Sign in to use this feature.

Years

Between: -

Subjects

remove_circle_outline
remove_circle_outline
remove_circle_outline
remove_circle_outline
remove_circle_outline
remove_circle_outline
remove_circle_outline
remove_circle_outline
remove_circle_outline

Journals

Article Types

Countries / Regions

Search Results (24)

Search Parameters:
Keywords = mapKITE

Order results
Result details
Results per page
Select all
Export citation of selected articles as:
32 pages, 5852 KB  
Article
Intelligent Solution for Switching Angles in Multi-Level SHEPWM: An Application of an Enhanced BKA Algorithm
by Yanxiu Yu, Jiawen Wang, Fanxing Meng and Dongman Cao
Electronics 2026, 15(7), 1350; https://doi.org/10.3390/electronics15071350 - 24 Mar 2026
Viewed by 168
Abstract
In recent years, industrial systems and power electronic equipment have imposed increasingly stringent requirements on power quality, and therefore, the realization of a high-quality power supply has garnered extensive research attention. Selective harmonic elimination pulse width modulation (SHEPWM) features superior harmonic suppression performance [...] Read more.
In recent years, industrial systems and power electronic equipment have imposed increasingly stringent requirements on power quality, and therefore, the realization of a high-quality power supply has garnered extensive research attention. Selective harmonic elimination pulse width modulation (SHEPWM) features superior harmonic suppression performance and can effectively attenuate specific sub-harmonics; however, solving the associated system of nonlinear transcendental equations remains a critical challenge, primarily due to its inherent computational complexity and the risk of convergence to local optima. To address these limitations, we propose a multi-strategy enhanced chaotic black-winged kite algorithm (CMBKA). The proposed CMBKA integrates three synergistic optimization strategies: logistic–tent chaotic mapping for uniform population initialization, golden sine strategy to balance global exploration and local exploitation, and Monte Carlo perturbation to avoid convergence to local optima. In contrast to BKA, the proposed CMBKA achieves markedly higher calculation accuracy for switching angles, which is systematically validated on a five-level modified packed U-cell (MPUC) inverter platform. Experimental results verify that the proposed CMBKA achieves a lower total harmonic distortion (THD) than does the BKA, while the targeted specific sub-order harmonics are effectively suppressed to below 0.05%, with a maximum voltage deviation of 2.3% between the simulation results and experimental hardware tests. This work provides a high-precision SHEPWM solution for multilevel inverters, offering significant potential for renewable energy systems requiring minimal harmonic pollution and high power density. Full article
Show Figures

Figure 1

41 pages, 8475 KB  
Article
Clustering Performance Analysis Using Chaotic and Lévy Flight-Enhanced Black-Winged Kite Algorithms
by Taybe Alabed and Sema Servi
Biomimetics 2026, 11(3), 200; https://doi.org/10.3390/biomimetics11030200 - 9 Mar 2026
Viewed by 530
Abstract
Clustering is a fundamental unsupervised learning technique used to uncover hidden patterns in unlabeled data. Although metaheuristic algorithms have demonstrated effectiveness in clustering, many suffer from premature convergence and limited population diversity. This study employs the Black-Winged Kite Algorithm (BKA) and its enhanced [...] Read more.
Clustering is a fundamental unsupervised learning technique used to uncover hidden patterns in unlabeled data. Although metaheuristic algorithms have demonstrated effectiveness in clustering, many suffer from premature convergence and limited population diversity. This study employs the Black-Winged Kite Algorithm (BKA) and its enhanced variants, Chaotic BKA (CBKA), Lévy Flight-based BKA (LBKA), and Chaotic Levy BKA (CLBKA), to address these limitations in centroid-based clustering formulated as a Sum of Squared Errors (SSE) minimization problem. Chaotic logistic mapping improves search diversity and adaptability, while Levy flight introduces long-range exploration. In addition, Cauchy based perturbations are incorporated to enhance convergence stability. The algorithms are evaluated on sixteen UCI benchmark datasets, with 30 independent runs conducted under different population and iteration settings. Experimental results show that CLBKA consistently achieves superior clustering performance in terms of accuracy and stability. Statistical validation using the Friedman and Wilcoxon tests confirms significant performance differences, with CLBKA obtaining the lowest mean rank across configurations. The findings indicate that integrating chaotic dynamics and Levy flight mechanisms enhances clustering robustness and optimization efficiency. Full article
Show Figures

