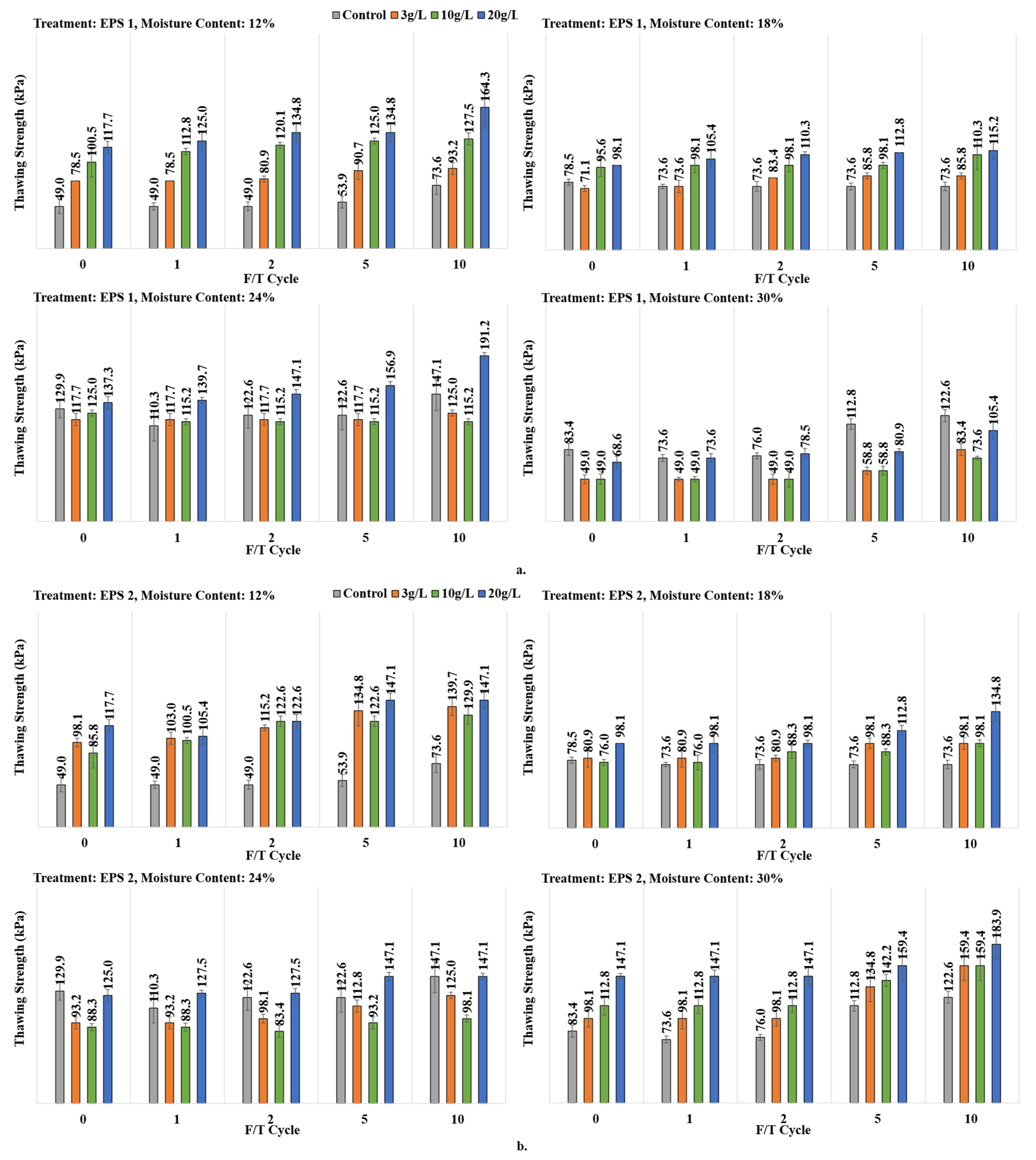
The evolution of compressive strength under freeze-thaw cycles revealed distinct differences in soil behavior treated with EPS 1 and EPS 2, highlighting their concentration and moisture-dependent performance. Figure 9a,b present the compressive strength of the control soil compacted at 12%, 18%, 24%, and 30% moisture content, ranging from 49 to 129.9 kPa, with the maximum strength observed at the optimum moisture content (OMC) of 24%. After the first two freeze-thaw (F-T) cycles, the control soil strength either remained stable or decreased slightly, with reductions of 6.24%, 15.08%, and 11.75% for 12%, 24%, and 30% moisture, respectively. As freeze-thaw cycles progressed, the soil exhibited gradual strength recovery, reaching 73.6 kPa at 12% moisture, 147.1 kPa at 24%, and 122.6 kPa at 30% after 10 cycles. Although an increase in strength over multiple freeze-thaw cycles is unusual for silts, this trend may be attributed to minor particle rearrangement and densification during cycling. These results indicate that while the control soil can partially regain strength through cycling, its performance remains highly dependent on moisture content, with the best resilience observed near the optimum moisture content.
