Sign in to use this feature.

Years

Between: -

Subjects

remove_circle_outline
remove_circle_outline
remove_circle_outline
remove_circle_outline
remove_circle_outline
remove_circle_outline
remove_circle_outline
remove_circle_outline
remove_circle_outline

Journals

remove_circle_outline
remove_circle_outline
remove_circle_outline
remove_circle_outline
remove_circle_outline
remove_circle_outline
remove_circle_outline
remove_circle_outline
remove_circle_outline
remove_circle_outline

Article Types

Countries / Regions

remove_circle_outline
remove_circle_outline
remove_circle_outline
remove_circle_outline
remove_circle_outline

Search Results (430)

Search Parameters:
Keywords = many-body localization

Order results
Result details
Results per page
Select all
Export citation of selected articles as:
21 pages, 1432 KB  
Article
Treatment Outcomes for Malignant Peripheral Lung Tumours: A Prospective Single-Centre Comparison of Thermal Ablation, Surgery, and Radiotherapy
by Aurimas Mačionis, Gertrūda Maziliauskienė, Rūta Dubeikaitė, Ieva Balčiūnaitė, Grytė Galnaitienė, Lina Padervinskienė, Jurgita Matulionė, Skaidrius Miliauskas, Erika Korobeinikova, Laimonas Jaruševičius, Irena Nedzelskienė, Edita Mišeikytė-Kaubrienė, Donatas Vajauskas and Marius Žemaitis
Medicina 2025, 61(11), 1972; https://doi.org/10.3390/medicina61111972 - 3 Nov 2025
Viewed by 343
Abstract
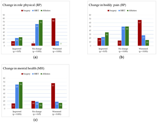
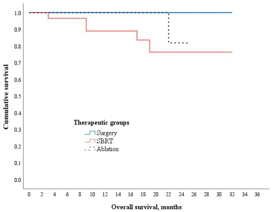
Background and Objectives: Lung cancer and pulmonary metastases are major causes of cancer-related mortality. Surgery is a standard curative approach, but many patients are ineligible due to age, comorbidities, or treatment preference. This study aimed to evaluate the safety, effectiveness, and quality-of-life [...] Read more.
Background and Objectives: Lung cancer and pulmonary metastases are major causes of cancer-related mortality. Surgery is a standard curative approach, but many patients are ineligible due to age, comorbidities, or treatment preference. This study aimed to evaluate the safety, effectiveness, and quality-of-life outcomes of thermal ablation versus surgery and stereotactic body radiotherapy (SBRT) for malignant lung lesions. Materials and Methods: A prospective, non-randomized study was conducted on 68 patients with primary or metastatic lung tumours treated by surgery (n = 19), SBRT (n = 29), or thermal ablation (n = 20). The key outcomes included recurrence rates and patterns, disease-free and overall survival, complications, hospitalization, and health-related quality of life (HRQoL). Results: Surgery demonstrated the lowest total and regional recurrence rates (21.1% and 10.5%, respectively), significantly lower than SBRT (57.1% and 42.9%, respectively; p < 0.05). Additionally, surgery led to the longest disease-free survival but was associated with the highest complication rate (78.9%) and the greatest HRQoL decline. SBRT had fewer complications (17.2%) and moderate HRQoL outcomes. Thermal ablation showed no significant differences in recurrence (45.0% of total recurrence) or survival compared to surgery or SBRT, with a moderate complication rate (45.0%) and the most favorable HRQoL outcomes. Major complications were rare and comparable across all groups. Conclusions: Thermal ablation demonstrated comparable disease control and quality-of-life outcomes to SBRT, with lower complication rates. While surgery remains superior in local disease control, its invasiveness and impact on quality of life underscore the importance of minimally invasive treatments in multidisciplinary management of malignant lung lesions. Full article
(This article belongs to the Section Oncology)
Show Figures

