Biodiversity-Driven Natural Products and Bioactive Metabolites
Abstract
1. Introduction
2. Materials and Methods
2.1. Search Strategy
2.2. Inclusion and Exclusion Criteria
2.3. Screening and Selection Process
2.4. Data Extraction and Synthesis
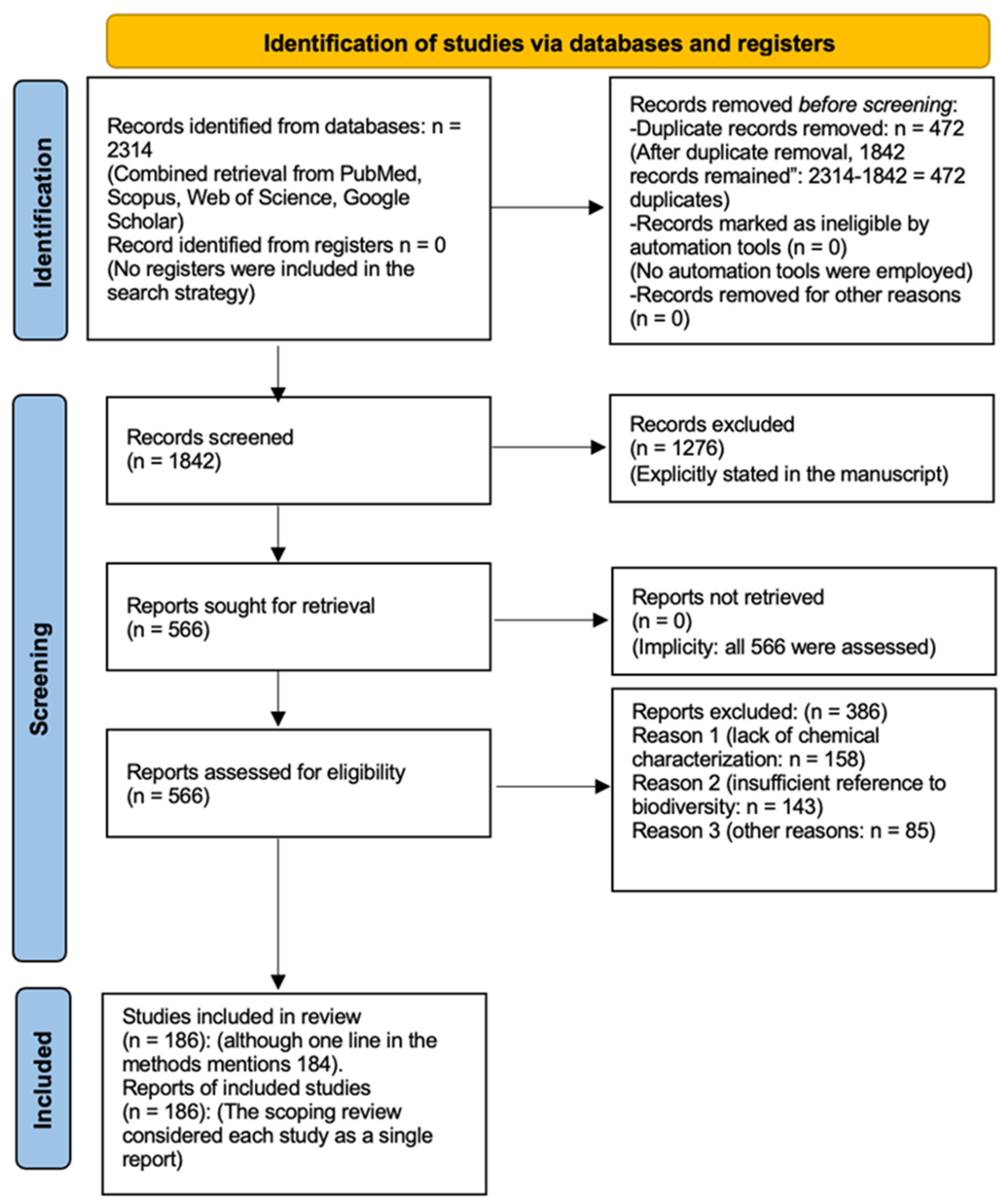
2.5. PRISMA-ScR Flowchart Construction
2.6. Ethical Considerations
3. Biodiversity and Its Impact on Chemical Diversity
3.1. Fungal Contributions and Interaction-Driven Metabolomes
3.2. Mushrooms and Mycelial Resources
3.3. Biodiversity-Informed Drug Discovery
3.4. Towards Sustainable Exploitation of Chemical Biodiversity
4. Natural Products Across Biological Kingdoms
5. Chemical Diversity in Natural Products: Evolutionary Drivers, Ecological Pressures and Cross-Kingdom Convergence
5.1. Evolutionary and Ecological Drivers of Chemical Divergence Across Kingdoms
5.2. Integrating Genomics and Metabolomics to Redefine Chemical Classes
5.3. Breakthroughs in Major Chemical Families (2020–2025)
5.4. Ecological Logic and Cross-Kingdom Convergence
5.5. Emerging Themes, Knowledge Gaps, and Conceptual Advances
6. Mechanisms of Action of Natural Products Across Kingdoms
6.1. Redox Modulation as a Regulatory, Not Merely Protective, Mechanism
6.2. Membrane Disruption, Ion Homeostasis, and Structural Perturbation
6.3. Interference with Essential Enzymes and Biosynthetic Pathways
6.4. Disruption of Cellular Signaling Networks Pathways
6.5. Epigenetic Modulation and Activation of Silent Gene Clusters
6.6. Multi-Target and Network-Level Mechanisms
6.7. Conceptual Integration
7. Results and Thematic Review
8. Future Directions and Critical Perspectives in Natural Product Research
8.1. Embracing Ecology as a Predictive Framework for Discovery
8.2. Unlocking Silent Biosynthetic Potential
8.3. Reconstructing Meta-Organismal Chemistry
8.4. Mechanistic Integration Across Levels of Biological Organization
9. Conclusions
Author Contributions
Funding
Institutional Review Board Statement
Data Availability Statement
Conflicts of Interest
Abbreviations
| AI | Artificial Intelligence |
| ABS | Access and Benefit-Sharing |
| ASCVD | Atherosclerotic Cardiovascular Disease |
| Bax/Bcl-2 | B-cell lymphoma protein 2 |
| BIOTA-FAPESP | FAPESP BIOTA Program—The Virtual Institute of Biodiversity |
| CBD | Convention on Biological Diversity |
| CBS | Corticobasal Syndrome |
| CRISPR/Cas9 | Clustered Regularly Interspaced Short Palindromic Repeats |
| DNA | DeoxyriboNucleic Acid |
| DSI | Digital Sequence Information |
| EMA | European Medicines Agency |
| FDA | Food and Drug Administration |
| FUNGAL IDC | Fungal International Depository Center |
| GM | Genetically Modified |
| GMP | Good Manufacturing Practices |
| HMG-CoA | 3-hydroxy-3-methylglutaryl coenzyme A |
| HRMS | High-Resolution Mass Spectrometry |
| ICH | International Council for Harmonisation of Technical Requirements for Pharmaceuticals for Human Use. |
| IPLCS | Indigenous Peoples and Local Communities |
| LC-MS/MS | Liquid Chromatography–Tandem Mass Spectrometry |
| NMR | Nuclear Magnetic Resonance |
| Nrf2-ARE | Nuclear factor erythroid 2–related factor 2—Antioxidant Response Element |
| NRPs | Non-Ribosomal Peptides |
| Nubbe | Nuclei of Bioassays, Biosynthesis and Ecophysiology of Natural Products |
| PAT | Process Analytical Technologies |
| Ppf4 | Predator-Prey Factor at trophic level 4 |
| PI3K/AKE/mTOR | Phosphoinositide 3-kinase/Protein kinase B (Akt)/Mechanistic target of rapamycin |
| RiPPs | Ribosomally Synthesized and post-translationally modified peptides |
| UKM | Universiti Kebangsaan Malaysia |
| VOCs | Volatile Organic Compounds |
| WHO | World Health Organization |
References
- Chaachouay, N.; Zidane, L. Plant-derived natural products: A source for drug discovery and development. Drugs Drug Candidates 2024, 3, 184–207. [Google Scholar] [CrossRef]
- Atanasov, A.G.; Zotchev, S.B.; Dirsch, V.M.; Orhan, I.E.; Banach, M.; Rollinger, J.M.; Barreca, D.; Weckwerth, W.; Bauer, R.; Bayer, E.A.; et al. Natural products in drug discovery: Advances and opportunities. Nat. Rev. Drug Discov. 2021, 20, 200–216. [Google Scholar] [CrossRef]
- Abedelmaksoud, T.G.; Younis, M.I.; Altemimi, A.B.; Tlay, R.H.; Hassan, N.A. Bioactive compounds of plant-based food: Extraction, isolation, identification, characteristics, and emerging applications. Food Sci. Nutr. 2025, 13, e70351. [Google Scholar] [CrossRef]
- Letertre, M.P.M.; Dervilly, G.; Giraudeau, P. Combined nuclear magnetic resonance spectroscopy and mass spectrometry approaches for metabolomics. Anal. Chem. 2021, 93, 500–518. [Google Scholar] [CrossRef]
- Rajbongshi, B.L.; Mukherjee, A.K. Drugs from poisonous plants: Ethnopharmacological relevance to modern perspectives. Toxicon X 2025, 25, 100215. [Google Scholar] [CrossRef]
- Pirintsos, S.; Panagiotopoulos, A.; Bariotakis, M.; Daskalakis, V.; Lionis, C.; Sourvinos, G.; Karakasiliotis, I.; Kampa, M.; Castanas, E. From traditional ethnopharmacology to modern natural drug discovery: A methodology discussion and specific examples. Molecules 2022, 27, 4060. [Google Scholar] [CrossRef]
- Nunes, J.; Pina, S.; Oliveira, A.; Moreno, J.; Pérez, P. Acute intoxication with poison hemlock (Conium maculatum). Cureus 2025, 17, e80763. [Google Scholar] [CrossRef]
- Jamshidi-Kia, F.; Lorigooini, Z.; Amini-Khoei, H. Medicinal plants: Past history and future perspective. J. Herbmed Pharmacol. 2018, 7, 1–7. [Google Scholar] [CrossRef]
- Bonnet, O.; Beniddir, M.A.; Champy, P.; Kagisha, V.; Nyirimigabo, A.; Hamann, C.; Jgerenaia, G.; Ledoux, A.; Tchinda, A.T.; Angenot, L.; et al. Exploration by molecular networking of Strychnos alkaloids reveals the unexpected occurrence of strychnine in seven Strychnos species. Toxicon 2022, 215, 57–68. [Google Scholar] [CrossRef] [PubMed]
- Cheng, T.; Kolařík, M.; Quijada, L.; Stadler, M. A re-assessment of Taxomyces andreanae, the alleged taxol-producing fungus, using comparative genomics. IMA Fungus 2022, 13, 17. [Google Scholar] [CrossRef] [PubMed]
- Zhu, S.; Xu, H.; Liu, Y.; Hong, Y.; Yang, H.; Zhou, C.; Tao, L. Computational advances in biosynthetic gene cluster discovery and prediction. Biotechnol. Adv. 2025, 79, 108532. [Google Scholar] [CrossRef] [PubMed]
- Karthikeyan, A.; Joseph, A.; Nair, B.G. Promising bioactive compounds from the marine environment and their potential effects on various diseases. J. Genet. Eng. Biotechnol. 2022, 20, 14. [Google Scholar] [CrossRef] [PubMed]
- Tricco, A.C.; Lillie, E.; Zarin, W.; O’Brien, K.K.; Colquhoun, H.; Levac, D.; Straus, S.E. PRISMA extension for scoping reviews (PRISMA-ScR): Checklist and explanation. Ann. Intern. Med. 2018, 169, 467–473. [Google Scholar] [CrossRef] [PubMed]