Figure 9.
Thawing strength of control, (a) EPS 1, and (b) EPS 2 treated silt soil for freezing–thawing cycles 0, 1, 2, 5, and 10.
EPS 1 treatment demonstrated clear concentration and moisture-dependent effects relative to the control. At 3 g/L, strength enhancement was moderate: at 12% moisture, compressive strength increased from 78.5 kPa initially to 93.2 kPa at cycle 10, a 26% improvement over the control (73.6 kPa), while at 18% moisture, the final strength was 98.1 kPa, slightly higher than the control. However, at 24% and 30% moisture, this low concentration was ineffective, with compressive strengths of 120.5 and 88.6 kPa, below the control values of 147.1 and 122.6 kPa. The 10 g/L EPS 1 treatment produced significant gains at low moisture (100.5 to 127.5 kPa at 12%) but showed limited effectiveness at 24% and 30% moisture (strengths of 134.7 and 95.2 kPa). The 20 g/L EPS 1 application was the most effective, achieving the highest strength gains across all tested moisture contents: 164.3 kPa at 12%, 155.8 kPa at 18%, and a peak of 191.2 kPa at 24% (OMC), surpassing the control at every cycle. Even at 30% moisture, strength reached 105.4 kPa, which, although lower than the control at OMC, still exceeded the lower EPS 1 concentrations. This indicates that EPS 1’s adhesive interactions with soil and water molecules are most effective at low and optimum moisture contents, with diminished benefits under very high moisture.
EPS 2-treated soils showed strong and more consistent performance than EPS 1 across the moisture spectrum. At 3 g/L, strength increased from 98.1 kPa initially to 139.7 kPa at 12% moisture and from 159.4 kPa initially to 159.4 kPa at 30% moisture, representing improvements of 90% and 30% over the corresponding control at cycle 10. At 18% moisture, compressive strength reached 98.1 kPa, slightly above the control, while 24% moisture again showed lower enhancement (140.2 kPa). For 10 g/L EPS 2, strength gains were similar, demonstrating that even moderate EPS 2 concentrations effectively improved soil performance under freeze-thaw conditions. The 20 g/L EPS 2 treatment produced the highest overall strength, with 183.9 kPa at 24% moisture and substantial gains across all other moisture contents, including 164.2 kPa at 12% and 155.7 kPa at 30%. Unlike EPS 1, EPS 2’s high hydrophilicity and polymer network formation allowed even lower concentrations to enhance soil bonding, making it more effective in higher moisture conditions where EPS 1 shows limitations. Overall, EPS 2 consistently outperformed EPS 1 at high moisture contents and demonstrated reliable strength improvements across all freeze-thaw cycles, highlighting its superior versatility and potential for soil stabilization under variable moisture conditions.