Figure 1

10 pages, 1153 KB  
Article
Entanglement Islands in 1D and 2D Lattices with Defects
by Ivan P. Christov
Entropy 2025, 27(11), 1093; https://doi.org/10.3390/e27111093 - 23 Oct 2025
Viewed by 262
Abstract
We investigate the spatial structure of quantum entanglement in one- and two-dimensional lattice systems containing structural defects, using the Time-Dependent Quantum Monte Carlo (TDQMC) method. By constructing reduced density matrices from ensembles of guide waves, we resolve spatial variations in both Coulomb-mediated entanglement [...] Read more.
We investigate the spatial structure of quantum entanglement in one- and two-dimensional lattice systems containing structural defects, using the Time-Dependent Quantum Monte Carlo (TDQMC) method. By constructing reduced density matrices from ensembles of guide waves, we resolve spatial variations in both Coulomb-mediated entanglement and coherence without requiring full many-body wavefunctions. This approach reveals localized regions, entanglement islands, where quantum correlations are enhanced or suppressed due to the presence of vacancies or interaction inhomogeneities. In 1D systems, entanglement tends to concentrate near defects, while in 2D systems, we observe bridge-like and radially symmetric domains. Our results demonstrate that TDQMC offers a scalable and physically transparent framework for real-space quantum information analysis, with implications for information transfer in atomic-size structures, quantum materials, entanglement-based sensing, and coherent state engineering. Full article
(This article belongs to the Special Issue Editorial Board Members' Collection Series on Quantum Entanglement)
Show Figures

Figure 1

24 pages, 1251 KB  
Review
Nicotinism vs. Glomerulopathies—Smoking as a Risk Factor for Primary Glomerulopathies
by Magdalena Dzięgiel, Aleksandra Maciejowska, Marek Misiak and Katarzyna A. Lisowska
Antioxidants 2025, 14(10), 1233; https://doi.org/10.3390/antiox14101233 - 14 Oct 2025
Viewed by 874
Abstract
Smoking cigarettes affects the human body on many levels—not only are the lungs and heart targeted, but also other organs, directly and through derived alterations. We decided to parallel the impacts most often described in the literature in the hope of better future [...] Read more.
Smoking cigarettes affects the human body on many levels—not only are the lungs and heart targeted, but also other organs, directly and through derived alterations. We decided to parallel the impacts most often described in the literature in the hope of better future targeting regarding treatment for smoke-induced renal injury. As a result of our research, it is clear that damage is mostly localized directly in vessels and glomeruli. We perceive it as a connected web, where oxidative stress leads to local inflammation, general inflammation in the form of obesity, or inflammation due to nasopharyngeal infection. It later affects other types of tissues: podocytes, epithelium in both glomeruli, renal tubules, and vessels. We mention major molecules proven to participate in kidney damage that tend to be similar in all disease entities depicted in this study: IgA nephropathy, membranous nephropathy, and minimal change disease. Moreover, as nicotine is a major component of both classic cigarettes and electronic cigarettes, we decided to approximate and summarize the information on its impact on primary glomerulopathies. Full article
(This article belongs to the Special Issue Cigarette Smoke and Oxidative Stress)
Show Figures

Figure 1

10 pages, 1620 KB  
Communication
Observation of Excitonic Doublet Structure, Biexcitons and Their Temperature Dependence in High-Quality β-InSe Single Crystals
by Tran Thi Thu Huong, Long V. Le, Nguyen Thu Loan, Man Hoai Nam, Tien-Thanh Nguyen, Thi Thuong Huyen Tran, Ung Thi Dieu Thuy, Thi Huong Nguyen and Tae Jung Kim
Materials 2025, 18(19), 4451; https://doi.org/10.3390/ma18194451 - 23 Sep 2025
Viewed by 480
Abstract
We present a systematic study of the fundamental optical properties of indium selenide (InSe) single crystals over a temperature range of 17 K to 300 K. The high structural quality of the β-polytype crystals was confirmed through X-ray diffraction, Raman spectroscopy, and high-resolution [...] Read more.
We present a systematic study of the fundamental optical properties of indium selenide (InSe) single crystals over a temperature range of 17 K to 300 K. The high structural quality of the β-polytype crystals was confirmed through X-ray diffraction, Raman spectroscopy, and high-resolution transmission electron microscopy, demonstrating excellent crystallinity and a nearly stoichiometric In:Se ratio. The temperature-dependent absorption and photoluminescence (PL) spectra are characterized by a prominent free exciton (FX) resonance. At 17 K, the photoluminescence spectrum exhibits a distinct fine-structure splitting of the Wannier–Mott exciton, yielding a triplet state at 1.333 eV and a singlet state at 1.336 eV. Additionally, a biexciton (XX) is localized at an energy of 1.322 eV as confirmed by the nonlinear dependence of intensity on excitation power density. At low temperatures, the absorption spectrum exhibits the free exciton ground state (n = 1) at 1.338 eV together with the first excited state (n = 2) at 1.350 eV. We systematically tracked and analyzed the temperature evolution of these quasiparticle energies. These findings enhance our understanding of the intrinsic many-body interactions in high-quality InSe, providing essential parameters for advancing its applications in innovative optoelectronic and quantum light-emitting devices. Full article
(This article belongs to the Special Issue Feature Papers in Materials Physics (2nd Edition))
Show Figures