Figure 1

24 pages, 4189 KB  
Article
Unveiling the Genetic Mosaic of Pediatric AML: Insights from Southwest China
by Lan Huang, Xingyu Peng, Wenjing Shu, Hui Shi, Li Xiao, Tao Liu, Yan Xiang, Yuxia Guo, Xianmin Guan, Jiacheng Li and Jie Yu
Curr. Oncol. 2025, 32(11), 605; https://doi.org/10.3390/curroncol32110605 - 30 Oct 2025
Cited by 1 | Viewed by 984
Abstract
Background: Pediatric acute myeloid leukemia (pAML) is the second most common type of childhood leukemia, behind acute lymphoblastic leukemia. High-throughput technologies have enabled the identification of increasing molecular alterations linked to AML prognosis, revealing genomic heterogeneity among individual patients and providing clinically valuable [...] Read more.
Background: Pediatric acute myeloid leukemia (pAML) is the second most common type of childhood leukemia, behind acute lymphoblastic leukemia. High-throughput technologies have enabled the identification of increasing molecular alterations linked to AML prognosis, revealing genomic heterogeneity among individual patients and providing clinically valuable diagnostic and prognostic information. This study systematically analyzed the correlation between high-frequency mutated genes and prognosis in pAML by performing whole-transcriptome sequencing (WTS) of bone marrow samples from newly diagnosed AML children in Southwest China and mapping their genetic profiles. Methods: pAML patients treated at the Department of Hematology and Oncology, Children’s Hospital of Chongqing Medical University, from January 2015 to October 2024, were enrolled, and WTS was performed. The study described the frequency, pathogenicity classification, and risk stratification of mutation genes and fusion genes, and constructed a genetic landscape. For high-frequency pAML mutations, the impact on early induction remission rate (CR) and long-term event-free survival (EFS) was evaluated. Results: A total of 134 pediatric AML patients from Southwest China were included, with a male-to-female ratio of 74:60 and a median diagnosis age of 5.96 years. Based on pathogenicity classification using WTS, fusion genes were categorized into level 1, level 2, and level 3 genes, as well as mutation genes. The study identified five fusion genes of level 1, the most frequent being RUNX1::RUNX1T1 (32/134, 23.88%), KMT2A rearrangements (29/134, 21.64%), and CBFB::MYH11 (13/134, 9.7%). Sixteen mutation genes of level 1 were detected, seven of which recurred in over 5% of patients, including NRAS (31/134, 23.13%), FLT3 (25/134, 18.66%), KIT (24/134, 17.91%), CEBPA (14/134, 10.45%), WT1 (13/134, 9.7%), KRAS (11/134, 8.2%), and PTPN11 (7/134, 5.22%). Sex-based analysis revealed that PTPN11 mutations were significantly more frequent in males (9.45% vs. 0%, p = 0.023), as were KIT mutations (24.32% vs. 10.00%, p = 0.044). Risk-stratified analysis showed that WT1 mutations (14.13% vs. 0%, p = 0.031) and FLT3-ITD mutations (13.19% vs. 0%, p = 0.042) were enriched in intermediate- and high-risk groups, whereas CEBPA (25.64% vs. 5.43%, p = 0.012), KIT (35.90% vs. 10.87%, p = 0.003), and KIT-E8 (20.51% vs. 1.10%, p < 0.001) mutations were more prevalent in low-risk groups. Prognostic analysis indicated that PTPN11 and KIT mutations did not affect CR or EFS across sexes, nor did WT1, CEBPA, or KIT mutations influence outcomes by risk stratification. However, FLT3-ITD-positive patients had significantly lower CRs (χ2 value = 11.965, p = 0.007), although EFS differences were nonsignificant. In contrast, WT1 mutations were associated with inferior EFS compared to wild-type (p = 0.036). Furthermore, the univariate and multivariate Cox regression revealed consistent results with the above findings, indicating that WT1 mutation was an independent adverse prognostic factor for EFS (HR = 2.400, 95% CI: 1.101–5.233, p = 0.028). The results of univariate and multivariate logistic regression analyses also confirmed that FLT3-ITD mutation was an independent predictor of initial treatment response in our cohort (OR = 10.699, 95% CI: 2.108–54.302, p = 0.004). Conclusions: This study delineated the genetic landscape of pAML in Southwest China and explored the prognostic value of gene fusions and mutations in early and long-term outcomes. These findings provide a foundation for understanding the genetic heterogeneity of pAML and offer evidence for the development of precision medicine approaches. Full article
(This article belongs to the Section Hematology)
Show Figures