4. Discussion
The present study demonstrates that extracellular polymeric substances (EPS) substantially enhance the frost resistance and mechanical performance of silt soils subjected to freeze-thaw (F-T) cycles. In untreated control soils, volumetric strain was dominated by ice lens formation and water migration, leading to significant frost heave (γF up to 6.1%) and microstructural disruption. During freezing, water redistributed from finer pores to growing ice lenses in coarser zones, resulting in localized moisture accumulation and differential expansion. Excess pore water, particularly at 30% moisture content, facilitated ice segregation and progressive expansion, highlighting the vulnerability of frost-susceptible soils under high saturation conditions. Upon thawing, the previously segregated water returned unevenly to the soil matrix, causing microstructural rearrangement and partial compaction. These processes indicate that cyclic freezing and thawing induce progressive rearrangement of soil particles and localized stress concentrations, even without visible microcracking, which affect the macro- and microstructure of the soil. These observations align with classical frost heave theory, in which water migrates toward growing ice lenses, generating internal stresses that disrupt soil fabric [54].
EPS treatment drastically mitigated volumetric strain across all moisture contents by multiple complementary mechanisms. First, EPS molecules, rich in hydroxyl (-OH) groups, formed hydrogen bonds with water and mineral surfaces, creating gel-like networks that physically bind soil particles together. These networks restricted pore connectivity and reduced water mobility, leading to a more uniform moisture distribution during freezing. Consequently, the formation of discrete ice lenses was suppressed, and ice nucleation occurred more homogeneously within the bound water phase rather than as segregated ice lenses. During successive F-T cycles, EPS networks acted to stabilize soil structure, limiting the progressive development of ice segregation and maintaining a more consistent particle arrangement over time. This increased interparticle cohesion reduces water mobility and limits the volume of freezable water, thereby suppressing ice lens nucleation and growth [55]. Second, the polymer networks acted as internal scaffolds, reinforcing the soil microstructure against freeze-induced stresses [56]. Third, EPS retained water in a bound form, reducing the differential freezing of pore water and dampening volumetric oscillations during F-T cycles [57]. These mechanisms collectively explain why high EPS concentrations (20 g/L) nearly eliminated net volumetric strain (γNet ≈ 0%) across all moisture conditions [58].
Differences in performance between EPS 1 and EPS 2 were linked to their molecular architecture and water-binding characteristics. EPS 1, likely possessing longer and more flexible polysaccharide chains, exhibited superior volumetric stabilization across a wide range of moisture contents. Its flexible gel networks maintained adhesion, uniform moisture distribution, and consistent particle arrangement even under low and high saturation conditions, effectively suppressing frost heave over multiple F-T cycles. In contrast, EPS 2, characterized by a denser hydrophilic polymer network, achieved peak stabilization near the optimum moisture content (24%) and at high moisture levels. Its denser structure enhances water retention and limits pore water mobility, resulting in smaller, more evenly distributed ice crystals that reduce stress concentrations. Its denser structure may restrict flexibility but enhances water retention, explaining its superior performance under wetter conditions while limiting effectiveness under dry or low-moisture scenarios [58]. The denser EPS 2 network modifies the structure-forming processes by limiting particle movement and ice growth in wetter soils, while its reduced flexibility makes it less effective under drier conditions.
Compressive strength analysis revealed a complementary trend. In control soils, F-T cycles induced initial strength loss due to microcracking and particle rearrangement, followed by partial recovery as thawed particles re-compacted. EPS 1 substantially enhanced strength at lower and moderate moisture contents (12–18%), achieving a 123% improvement over the control at 12% moisture, reflecting strong adhesion and effective gel-mediated reinforcement [55]. EPS 2 consistently increased strength across all moisture levels, particularly excelling at high moisture (30%), where it reached 183.9 kPa with substantial retention. The strength enhancement is attributed to polymer-induced cohesion, network densification, and cryo-protection of microstructure, which prevent microfractures during ice formation and thawing [58]. Ice formed in EPS-treated soils primarily as dispersed microcrystals rather than large lenses, reducing internal stresses and maintaining the integrity of the soil structure. These observations indicate that EPS additives directly influence structure-forming processes by stabilizing particle arrangement, controlling ice morphology, and preventing progressive microstructural degradation during repeated F-T cycles.