Figure 1

12 pages, 233 KB  
Article
Delivering the Parenting for Lifelong Health Programme with Parents of Young Children in Wales
by Judy Hutchings, Sarah Jones, Anwen Jones, Margiad Williams and Jamie Lachman
Children 2025, 12(10), 1280; https://doi.org/10.3390/children12101280 - 23 Sep 2025
Viewed by 592
Abstract
Background/Objectives: Based on years of work from high-income countries, the Parenting for Lifelong Health programme for parents of Young Children (PLH-YC) was developed by the first and last authors, as a freely available low-cost programme for low-income families in low- and middle-income countries [...] Read more.
Background/Objectives: Based on years of work from high-income countries, the Parenting for Lifelong Health programme for parents of Young Children (PLH-YC) was developed by the first and last authors, as a freely available low-cost programme for low-income families in low- and middle-income countries (LMICs). The initial group-based 12-session programme has since been delivered, adapted, and evaluated across many LMICs and now has a significant body of evidence. Over the last 10 years, early intervention services in the UK have been considerably reduced whilst, exacerbated by the impact of COVID-19, service demands have grown. This paper describes a feasibility trial of the 12-session PLH-YC programme in Wales to explore whether it could recruit and retain parents, and demonstrate improvements in parenting skills and reductions in child behaviour problems. Methods: Two small pre–post trials were conducted in socially disadvantaged communities in Wales, and they were delivered by local parenting practitioners. Of the 20 parents recruited across 3 groups, 17 provided pre- and post-course data and 10 completed qualitative interviews. Results: Retention was good (85%) with mean attendance of 8.7 sessions, and parental and facilitator feedback reported high levels of satisfaction with the programme, with the only recommendation being to make the programme longer and for facilitators to be given more time. Results showed significant benefits to parent-reported parenting practices, child behaviour, and parental mental wellbeing. Conclusions: These preliminary results justify work to develop a rigorous evaluation to establish whether PLH-YC could have a place among parenting-support programmes in the UK. Full article
(This article belongs to the Special Issue Advances in Mental Health and Well-Being in Children (2nd Edition))
28 pages, 597 KB  
Review
Ab Initio Calculations of Spin Waves: A Review of Theoretical Approaches and Applications
by Michael Neugum and Arno Schindlmayr
Materials 2025, 18(18), 4431; https://doi.org/10.3390/ma18184431 - 22 Sep 2025
Viewed by 569
Abstract
Spin waves represent an important class of low-energy excitations in magnetic solids, which influence the thermodynamic properties and play a major role in technical applications, such as spintronics or magnetic data storage. Despite the enormous advances of ab initio simulations in materials science, [...] Read more.
Spin waves represent an important class of low-energy excitations in magnetic solids, which influence the thermodynamic properties and play a major role in technical applications, such as spintronics or magnetic data storage. Despite the enormous advances of ab initio simulations in materials science, quantitative calculations of spin-wave spectra still pose a significant challenge, because the collective nature of the spin dynamics requires an accurate treatment of the Coulomb interaction between the electrons. As a consequence, simple lattice models like the Heisenberg Hamiltonian are still widespread in practical investigations, but modern techniques like time-dependent density-functional theory or many-body perturbation theory also open a route to material-specific spin-wave calculations from first principles. Although both are in principle exact, actual implementations necessarily employ approximations for electronic exchange and correlation as well as additional numerical simplifications. In this review, we recapitulate the theoretical foundations of ab initio spin-wave calculations and analyze the common approximations that underlie present implementations. In addition, we survey the available results for spin-wave dispersions of various magnetic materials and compare the performance of different computational approaches. In this way, we provide an overview of the present state of the art and identify directions for further developments. Full article
Show Figures