- Avalon, N.E.; Murray, A.E.; Baker, B.J. Integrated metabolomic–genomic workflows accelerate microbial natural product discovery. Anal. Chem. 2022, 94, 11959–11966. [Google Scholar] [CrossRef]
- Yee, D.A.; Niwa, K.; Perlatti, B.; Chen, M.; Li, Y.; Tang, Y. Genome mining for unknown–unknown natural products. Nat. Chem. Biol. 2023, 19, 633–640. [Google Scholar] [CrossRef]
- Wolfender, J.-L.; Gaudry, A.; Rutz, A.; Quiros-Guerrero, L.-M.; Nothias, L.-F.; Ferreira Queiroz, E.; Defossez, E.; Allard, P.-M. Metabolomics in ecology and bioactive natural products discovery: Challenges and prospects for a comprehensive study of the specialised metabolome. Chimia 2022, 76, 954–963. [Google Scholar] [CrossRef]
- Gaudêncio, S.P.; Bayram, E.; Lukić Bilela, L.; Cueto, M.; Díaz-Marrero, A.R.; Haznedaroglu, B.Z.; Jimenez, C.; Mandalakis, M.; Pereira, F.; Reyes, F.; et al. Advanced methods for natural products discovery: Bioactivity screening, dereplication, metabolomics profiling, genomic sequencing, databases and informatic tools, and structure elucidation. Mar. Drugs 2023, 21, 308. [Google Scholar] [CrossRef]
- Alam, B.; Lǐ, J.; Gě, Q.; Khan, M.A.; Gōng, J.; Mehmood, S.; Yuán, Y.; Gǒng, W. Endophytic fungi: From symbiosis to secondary metabolite communications or vice versa? Front. Plant Sci. 2021, 12, 791033. [Google Scholar] [CrossRef]
- Bahram, M.; Netherway, T. Fungi as mediators linking organisms and ecosystems. FEMS Microbiol. Rev. 2022, 46, fuab058. [Google Scholar] [CrossRef]
- Zhang, M.; Zhang, Y.; Zhao, Z.; Deng, F.; Jiang, H.; Liu, C.; Li, Y.; Chai, J. Bacterial–fungal interactions: Mutualism, antagonism, and competition. Life 2025, 15, 1242. [Google Scholar] [CrossRef]
- Gao, Y.; Xu, Y.; Dong, Z.; Guo, Y.; Luo, J.; Wang, F.; Yan, L.; Zou, X. Endophytic fungal diversity and its interaction mechanism with medicinal plants. Molecules 2025, 30, 1028. [Google Scholar] [CrossRef]
- Kumari, P.; Deepa, N.; Trivedi, P.K.; Singh, B.K.; Srivastava, V.; Singh, A. Plants and endophytes interaction: A “secret wedlock” for sustainable biosynthesis of pharmaceutically important secondary metabolites. Microb. Cell Factories 2023, 22, 226. [Google Scholar] [CrossRef] [PubMed]
- Ayon, N.J.; Earp, C.E.; Gupta, R.; Butun, F.A.; Clements, A.E.; Lee, A.G.; Dainko, D.; Robey, M.T.; Khin, M.; Mardiana, L.; et al. Bioactivity-driven fungal metabologenomics identifies antiproliferative stemphone analogs and their biosynthetic gene cluster. Metabolomics 2024, 20, 90. [Google Scholar] [CrossRef] [PubMed]
- Franco, M.E.E.; Nickerson, M.N.; Bowen, B.P.; Louie, K.; Northen, T.R.; U’Ren, J.M. Hyperdiverse, bioactive, and interaction-specific metabolites produced only in co-culture suggest diverse competitors may fuel secondary metabolism of Xylarialean fungi. mSystems 2025, 10, e0046825. [Google Scholar] [CrossRef]
- Azzollini, A.; Boggia, L.; Boccard, J.; Sgorbini, B.; Lecoultre, N.; Allard, P.-M.; Rubiolo, P.; Rudaz, S.; Gindro, K.; Bicchi, C.; et al. Dynamics of metabolite induction in fungal co-cultures by metabolomics at both volatile and non-volatile levels. Front. Microbiol. 2018, 9, 72. [Google Scholar] [CrossRef]
- Oppong-Danquah, E.; Parrot, D.; Blümel, M.; Labes, A.; Tasdemir, D. Molecular networking-based metabolome and bioactivity analyses of marine-adapted fungi co-cultivated with phytopathogens. Front. Microbiol. 2018, 9, 2072. [Google Scholar] [CrossRef]
- Li, T.; Jiang, S.; Dai, Y.; Wu, X.; Guo, H.; Shi, L.; Sang, X.; Ren, L.; Wang, J.; Shi, L.; et al. Total Synthesis and Target Identification of Marine Cyclopiane Diterpenes. Nat. Commun. 2024, 15, 10851. [Google Scholar] [CrossRef]
- Hur, J.Y.; Jeong, E.; Kim, Y.C.; Lee, S.R. Strategies for natural product discovery by unlocking cryptic biosynthetic gene clusters in fungi. Separations 2023, 10, 333. [Google Scholar] [CrossRef]
- Araújo-Rodrigues, H.; Sousa, A.S.; Relvas, J.B.; Tavaria, F.K.; Pintado, M. An overview on mushroom polysaccharides: Health-promoting properties, prebiotic and gut microbiota modulation effects, and structure–function correlation. Carbohydr. Polym. 2024, 333, 121978. [Google Scholar] [CrossRef]
- Zhao, S.; Gao, Q.; Rong, C.; Wang, S.; Zhao, Z.; Liu, Y.; Xu, J. Immunomodulatory effects of edible and medicinal mushrooms and their bioactive immunoregulatory products. J. Fungi 2020, 6, 269. [Google Scholar] [CrossRef]
- Niego, A.G.; Rapior, S.; Thongklang, N.; Raspé, O.; Jaidee, W.; Lumyong, S.; Hyde, K.D. Macrofungi as a nutraceutical source: Promising bioactive compounds and market value. J. Fungi 2021, 7, 397. [Google Scholar] [CrossRef] [PubMed]
- Schmidt, S.; Murphy, R.; Vizueta, J.; Schierbech, S.K.; Conlon, B.H.; Kreuzenbeck, N.B.; Vreeburg, S.M.E.; van de Peppel, L.J.J.; Aanen, D.K.; Silué, K.S.; et al. Comparative genomics unravels a rich set of biosynthetic gene clusters with distinct evolutionary trajectories across fungal species (Termitomyces) farmed by termites. Commun. Biol. 2024, 7, 1269. [Google Scholar] [CrossRef] [PubMed]
- Zhang, S.; Shi, G.; Xu, X.; Guo, X.; Li, S.; Li, Z.; Wu, Q.; Yin, W.-B. Global analysis of natural products biosynthetic diversity encoded in fungal genomes. J. Fungi 2024, 10, 653. [Google Scholar] [CrossRef] [PubMed]
- Flores, G.A.; Cusumano, G.; Venanzoni, R.; Angelini, P. The glucans mushrooms: Molecules of significant biological and medicinal value. Polysaccharides 2024, 5, 212–224. [Google Scholar] [CrossRef]
- Khatami, K.; Qazanfarzadeh, Z.; Jiménez-Quero, A. Fungal fermentation: The blueprint for transforming industrial side streams and residues. Bioresour. Technol. 2026, 440, 133426. [Google Scholar] [CrossRef]
- Wadhwa, K.; Kapoor, N.; Kaur, H.; Abu-Seer, E.A.; Tariq, M.; Siddiqui, S.; Yadav, V.K.; Niazi, P.; Kumar, P.; Alghamdi, S. A comprehensive review of the diversity of fungal secondary metabolites and their emerging applications in healthcare and environment. Mycobiology 2024, 52, 335–387. [Google Scholar] [CrossRef]
- Maini Rekdal, V.; van der Luijt, C.R.B.; Chen, Y.; Kakumanu, R.; Baidoo, E.E.K.; Petzold, C.J.; Cruz-Morales, P.; Keasling, J.D. Edible mycelium bioengineered for enhanced nutritional value and sensory appeal using a modular synthetic biology toolkit. Nat. Commun. 2024, 15, 2099. [Google Scholar] [CrossRef]
- Scherlach, K.; Hertweck, C. Mining and unearthing hidden biosynthetic potential. Nat. Commun. 2021, 12, 3864. [Google Scholar] [CrossRef]
- Tan, L.T. Impact of marine chemical ecology research on the discovery and development of new pharmaceuticals. Mar. Drugs 2023, 21, 174. [Google Scholar] [CrossRef]
- Merecz-Sadowska, A.; Sadowski, A.; Zielinska-Blizniewska, H.; Zajdel, K.; Zajdel, R. Network pharmacology as a tool to investigate the antioxidant and anti-inflammatory potential of plant secondary metabolites—A review and perspectives. Int. J. Mol. Sci. 2025, 26, 6678. [Google Scholar] [CrossRef]