Figure 1

24 pages, 5340 KB  
Article
Ship Motion Attitude Prediction Model Based on FMD-IBKA-BTGN
by Chunyuan Shi, Yanguan Su and Biao Zhang
Sensors 2025, 25(21), 6602; https://doi.org/10.3390/s25216602 - 27 Oct 2025
Cited by 1 | Viewed by 759
Abstract
Accurate prediction of ship motion attitude remains a significant challenge due to the inherent non-stationarity and strong stochasticity of marine environmental conditions. To address this issue, this study proposes FMD-IBKA-BTGN, a hybrid model combining Feature Mode Decomposition (FMD), Improved Black-winged Kite Algorithm (IBKA), [...] Read more.
Accurate prediction of ship motion attitude remains a significant challenge due to the inherent non-stationarity and strong stochasticity of marine environmental conditions. To address this issue, this study proposes FMD-IBKA-BTGN, a hybrid model combining Feature Mode Decomposition (FMD), Improved Black-winged Kite Algorithm (IBKA), and a Bidirectional Temporal Convolutional Network with Gated Recurrent Unit (BTGN). First, FMD decomposes motion signals into intrinsic modes. Subsequently, IBKA—enhanced with chaotic mapping and Lévy flights—optimizes BTGN hyperparameters for global search efficiency. Finally, predictions from all components are ensembled for final output. Experiments on a 240 m vessel in Sea State 4 show our model outperforms six models, reducing MAPE by 20.38%, RMSE by 7.4%, MAE by 4.2%, and MSE by 0.97% versus LSTM. The model enhances both prediction accuracy and generalization. Full article
(This article belongs to the Section Intelligent Sensors)
Show Figures

Figure 1

26 pages, 2700 KB  
Article
An Enhanced MIBKA-CNN-BiLSTM Model for Fake Information Detection
by Sining Zhu, Guangyu Mu, Jie Ma and Xiurong Li
Biomimetics 2025, 10(9), 562; https://doi.org/10.3390/biomimetics10090562 - 23 Aug 2025
Cited by 1 | Viewed by 1425
Abstract
The complexity of fake information and the inefficiency of parameter optimization in detection models present dual challenges for current detection technologies. Therefore, this paper proposes a hybrid detection model named MIBKA-CNN-BiLSTM, which significantly improves detection accuracy and efficiency through a triple-strategy enhancement of [...] Read more.
The complexity of fake information and the inefficiency of parameter optimization in detection models present dual challenges for current detection technologies. Therefore, this paper proposes a hybrid detection model named MIBKA-CNN-BiLSTM, which significantly improves detection accuracy and efficiency through a triple-strategy enhancement of the Black Kite Optimization Algorithm (MIBKA) and an optimized dual-channel deep learning architecture. First, three improvements are introduced in the MIBKA. The population initialization process is restructured using circle chaotic mapping to enhance parameter space coverage. The conventional random perturbation is replaced by a random-to-elite differential mutation strategy (DE/rand-to-best/1) to balance global exploration and local exploitation. Moreover, a logarithmic spiral opposition-based learning (LSOBL) mechanism is integrated to dynamically explore the opposition solution space. Second, a CNN-BiLSTM dual-channel feature extraction network is constructed, with hyperparameters such as the number of convolutional kernels and LSTM units optimized by MIBKA to enable adaptive model structure alignment with task requirements. Finally, a high-quality fake information dataset is created based on social media platforms, including CCTV. The experimental results show that our model achieves the highest accuracy on the self-built dataset, which is 3.11% higher than the optimal hybrid model. Additionally, on the Weibo21 dataset, our model’s accuracy and F1-score increased by 1.52% and 1.71%, respectively, compared to the average values of all baseline models. These findings offer a practical and effective approach for detecting lightweight and robust false information. Full article
(This article belongs to the Special Issue Nature-Inspired Metaheuristic Optimization Algorithms 2025)
Show Figures