Overall, these results underscore the dual functionality of EPS as a bio-inspired soil stabilizer: it simultaneously mitigates frost-induced volumetric deformation and improves compressive strength. EPS 1 is particularly well suited for soils experiencing variable moisture conditions due to its flexible polymer network and broad adhesive capability, whereas EPS 2 is optimized for wetter soils where water retention and cohesion dominate performance. Although the experiments were conducted under controlled laboratory conditions with discrete moisture contents and fixed freeze-thaw durations, these settings enabled isolation of EPS-driven mechanisms. Extending this work to broader moisture ranges, variable thermal gradients, and field-scale validation represents an important direction for future research. Extending this work to broader moisture ranges, variable thermal gradients, and field-scale validation represents an important direction for future research, particularly to explore EPS effects on ice nucleation, growth morphology, and moisture redistribution under realistic environmental conditions.
5. Conclusions
This study evaluated the impact of EPS 1 and EPS 2 on silt soil subjected to ten freeze-thaw cycles at moisture contents of 12%, 18%, 24% (OMC), and 30%, with EPS concentrations of 3, 10, and 20 g/L.
Key findings include:
- At 20 g/L, γNet ≈ 0% across all moisture contents; lower concentrations (3–10 g/L) reduced γNet to 0.18–0.57%.
- EPS 2 reduced γNet to 0.17–0.68%, with optimal performance near OMC (24%) and decreased efficiency at low or high moisture.
- Compressive strength improvements were significant: EPS 1 reached 164.3 kPa at 12% moisture (123% increase) and 191.2 kPa at 24% moisture, while EPS 2 achieved 183.9 kPa at 30% moisture and 147.1 kPa at 12 and 24% moisture.
These results demonstrate that EPS treatments can effectively suppress freeze-thaw-induced volumetric changes and enhance soil strength, with EPS 1 providing broader volumetric stability and EPS 2 offering greater strength and improvements under wetter conditions.
Author Contributions
Conceptualization, R.R., R.S. and T.V.B.; methodology, R.R., T.G. and T.V.B.; validation, R.R. and T.V.B.; formal analysis, R.R.; investigation, R.R. and T.G.; resources, R.S. and T.V.B.; data curation, R.R.; writing—original draft preparation, R.R.; writing—review and editing, R.R., R.S., T.G. and T.V.B.; visualization, R.R.; supervision, T.V.B.; project administration, T.V.B.; funding acquisition, R.S. and T.V.B. All authors have read and agreed to the published version of the manuscript.
Funding
This research was funded by the National Science Foundation, Award #2314099, Engineering for Civil Infrastructure (ECI) of the Civil, Mechanical, and Manufacturing Innovation program.
Data Availability Statement
The original contributions presented in this study are included in the article. Further inquiries can be directed to the corresponding author.
Acknowledgments
The authors have reviewed and edited the output and take full responsibility for the content of this publication.
Conflicts of Interest
Author Rashed Rahman was employed by the company Colliers Engineering & Design. The remaining authors declare that the research was conducted in the absence of any commercial or financial relationships that could be construed as a potential conflict of interest.