- Isah, T. Stress and defense responses in plant secondary metabolites production. Biol. Res. 2019, 52, 39. [Google Scholar] [CrossRef] [PubMed]
- Robey, M.T.; Caesar, L.K.; Drott, M.T.; Keller, N.P.; Kelleher, N.L. An interpreted atlas of biosynthetic gene clusters from 1,000 fungal genomes. Proc. Natl. Acad. Sci. USA 2021, 118, e2020230118. [Google Scholar] [CrossRef] [PubMed]
- Jeong, H.; Choe, Y.; Nam, J.; Ban, Y.H. A guide to genome mining and genetic manipulation of biosynthetic gene clusters in Streptomyces. J. Microbiol. 2025, 63, e2409026. [Google Scholar] [CrossRef] [PubMed]
- Barzkar, N.; Sukhikh, S.; Babich, O. Study of marine microorganism metabolites: New resources for bioactive natural products. Front. Microbiol. 2024, 14, 1285902. [Google Scholar] [CrossRef]
- Roik, A.; Reverter, M.; Pogoreutz, C. A roadmap to understanding diversity and function of coral reef-associated fungi. FEMS Microbiol. Rev. 2022, 46, fuac028. [Google Scholar] [CrossRef]
- Sugumaran, A.; Pandiyan, R.; Kandasamy, P.; Antoniraj, M.G.; Navabshan, I.; Sakthivel, B.; Dharmaraj, S.; Chinnaiyan, S.K.; Ashokkumar, V.; Ngamcharussrivichai, C. Marine biome-derived secondary metabolites, a class of promising antineoplastic agents: A systematic review on their classification, mechanism of action and future perspectives. Sci. Total Environ. 2022, 836, 155445. [Google Scholar] [CrossRef]
- World Health Organization. Nature and health. In Compendium of WHO and Other UN Guidance in Health and Environment; 2024 Update; WHO: Geneva, Switzerland, 2024; Available online: https://iris.who.int/handle/10665/378095 (accessed on 1 November 2025).
- Miethke, M.; Pieroni, M.; Weber, T.; Brönstrup, M.; Hammann, P.; Halby, L.; Arimondo, P.B.; Glaser, P.; Aigle, B.; Bode, H.B.; et al. Towards the sustainable discovery and development of new antibiotics. Nat. Rev. Chem. 2021, 5, 726–749. [Google Scholar] [CrossRef]
- Tepa-Yotto, G.T.; Tonnang, H.E.Z.; Yeboah, S.; Osae, M.Y.; Gariba, A.A.; Dalaa, M.; Adomaa, F.O.; Damba, O.T.; Kyere, R.; Moutouama, F.T.; et al. Implementation outline of climate-smart One Health: A system-thinking approach. Sustainability 2024, 16, 6652. [Google Scholar] [CrossRef]
- Semenzato, G.; Fani, R. Endophytic bacteria: A sustainable strategy for enhancing medicinal plant cultivation and preserving microbial diversity. Front. Microbiol. 2024, 15, 1477465. [Google Scholar] [CrossRef]
- Divan Khosroshahi, E.; Razavi, S.H.; Salami, M.; Ubeyitogullari, A. Recent advances in bioprocessing of medicinal plants through fermentation: A promising approach to maximize nutritional/functional value, bioactive potential, and health benefits. Food Biosci. 2025, 70, 107045. [Google Scholar] [CrossRef]
- Kadjo, A.E.; Eustáquio, A.S. Bacterial natural product discovery by heterologous expression. J. Ind. Microbiol. Biotechnol. 2023, 50, kuad044. [Google Scholar] [CrossRef] [PubMed]
- Shikongo, T.; Germain-Aubrey, C. Introduction to digital sequence information on genetic resources (DSI) and the CBD process. Secretariat of the Convention on Biological Diversity, PowerPoint presentation. 3 February 2022. [Google Scholar]
- Scholz, A.H.; Nunez-Vega, G.; Weissgold, L.; Wussmann, K. The future of access and benefit-sharing: What next after the adoption of the Global Biodiversity Framework and decision on digital sequence information? Diversity 2023, 16, 27. [Google Scholar] [CrossRef]
- Fernie, A.R.; de Vries, S.; de Vries, J. Evolution of plant metabolism: The state-of-the-art. Philos. Trans. R. Soc. Lond. B Biol. Sci. 2024, 379, 20230347. [Google Scholar] [CrossRef] [PubMed]
- Schrey, H.; Lambert, C.; Stadler, M. Fungi: Pioneers of chemical creativity—Techniques and strategies to uncover fungal chemistry. IMA Fungus 2025, 16, e142462. [Google Scholar] [CrossRef]
- Ertl, P.; Schuhmann, T. Cheminformatics analysis of natural product scaffolds: Comparison of scaffolds produced by animals, plants, fungi and bacteria. Mol. Inform. 2020, 39, e2000017. [Google Scholar] [CrossRef]
- Khan, A.; Kanwal, F.; Ullah, S.; Fahad, M.; Tariq, L.; Altaf, M.T.; Riaz, A.; Zhang, G. Plant secondary metabolites—Central regulators against abiotic and biotic stresses. Metabolites 2025, 15, 276. [Google Scholar] [CrossRef]
- Rokas, A.; Mead, M.E.; Steenwyk, J.L.; Raja, H.A.; Oberlies, N.H. Biosynthetic gene clusters and the evolution of fungal chemodiversity. Nat. Prod. Rep. 2020, 37, 868–878. [Google Scholar] [CrossRef]
- Voser, T.M.; Campbell, M.D.; Carroll, A.R. How different are marine microbial natural products compared to their terrestrial counterparts? Nat. Prod. Rep. 2022, 39, 7–19. [Google Scholar] [CrossRef]
- Suresh, P.S.; Kumari, S.; Sahal, D.; Sharma, U. Innate functions of natural products: A promising path for the identification of novel therapeutics. Eur. J. Med. Chem. 2023, 260, 115748. [Google Scholar] [CrossRef]
- Elser, D.; Pflieger, D.; Villette, C.; Moegle, B.; Miesch, L.; Gaquerel, E. Evolutionary metabolomics of specialized metabolism diversification in the genus Nicotiana highlights N-acylnornicotine innovations. Sci. Adv. 2023, 9, eade8984. [Google Scholar] [CrossRef]
- Papon, N.; Courdavault, V.; Medema, M.H. Convergent evolution for antibiotic biosynthesis in bacteria and animals. Trends Genet. 2023, 39, 237–239. [Google Scholar] [CrossRef] [PubMed]
- Chase, A.B.; Bogdanov, A.; Demko, A.M.; Jensen, P.R. Biogeographic patterns of biosynthetic potential and specialized metabolites in marine sediments. ISME J. 2023, 17, 976–983. [Google Scholar] [CrossRef] [PubMed]
- Cawood, G.L.; Ton, J. Decoding resilience: Ecology, regulation, and evolution of biosynthetic gene clusters. Trends Plant Sci. 2025, 30, 185–198. [Google Scholar] [CrossRef] [PubMed]
- Thon, F.M.; Müller, C.; Wittmann, M.J. The evolution of chemodiversity in plants—From verbal to quantitative models. Ecol. Lett. 2024, 27, e14365. [Google Scholar] [CrossRef]
- Lee Mariault, C.; Puginier, C.; Keller, J.; El Baidouri, M.; Delaux, P.-M. Mechanisms, detection, and impact of horizontal gene transfer in plant functional evolution. Plant Cell 2025, 37, koaf195. [Google Scholar] [CrossRef]
- Li, J.; Liu, H.; Wang, J.; Macdonald, C.A.; Singh, P.; Cong, V.T.; Klein, M.; Delgado-Baquerizo, M.; Singh, B.K. Drought-induced plant microbiome and metabolic enrichments improve drought resistance. Cell Host Microbe 2025, 33, 882–900.e7. [Google Scholar] [CrossRef]
- Cox, R.J. Engineered and total biosynthesis of fungal specialized metabolites. Nat. Rev. Chem. 2024, 8, 61–78. [Google Scholar] [CrossRef]
- Skellam, E.; Rajendran, S.; Li, L. Combinatorial biosynthesis for the engineering of novel fungal natural products. Commun. Chem. 2024, 7, 89. [Google Scholar] [CrossRef]
