Sign in to use this feature.

Years

Between: -

Subjects

remove_circle_outline
remove_circle_outline
remove_circle_outline
remove_circle_outline
remove_circle_outline
remove_circle_outline
remove_circle_outline
remove_circle_outline
remove_circle_outline

Journals

remove_circle_outline
remove_circle_outline
remove_circle_outline
remove_circle_outline
remove_circle_outline
remove_circle_outline
remove_circle_outline
remove_circle_outline
remove_circle_outline
remove_circle_outline
remove_circle_outline
remove_circle_outline
remove_circle_outline

Article Types

Countries / Regions

remove_circle_outline
remove_circle_outline
remove_circle_outline
remove_circle_outline
remove_circle_outline
remove_circle_outline
remove_circle_outline

Search Results (1,399)

Search Parameters:
Keywords = marine drug

Order results
Result details
Results per page
Select all
Export citation of selected articles as:
12 pages, 2466 KB  
Article
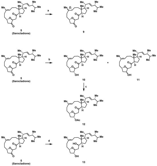
Design and Synthesis of Marine Sarocladione Derivatives with Potential Anticancer Activity
by Xiao-Mei Liu, Wen-Xuan Li, Ling-Xiu Kong, Guan-Ying Han, Jinghan Gui and Xu-Wen Li
Mar. Drugs 2026, 24(1), 48; https://doi.org/10.3390/md24010048 - 20 Jan 2026
Abstract
The discovery of structurally novel anti-tumor agents remains a crucial objective in cancer drug research. In this study, we systematically explored the bioactivity potential of sarocladione (5), a structurally unique marine-derived 14-membered ring diketone steroid. Guided by a function-oriented strategy, seven [...] Read more.
The discovery of structurally novel anti-tumor agents remains a crucial objective in cancer drug research. In this study, we systematically explored the bioactivity potential of sarocladione (5), a structurally unique marine-derived 14-membered ring diketone steroid. Guided by a function-oriented strategy, seven new derivatives (613) were synthesized based on an efficient biomimetic synthesis of sarocladione. Evaluation of their antiproliferative activities against human cancer cell lines demonstrated that the intact macrocyclic scaffold is indispensable for activity. Extension of the conjugated π-system led to the identification of compound 8, which exhibited approximately four-fold enhanced potency against HCT116 cells (IC50 = 1.86 µM) compared with the parent natural product. Stereochemical analysis further revealed the critical role of the (5R)-configuration at C-5. Phenotypic investigations indicated that compound 8 induces concentration-dependent G2/M phase cell cycle arrest, followed by apoptosis, suggesting a cell cycle-dependent antiproliferative effect. Overall, this study highlights sarocladione as a promising marine-derived scaffold for further antiproliferative optimization. Full article
Show Figures

Figure 1

44 pages, 5904 KB  
Review
Steroidal Compounds at the Crossroads of Inflammation and Cancer: Implications for Drug Discovery and Therapy
by Valery M. Dembitsky and Alexander O. Terent’ev
Biomedicines 2026, 14(1), 214; https://doi.org/10.3390/biomedicines14010214 - 19 Jan 2026
Abstract
Steroidal compounds lie at the crossroads of inflammation and cancer, where modulation of common signaling pathways creates opportunities for dual-action therapeutic intervention. Accumulating evidence indicates that their anti-inflammatory and antitumor activities are frequently interconnected, reflecting shared molecular mechanisms that regulate immune signaling, oxidative [...] Read more.
Steroidal compounds lie at the crossroads of inflammation and cancer, where modulation of common signaling pathways creates opportunities for dual-action therapeutic intervention. Accumulating evidence indicates that their anti-inflammatory and antitumor activities are frequently interconnected, reflecting shared molecular mechanisms that regulate immune signaling, oxidative stress, cell proliferation, and apoptosis. This review provides a critical and comparative analysis of major classes of bioactive steroids—including furanosteroids, neo-steroids, aromatic steroids, α,β-epoxy steroids, peroxy steroids, cyanosteroids, nitro- and epithio steroids, halogenated steroids (fluorinated, chlorinated, brominated, iodinated), and steroid phosphate esters—with emphasis on their dual anti-inflammatory and anticancer potential. More than one thousand steroidal metabolites derived from plants, fungi, marine organisms, bacteria, and synthetic sources are surveyed. While the majority exhibit either anti-inflammatory or antineoplastic activity alone, only a limited subset displays potent activity in both domains. Comparative evaluation highlights the structural features that favor dual functionality, including epoxide, peroxide, nitrile, nitro, halogen, and phosphate ester moieties, as well as rearranged or heteroatom-enriched steroidal frameworks. Where available, biological data from in vitro and in vivo assays (IC50 values, enzyme inhibition, cytokine modulation, and antiproliferative effects) are summarized and critically compared. Special attention is given to rare natural metabolites—such as polyhalogenated marine steroids, phosphorylated sterols, and heteroatom-containing derivatives—as well as synthetic analogues designed to enhance cytotoxic or immunomodulatory efficacy. Mechanistically, steroids exhibiting dual activity commonly modulate convergent signaling pathways, including NF-κB, JAK/STAT, MAPK, PI3K/AKT, redox homeostasis, and apoptosis regulation. Collectively, these findings underscore the potential of structurally optimized steroids as multifunctional therapeutic agents and provide a framework for the rational design of next-generation anti-inflammatory and anticancer drugs. Full article
Show Figures