Figure 1

30 pages, 9508 KB  
Article
An Improved XGBoost Model for Development Parameter Optimization and Production Forecasting in CO2 Water-Alternating-Gas Processes: A Case Study of Low Permeability Reservoirs in China
by Bin Su, Junchao Li, Jixin Li, Changjian Han and Shaokang Feng
Processes 2025, 13(8), 2506; https://doi.org/10.3390/pr13082506 - 8 Aug 2025
Cited by 1 | Viewed by 873
Abstract
The pronounced heterogeneity and geological complexity of low-permeability reservoirs pose significant challenges to parameter optimization and performance prediction during the development of CO2 water-alternating-gas (CO2-WAG) injection processes. This study introduces a predictive model based on the Extreme Gradient Boosting (XGBoost) [...] Read more.
The pronounced heterogeneity and geological complexity of low-permeability reservoirs pose significant challenges to parameter optimization and performance prediction during the development of CO2 water-alternating-gas (CO2-WAG) injection processes. This study introduces a predictive model based on the Extreme Gradient Boosting (XGBoost) algorithm, trained on 1225 multivariable numerical simulation cases of CO2-WAG injection. To enhance the model’s performance, four advanced metaheuristic algorithms—Collective Parallel Optimization (CPO), Grey Wolf Optimization (GWO), Artificial Hummingbird Algorithm (AHA), and Black Kite Algorithm (BKA)—were applied for hyperparameter tuning. Among these, the CPO algorithm demonstrated superior performance due to its ability to balance global exploration with local exploitation in high-dimensional, complex optimization problems. Additionally, the integration of Chebyshev chaotic mapping and Elite Opposition-Based Learning (EOBL) strategies further improved the algorithm’s efficiency and adaptability, leading to the development of the ICPO (Improved Crowned Porcupine Optimization)-XGBoost model. Rigorous evaluation of the model, including comparative analyses, cross-validation, and real-case simulations, demonstrated its exceptional predictive capacity, with a coefficient of determination of 0.9894, a root mean square error of 2.894, and errors consistently within ±2%. These results highlight the model’s robustness, reliability, and strong generalization capabilities, surpassing traditional machine learning methods and other state-of-the-art boosting-based ensemble algorithms. In conclusion, the ICPO-XGBoost model represents an efficient and reliable tool for optimizing the CO2-WAG process in low-permeability reservoirs. Its exceptional predictive accuracy, robustness, and generalization capability make it a highly valuable asset for practical reservoir management and strategic decision-making in the oil and gas industry. Full article
(This article belongs to the Special Issue Applications of Intelligent Models in the Petroleum Industry)
Show Figures

Figure 1

20 pages, 1732 KB  
Article
Transformer Fault Diagnosis Using Hybrid Feature Selection and Improved Black-Winged Kite Optimized SVM
by Jifang Li and Feiyang Wang
Electronics 2025, 14(16), 3160; https://doi.org/10.3390/electronics14163160 - 8 Aug 2025
Cited by 3 | Viewed by 1067
Abstract
In order to solve the problems of difficulty in extracting effective features from dissolved gases in transformer oil and limited recognition accuracy of the fault diagnosis model, a feature selection and improved black-winged kite algorithm (IBKA) optimized support vector machine (SVM) transformer fault [...] Read more.
In order to solve the problems of difficulty in extracting effective features from dissolved gases in transformer oil and limited recognition accuracy of the fault diagnosis model, a feature selection and improved black-winged kite algorithm (IBKA) optimized support vector machine (SVM) transformer fault diagnosis method based on dissolved gas analysis (DGA) in oil is proposed. Firstly, a hybrid feature selection method is used to perform quantitative analysis on the constructed 20-dimensional fault candidate feature set, thereby achieving the selection of feature variables. Then, the Tent chaotic mapping, the Gompertz growth model, and the Morlet wavelet variation strategy are introduced to improve the Black-Winged Kite Algorithm (BKA) to enhance its optimization searching performance; then, the IBKA is used to optimize the hyperparameters such as kernel function and penalty factor of SVM to improve the accuracy of model diagnosis results. Finally, case analysis based on 410 sets of IEC TC10 transformer fault data shows that the fault diagnosis accuracy of the proposed method reaches 98.37%, which verifies the effectiveness of the proposed method for classifying faults according to the IEC TC10 method. Full article
Show Figures