- Yuan, G.Y.; Zhang, J.M.; Xu, Y.Q.; Zou, Y. Biosynthesis and assembly logic of fungal hybrid terpenoid natural products. Chembiochem 2024, 25, e202400387. [Google Scholar] [CrossRef]
- Adak, S.; Moore, B.S. Cryptic halogenation reactions in natural product biosynthesis. Nat. Prod. Rep. 2021, 38, 1760–1774. [Google Scholar] [CrossRef]
- Rieseberg, T.P.; Dadras, A.; Fürst-Jansen, J.M.R.; Dhabalia Ashok, A.; Darienko, T.; de Vries, S.; Irisarri, I.; de Vries, J. Crossroads in the evolution of plant specialized metabolism. Semin. Cell Dev. Biol. 2023, 134, 37–58. [Google Scholar] [CrossRef] [PubMed]
- Taglioni, E.; Cavaliere, C.; Cerrato, A.; Laganà, A.; Montone, C.M.; Capriotti, A.L. Comprehensive profiling of sulfated phenolic compounds in edible and infesting seaweeds by a dedicated software-assisted platform. Anal. Bioanal. Chem. 2025, 417, 5199–5209. [Google Scholar] [CrossRef] [PubMed]
- Zandalinas, S.I.; Balfagón, D.; Gómez-Cadenas, A.; Mittler, R. Plant responses to climate change: Metabolic changes under combined abiotic stresses. J. Exp. Bot. 2022, 73, 3339–3354. [Google Scholar] [CrossRef] [PubMed]
- Naranjo-Ortiz, M.A.; Gabaldón, T. Fungal evolution: Cellular, genomic and metabolic complexity. Biol. Rev. 2020, 95, 1198–1232. [Google Scholar] [CrossRef]
- Urquhart, A.S.; Gluck-Thaler, E.; Vogan, A.A. Gene acquisition by giant transposons primes eukaryotes for rapid evolution via horizontal gene transfer. Sci. Adv. 2024, 10, eadp8738. [Google Scholar] [CrossRef]
- Dixon, R.A.; Dickinson, A.J. A century of studying plant secondary metabolism—From “what?” to “where, how, and why?”. Plant Physiol. 2024, 195, 48–66. [Google Scholar] [CrossRef]
- Singh, K.S.; van der Hooft, J.J.J.; van Wees, S.C.M.; Medema, M.H. Integrative omics approaches for biosynthetic pathway discovery in plants. Nat. Prod. Rep. 2022, 39, 1876. [Google Scholar] [CrossRef]
- Jiang, M.; Wu, Z.; Liu, L.; Chen, S. The chemistry and biology of fungal meroterpenoids (2009–2019). Org. Biomol. Chem. 2021, 19, 1644–1704. [Google Scholar] [CrossRef]
- He, W.; Rong, X.; Lv, H.; Zhang, L.; Bai, J.; Wang, L.; Yu, L.; Zhang, L.; Zhang, T. Genetically-modified activation strategy facilitates the discovery of sesquiterpene-derived metabolites from Penicillium brasilianum. Synth. Syst. Biotechnol. 2025, 10, 391–400. [Google Scholar] [CrossRef]
- Zafra-Delgado, O.; Schneider, F.; Nakamura, Y.; Reichelt, M.; Gershenzon, J.; Hellwig, F.H.; Köllner, T.G. Consequences of interspecific plant hybridization on metabolic diversity in naturally occurring hybrid swarms. Plant J. 2025, 123, e70444. [Google Scholar] [CrossRef]
- Adejor, J.; Tumukunde, E.; Li, G.; Shehu, T.A.; Wu, L.; Jiang, Z.; Wang, S. Stepping out of the dark: How metabolomics shed light on fungal biology. FEMS Microbiol. Rev. 2025, 49, fuaf028. [Google Scholar] [CrossRef] [PubMed]
- Eagan, J.L.; Keller, N.P. Fungal secondary metabolism: Regulation, function, and applications. Curr. Biol. 2025, 35, R503–R508. [Google Scholar] [CrossRef] [PubMed]
- Kimotho, R.N.; Maina, S. Unravelling plant–microbe interactions: Complex networks between rhizosphere organisms and phytochemicals. J. Exp. Bot. 2024, 75, 1289–1313. [Google Scholar] [CrossRef] [PubMed]
- Wang, M.; Zhang, S.; Li, R.; Zhao, Q. Unravelling the specialized metabolism of medicinal plants: A multi-omics perspective. Front. Plant Sci. 2024, 15, 1459533. [Google Scholar] [CrossRef]
- Li, C.; Zha, W.; Li, W.; Wang, J.; You, A. Advances in the biosynthesis and metabolic engineering of plant triterpenoids. Int. J. Mol. Sci. 2023, 24, 11561. [Google Scholar] [CrossRef]
- Liu, Q.; Liu, L.; Xue, J.; Shi, P.; Liang, S. Habitat Suitability Shifts of Eucommia ulmoides in Southwest China Under Climate Change Projections. Biology 2025, 14, 451. [Google Scholar] [CrossRef]
- Ignea, C.; Raadam, M.H.; Koutsaviti, A.; Zhao, Y.; Duan, Y.T.; Harizani, M.; Miettinen, K.; Georgantea, P.; Rosenfeldt, M.; Viejo-Ledesma, S.E.; et al. Expanding the terpene biosynthetic code with non-canonical 16 carbon atom building blocks. Nat. Commun. 2022, 13, 5188. [Google Scholar] [CrossRef]
- Yan, D.; Matsuda, Y. Global genome-mining-driven discovery of new fungal meroterpenoids and hybrids. Chem. Sci. 2024, 15, 3011–3021. [Google Scholar] [CrossRef]
- Steele, T.S.; Burkhardt, I.; Moore, M.L.; de Rond, T.; Bone, H.K.; Barry, K.; Bunting, V.M.; Grimwood, J.; Handley, L.H.; Rajasekar, S.; et al. Biosynthesis of Haloterpenoids in Red Algae via Microbial-like Type I Terpene Synthases. ACS Chem. Biol. 2024, 19, 185–192. [Google Scholar] [CrossRef]
- Boncan, D.A.T.; Tsang, S.S.K.; Li, C.; Lee, I.H.T.; Lam, H.M. Terpenoids: Biosynthesis, bioactivities, and engineering. Int. J. Mol. Sci. 2020, 21, 7382. [Google Scholar] [CrossRef]
- Bharathi, D.; Lee, J. Recent advances in marine-derived compounds: A comprehensive review of bioactive terpenoids. Mar. Drugs 2024, 22, 348. [Google Scholar] [CrossRef]
- Gao, H.; Zhou, L.; Zhang, P.; Wang, Y.; Qian, X.; Liu, Y. Filamentous fungi as versatile producers of bioactive alkaloids: Biosynthesis and applications. Planta Med. 2023, 89, 1110–1124. [Google Scholar] [CrossRef] [PubMed]
- Zagoskina, N.V.; Zubova, M.Y.; Nechaeva, T.L.; Kazantseva, V.V.; Goncharuk, E.A.; Katanskaya, V.M.; Baranova, E.N.; Aksenova, M.A. Polyphenols in Plants: Structure, Biosynthesis, Abiotic Stress Regulation, and Practical Applications (Review). Int. J. Mol. Sci. 2023, 24, 13874. [Google Scholar] [CrossRef] [PubMed]
- Singh, G.; Agrawal, H.; Bednarek, P. Specialized metabolites as versatile tools in shaping plant–microbe associations. Mol. Plant 2023, 16, 122–144. [Google Scholar] [CrossRef] [PubMed]
- Chen, Y.; Xu, L.-C.; Liu, S.; Zhang, Z.-X.; Cao, G.-Y. Halogenated metabolites isolated from the marine-derived fungi with potent pharmacological activities. Front. Microbiol. 2022, 13, 1038487. [Google Scholar] [CrossRef]
- Goya, L.; Mateos, R. Antioxidant and Anti-inflammatory Effects of Marine Phlorotannins and Bromophenols Supportive of Their Anticancer Potential. Nutr. Rev. 2025, 83, e1225–e1242. [Google Scholar] [CrossRef]
- Pereira, A.G.; Cassani, L.; Garcia-Oliveira, P.; Otero, P.; Mansoor, S.S.; Echave, J.; Xiao, J.; Simal-Gandara, J.; Prieto, M.A. Plant alkaloids: Production, extraction, biotechnology, and applications. In Bioactive Compounds in Plants; Luciano, S.A., Barros, L., Eds.; Springer: Cham, Switzerland, 2023. [Google Scholar]
- Uhlig, S.; Rangel-Huerta, O.D.; Divon, H.H.; Rolén, E.; Pauchard, P.; Sumarah, M.W.; Vrålstad, T.; Renaud, J.B. Unraveling the Ergot Alkaloid and Indole Diterpenoid Metabolome in the Claviceps purpurea Species Complex Using LC–HRMS/MS Diagnostic Fragmentation Filtering. J. Agric. Food Chem. 2021, 69, 7137–7148. [Google Scholar] [CrossRef]
- Wang, Y.; Mao, X.-M. Mining silent biosynthetic gene clusters for natural products in filamentous fungi. Chem. Biodivers. 2025, 22, e202402715. [Google Scholar] [CrossRef]