Figure 1

38 pages, 2430 KB  
Review
Advances in Natural Products from Mangrove-Associated Fungi Along the Indian Ocean Coast
by Parakkrama Wijerathna, Xinqi Chen, Rongxiang Qiu, P.V.J.S. Wijethilake, Yi Chen, Nuwan Madushanka, I.J.J.U.N. Perera, Jian Cai, Lalith Jayasinghe, Yonghong Liu, Vajira P. Bulugahapitiya and Xuefeng Zhou
Molecules 2026, 31(2), 261; https://doi.org/10.3390/molecules31020261 - 12 Jan 2026
Viewed by 215
Abstract
Mangrove ecosystems along the Indian Ocean coast show great biodiversity, adapting to harsh environmental conditions of high salinity and higher organic matter, and they are a host for a range of microbial communities with special features that produce unique secondary metabolites. Of this, [...] Read more.
Mangrove ecosystems along the Indian Ocean coast show great biodiversity, adapting to harsh environmental conditions of high salinity and higher organic matter, and they are a host for a range of microbial communities with special features that produce unique secondary metabolites. Of this, mangrove-associated endophytic fungi, the second largest ecological group of marine fungi, show the greater potential, being a diverse pool for discovering novel bio-actives with pharmacological and biotechnological interest. This review summarizes the research findings on structural diversity and the associated pharmacological activities of secondary metabolites produced by mangrove-associated fungi along the Indian Ocean coast reported over the period of 2002–2025, based on the literature retrieved from Google Scholar. The total of 302 secondary metabolites is presented mainly from classes of polyketides (208), alkaloids (34), and terpenoids (60). Interestingly, 164 compounds were identified, as first reported in those publications. These compounds have been reported to show diverse biological activities, and the most prominent activities are cytotoxic, antibacterial, antifungal, antioxidant, enzyme inhibitory, and anti-inflammatory effects. The structural novelty and pharmacological activities of these metabolites highlight the importance of mangrove fungi as promising sources for new drug discovery and advancing industrial biotechnology. Therefore, this review highlights the insight into the possible application of these chemical compounds in the future drug industry, as well as in biotechnology for advancing human well-being. Furthermore, though significant progress has been made in exploring the fungi community from mangroves of the African and Middle Eastern coasts, the Indian coast mangrove fungi are yet to be explored more for novel discoveries. Full article
Show Figures