Abbreviations
The following abbreviations are used in this manuscript:
| F-T | Freeze-thaw |
| EPS | Extracellular Polymeric Substance |
| OMC | Optimum Moisture Content |
References
- Tohm, C.; Bheemasetti, T.V.; Rahman, R.; Tabbasum, T. Erosion potential of frost-susceptible soils subjected to freeze-thaw cycles. In Proceedings of the Geo-Congress 2023, Los Angeles, CA, USA, 26–29 March 2023. [Google Scholar]
- Tabassum, T.; Rahman, R.; Bheemasetti, T.V. Thermal-mechanical properties of stabilized clayey sand subgrade soils. Transp. Geotech. 2022, 37, 100880. [Google Scholar] [CrossRef]
- Ulitsky, V.M.; Gorodnova, E.V. The construction of transport infrastructure on permafrost soils. Procedia Eng. 2017, 189, 421–428. [Google Scholar] [CrossRef]
- Rahman, R.; Bheemasetti, T.V. Effects of calcium nitrate on thermal hysteresis and corresponding freezing characteristics of silty sand mixtures. J. Mater. Civ. Eng. 2023, 35, 04023277. [Google Scholar] [CrossRef]
- Smith, C.; Johnston, M.; Lorentz, S. Assessing the compaction susceptibility of South African forestry soils. I. The effect of soil type, water content and applied pressure on uni-axial compaction. Soil Tillage Res. 1997, 41, 53–73. [Google Scholar] [CrossRef]
- Christopher, B.R.; Schwartz, C.W.; Boudreaux, R.; Berg, R.R. Geotechnical Aspects of Pavements; Federal Highway Administration: Washington, DC, USA, 2006.
- Farouki, O.T. Thermal Properties of Soils; U.S. Army Corps of Engineers: Washington, DC, USA, 1981. [Google Scholar]
- Rempel, A.W. Formation of ice lenses and frost heave. J. Geophys. Res. 2007, 112, F02S21. [Google Scholar] [CrossRef]
- Chamberlain, E.J. Frost susceptibility of soil. Crrel Monogr. 1981, 81, 15–39. [Google Scholar]
- Konrad, J.-M.; Morgenstern, N.R. A mechanistic theory of ice lens formation in fine-grained soils. Can. Geotech. J. 1980, 17, 473–486. [Google Scholar] [CrossRef]
- Zhou, Z.; Ma, W.; Zhang, S.; Mu, Y.; Li, G. Effect of freeze-thaw cycles in mechanical behaviors of frozen loess. Cold Reg. Sci. Technol. 2018, 146, 9–18. [Google Scholar] [CrossRef]
- Rahman, R.; Bheemasetti, T.V. Evaluation studies on freezing point depression of stabilized frost-susceptible soil. In Proceedings of the IFCEE 2021, Dallas, TX, USA, 10–14 May 2021; pp. 203–212. [Google Scholar]
- Slate, F.O. Use of Calcium Chloride in Subgrade Soils for Frost Prevention. In Proceedings of the HRB Proc, St. Louis, MI, USA, 1–4 December 1942. [Google Scholar]
- Guthrie, W.S.; Lay, R.D.; Birdsall, A.J. Effect of reduced cement contents on frost heave of silty soil: Laboratory testing and numerical modeling. In Proceedings of the Transportation Research Board 86th Annual Meeting Compendium of Papers, Washington, DC, USA, 21–25 January 2007. [Google Scholar]
- Cetin, B.; Aydilek, A.H.; Guney, Y. Stabilization of recycled base materials with high carbon fly ash. Resour. Conserv. Recycl. 2010, 54, 878–892. [Google Scholar] [CrossRef]
- Ma, Z.; Zhao, H.; Lin, C.; Zhang, F.; Feng, D. Drainage performance of slope installed with wicking geotextile in seasonal frozen areas. In Proceedings of the GeoAsia 8 Symposium Proceedings, Brisbane, QLD, Australia, 10–13 June 2025; Available online: https://geoasia8.org/Microsite/pdf/full-paper_112.pdf (accessed on 4 January 2026).