- Stroe, M.C.; Gao, J.; Pitz, M.; Fischer, R. Complexity of fungal polyketide biosynthesis and function. Mol. Microbiol. 2024, 121, 18–25. [Google Scholar] [CrossRef]
- Zimmer, L.; Crüsemann, M. Amino acid tailoring strategies in peptide natural product biosynthesis. Trends Chem. 2025, 7, 705–718. [Google Scholar] [CrossRef]
- Leng, Y.; Kümmel, F.; Zhao, M.; Molnár, I.; Doležel, J.; Logemann, E.; Köchner, P.; Xi, P.; Yang, S.; Moscou, M.J.; et al. A barley MLA immune receptor is activated by a fungal nonribosomal peptide effector for disease susceptibility. New Phytol. 2025, 245, 1197–1215. [Google Scholar] [CrossRef] [PubMed]
- Speed, M.; Ruxton, G. Refining our understanding of the diversity of plant specialised metabolites. New Phytol. 2025, 245, 924–926. [Google Scholar] [CrossRef]
- Carpena, M.; Pereira, C.S.G.P.; Silva, A.; Barciela, P.; Jorge, S.; Simal-Gándara, J.; Prieto, M.A. Recent advances in marine bioactive compounds. Mar. Drugs 2024, 22, 478. [Google Scholar] [CrossRef]
- Dinglasan, J.L.N.; Otani, H.; Doering, D.T.; Udwary, D.; Mouncey, N.J. Microbial secondary metabolites: Advancements to accelerate discovery towards application. Nat. Rev. Microbiol. 2025, 23, 338–354. [Google Scholar] [CrossRef]
- Dell, M.; Kogawa, M.; Streiff, A.B.; Shiraishi, T.; Lotti, A.; Meier, C.M.; Schorn, M.A.; Field, C.; Cahn, J.K.B.; Yokoyama, H.; et al. Chemical richness and diversity of uncultivated ‘Entotheonella’ symbionts in marine sponges. Nat. Chem. Biol. 2025. published. [Google Scholar] [CrossRef]
- Bakkeren, E.; Piskovsky, V.; Foster, K.R. Metabolic ecology of microbiomes: Nutrient competition, host benefits, and community engineering. Cell Host Microbe 2025, 33, 790–807. [Google Scholar] [CrossRef]
- Cano-Prieto, C.; Undabarrena, A.; Calheiros de Carvalho, A.; Keasling, J.D.; Cruz-Morales, P. Triumphs and Challenges of Natural Product Discovery in the Postgenomic Era. Annu. Rev. Biochem. 2024, 93, 411–445. [Google Scholar] [CrossRef]
- Carroll, A.R.; Copp, B.R.; Grkovic, T.; Keyzers, R.A.; Prinsep, M.R. Marine natural products. Nat. Prod. Rep. 2024, 41, 162–207. [Google Scholar] [CrossRef]
- Seshadri, K.; Abad, A.N.D.; Nagasawa, K.K.; Yost, K.M.; Johnson, C.W.; Dror, M.J.; Tang, Y. Synthetic Biology in Natural Product Biosynthesis. Chem. Rev. 2025, 125, 3814–3931. [Google Scholar] [CrossRef]
- Parra, J.; Jarmusch, S.A.; Duncan, K.R. Multi-omics analysis of antagonistic interactions among free-living Pseudonocardia from diverse ecosystems. Environ. Microbiol. 2024, 26, e16635. [Google Scholar] [CrossRef]
- Gasparek, M.; Steel, H.; Papachristodoulou, A. Deciphering mechanisms of production of natural compounds using inducer-producer microbial consortia. Biotechnol. Adv. 2023, 64, 108117. [Google Scholar] [CrossRef]
- Lai, Q.; Yao, S.; Zha, Y.; Zhang, H.; Zhang, H.; Ye, Y.; Zhang, Y.; Bai, H.; Ning, K. Deciphering the biosynthetic potential of microbial genomes using a BGC language processing neural network model. Nucleic Acids Res. 2025, 53, gkaf305. [Google Scholar] [CrossRef] [PubMed]
- Wei, B.; Hu, G.A.; Zhou, Z.Y.; Yu, W.C.; Du, A.Q.; Yang, C.L.; Yu, Y.L.; Chen, J.W.; Zhang, H.W.; Wu, Q.; et al. Global analysis of the biosynthetic chemical space of marine prokaryotes. Microbiome 2023, 11, 144. [Google Scholar] [CrossRef] [PubMed]
- Li, Y.; Grotewold, E.; Dudareva, N. Enough is enough: Feedback controls of specialized metabolism. Trends Plant Sci. 2024, 29, 514–523. [Google Scholar] [CrossRef] [PubMed]
- Del Carratore, F.; Breitling, R. Engineering microbiomes for natural product discovery and production. Nat. Prod. Rep. 2026. online ahead-of-print. [Google Scholar] [CrossRef]
- Kim, M.S.; Bisanz, J.E. Meta-organismal metabolism in cardiovascular disease. Cell Host Microbe 2023, 31, 1–2. [Google Scholar] [CrossRef]
- Sengupta, S.; Pabbaraja, S.; Mehta, G. Natural products from the human microbiome: An emergent frontier in organic synthesis and drug discovery. Org. Biomol. Chem. 2024, 22, 4006–4030. [Google Scholar] [CrossRef]
- Vitale, G.A.; Geibel, C.; Minda, V.; Wang, M.; Aron, A.T.; Petras, D. Connecting metabolome and phenotype: Recent advances in functional metabolomics tools for the identification of bioactive natural products. Nat. Prod. Rep. 2024, 41, 885–904. [Google Scholar] [CrossRef]
- Li, J.; Yu, Q.; Liu, C.; Zhang, N.; Xu, W. Flavonoids as key players in cold tolerance: Molecular insights and applications in horticultural crops. Hortic. Res. 2025, 12, uhae366. [Google Scholar] [CrossRef]
- Rao, M.J.; Duan, M.; Ikram, M.; Zheng, B. ROS regulation and antioxidant responses in plants under air pollution: Molecular signaling, metabolic adaptation, and biotechnological solutions. Antioxidants 2025, 14, 907. [Google Scholar] [CrossRef]
- Feng, Z.; Wu, L.; Sun, Z.; Yang, J.; Liu, G.; Niu, J.; Wang, G. Control of reactive oxygen species through antioxidant enzymes plays a pivotal role during the cultivation of Neopyropia yezoensis. J. Mar. Sci. Eng. 2022, 10, 109. [Google Scholar] [CrossRef]
- Ma, Y.J.; Li, X.P.; Li, J.H.; Zheng, L.P.; Wang, J.W. Fruiting body-associated Pseudomonas contact triggers ROS-mediated perylenequinone biosynthesis in Shiraia mycelium culture. Bioresour. Bioprocess. 2025, 12, 106. [Google Scholar] [CrossRef] [PubMed]
- Deng, Q.; Li, Y.; He, W.; Chen, T.; Liu, N.; Ma, L.; Qiu, Z.; Shang, Z.; Wang, Z. A polyene macrolide targeting phospholipids in the fungal cell membrane. Nature 2025, 640, 743–751. [Google Scholar] [CrossRef] [PubMed]
- Adouane, E.; Mercier, C.; Mamelle, J.; Willocquet, E.; Intertaglia, L.; Burgunter-Delamare, B.; Leblanc, C.; Rousvoal, S.; Lami, R.; Prado, S. Importance of quorum sensing crosstalk in the brown alga Saccharina latissima epimicrobiome. iScience 2024, 27, 109176. [Google Scholar] [CrossRef]
- Câmara, J.S.; Perestrelo, R.; Ferreira, R.; Berenguer, C.V.; Pereira, J.A.M.; Castilho, P.C. Plant-derived terpenoids: A plethora of bioactive compounds with several health functions and industrial applications—A comprehensive overview. Molecules 2024, 29, 3861. [Google Scholar] [CrossRef]
- Thawabteh, A.M.; Ghanem, A.W.; AbuMadi, S.; Thaher, D.; Jaghama, W.; Karaman, R.; Scrano, L.; Bufo, S.A. Antibacterial activity and antifungal activity of monomeric alkaloids. Toxins 2024, 16, 489. [Google Scholar] [CrossRef]
- Feng, L.; Wu, T.-Z.; Guo, X.-R.; Wang, Y.-J.; Wang, X.-J.; Liu, S.-X.; Zhang, R.; Ma, Y.; Tan, N.-H.; Bian, J.L.; et al. Discovery of natural resorcylic acid lactones as novel potent copper ionophores covalently targeting PRDX1 to induce cuproptosis for triple-negative breast cancer therapy. ACS Cent. Sci. 2025, 11, 357–370. [Google Scholar] [CrossRef]