Figure 1

26 pages, 2985 KB  
Review
Marine Derived Natural Products: Emerging Therapeutics Against Herpes Simplex Virus Infection
by Vaibhav Tiwari, James Elste, Chunyu Wang and Fuming Zhang
Biomolecules 2026, 16(1), 100; https://doi.org/10.3390/biom16010100 - 7 Jan 2026
Viewed by 409
Abstract
Herpes simplex viruses (HSV-1 and HSV-2) are highly prevalent human pathogens that establish lifelong latency in sensory neurons, posing a persistent challenge to global public health. Their clinical manifestations range from mild, self-limiting orolabial lesions to severe, life-threatening conditions such as disseminated neonatal [...] Read more.
Herpes simplex viruses (HSV-1 and HSV-2) are highly prevalent human pathogens that establish lifelong latency in sensory neurons, posing a persistent challenge to global public health. Their clinical manifestations range from mild, self-limiting orolabial lesions to severe, life-threatening conditions such as disseminated neonatal infections, focal encephalitis, and herpetic stromal keratitis, which can lead to irreversible corneal blindness. Beyond direct pathology, HSV-mediated genital ulcerative disease (GUD) significantly enhances mucosal susceptibility to HIV-1 and other sexually transmitted infections, amplifying co-infection risk and disease burden. Despite decades of clinical reliance on nucleoside analogues such as acyclovir, the therapeutic landscape has stagnated with rising antiviral resistance, toxicity associated with prolonged use, and the complete inability of current drugs to eliminate latency or prevent reactivation continue to undermine effective disease control. These persistent gaps underscore an urgent need for next-generation antivirals that operate through fundamentally new mechanisms. Marine ecosystems, the planet’s most chemically diverse environments, are providing an expanding repertoire of antiviral compounds with significant therapeutic promise. Recent discoveries reveal that marine-derived polysaccharides, sulfated glycans, peptides, alkaloids, and microbial metabolites exhibit remarkably potent and multi-targeted anti-HSV activities, disrupting viral attachment, fusion, replication, and egress, while also reshaping host antiviral immunity. Together, these agents showcase mechanisms and scaffolds entirely distinct from existing therapeutics. This review integrates emerging evidence on structural diversity, mechanistic breadth, and translational promise of marine natural products with anti-HSV activity. Collectively, these advances position marine-derived compounds as powerful, untapped scaffolds capable of reshaping the future of HSV therapeutics. Full article
(This article belongs to the Topic Natural Products and Drug Discovery—2nd Edition)
Show Figures

Graphical abstract

17 pages, 4610 KB  
Article
Antarctic Microalga Chlamydomonas sp. ICE-L Cryptochrome CiCRY-DASH1 Mediates Efficient DNA Photorepair of UV-Induced Cyclobutane Pyrimidine Dimer and 6-4 Photoproducts
by Zhou Zheng, Xinning Pan, Zhiru Liu, Yanan Tan, Zejun Wu and Ning Du
Mar. Drugs 2026, 24(1), 25; https://doi.org/10.3390/md24010025 - 7 Jan 2026
Viewed by 194
Abstract
Cryptochromes (CRYs) are a conserved class of blue light and near-ultraviolet light receptors that regulate diverse processes, including photomorphogenesis in plants. In the extreme Antarctic environment, ice algae endure intense UV radiation, prolonged darkness, and low temperatures, where cryptochromes play a vital role [...] Read more.
Cryptochromes (CRYs) are a conserved class of blue light and near-ultraviolet light receptors that regulate diverse processes, including photomorphogenesis in plants. In the extreme Antarctic environment, ice algae endure intense UV radiation, prolonged darkness, and low temperatures, where cryptochromes play a vital role in light sensing and stress response. In this study, we cloned the complete open reading frame (ORF) of the cryptochrome gene CiCRY-DASH1 from the Antarctic microalga Chlamydomonas sp. ICE-L. Both in vivo and in vitro DNA photorepair assays showed that CiCRY-DASH1 effectively repairs cyclobutane pyrimidine dimer (CPD) and 6-4 photoproducts (6-4PPs) induced by UV radiation. Furthermore, deletion of the N-terminal and C-terminal loop regions, combined with activity assays, revealed that the C-terminal loop region plays a crucial role in photorepair activity. These findings elucidate the adaptive photorepair mechanisms of Antarctic microalgae and establish CiCRY-DASH1 as a valuable genetic resource. Specifically, the high catalytic efficiency and evolutionary robustness of the engineered variants position it as a promising marine bioactive agent for photoprotective therapeutics and a strategic target for constructing microbial chassis to enable sustainable drug biomanufacturing. Full article
(This article belongs to the Section Marine Biotechnology Related to Drug Discovery or Production)
Show Figures