- Edgar, T.V.; Mathis, R.; McGary, T.; Potter, J.C. Frost heave mitigation using structural polymer injection. In Proceedings of the Transportation Research Board 93rd Annual Meeting, Washington, DC, USA, 12–16 January 2014. [Google Scholar]
- Kaplar, C.W. Phenomenon and mechanism of frost heaving. Highw. Res. Rec. 1970, 304, 1–13. Available online: https://onlinepubs.trb.org/Onlinepubs/hrr/1970/304/304-001.pdf (accessed on 4 January 2026).
- Tao, H.; Jiang, P.; Qu, J.; Huang, Y. The impact of various calcium ion sources on the curing efficacy of MICP. Sci. Rep. 2025, 15, 9149. [Google Scholar] [CrossRef]
- Benhelal, E.; Zahedi, G.; Shamsaei, E.; Bahadori, A. Global strategies and potentials to curb CO2 emissions in cement industry. J. Clean. Prod. 2013, 51, 142–161. [Google Scholar] [CrossRef]
- Leuther, F.; Schlüter, S. Impact of freeze-thaw cycles on soil structure and soil hydraulic properties. Soil 2021, 7, 179–191. [Google Scholar] [CrossRef]
- Joudieh, Z.; Cuisinier, O.; Abdallah, A.; Masrouri, F. Artificial Ground Freezing—On the Soil Deformations during Freeze-Thaw Cycles. Geotechnics 2024, 4, 718–741. [Google Scholar]
- Fan, W.; Yang, P.; Yang, Z.J. Impact of freeze-thaw on the physical properties and compressibility of saturated clay. Cold Reg. Sci. Technol. 2019, 168, 102873. [Google Scholar] [CrossRef]
- Zhou, Y.; Liu, M.; Zhang, X.; Suo, X.; Li, M. Frost mitigation techniques for tunnels in cold regions: The state of the art and perspectives. Atmosphere 2023, 14, 369. [Google Scholar] [CrossRef]
- Qi, J.; Ma, W.; Song, C. Influence of freeze-thaw on engineering properties of a silty soil. Cold Reg. Sci. Technol. 2008, 53, 397–404. [Google Scholar] [CrossRef]
- DeJong, J.T.; Fritzges, M.B.; Nüsslein, K. Microbially induced cementation to control sand response to undrained shear. J. Geotech. Geoenviron. Eng. 2006, 132, 1381–1392. [Google Scholar] [CrossRef]
- Ivanov, V.; Chu, J. Applications of microorganisms to geotechnical engineering for bioclogging and biocementation of soil in situ. Rev. Environ. Sci. Bio/Technol. 2008, 7, 139–153. [Google Scholar] [CrossRef]
- Pahlavan, F.; Rahman, R.; Kazemi, M.; Bheemasetti, T.V.; Fini, E.H. Plastic waste for frost mitigation: A bio-inspired approach to enhance soil resilience and carbon sequestration. Resour. Conserv. Recycl. 2025, 215, 108139. [Google Scholar] [CrossRef]
- Rahman, R.; Bheemasetti, T.V.; Govil, T.; Ticku, A.; Sani, R. A novel approach to control ice formation with psychrophilic microbes. In Proceedings of the Geo-Congress 2023, Los Angeles, CA, USA, 26–29 March 2023. [Google Scholar]
- Flemming, H.-C.; Wingender, J. The biofilm matrix. Nat. Rev. Microbiol. 2010, 8, 623–633. [Google Scholar] [CrossRef] [PubMed]
- Yang, L.; Hu, Y.; Liu, Y.; Zhang, J.; Ulstrup, J.; Molin, S. Distinct roles of extracellular polymeric substances in Pseudomonas aeruginosa biofilm development. Environ. Microbiol. 2011, 13, 1705–1717. [Google Scholar] [CrossRef] [PubMed]
- Flemming, H.C.; van Hullebusch, E.D.; Little, B.J.; Neu, T.R.; Nielsen, P.H.; Seviour, T.; Stoodley, P.; Wingender, J.; Wuertz, S. Microbial extracellular polymeric substances in the environment, technology and medicine. Nat. Rev. Microbiol. 2025, 23, 87–105. [Google Scholar] [CrossRef] [PubMed]