- Krespach, M.K.C.; Stroe, M.C.; Netzker, T.; Rosin, M.; Zehner, L.M.; Komor, A.J.; Beilmann, J.M.; Krüger, T.; Scherlach, K.; Kniemeyer, O.; et al. Streptomyces polyketides mediate bacteria–fungi interactions across soil environments. Nat. Microbiol. 2023, 8, 1348–1361. [Google Scholar] [CrossRef]
- Zheng, L.; Gao, T.; Ge, Z.; Ma, Z.; Xu, J.; Ding, W.; Shen, L. Design, synthesis and structure–activity relationship studies of glycosylated derivatives of marine natural product lamellarin D. Eur. J. Med. Chem. 2021, 214, 113226. [Google Scholar] [CrossRef]
- Safa, N.; Trobec, T.; Holland, D.C.; Slazak, B.; Jacobsson, E.; Hawkes, J.A.; Frangež, R.; Sepčić, K.; Göransson, U.; Moodie, L.W.K.; et al. Spatial distribution and stability of cholinesterase inhibitory protoberberine alkaloids from Papaver setiferum. J. Nat. Prod. 2022, 85, 215–224. [Google Scholar] [CrossRef]
- Pérez-Llorca, M.; Pollmann, S.; Müller, M. Ethylene and jasmonates signaling network mediating secondary metabolites under abiotic stress. Int. J. Mol. Sci. 2023, 24, 5990. [Google Scholar] [CrossRef] [PubMed]
- González Ortega-Villaizán, A.; King, E.; Patel, M.K.; Pérez-Alonso, M.M.; Scholz, S.S.; Sakakibara, H.; Kiba, T.; Kojima, M.; Takebayashi, Y.; Ramos, P.; et al. The endophytic fungus Serendipita indica affects auxin distribution in Arabidopsis thaliana roots through alteration of auxin transport and conjugation to promote plant growth. Plant Cell Environ. 2024, 47, 3899–3919. [Google Scholar] [CrossRef] [PubMed]
- Posadas, N.; Baquiran, J.I.P.; Nada, M.A.L.; Kelly, M.; Conaco, C. Microbiome diversity and host immune functions influence survivorship of sponge holobionts under future ocean conditions. ISME J. 2022, 16, 58–67. [Google Scholar] [CrossRef] [PubMed]
- Atanasova, L.; Marchetti-Deschmann, M.; Nemes, A.; Bruckner, B.; Rehulka, P.; Stralis-Pavese, N.; Łabaj, P.P.; Kreil, D.P.; Zeilinger, S. Mycoparasitism-related targets of Tmk1 indicate stimulating regulatory functions of this MAP kinase in Trichoderma atroviride. Sci. Rep. 2023, 13, 19976. [Google Scholar] [CrossRef]
- Li, T.; Shi, X.; Wang, J.; Zhou, Y.; Wang, T.; Xu, Y.; Xu, Z.; Raza, W.; Liu, D.; Shen, Q. Turning antagonists into allies: Bacterial–fungal interactions enhance the efficacy of controlling Fusarium wilt disease. Sci. Adv. 2025, 11, eads5089. [Google Scholar] [CrossRef]
- Guo, L.L.; Wang, Y.; Li, X.; Chen, H.-P.; Liu, J.-K. Bergamotane-family sesquiterpenes from histone deacetylase inhibitor-modified cultures of the fungicolous fungus Montagnula donacina. Phytochemistry 2025, 240, 114630. [Google Scholar] [CrossRef]
- Zhao, P.; Cao, S.; Wang, J.; Lin, J.; Zhang, Y.; Liu, C.; Liu, H.; Zhang, Q.; Wang, M.; Meng, Y.; et al. Activation of secondary metabolite gene clusters in Chaetomium olivaceum via the deletion of a histone deacetylase. Appl. Microbiol. Biotechnol. 2024, 108, 332. [Google Scholar] [CrossRef]
- Atanasoff-Kardjalieff, A.K.; Steinert, K.; Bergander, K.; Kalinina, S.; Studt-Reinhold, L. From genes to molecules: The Fusarium PKS16 gene cluster facilitates the biosynthesis of proliferapyrones. Chembiochem 2025, 26, e202401039. [Google Scholar] [CrossRef]
- He, X.; Chen, Y.; Xia, Y.; Hong, X.; You, H.; Zhang, R.; Liang, Z.; Cui, Q.; Zhang, S.; Zhou, M.; et al. DNA methylation regulates biosynthesis of tanshinones and phenolic acids during growth of Salvia miltiorrhiza. Plant Physiol. 2024, 194, 2086–2100. [Google Scholar] [CrossRef]
- Zhang, Z.; Shi, X.; Wu, T.; He, Z.; Liang, R.; Ye, W.; Wu, Z.; Liao, H.; Zheng, F.; Yang, Q.; et al. Discovery of multi-target anti-gout agents from Eurycoma longifolia Jack through phenotypic screening and structural optimization. Nat. Commun. 2025, 16, 7430. [Google Scholar] [CrossRef]
- Jin, Y.; Gu, S.; Cang, W. Transcriptomic, metabolomic, and proteomic analyses reveal UVB-stimulated biosynthesis of flavonoids, terpenoids, and alkaloids in dandelion (Taraxacum officinale). Plant Physiol. Biochem. 2025, 228, 110270. [Google Scholar] [CrossRef] [PubMed]
- Chen, L.; Qin, L.; Zhang, Y.; Xu, H.; Bu, Y.; Wu, R.; Liu, H.; Hao, Q.; Hu, H.; Zhou, Y.; et al. Insights from multi-omics integration into seed germination of Taxus chinensis var. mairei. Commun. Biol. 2023, 6, 931. [Google Scholar] [CrossRef] [PubMed]
- Wang, G.; Ran, H.; Fan, J.; Keller, N.P.; Liu, Z.; Wu, F.; Yin, W.-B. Fungal–fungal cocultivation leads to widespread secondary metabolite alteration requiring the partial loss-of-function VeA1 protein. Sci. Adv. 2022, 8, eabo6094. [Google Scholar] [CrossRef] [PubMed]
- Zhang, S.; Song, W.; Marinos, G.; Waschina, S.; Zimmermann, J.; Kaleta, C.; Thomas, T. Genome-scale metabolic modelling reveals interactions and key roles of symbiont clades in a sponge holobiont. Nat. Commun. 2024, 15, 10858. [Google Scholar] [CrossRef]
- Lee, S.R.; Dayras, M.; Fricke, J.; Guo, H.; Balluff, S.; Schalk, F.; Yu, J.S.; Jeong, S.Y.; Morgenstern, B.; Slippers, B.; et al. Molecular networking and computational NMR analyses uncover six polyketide–terpene hybrids from termite-associated Xylaria isolates. Commun. Chem. 2024, 7, 129. [Google Scholar] [CrossRef]
- Guo, S.; Pardeshi, L.; Qin, L.; Cheung, C.Y.; Liu, X.; Fan, L.; Mok, C.C.; Parsania, C.; Dong, Z.; Ko, B.C.B.; et al. Systematic over-expression of secondary metabolism transcription factors to reveal the pharmaceutical potential of Aspergillus nidulans. Commun. Biol. 2025, 8, 1444. [Google Scholar] [CrossRef]
- Huang, W.; Jiao, X.; Hua, L.; Kang, Q.; Zhang, L.; Luo, X.; Bai, L. Harnessing the microbial interactions from Apocynum venetum phyllosphere for natural product discovery. Synth. Syst. Biotechnol. 2024, 10, 262–270. [Google Scholar] [CrossRef]
- Sato, Y.; Bex, R.; van den Berg, G.C.M.; Santhanam, P.; Höfte, M.; Seidl, M.F.; Thomma, B.P. Starship giant transposons dominate plastic genomic regions in a fungal plant pathogen and drive virulence evolution. Nat. Commun. 2025, 16, 6806. [Google Scholar] [CrossRef]
- Schaenzer, A.J.; Wang, W.; Hackenberger, D.; Wright, G.D. Identification and characterization of the siderochelin biosynthetic gene cluster via coculture. mBio 2024, 15, e0187124. [Google Scholar] [CrossRef]
- Gruber, C.W.; Beets, I.; Boudreault, P.-L.; Bolzani, V.S.; Carlsson, J.; Fernandes, P.A.; Freissmuth, M.; Gilles, N.; Göransson, U.; Hauser, A.S.; et al. Biodiversity2Drugs—Renaissance of exploring nature-derived peptides for GPCR ligand discovery. Br. J. Pharmacol. 2025, 182, 3691–3694. [Google Scholar] [CrossRef]
- Zhivkoplias, E.; Jouffray, J.-B.; Dunshirn, P.; Pranindita, A.; Blasiak, R. Growing prominence of deep-sea life in marine bioprospecting. Nat. Sustain. 2024, 7, 1027–1037. [Google Scholar] [CrossRef]
- Yessoufou, K.; Yaradua, S.S.; Gaoue, O.G. Random Patterns of Medicinal Plants on a Phylogeny do not Imply Random Selections of Medicinal Plants. Econ. Bot. 2025, 79, 310–323. [Google Scholar] [CrossRef]