Figure 1

21 pages, 5470 KB  
Article
Structure-Based Virtual Screening and In Silico Evaluation of Marine Algae Metabolites as Potential α-Glucosidase Inhibitors for Antidiabetic Drug Discovery
by Bouchra Rossafi, Oussama Abchir, Fatimazahra Guerguer, Kasim Sakran Abass, Imane Yamari, M’hammed El Kouali, Abdelouahid Samadi and Samir Chtita
Pharmaceuticals 2026, 19(1), 98; https://doi.org/10.3390/ph19010098 - 5 Jan 2026
Viewed by 274
Abstract
Background/Objectives: Diabetes mellitus is a serious global disease characterized by chronic hyperglycemia, resulting from defects in insulin secretion, insulin action, or both. It represents a major health concern affecting millions of people worldwide. This condition can lead to severe complications significantly affecting patients’ [...] Read more.
Background/Objectives: Diabetes mellitus is a serious global disease characterized by chronic hyperglycemia, resulting from defects in insulin secretion, insulin action, or both. It represents a major health concern affecting millions of people worldwide. This condition can lead to severe complications significantly affecting patients’ quality of life. Due to the limitations and side effects of current therapies, the search for safer and more effective antidiabetic agents, particularly from natural sources, has gained considerable attention. This study investigates the antidiabetic potential of seaweed-derived compounds through structure-based virtual screening targeting α-glucosidase. Methods: A library of compounds derived from the Seaweed Metabolite Database was subjected to a hierarchical molecular docking protocol against α-glucosidase. Extra Precision (XP) docking was employed to identify the top-ranked ligands based on their binding affinities. Drug-likeness was assessed according to Lipinski’s Rule of Five, followed by pharmacokinetic and toxicity predictions to evaluate ADMET properties. Density Functional Theory (DFT) calculations were performed to analyze the electronic properties and chemical reactivity of the selected compounds. Furthermore, molecular dynamics simulations were carried out to examine the stability and dynamic behavior of the ligand–enzyme complexes. Results: Following XP docking and ADMET prediction, four promising compounds were selected: Colensolide A, Rhodomelol, Callophycin A, and 7-(2,3-dibromo-4,5-dihydroxybenzyl)-3,7-dihydro-1H-purine-2,6-dione. Molecular dynamics simulations further confirmed the structural stability and strong binding interactions of these compounds within the α-glucosidase active site. Conclusions: This investigation demonstrated the important role of seaweed-derived compounds in inhibiting α-glucosidase activity. Further experimental validation is warranted to confirm their biological activity and therapeutic potential. Full article
(This article belongs to the Section Medicinal Chemistry)
Show Figures

Figure 1

15 pages, 2917 KB  
Article
Marine Bromophenol Derivatives as a Novel Class of Potent Small-Molecule STING Agonists
by Manqing Tang, Qiuhui Guo, Ping Wang, Yunfei Li and Bo Jiang
Curr. Issues Mol. Biol. 2026, 48(1), 61; https://doi.org/10.3390/cimb48010061 - 5 Jan 2026
Viewed by 226
Abstract
Activation of the stimulator of interferon genes (STING) pathway has emerged as a promising strategy for cancer immunotherapy. However, the initial cyclic dinucleotide (CDN) analogs developed as STING agonists have shown limited efficacy in clinical trials, prompting interest in non-CDN small-molecule alternatives. In [...] Read more.
Activation of the stimulator of interferon genes (STING) pathway has emerged as a promising strategy for cancer immunotherapy. However, the initial cyclic dinucleotide (CDN) analogs developed as STING agonists have shown limited efficacy in clinical trials, prompting interest in non-CDN small-molecule alternatives. In this study, we identified a novel series of bromophenol derivatives as effective STING agonists. Among these derivatives, OSBP63 robustly activated the STING signaling pathway, resulting in enhanced phosphorylation of interferon regulatory factor 3 (p-IRF3) and increased secretion of interferon-β (IFN-β). Co-administration of Marine Bromophenol Derivative (OSBP63) with paclitaxel (PTX), a conventional anticancer drug, significantly suppressed B-cell lymphoma-2 (BCL-2) expression and protein kinase B (AKT) phosphorylation, thereby demonstrating pronounced anti-tumor activity in a mouse model of breast cancer. These findings suggest that OSBP63 represents a promising non-CDN small-molecule STING agonist candidate, offering a valuable lead for future anticancer therapeutic development. Full article
(This article belongs to the Special Issue Innovations in Marine Biotechnology and Molecular Biology)
Show Figures