Figure 1

26 pages, 7958 KB  
Article
Enhanced Black-Winged Kite Algorithm for Drone Coverage in Complex Fruit Farms
by Jian Li, Shengliang Fu, Weijian Zhang, Haitao Fu, Xu Fang and Zheng Li
Agriculture 2025, 15(10), 1044; https://doi.org/10.3390/agriculture15101044 - 12 May 2025
Cited by 2 | Viewed by 1130
Abstract
When investigating precision pest management strategies for fruit farmlands with complex geometries and restrictive boundaries, this study proposes an enhanced coverage optimization methodology for agricultural drones based on an enhanced Black-winged Kite Algorithm (BKA). Initially, the task area is segmented using the Segment [...] Read more.
When investigating precision pest management strategies for fruit farmlands with complex geometries and restrictive boundaries, this study proposes an enhanced coverage optimization methodology for agricultural drones based on an enhanced Black-winged Kite Algorithm (BKA). Initially, the task area is segmented using the Segment Anything Model (SAM) based on deep learning, and an environmental map is created through gridding. Subsequently, by proposing coverage task cost functions, flight safety cost functions, and path length cost functions, the coverage challenge in complex-shaped areas is redefined as a challenge involving multiple constraints. To optimize this problem, we introduce a DWBKA that incorporates a Dynamic Position Balancing strategy and a modified Whale Random Walk strategy, thereby enhancing its global search capability and avoiding local optima traps. Finally, comparative experiments are conducted in six distinct scenarios of fruit farms, juxtaposing the DWBKA with the initially developed version and the BL-DQN. The results of this comparative analysis unequivocally demonstrate that the DWBKA achieves superior performance metrics, excelling in coverage rate, repeated coverage rate, path length, and computational time. When compared with extant coverage methodologies for complex shapes, the proposed DWBKA method exhibits marked performance enhancements in coverage tasks. This underscores its potential to significantly elevate the efficiency and precision of drone coverage in complex farm settings. Full article
(This article belongs to the Section Artificial Intelligence and Digital Agriculture)
Show Figures

Figure 1

26 pages, 5926 KB  
Article
Path Optimization Strategy for Unmanned Aerial Vehicles Based on Improved Black Winged Kite Optimization Algorithm
by Shuxin Wang, Bingruo Xu, Yejun Zheng, Yinggao Yue and Mengji Xiong
Biomimetics 2025, 10(5), 310; https://doi.org/10.3390/biomimetics10050310 - 11 May 2025
Cited by 7 | Viewed by 1565
Abstract
The Black-winged Kite Optimization Algorithm (BKA) is likely to experience a sluggish convergence rate when confronted with the optimization of complex multimodal functions. The fundamental algorithm has a tendency to get stuck in local optima, thus rendering it arduous to identify the global [...] Read more.
The Black-winged Kite Optimization Algorithm (BKA) is likely to experience a sluggish convergence rate when confronted with the optimization of complex multimodal functions. The fundamental algorithm has a tendency to get stuck in local optima, thus rendering it arduous to identify the global optimal solution. When dealing with large-scale data or high-dimensional optimization challenges, the BKA algorithm entails significant computational expenses, which might lead to excessive memory usage or prolonged running durations. In order to enhance the BKA and tackle these problems, a revised Black-winged Kite Optimization Algorithm (TGBKA) that incorporates the Tent chaos mapping and Gaussian mutation strategies is put forward. The algorithm is simulated and analyzed alongside other swarm intelligence algorithms by utilizing the CEC2017 test function set. The optimization outcomes of the test functions and the function convergence curves indicate that the TGBKA demonstrates superior optimization precision, a quicker convergence speed, as well as robust anti-interference and environmental adaptability. It is also contrasted with numerous similar algorithms via simulation experiments in various scene models for Unmanned Aerial Vehicle (UAV) path planning. In comparison to other algorithms, the TGBKA produces a shorter flight route, a higher convergence speed, and stronger adaptability to complex environments. It is capable of efficiently addressing UAV path planning issues and improving the UAV’s path planning abilities. Full article
(This article belongs to the Special Issue Advances in Biological and Bio-Inspired Algorithms)
Show Figures