- Prayudyaningsih, R.; Turjaman, M.; Christita, M.; Lelana, N.E.; Irianto, R.S.B.; Antonius, S.; Hakim, S.S.; Putri, A.I.; Rachmat, H.H.; Arifanti, V.B.; et al. Tropical fungi and LULUCF: Synergies for climate mitigation through nature-based culture (NbC). Climate 2025, 13, 208. [Google Scholar] [CrossRef]
- Seibel, E.; Um, S.; Bodawatta, K.H.; Komor, A.J.; Decker, T.; Fricke, J.; Murphy, R.; Maiah, G.; Iova, B.; Maus, H.; et al. Bacteria from the Amycolatopsis genus associated with a toxic bird secrete protective secondary metabolites. Nat. Commun. 2024, 15, 8524. [Google Scholar] [CrossRef] [PubMed]
- Wei, X.; Ning, W.; McCadden, C.A.; Alsup, T.A.; Li, Z.; Łomowska-Keehner, D.P.; Nafie, J.; Qu, T.; Opoku, M.O.; Gillia, G.R.; et al. Exploring and expanding the natural chemical space of bacterial diterpenes. Nat. Commun. 2025, 16, 3721. [Google Scholar] [CrossRef] [PubMed]
- Jiao, Y.; Ling, J.; Khan, R.A.A.; Luo, N.; Li, Z.; Li, Z.; Yang, Y.; Zhao, J.; Mao, Z.; Bills, G.F.; et al. Genome mining reveals biosynthesis of the antifungal lipopeptaibols, texenomycins, through a hybrid PKS–NRPS system in the fungus Mariannaea elegans. J. Agric. Food Chem. 2025, 73, 226–236. [Google Scholar] [CrossRef] [PubMed]
- Geller-McGrath, D.; Mara, P.; Taylor, G.T.; Suter, E.; Edgcomb, V.; Pachiadaki, M. Diverse secondary metabolites are expressed in particle-associated and free-living microorganisms of the permanently anoxic Cariaco Basin. Nat. Commun. 2023, 14, 656. [Google Scholar] [CrossRef]
- Wang, Y.; Shi, Y.-N.; Xiang, H.; Shi, Y.-M. Exploring nature’s battlefield: Organismic interactions in the discovery of bioactive natural products. Nat. Prod. Rep. 2024, 41, 1630–1651. [Google Scholar] [CrossRef]
- Pereira, R.C.; Ramos, Y.J.; Moreira, D.L. The eco-evolutionary raison d’être of natural products as support for sustainable bioprospecting. Front. Ecol. Evol. 2025, 13, 1658630. [Google Scholar] [CrossRef]
- Drott, M.T.; Park, S.C.; Wang, Y.W.; Harrow, L.; Keller, N.P.; Pringle, A. Pangenomics of the death cap mushroom Amanita phalloides, and of Agaricales, reveals dynamic evolution of toxin genes in an invasive range. ISME J. 2023, 17, 1236–1246. [Google Scholar] [CrossRef]
- Xie, F.; Zhao, H.; Liu, J.; Yang, X.; Neuber, M.; Agrawal, A.A.; Kaur, A.; Herrmann, J.; Kalinina, O.V.; Wei, X.; et al. Autologous DNA mobilization and multiplication expedite natural products discovery from bacteria. Science 2024, 386, eabq7333. [Google Scholar] [CrossRef] [PubMed]
- Abdelhamid, R.M.; Soliman, E.R.; Mohamed, E.T.; Elsaba, Y.M. Epigenetic modulation of Ceratorhiza hydrophila by 5-azacytidine enhances antifungal metabolite production: Insights from antimicrobial, metabolic, genomic and computational analyses. BMC Microbiol. 2025, 25, 574. [Google Scholar] [CrossRef] [PubMed]
- Garzón, J.F.G.; Zehl, M.; Schneider, O.; Marquez, I.T.; Rückert-Reed, C.; Kalinowski, J.; Zotchev, S.B. Genome mining of Streptomyces bambergiensis AC-800 unravels the biosynthetic gene cluster for inhibitors of prolyl hydroxylase fibrostatins. Sci. Rep. 2025, 15, 32142. [Google Scholar] [CrossRef] [PubMed]
- Ameruoso, A.; Villegas Kcam, M.C.; Cohen, K.P.; Chappell, J. Activating natural product synthesis using CRISPR interference and activation systems in Streptomyces. Nucleic Acids Res. 2022, 50, 7751–7760. [Google Scholar] [CrossRef]
- Sivaprakasam Padmanaban, P.B.; Stange, P.; Weber, B.; Ghirardo, A.; Pritsch, K.; Karl, T.; Benz, J.P.; Rosenkranz, M.; Schnitzler, J.P. Strain- and contact-dependent metabolomic reprogramming reveals distinct interaction strategies between Laccaria bicolor and Trichoderma. Fungal Biol. Biotechnol. 2025, 12, 13. [Google Scholar] [CrossRef]
- Li, T.; Ren, G.; Zhou, N.; Qiao, Z.; Li, M.; Yin, Y.; Jiang, D.; Liu, C. A new simplified synthetic endophyte community regulates the synthesis of active ingredients in Glycyrrhiza uralensis Fisch. Ind. Crops Prod. 2025, 227, 120781. [Google Scholar] [CrossRef]
- Kim, H.; Ahn, J.; Kim, J.; Kang, H.-S. Metagenomic insights and biosynthetic potential of Candidatus Entotheonella symbiont associated with Halichondria marine sponges. Microbiol. Spectr. 2025, 13, e0235524. [Google Scholar] [CrossRef]
- Bourceau, P.; Geier, B.; Suerdieck, V.; Bien, T.; Soltwisch, J.; Dreisewerd, K.; Liebeke, M. Visualization of metabolites and microbes at high spatial resolution using MALDI mass spectrometry imaging and in situ fluorescence labeling. Nat. Protoc. 2023, 18, 3050–3079. [Google Scholar] [CrossRef]
- Nie, H.-J.; Fu, Y.-J.; Long, S.; Wang, J.-Y.; Zhao, W.-S.; Zhai, L.-H.; Yang, Y.-L.; Tan, M.-J.; Hu, H.; Chen, X.-H. Chemoproteomics reveals proteome-wide covalent and non-covalent targets of withaferin A. Acta Pharmacol. Sin. 2025, 46, 1782–1793. [Google Scholar] [CrossRef]
- Ji, J.; Han, X.; Zang, L.; Li, Y.; Lin, L.; Hu, D.; Sun, S.; Ren, Y.; Maker, G.; Lu, Z.; et al. Integrative multi-omics data provide insights into the biosynthesis of furanocoumarins and mechanisms regulating their accumulation in Angelica dahurica. Commun. Biol. 2025, 8, 649. [Google Scholar] [CrossRef]
- Li, C.; Wood, J.C.; Vu, A.H.; Hamilton, J.P.; Lopez, C.E.R.; Payne, R.M.E.; Guerrero, D.A.S.; Gase, K.; Yamamoto, K.; Vaillancourt, B.; et al. Single-cell multi-omics in the medicinal plant Catharanthus roseus. Nat. Chem. Biol. 2023, 19, 1031–1041. [Google Scholar] [CrossRef] [PubMed]
- Offensperger, F.; Tin, G.; Duran-Frigola, M.; Hahn, E.; Dobner, S.; Ende, C.W.A.; Strohbach, J.W.; Rukavina, A.; Brennsteiner, V.; Ogilvie, K.; et al. Large-scale chemoproteomics expedites ligand discovery and predicts ligand behavior in cells. Science 2024, 384, eadk5864. [Google Scholar] [CrossRef] [PubMed]
- Patel, J.R.; Oh, J.; Wang, S.; Crawford, J.M.; Isaacs, F.J. Cross-kingdom expression of synthetic genetic elements promotes discovery of metabolites in the human microbiome. Cell 2022, 185, 1487–1505.e14. [Google Scholar] [CrossRef] [PubMed]
- Colinas, M.; Morweiser, C.; Dittberner, O.; Chioca, B.; Alam, R.; Leucke, H.; Nakamura, Y.; Guerrero, D.A.S.; Heinicke, S.; Kunert, M.; et al. Ipecac alkaloid biosynthesis in two evolutionarily distant plants. Nat. Chem. Biol. 2025, 21, 1794–1805. [Google Scholar] [CrossRef]
- Grayson, N.E.; Scesa, P.D.; Moore, M.L.; Ledoux, J.B.; Gomez-Garrido, J.; Alioto, T.; Michael, T.P.; Burkhardt, I.; Schmidt, E.W.; Moore, B.S. A widespread metabolic gene cluster family in metazoans. Nat. Chem. Biol. 2025, 21, 1509–1518. [Google Scholar] [CrossRef]
- Huang, X.; He, Y.; Zhang, K.; Shi, Y.; Zhao, H.; Lai, D.; Lin, H.; Wang, X.; Yang, Z.; Xiao, Y.; et al. Evolution and domestication of a novel biosynthetic gene cluster contributing to the flavonoid metabolism and high-altitude adaptability of plants in the Fagopyrum genus. Adv. Sci. 2024, 11, e2403603. [Google Scholar] [CrossRef]