Graphical abstract

15 pages, 3119 KB  
Article
Economic Valuation of the Public Health Impacts of Wetland Degradation: The Case of Lake Cuitzeo (Mexico)
by Rafael Trueba-Regalado, José A. Albaladejo-García, Arturo Chacón-Torres, Carlos F. Ortiz-Paniagua and José M. Martínez-Paz
Land 2025, 14(9), 1908; https://doi.org/10.3390/land14091908 - 18 Sep 2025
Viewed by 555
Abstract
In recent decades there has been a deterioration of wetlands with severe implications for human health, particularly through its effects on food, water, and climate security. Thus, there is an increasing interest in addressing the adverse effects of wetland degradation, particularly in relation [...] Read more.
In recent decades there has been a deterioration of wetlands with severe implications for human health, particularly through its effects on food, water, and climate security. Thus, there is an increasing interest in addressing the adverse effects of wetland degradation, particularly in relation to public health. Despite the necessity to comprehend the economic value associated with wetland degradation, there is still a paucity of research on the subject in many areas of the world, such as Latin American countries. The objective of this work is to determine the economic impacts of wetland degradation through its health impacts on local communities to achieve sustainable wetland management. To this end, a contingent valuation method has been applied selecting Lake Cuitzeo (Mexico) as an emblematic case study where there is a process of ecological degradation that has a negative impact on both the well-being and health of the population. Based on contingent valuation surveys of the population, respondents were directly asked to express their willingness to accept (WTA) by considering changes in well-being resulting from the loss of a benefit or their willingness to pay (WTP) for the improvement of goods/services. The findings indicated a willingness to accept economic compensation of 47.86 USD/household/month for health-related damages and a willingness to pay 2.77 USD/household/month for the environmental management measures to improve lake conditions. In addition, a multivariate analysis was carried out to determine the influence of socio-economic and environmental factors on the economic valuation exercise. The results can serve as a guide for policymakers in the implementation of socially accepted measures to solve the environmental and public health problems in degraded water bodies. Full article
(This article belongs to the Special Issue Valuing Non-Market Benefits of Nature Conservation and Restoration)
Show Figures

Figure 1

12 pages, 674 KB  
Article
Role of the Electron–Phonon Interaction in the Superconductivity of the 2-Dimensional Sn/Si(111) Interface
by Fernando Flores, Daniel G. Trabada, Álvaro Martín-Rodero and José Ortega
Condens. Matter 2025, 10(3), 51; https://doi.org/10.3390/condmat10030051 - 15 Sep 2025
Viewed by 604
Abstract
In order to elucidate the mechanism creating superconductivity in the 2-dimensional layer of a p-doped Sn/Si(111) surface, we have analyzed the many-body effects associated with the electron-phonon (e-ph) coupling and the electron–electron interaction. First, we have calculated the DFT surface band of the [...] Read more.
In order to elucidate the mechanism creating superconductivity in the 2-dimensional layer of a p-doped Sn/Si(111) surface, we have analyzed the many-body effects associated with the electron-phonon (e-ph) coupling and the electron–electron interaction. First, we have calculated the DFT surface band of the system and the coupling associated with the different interactions. In our calculations we find a mean field (DFT) electron bandwidth of 0.54 eV, an attractive coupling Uneg=0.32 eV associated with the e-ph coupling and an effective electron–electron Hubbard repulsion of U=0.83 eV. Then, we analyze the Hubbard Hamiltonian, neglecting in this step the e-ph coupling that is much smaller than the Hubbard coupling, by considering a p-doping in this Hamiltonian of 10%; by means of a Dynamical Mean Field (DMF) approach combined with an interpolative calculation for the self-energy, we deduce the local density of states (DOS) and show that the quasi-particle DOS induced by the doping is not large enough to induce magnetism in the Sn-monolayer. This leads us to analyze the possibility of having superconductivity by considering the attractive interaction induced by the e-ph coupling within an appropriate BCS-Hamiltonian. Our calculations show that the quasiparticle metallic system has a superconductivity critical temperature of ≈7–9 K, in good agreement with experiments. Full article
(This article belongs to the Special Issue New Advances in Condensed Matter Physics, 2nd Edition)
Show Figures

Figure 1

8 pages, 213 KB  
Perspective
Perspective: Vitamin D Deficiency Relationship to Initiation of Diseases
by David R. Fraser
Nutrients 2025, 17(17), 2900; https://doi.org/10.3390/nu17172900 - 8 Sep 2025
Cited by 1 | Viewed by 1046
Abstract
Vitamin D is converted to a steroid hormone by 25-hydroxylation in the liver and then by 1-hydroxylation in the kidney to produce the circulating hormone 1,25-dihydroxy vitamin D [1,25(OH2D]. This hormone then functions in cells of the intestinal mucosa and in [...] Read more.
Vitamin D is converted to a steroid hormone by 25-hydroxylation in the liver and then by 1-hydroxylation in the kidney to produce the circulating hormone 1,25-dihydroxy vitamin D [1,25(OH2D]. This hormone then functions in cells of the intestinal mucosa and in bone to maintain whole-body calcium homeostasis. Classical vitamin D deficiency thus results in defective calcium homeostasis. Yet vitamin D deficiency is often reported in people with various diseases not associated with whole-body calcium homeostasis. Because of these associations with vitamin D deficiency, clinical trials have been undertaken to determine whether raising vitamin D status could be an effective treatment for such diseases. However, the results of such clinical trials have largely been inconclusive. The steroidal autocrine or paracrine role of locally produced 1,25(OH)2D in many nonrenal cells throughout the body is protective against a range of pathological changes. In vitamin D deficiency such protection becomes defective. A disease process may thus be initiated, and then progress, while vitamin D status is inadequate, as in the months of winter in temperate regions of the world. The subsequent correction of vitamin D deficiency may no longer be able to protect patients when the disease process has already become established. To maintain the many protective roles of vitamin D against disease, it is important that public health strategies aim to maintain adequate vitamin D status throughout the year. Full article
(This article belongs to the Section Nutrition and Public Health)
Show Figures