- Yang, F.; Tang, C.; Antonietti, M. Natural and artificial humic substances to manage minerals, ions, water, and soil microorganisms. Chem. Soc. Rev. 2021, 50, 6221–6239. [Google Scholar] [CrossRef]
- Zhang, M.; Wu, Y.; Qu, C.; Huang, Q.; Cai, P. Microbial extracellular polymeric substances (EPS) in soil: From interfacial behaviour to ecological multifunctionality. Geo-Bio Interfaces 2024, 1, e4. [Google Scholar] [CrossRef]
- Costa, O.Y.A.; Raaijmakers, J.M.; Kuramae, E.E. Microbial Extracellular Polymeric Substances: Ecological Function and Impact on Soil Aggregation. Front. Microbiol. 2018, 9, 1636. [Google Scholar] [CrossRef]
- Sarayu, K.; Iyer, N.R.; Murthy, A.R. Exploration on the biotechnological aspect of the ureolytic bacteria for the production of the cementitious materials—A review. Appl. Biochem. Biotechnol. 2014, 172, 2308–2323. [Google Scholar] [CrossRef]
- More, T.T.; Yan, S.; Tyagi, R.D.; Surampalli, R.Y. Biopolymers Production by Mixed Culture and Their Applications in Water and Wastewater Treatment. Water Environ. Res. 2015, 87, 533–546. [Google Scholar] [CrossRef]
- Li, X.; Lu, J.; Li, M.; Qiu, S.; Ge, S. Extracellular polymeric substances in indigenous microalgal-bacterial consortia: Advances in characterization techniques and emerging applications. World J. Microbiol. Biotechnol. 2025, 41, 144. [Google Scholar] [CrossRef]
- Murugan, R.; Suraishkumar, G.; Mukherjee, A.; Dhami, N.K. Influence of native ureolytic microbial community on biocementation potential of Sporosarcina pasteurii. Sci. Rep. 2021, 11, 20856. [Google Scholar] [CrossRef]
- Peng, S.; Hu, A.; Ai, J.; Zhang, W.; Wang, D. Changes in molecular structure of extracellular polymeric substances (EPS) with temperature in relation to sludge macro-physical properties. Water Res. 2021, 201, 117316. [Google Scholar] [CrossRef] [PubMed]
- Rahman, R.; Sharma, R.; Garg, I.; Bheemasetti, T.V.; Govil, T.; Lingwall, B.N.; Sani, R. Utilizing Extracellular Polymeric Substances (EPS) from Psychrophilic Bacteria for Bio-Mediated Frost-Susceptible Soil Stabilization. In Proceedings of the 2025 International Conference on Bio-Mediated and Bio-Inspired Geotechnics (ICBBG), Tempe, AZ, USA, 20 May 2025. [Google Scholar]
- Rahman, R. Bio-Mediated Technique to Control Phase Changes of Porous Media in Seasonally Frozen Ground. Doctoral Dissertation, The University of Arizona, Tucson, AZ, USA, 2024. [Google Scholar]
- Guerreiro, B.M.; Lima, J.C.; Silva, J.C.; Freitas, F. Polysaccharides in cryopreservation: Multidimensional systematic review of extremophilic traits and the role of selective pressure in structure-function relationships. Carbohydr. Polym. 2026, 371, 124462. [Google Scholar] [CrossRef] [PubMed]
- Rahman, R.; Bheemasetti, T.V.; Govil, T.; Sani, R. Psychrophiles to control ice-water phase changes in frost-susceptible soils. Sci. Rep. 2024, 14, 477. [Google Scholar] [CrossRef] [PubMed]
- ASTM E3294-22; Standard Guide for Evaluation of Wicking Geotextiles. ASTM International: West Conshohocken, PA, USA, 2022.