Figure 1

26 pages, 5464 KB  
Article
An Innovative Indoor Localization Method for Agricultural Robots Based on the NLOS Base Station Identification and IBKA-BP Integration
by Jingjing Yang, Lihong Wan, Junbing Qian, Zonglun Li, Zhijie Mao, Xueming Zhang and Junjie Lei
Agriculture 2025, 15(8), 901; https://doi.org/10.3390/agriculture15080901 - 21 Apr 2025
Cited by 3 | Viewed by 1118
Abstract
This study proposes an innovative indoor localization algorithm based on the base station identification and improved black kite algorithm–backpropagation (IBKA-BP) integration to address the problem of low positioning accuracy in agricultural robots operating in agricultural greenhouses and breeding farms, where the Global Navigation [...] Read more.
This study proposes an innovative indoor localization algorithm based on the base station identification and improved black kite algorithm–backpropagation (IBKA-BP) integration to address the problem of low positioning accuracy in agricultural robots operating in agricultural greenhouses and breeding farms, where the Global Navigation Satellite System is unreliable due to weak or absent signals. First, the density peaks clustering (DPC) algorithm is applied to select a subset of line-of-sight (LOS) base stations with higher positioning accuracy for backpropagation neural network modeling. Next, the collected received signal strength indication (RSSI) data are processed using Kalman filtering and Min-Max normalization, suppressing signal fluctuations and accelerating the gradient descent convergence of the distance measurement model. Finally, the improved black kite algorithm (IBKA) is enhanced with tent chaotic mapping, a lens imaging reverse learning strategy, and the golden sine strategy to optimize the weights and biases of the BP neural network, developing an RSSI-based ranging algorithm using the IBKA-BP neural network. The experimental results demonstrate that the proposed algorithm can achieve a mean error of 16.34 cm, a standard deviation of 16.32 cm, and a root mean square error of 22.87 cm, indicating its significant potential for precise indoor localization of agricultural robots. Full article
(This article belongs to the Section Artificial Intelligence and Digital Agriculture)
Show Figures

Figure 1

19 pages, 3385 KB  
Article
Multi-Timescale Nested Hydropower Station Optimization Scheduling Based on the Migrating Particle Whale Optimization Algorithm
by Mi Zhang, Guosheng Zhou, Bei Liu, Dajun Huang, Hao Yu and Li Mo
Energies 2025, 18(7), 1780; https://doi.org/10.3390/en18071780 - 2 Apr 2025
Viewed by 667
Abstract
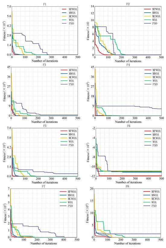
Exploring efficient and stable solution methods for hydropower generation optimization models is crucial for enhancing reservoir power generation efficiency and achieving the sustainable use of water resources. However, existing studies predominantly focus on single-timescale scheduling models, failing to fully exploit multi-timescale runoff information. [...] Read more.
Exploring efficient and stable solution methods for hydropower generation optimization models is crucial for enhancing reservoir power generation efficiency and achieving the sustainable use of water resources. However, existing studies predominantly focus on single-timescale scheduling models, failing to fully exploit multi-timescale runoff information. Additionally, commonly used solution algorithms often face challenges such as premature convergence, susceptibility to local optima, and dimensionality issues. To address these limitations, this paper proposes the Migrating Particle Whale Optimization Algorithm (MPWOA), which initializes the population using chaotic mapping, incorporates a particle swarm mechanism to enhance exploitation during the spiral predation phase, and integrates the black-winged kite migration mechanism to improve stochastic search performance. Validation on classical test functions and the Jiangpinghe River of the multi-timescale nested optimal scheduling model demonstrates that MPWOA exhibits faster convergence and stronger optimization capabilities and significantly improves power generation. The multi-timescale nested scheduling scheme derived from this algorithm effectively utilizes runoff information, offering a practical and highly efficient solution for hydropower scheduling. Full article
(This article belongs to the Section A: Sustainable Energy)
Show Figures