- Tang, J.; Matsuda, Y. Discovery of fungal onoceroid triterpenoids through domainless enzyme-targeted global genome mining. Nat. Commun. 2024, 15, 4312. [Google Scholar] [CrossRef]
- Bourdaud, P.; Niquil, N.; Araignous, E.; Cabral, H.; Carpentier, A.; Drouineau, H.; Lobry, J.; Pecquerie, L.; Saint-Béat, B.; Lassalle, G.; et al. Linking individual experiments and multiscale models to simulate physiological perturbations on aquatic food webs. Front. Ecol. Evol. 2024, 12, 1400936. [Google Scholar] [CrossRef]
- Chan, A.N.; Chen, X.; Falco, J.A.; Bak, D.W.; Weerapana, E.; Li, B. Chemoproteomics reveals disruption of metal homeostasis and metalloproteins by the antibiotic holomycin. ACS Chem. Biol. 2023, 18, 1909–1914. [Google Scholar] [CrossRef]
- Rios-Martinez, C.; Bhattacharya, N.; Amini, A.P.; Crawford, L.; Yang, K.K. Deep self-supervised learning for biosynthetic gene cluster detection and product classification. PLoS Comput. Biol. 2023, 19, e1011162. [Google Scholar] [CrossRef]
- Du, R.; Xiong, W.; Xu, L.; Xu, Y.; Wu, Q. Metagenomics reveals the habitat specificity of biosynthetic potential of secondary metabolites in global food fermentations. Microbiome 2023, 11, 115. [Google Scholar] [CrossRef]
- Bağcı, C.; Nuhamunada, M.; Goyat, H.; Ladanyi, C.; Sehnal, L.; Blin, K.; Kautsar, S.A.; Tagirdzhanov, A.; Gurevich, A.; Mantri, S.; et al. BGC Atlas: A web resource for exploring the global chemical diversity encoded in bacterial genomes. Nucleic Acids Res. 2025, 53, D618–D624. [Google Scholar] [CrossRef]
- Santos-Júnior, C.D.; Torres, M.D.T.; Duan, Y.; Rodríguez del Río, Á.; Schmidt, T.S.B.; Chong, H.; Fullam, A.; Kuhn, M.; Zhu, C.; Houseman, A.; et al. Discovery of antimicrobial peptides in the global microbiome with machine learning. Cell 2024, 187, 3761–3778.e16. [Google Scholar] [CrossRef]



| Aspect | Description | Biological/Chemical Relevance | Reference Numbers |
|---|---|---|---|
| Terpenoids | Structurally diverse metabolites from plants, fungi, and marine organisms involved in defense, communication, and stress adaptation. | Antimicrobial, cytotoxic, anti-inflammatory, and ecological signaling. | [62,63,64,65,66,67] |
| Polyphenols | Flavonoids, stilbenes, tannins, brominated and sulfated phenolics across kingdoms with roles in UV protection and stress resilience. | Antioxidant, anti-inflammatory, and neuroprotective properties. | [68,69,70] |
| Alkaloids | Nitrogen-containing metabolites from plants, fungi, and marine species mediate defense and inter-organismal communication. | Neuroactive, antimicrobial, cytotoxic, and cardiomodulatory effects. | [71,72,73,74] |
| Polyketides | Highly diverse metabolites produced mainly by fungi and marine organisms through modular biosynthesis. | Pharmacological relevance, including statins, activated via epigenetic modulation, co-culture, and CRISPR pathways. | [75,76,77,78,79,80] |
| Non-Ribosomal Peptides and Hybrids | NRPs, PKS–NRPS, and terpene–polyketide hybrids mediating ecological defense and competition. | Potent antimicrobial and anticancer properties; structurally innovative scaffolds. | [81,82,83,84] |
| Integrative Perspective | Chemical classes form a continuous biosynthetic landscape shaped by evolution and ecological pressures. | Reveals convergence of defense, signaling, and stress-response metabolites across kingdoms. | [85,86,87,88] |
| Ecological Interaction | Example Biological Systems | Induced/Enhanced Metabolites | Ecological–Chemical Mechanism | Relevance for Plants | Refs. |
|---|---|---|---|---|---|
| Plant–endophyte mutualism | Medicinal plants hosting endophytes (e.g., Taxus, Artemisia) | Terpenoids, alkaloids, phenylpropanoids | Co-regulation of BGCs; exchange of signaling molecules; shared defensive responses | Highlights plants as drivers of endophyte metabolic rewiring | [9,21,22] |
| Microbial competition in the rhizosphere | Streptomyces, rhizospheric fungi, PGPR bacteria | Natural antibiotics, siderophores, VOCs | Competition for nutrients and space; activation of silent gene clusters | Emphasizes plant-directed assembly of complex microbial networks | [18,19,20] |
| Fungal–fungal co-culture associated with plants | Endophytic Xylariales, Aspergillus spp. in interaction assays | Polyketides, NRPs, cryptic metabolites (up to 14× increase) | Antagonism and cross-kingdom signaling activate silent BGCs | Reveals plants as hotspots of ecologically driven chemical diversity | [24,25,26] |
| Abiotic stress (UV, salinity, drought) | Plants from extreme environments and their microbiomes | Flavonoids, brominated phenolics, protective terpenoids | Stress-induced defense pathways co-modulated by plant and symbionts | Shows how environmental pressures shape plant metabolomes | [68,69,70] |
| Plant–phytopathogen interactions | Powdery mildews, rusts, necrotrophic pathogens | Phytoalexins, oxidative metabolites, antimicrobial terpenoids | Rapid activation of defense pathways and specialized metabolism | Relevant for crop resilience and plant immunity | [99,105,107] |
| macrofungi/mushrooms and soil | AMF, ectomycorrhizal fungi | Sesquiterpenes, VOCs, organic acids | Hormonal modulation and nutrient exchange shape metabolite profiles | Connects soil biodiversity and plant chemical diversity | [29,31,32] |
Disclaimer/Publisher’s Note: The statements, opinions and data contained in all publications are solely those of the individual author(s) and contributor(s) and not of MDPI and/or the editor(s). MDPI and/or the editor(s) disclaim responsibility for any injury to people or property resulting from any ideas, methods, instructions or products referred to in the content. |
© 2025 by the authors. Licensee MDPI, Basel, Switzerland. This article is an open access article distributed under the terms and conditions of the Creative Commons Attribution (CC BY) license.
Share and Cite
Angeles Flores, G.; Cusumano, G.; Venanzoni, R.; Angelini, P. Biodiversity-Driven Natural Products and Bioactive Metabolites. Plants 2026, 15, 104. https://doi.org/10.3390/plants15010104
Angeles Flores G, Cusumano G, Venanzoni R, Angelini P. Biodiversity-Driven Natural Products and Bioactive Metabolites. Plants. 2026; 15(1):104. https://doi.org/10.3390/plants15010104
Chicago/Turabian StyleAngeles Flores, Giancarlo, Gaia Cusumano, Roberto Venanzoni, and Paola Angelini. 2026. "Biodiversity-Driven Natural Products and Bioactive Metabolites" Plants 15, no. 1: 104. https://doi.org/10.3390/plants15010104
APA StyleAngeles Flores, G., Cusumano, G., Venanzoni, R., & Angelini, P. (2026). Biodiversity-Driven Natural Products and Bioactive Metabolites. Plants, 15(1), 104. https://doi.org/10.3390/plants15010104