Figure 1

29 pages, 1989 KB  
Review
Marine Macroalgal Polysaccharides in Nanomedicine: Blue Biotechnology Contributions in Advanced Therapeutics
by Renu Geetha Bai, Surya Sudheer, Amal D. Premarathna and Rando Tuvikene
Molecules 2026, 31(1), 175; https://doi.org/10.3390/molecules31010175 - 2 Jan 2026
Viewed by 539
Abstract
Marine macroalgae represent a versatile and sustainable platform within blue biotechnology, offering structurally diverse polysaccharides that are making significant contributions to next-generation therapeutical applications. Algae are rich sources of high-value biomolecules, including polysaccharides, vitamins, minerals, proteins, antioxidants, pigments and fibers. Algal biomolecules are [...] Read more.
Marine macroalgae represent a versatile and sustainable platform within blue biotechnology, offering structurally diverse polysaccharides that are making significant contributions to next-generation therapeutical applications. Algae are rich sources of high-value biomolecules, including polysaccharides, vitamins, minerals, proteins, antioxidants, pigments and fibers. Algal biomolecules are widely explored in modern pharmaceuticals due to their range of physiochemical and biological properties. Recently, algal polysaccharides have gained increasing attention in nanomedicine due to their biocompatibility, biodegradability and tunable bioactivity. The nanomedical applications of algal polysaccharides pertain to their anti-coagulant, antiviral, anti-inflammatory, antimicrobial and anti-cancer properties. In this review, we discuss some major macroalgal polysaccharides, such as agar, agarose, funoran, porphyran, carrageenan, alginate and fucoidan, as well as their structure, uses, and applications in nanomedical systems. Both sulfated and non-sulfated polysaccharides demonstrate significant therapeutic properties when engineered into their nanotherapeutic forms. Previous studies show antimicrobial potential of 80–90% antiviral activity > 70%, significant anticoagulant activity, and excellent anticancer responses (up to 80% reductions in cancer cell viability have been reported in nanoformulated versions of polysaccharides). This review discusses structure–function relationships, bioactivities, nanomaterial synthesis and nanomedical applications (e.g., drug delivery, tissue engineering, biosensing, bioimaging, and nanotheranostics). Overall, this review reflects the potential of algal polysaccharides as building blocks in sustainable biomedical engineering in the future healthcare industry. Full article
Show Figures

Graphical abstract

21 pages, 7802 KB  
Article
A Structure-Based Deep Learning Framework for Correcting Marine Natural Products’ Misannotations Attributed to Host–Microbe Symbiosis
by Xiaohe Tian, Chuanyu Lyu, Yiran Zhou, Liangren Zhang, Aili Fan and Zhenming Liu
Mar. Drugs 2026, 24(1), 20; https://doi.org/10.3390/md24010020 - 1 Jan 2026
Viewed by 349
Abstract
Marine natural products (MNPs) are a diverse group of bioactive compounds with varied chemical structures, but their biological origins are often misannotated due to complex host–microbe symbiosis. Propagated through public databases, such errors hinder biosynthetic studies and AI-driven drug discovery. Here, we develop [...] Read more.
Marine natural products (MNPs) are a diverse group of bioactive compounds with varied chemical structures, but their biological origins are often misannotated due to complex host–microbe symbiosis. Propagated through public databases, such errors hinder biosynthetic studies and AI-driven drug discovery. Here, we develop a structure-based workflow of origin classification and misannotation correction for marine datasets. Using CMNPD and NPAtlas compounds, we integrate a two-step cleaning strategy that detects label inconsistencies and filters structural outliers with a microbial-pretrained graph neural network. The optimized model achieves a balanced accuracy of 85.56% and identifies 3996 compounds whose predicted microbial origins contradict their Animalia labels. These putative symbiotic metabolites cluster within known high-risk taxa, and interpretability analysis reveal biologically coherent structural patterns. This framework provides a scalable quality-control approach for natural product databases and supports more accurate biosynthetic gene cluster (BGC) tracing, host selection, and AI-driven marine natural product discovery. Full article
(This article belongs to the Special Issue Chemoinformatics for Marine Drug Discovery)
Show Figures