- ASTM D6913/D6913M-17; Standard Test Methods for Particle-Size Distribution (Gradation) of Soils Using Sieve Analysis. ASTM International: West Conshohocken, PA, USA, 2017.
- ASTM D854-14; Standard Test Methods for Specific Gravity of Soil Solids by Water Pycnometer. ASTM International: West Conshohocken, PA, USA, 2014.
- ASTM D698-12e2; Standard Test Methods for Laboratory Compaction Characteristics of Soil Using Standard Effort (12,400 ft-lbf/ft3 (600 kN-m/m3)). ASTM International: West Conshohocken, PA, USA, 2012.
- Wang, J.; Salem, D.R.; Sani, R.K. Synthesis of biopolymers from a Geobacillus sp. WSUCF1 using unprocessed corn stover. ACS Sustain. Chem. Eng. 2020, 8, 9483–9496. [Google Scholar] [CrossRef]
- ASTM C666/C666M-15; Standard Test Method for Resistance of Concrete to Rapid Freezing and Thawing. ASTM International: West Conshohocken, PA, USA, 2015.
- Yasun, A.S. Capability of pocket penetrometer to evaluate unconfined compressive strength of baghdad clayey soil. Al-Nahrain J. Eng. Sci. 2018, 21, 66–73. [Google Scholar] [CrossRef]
- Das, B.M. Advanced Soil Mechanics; CRC Press: Boca Raton, FL, USA, 2019. [Google Scholar]
- Mousavi, F.; Abdi, E.; Ghalandarayeshi, S.; Page-Dumroese, D.S. Modeling unconfined compressive strength of fine-grained soils: Application of pocket penetrometer for predicting soil strength. Catena 2021, 196, 104890. [Google Scholar] [CrossRef]
- Ding, M.; Zhang, F.; Ling, X.; Lin, B. Effects of freeze-thaw cycles on mechanical properties of polypropylene Fiber and cement stabilized clay. Cold Reg. Sci. Technol. 2018, 154, 155–165. [Google Scholar] [CrossRef]
- Njagi, D.M.; Routh, J.; Odhiambo, M.; Luo, C.; Basapuram, L.G.; Olago, D.; Klump, V.; Stager, C. A century of human-induced environmental changes and the combined roles of nutrients and land use in Lake Victoria catchment on eutrophication. Sci. Total Environ. 2022, 835, 155425. [Google Scholar] [CrossRef]
- Guo, F.; Shi, H.; Cheng, M.; Gao, W.; Yang, H.; Miao, Q. A study of the insulation mechanism and anti-frost heave effects of polystyrene boards in seasonal frozen soil. Water 2018, 10, 979. [Google Scholar] [CrossRef]
- Fan, L.; Jiang, C.; Wang, X.; Yang, Y.; Xie, Y.; Su, J.; Sun, H.; Xu, S.; Zhuang, X. Harnessing the Potential of Extracellular Polymeric Substances in Enhancing ANAMMOX Processes: Mechanisms, Strategies, and Perspectives. Water 2024, 16, 1242. [Google Scholar] [CrossRef]
- Mei, L.; Gu, H.; He, J.; Cheng, T. Physical and mechanical properties of expanded polystyrene (EPS) particle lightweight soil under Freeze-Thaw cycles. ACS Omega 2023, 8, 31365–31372. [Google Scholar] [CrossRef]
Disclaimer/Publisher’s Note: The statements, opinions and data contained in all publications are solely those of the individual author(s) and contributor(s) and not of MDPI and/or the editor(s). MDPI and/or the editor(s) disclaim responsibility for any injury to people or property resulting from any ideas, methods, instructions or products referred to in the content. |
© 2026 by the authors. Licensee MDPI, Basel, Switzerland. This article is an open access article distributed under the terms and conditions of the Creative Commons Attribution (CC BY) license.