Figure 1

27 pages, 24272 KB  
Article
A Data Model and Method Framework for Cyberspace Map Visualization
by Zheng Zhang, Chenghu Zhou, Minjie Chen, Yibing Cao and Shaojing Fan
ISPRS Int. J. Geo-Inf. 2025, 14(2), 70; https://doi.org/10.3390/ijgi14020070 - 9 Feb 2025
Cited by 1 | Viewed by 1619
Abstract
Integrating cyberspace and geographic space through map visualization is a valuable approach for revealing distribution patterns and relational dynamics in cyberspace. The interdisciplinary integration of network science and geographic science has gained increasing attention in recent years. However, current geographic information data models [...] Read more.
Integrating cyberspace and geographic space through map visualization is a valuable approach for revealing distribution patterns and relational dynamics in cyberspace. The interdisciplinary integration of network science and geographic science has gained increasing attention in recent years. However, current geographic information data models are not suitable for representing cyberspace features and their relations, and there is a lack of general and systematic cyberspace map visualization methods. To address these problems, this paper introduces an integrated data model that aligns spatial and cyberspace features based on a “proxy mode”. This model is designed to support both the visualization of data maps and the analysis of complex networks and graph layouts. In addition, a framework for cyberspace map visualization is introduced, comprising three main stages: “cyberspace data processing”, “cyberspace data rendering”, and “base map processing and map layout”. Using the Routers, BrightKite, and Cables datasets, we developed a web-based CMV system and generated a statistical map, a node-link map, an edge bundling map, a flow map, and a feature distribution map. The experimental results showed that the proposed data model and method framework can be effectively applied to represent the distribution and relations of cyberspace features and help reveal the interaction patterns between cyberspace and geographic space. Full article
Show Figures

Figure 1

27 pages, 5483 KB  
Article
Application of Black-Winged Differential-Variant Whale Optimization Algorithm in the Optimization Scheduling of Cascade Hydropower Stations
by Mi Zhang, Zixuan Liu, Rungang Bao, Shuli Zhu, Li Mo and Yuqi Yang
Sustainability 2025, 17(3), 1018; https://doi.org/10.3390/su17031018 - 26 Jan 2025
Cited by 1 | Viewed by 1317
Abstract
Hydropower is a vital strategic component of China’s clean energy development. Its construction and optimized water resource allocation are crucial for addressing global energy challenges, promoting socio-economic development, and achieving sustainable development. However, the optimization scheduling of cascade hydropower stations is a large-scale, [...] Read more.
Hydropower is a vital strategic component of China’s clean energy development. Its construction and optimized water resource allocation are crucial for addressing global energy challenges, promoting socio-economic development, and achieving sustainable development. However, the optimization scheduling of cascade hydropower stations is a large-scale, multi-constrained, and nonlinear problem. Traditional optimization methods suffer from low computational efficiency, while conventional intelligent algorithms still face issues like premature convergence and local optima, which severely hinder the full utilization of water resources. This study proposed an improved whale optimization algorithm, the Black-winged Differential-variant Whale Optimization Algorithm (BDWOA), which enhanced population diversity through a Logistic-Sine-Cosine combination chaotic map, improved algorithm flexibility with an adaptive adjustment strategy, and introduced the migration mechanism of the black-winged kite algorithm along with a differential mutation strategy to enhance the global search ability and convergence capacity. The BDWOA algorithm was tested using test functions with randomly generated simulated data, with its performance compared against five related optimization algorithms. Results indicate that the BDWOA achieved the optimal value with the fewest iterations, effectively overcoming the limitations of the original whale optimization algorithm. Further validation using actual runoff data for the cascade hydropower station optimization scheduling model showed that the BDWOA effectively enhanced power generation efficiency. In high-flow years, the average power generation increased by 8.3%, 6.5%, 6.8%, 4.1%, and 8.2% compared to the five algorithms while achieving the shortest computation time. Significant improvements in power generation were also observed in normal-flow and low-flow years. The scheduling solutions generated by the BDWOA can adapt to varying inflow conditions, offering an innovative approach to solving complex hydropower station optimization scheduling problems. This contributes to the sustainable utilization of water resources and supports the long-term development of renewable energy. Full article
(This article belongs to the Section Energy Sustainability)
Show Figures