Graphical abstract

13 pages, 3265 KB  
Article
Waterproof Fabric with Copper Ion-Loaded Multicompartmental Nanoparticle Coatings for Jellyfish Repellency
by Bo Wang, Muzi Yang, Ruiqian Yao, Haixia Zhao, Dengguang Yu, Lin Du, Shuaijun Zou and Yuanjie Zhu
Pharmaceutics 2026, 18(1), 47; https://doi.org/10.3390/pharmaceutics18010047 - 30 Dec 2025
Viewed by 266
Abstract
Background: Effective prevention of jellyfish stings is crucial for human safety during marine activities. Traditional protective methods are often limited in terms of coverage area and duration of protection; Methods: This study designed and tested a novel jellyfish-repellent textile by coating waterproof [...] Read more.
Background: Effective prevention of jellyfish stings is crucial for human safety during marine activities. Traditional protective methods are often limited in terms of coverage area and duration of protection; Methods: This study designed and tested a novel jellyfish-repellent textile by coating waterproof polyester fabric with copper ion-loaded multicompartmental nanoparticles, which repel jellyfish by disrupting their cellular membranes and physiological functions. The nanoparticles were synthesized to enable spatial separation of components, enhance stability, and allow controlled copper ion release. They were applied to the fabric in one step via high-voltage electrostatic spray technology, followed by characterization using SEM and FT-IR. The copper sulfate release profile and nanoparticle adhesion were analyzed. Jellyfish-repellent efficacy was evaluated, along with biocompatibility tests including skin sensitization (Magnusson and Kligman method), skin irritation (Draize test), and cytotoxicity (MTT assay on L929 cells and human dermal fibroblasts). Results: SEM confirmed the formation of uniform multicompartmental nanoparticles with sizes ranging from 2.28 to 3.15 μm. FT-IR verified successful anchoring of Cu2+ ions to fabric fibers through coordination with hydroxyl groups. Drug release tests demonstrated water-triggered controlled release of copper ions lasting over 168 h, with nanoparticle retention rates exceeding 70% on all fabrics. The textile showed significant effectiveness in repelling jellyfish. Moreover, no apparent sensitization, irritation, or cytotoxicity was observed. Conclusions: A novel jellyfish-repellent textile was successfully developed using copper ion-loaded multicompartmental nanoparticles. This textile provides a promising solution for preventing jellyfish stings and contributes to the advancement of protective gear for marine activities. Full article
Show Figures

Graphical abstract

29 pages, 1543 KB  
Review
Biodiversity-Driven Natural Products and Bioactive Metabolites
by Giancarlo Angeles Flores, Gaia Cusumano, Roberto Venanzoni and Paola Angelini
Plants 2026, 15(1), 104; https://doi.org/10.3390/plants15010104 - 29 Dec 2025
Viewed by 437
Abstract
Natural products represent one of the most diverse and functionally sophisticated groups of bioactive molecules found across plants, fungi, bacteria, and marine organisms. Recent advances in genomics, metabolomics, and chemical ecology have fundamentally redefined how these compounds are generated, regulated, and functionally deployed [...] Read more.
Natural products represent one of the most diverse and functionally sophisticated groups of bioactive molecules found across plants, fungi, bacteria, and marine organisms. Recent advances in genomics, metabolomics, and chemical ecology have fundamentally redefined how these compounds are generated, regulated, and functionally deployed in nature. Increasing evidence reveals that chemical diversity arises not solely from taxonomic lineage but from ecological pressures, evolutionary innovation, and multi-organism interactions that shape biosynthetic pathways over time. Hybrid metabolic architectures, context-dependent activation of biosynthetic gene clusters, and cross-kingdom metabolic integration collectively portray a biosynthetic landscape far more dynamic and interconnected than previously understood. At the same time, mechanistic studies demonstrate that natural products rarely act through single-target interactions. Instead, they influence redox dynamics, membrane architecture, chromatin accessibility, and intracellular signaling in distributed and synergistic ways that reflect both ecological function and evolutionary design. This review synthesizes emerging insights into the evolutionary drivers, ecological determinants, and mechanistic foundations of natural product diversity, highlighting the central role of silent biosynthetic gene clusters, meta-organismal chemistry, and network-level modes of action. By integrating these perspectives, we outline a conceptual and methodological framework capable of unlocking the vast biosynthetic potential that remains dormant within natural systems. Collectively, these advances reposition natural product research as a deeply integrative discipline at the intersection of molecular biology, ecology, evolution, and chemical innovation. Full article
Show Figures

Graphical abstract

11 pages, 1658 KB  
Article
Bioactive Potential of Soft Coral-Associated Bacteria Collected from the Red Sea, Egypt
by Doaa S. Aboelwafa, Abdel-Hamied M. Rasmey, Akram A. Aboseidah, Noura S. Dosoky and Samar M. Abdelrahman
Appl. Microbiol. 2026, 6(1), 4; https://doi.org/10.3390/applmicrobiol6010004 - 25 Dec 2025
Viewed by 250
Abstract
In this study, we used a culture-dependent approach to explore the biochemical potential of bacteria associated with two genera of soft corals collected from the Red Sea (phylum Cnidaria, class Anthozoa, subclass Octocorallia, order Alcyonaceae, and family Alcyoniidae). The soft corals were identified [...] Read more.
In this study, we used a culture-dependent approach to explore the biochemical potential of bacteria associated with two genera of soft corals collected from the Red Sea (phylum Cnidaria, class Anthozoa, subclass Octocorallia, order Alcyonaceae, and family Alcyoniidae). The soft corals were identified as Cladiella sp. and Paralemnalia sp. The associated bacteria were isolated on marine agar, nutrient agar, starch casein agar, ISP2 Agar, and M1 agar. The highest proportion of strains was recovered using marine agar, followed by nutrient agar and M1. We focused on Gram-positive bacteria and evaluated their cytotoxicity and antimicrobial activity. About 24% of the bacterial samples demonstrated promising cytotoxicity against Ehrlich ascites carcinoma (EAC). Out of 12 bioactive isolated strains, two bacterial isolates showed strong cytotoxicity, with IC50 values of 134.47 and 148.5 µg/mL, respectively. Nine isolates displayed significant antimicrobial activity against two tested pathogens. Based on the 16S rRNA gene sequence, two bioactive bacterial isolates were identified as Bacillus subtilis and Microbacterium sp. These findings indicate that bacteria associated with soft corals could be a valuable source of new bioactive compounds with potential uses in drug development. Furthermore, our data add important insights to the understudied field of host-microbiome relationships in soft corals. Full article
Show Figures

Graphical abstract

23 pages, 592 KB  
Article
Ecotoxicity of Fluoxetine Hydrochloride on Aquatic Organisms from Different Taxonomic Groups
by Gabriel Souza-Silva, Maria Clara V. M. Starling, Clessius Ribeiro de Souza, Daniela de Carvalho, Mariângela Domingos Alcântara, Fernando Rodrigues-Silva, Cíntia Aparecida de Jesus Pereira, Marcos Paulo Gomes Mol and Micheline Rosa Silveira
Environments 2026, 13(1), 10; https://doi.org/10.3390/environments13010010 - 24 Dec 2025
Viewed by 470
Abstract
Fluoxetine (FLX) is an antidepressant pertaining to the class of selective serotonin reuptake inhibitors. FLX use has increased in the past decade culminating in its discharge to surface waters. Owing to the limited knowledge about the toxicity of this drug to aquatic biota, [...] Read more.
Fluoxetine (FLX) is an antidepressant pertaining to the class of selective serotonin reuptake inhibitors. FLX use has increased in the past decade culminating in its discharge to surface waters. Owing to the limited knowledge about the toxicity of this drug to aquatic biota, this study aimed to evaluate potential toxic effects of FLX on green algae Chlorella vulgaris, cyanobacteria Microcystis novacekii, marine bacteria Aliivibrio fischeri, and mollusk Biomphalaria glabrata. Assays with C. vulgaris and M. novacekii followed OECD protocol 201 (2011) and NBR 12648 standard (2018), respectively. The assay with A. fischeri was carried out according to ISO/OIN 11348-3 (2007). Toxicity assays with B. glabrata were performed by exposing these organisms (newborn and embryos) in 24-well culture plates for 3 and 7 days, respectively. All test-organisms were exposed to at least 6 different concentrations of FLX, ranging from 0.1 to 20,000 µg/L, in triplicates. Effect concentrations (EC50) obtained for these assays showed that FLX is more toxic to M. novacekii (10.71 ± 1.67 µg/L), followed by C. vulgaris (13.01 ± 2.01 µg/L) and A. fischeri (3140 ± 1050 µg/L). Regarding B. glabrata, the 50% lethal concentration for newborns was 1770 ± 260 µg/L, while for embryos it was equivalent to 34.98 ± 3.66 µg/L. Considering recent reports of FLX occurrence in environmental matrices in the µg/L range, results reported in this study and the toxicity classification criteria by the Globally Harmonized System, FLX poses high risk to aquatic environments, its biodiversity, and ecosystems. Therefore, measures must be taken to prevent the disposal of waste containing FLX into the environment, especially in region lacking basic sanitation infrastructure. Full article
(This article belongs to the Special Issue Biomonitoring and Risk Assessment of Marine Ecosystems)
Show Figures