Figure 1

26 pages, 5564 KB  
Article
A Prediction Model for Methane Concentration in the Buertai Coal Mine Based on Improved Black Kite Algorithm–Informer–Bidirectional Long Short-Term Memory
by Hu Qu, Xuming Shao, Huanqi Gao, Qiaojun Chen, Jiahe Guang and Chun Liu
Processes 2025, 13(1), 205; https://doi.org/10.3390/pr13010205 - 13 Jan 2025
Cited by 3 | Viewed by 1516
Abstract
Accurate prediction of methane concentration in mine roadways is crucial for ensuring miner safety and enhancing the economic benefits of mining enterprises in the field of coal mine safety. Taking the Buertai Coal Mine as an example, this study employs laser methane concentration [...] Read more.
Accurate prediction of methane concentration in mine roadways is crucial for ensuring miner safety and enhancing the economic benefits of mining enterprises in the field of coal mine safety. Taking the Buertai Coal Mine as an example, this study employs laser methane concentration monitoring sensors to conduct precise real-time measurements of methane concentration in coal mine roadways. A prediction model for methane concentration in coal mine roadways, based on an Improved Black Kite Algorithm (IBKA) coupled with Informer-BiLSTM, is proposed. Initially, the traditional Black Kite Algorithm (BKA) is enhanced by introducing Tent chaotic mapping, integrating dynamic convex lens imaging, and adopting a Fraunhofer diffraction search strategy. Experimental results demonstrate that the proposed improvements effectively enhance the algorithm’s performance, resulting in the IBKA exhibiting higher search accuracy, faster convergence speed, and robust practicality. Subsequently, seven hyperparameters in the Informer-BiLSTM prediction model are optimized to further refine the model’s predictive accuracy. Finally, the prediction results of the IBKA-Informer-BiLSTM model are compared with those of six reference models. The research findings indicate that the coupled model achieves Mean Absolute Errors (MAE) of 0.00067624 and 0.0005971 for the training and test sets, respectively, Root Mean Square Errors (RMSE) of 0.00088187 and 0.0008005, and Coefficient of Determination (R2) values of 0.9769 and 0.9589. These results are significantly superior to those of the other compared models. Furthermore, when applied to additional methane concentration datasets from the Buertai Coal Mine roadways, the model demonstrates R2 values exceeding 0.95 for both the training and test sets, validating its excellent generalization ability, predictive performance, and potential for practical applications. Full article
(This article belongs to the Section Energy Systems)
Show Figures

Graphical abstract

20 pages, 7258 KB  
Article
MSBKA: A Multi-Strategy Improved Black-Winged Kite Algorithm for Feature Selection of Natural Disaster Tweets Classification
by Guangyu Mu, Jiaxue Li, Zhanhui Liu, Jiaxiu Dai, Jiayi Qu and Xiurong Li
Biomimetics 2025, 10(1), 41; https://doi.org/10.3390/biomimetics10010041 - 10 Jan 2025
Cited by 10 | Viewed by 2003
Abstract
With the advancement of the Internet, social media platforms have gradually become powerful in spreading crisis-related content. Identifying informative tweets associated with natural disasters is beneficial for the rescue operation. When faced with massive text data, choosing the pivotal features, reducing the calculation [...] Read more.
With the advancement of the Internet, social media platforms have gradually become powerful in spreading crisis-related content. Identifying informative tweets associated with natural disasters is beneficial for the rescue operation. When faced with massive text data, choosing the pivotal features, reducing the calculation expense, and increasing the model classification performance is a significant challenge. Therefore, this study proposes a multi-strategy improved black-winged kite algorithm (MSBKA) for feature selection of natural disaster tweets classification based on the wrapper method’s principle. Firstly, BKA is improved by utilizing the enhanced Circle mapping, integrating the hierarchical reverse learning, and introducing the Nelder–Mead method. Then, MSBKA is combined with the excellent classifier SVM (RBF kernel function) to construct a hybrid model. Finally, the MSBKA-SVM model performs feature selection and tweet classification tasks. The empirical analysis of the data from four natural disasters shows that the proposed model has achieved an accuracy of 0.8822. Compared with GA, PSO, SSA, and BKA, the accuracy is increased by 4.34%, 2.13%, 2.94%, and 6.35%, respectively. This research proves that the MSBKA-SVM model can play a supporting role in reducing disaster risk. Full article
Show Figures

Figure 1

Back to TopTop