Figure 1

62 pages, 10208 KB  
Review
Extracting Value from Marine and Microbial Natural Product Artifacts and Chemical Reactivity
by Mark S. Butler and Robert J. Capon
Mar. Drugs 2026, 24(1), 5; https://doi.org/10.3390/md24010005 - 20 Dec 2025
Viewed by 856
Abstract
Natural products are and continue to be a remarkable resource, rich in structural diversity, and endowed with valuable chemical and biological properties that have advanced both science and society. Some natural products, especially those from marine organisms, are chemically reactive, and during extraction [...] Read more.
Natural products are and continue to be a remarkable resource, rich in structural diversity, and endowed with valuable chemical and biological properties that have advanced both science and society. Some natural products, especially those from marine organisms, are chemically reactive, and during extraction and handling can partially or totally transform into artifacts. All too often overlooked or mischaracterised as natural products, artifacts can be invaluable indicators of a uniquely evolved and primed chemical space, with enhanced chemical and biological properties highly prized for drug discovery. To demonstrate this potential, we review a wide selection of marine and microbial case studies, revealing the factors that initiate artifact formation (e.g., solvents, heat, pH, light and air oxidation) and commenting on the mechanisms behind artifact formation. We conclude with reflections on how to recognise and control artifact formation, and how to exploit knowledge of artifacts as a window into unique regions of natural product chemical space—to better inform the development of future marine bioproducts. Full article
(This article belongs to the Special Issue From Marine Natural Products to Marine Bioproducts)
Show Figures

Graphical abstract

10 pages, 1208 KB  
Article
Activity Against Human Pathogens of Two Polyunsaturated Aldehydes and Pheophorbide a
by Alessandro Coppola, Vizma Nikolajeva and Chiara Lauritano
Appl. Sci. 2025, 15(24), 13221; https://doi.org/10.3390/app152413221 - 17 Dec 2025
Viewed by 192
Abstract
Microalgae are extremely diverse photosynthetic organisms, adapted to live in different habitat conditions, from freshwater to marine environments. This adaptability is also associated with the ability to produce several metabolites. Polyunsaturated aldehydes (PUAs), first identified in 1999 in Thalassiosira gravida and Skeletonema costatum [...] Read more.
Microalgae are extremely diverse photosynthetic organisms, adapted to live in different habitat conditions, from freshwater to marine environments. This adaptability is also associated with the ability to produce several metabolites. Polyunsaturated aldehydes (PUAs), first identified in 1999 in Thalassiosira gravida and Skeletonema costatum, are known to influence the development of their predators, having teratogenic effects and blocking their development. PUAs have shown several activities, such as antitumor, antimicrobial and antiparasite. Another relevant compound is pheophorbide a (PPBa), a chlorophyll degradation product, which has previously shown properties useful to be considered as a photosensitizer in photodynamic therapy, demonstrating cytotoxic effects on various tumor cell lines. It has also been shown to have activity against some bacteria and fungi. Considering the growing problem of multi-antibiotic resistance of human pathogenic bacteria and the increasing market demand for new drugs, the aim of our work was to screen two PUAs, i. e., 2,4-octadienal and trans,trans-2,4-decadienal, and PPBa against a panel of human pathogenic bacteria and fungi: Escherichia coli, Pseudomonas aeruginosa, Staphylococcus aureus, Candida albicans and Aspergillus fumigatus. The antimicrobial activity was evaluated through MIC (Minimum Inhibitory Concentration) and MFC/MBC (Minimum Fungicidal/Bactericidal Concentration), demonstrating that the two PUAs had a greater antimicrobial activity than PPBa on both bacteria and fungi, except for P. aeruginosa, where the antimicrobial activity was low. The compound 2,4-Octadienal showed extremely high antifungal activity, especially against the fungus A. fumigatus, where the MIC and MFC were 0.001 µL/mL and 0.004 µL/mL, respectively. These results are shedding light on the antimicrobial activity of microalgal compounds and their possible applications for different human infection diseases. Full article
Show Figures

Figure 1

Back to TopTop