Graphical abstract

10 pages, 363 KB  
Article
Safety of Combination TARE and SBRT in Hepatocellular Carcinoma: A Review of Literature & Single-Center Case Series
by Bahareh Gholami, Ali Afrasiabi, Andrew M. Moon, Ted K. Yanagihara, Hui Wang, Sandra Gad, Alex Villalobos, David M. Mauro, Hyeon Yu, Johannes L. du Pisanie and Nima Kokabi
Curr. Oncol. 2025, 32(9), 487; https://doi.org/10.3390/curroncol32090487 - 31 Aug 2025
Viewed by 1078
Abstract
Hepatocellular carcinoma (HCC) is the most common primary liver cancer. At the time of diagnosis, many HCC patients are not candidates for surgical resection and are considered for other locoregional therapies, including transarterial radioembolization (TARE) and stereotactic body radiation therapy (SBRT). To date [...] Read more.
Hepatocellular carcinoma (HCC) is the most common primary liver cancer. At the time of diagnosis, many HCC patients are not candidates for surgical resection and are considered for other locoregional therapies, including transarterial radioembolization (TARE) and stereotactic body radiation therapy (SBRT). To date only a few studies have explored the safety and efficacy of combining TARE and SBRT. Therefore, we aimed to evaluate it. Patients who received both SBRT and TARE from 2016 to 2024 were retrospectively evaluated for treatment-related toxicity based on criteria for adverse events (CTCAE v4.0). Treatment response was evaluated by modified response evaluation criteria for solid tumors (m-RECIST). We identified 12 patients with median age of 66.5 (range: 40, 87) and median follow up of 12 months. The median time between TARE and SBRT was 6.5 months (range: 1.5 to 24). Following the second treatment, ALBI grade remined the same among all patients at 3-month post treatment compared to baseline. Baseline CP was A among all patients and remained unchanged during follow-up and no higher than grade 3 clinical or biochemical toxicity was seen. The objective response rate (ORR) among patients receiving treatment to the same lesion was 100%. The combination treatment was consistent with prior studies in which the combination of TARE and SBRT has been shown to have good local control with few cases of grade 3 toxicity. Our study demonstrates that treatment with TARE and SBRT was safe and effective among our small sample of patients. Full article
(This article belongs to the Special Issue Combined Therapies for Hepatocellular Carcinoma)
Show Figures

Figure 1

29 pages, 11185 KB  
Article
Assessment of the Volume, Spatial Diversity, Functioning, and Structure of Sediments in Water Bodies Within the Słubia River Catchment (Myślibórz Lakeland, Poland)
by Witold Jucha, Aleksandra Bobrek, Weronika Ceglarek, Piotr Cybul, Izabela Grabiec, Nikola Kachnowicz, Michał Kijowski, Natalia Konderak, Paulina Mareczka, Daniel Okupny, Zofia Sotek, Izabela Rysak and Piotr Trzepla
Water 2025, 17(17), 2530; https://doi.org/10.3390/w17172530 - 26 Aug 2025
Viewed by 1222
Abstract
Water reservoirs play a crucial role in the environment in many aspects: hydrology, geochemistry, sediment lithology, geo- and biodiversity, landscape, etc. First of all, it is necessary to have accurate information about the spatial distribution of these objects in a given area to [...] Read more.
Water reservoirs play a crucial role in the environment in many aspects: hydrology, geochemistry, sediment lithology, geo- and biodiversity, landscape, etc. First of all, it is necessary to have accurate information about the spatial distribution of these objects in a given area to assess their size and functioning. Maps and contemporary spatial databases are often incomplete or outdated, especially in regard to small objects, of variable surface area and condition. This article uses the following approach: high-resolution terrain models derived from airborne laser scanning (ALS) were used for visual interpretation of extensive, flat depressions representing water body basins, thus determining the total number of objects, and classifying them as kettle holes, lakes, ponds, and other types of reservoirs (e.g., overbank basins, oxbow lakes). Using an aerial orthophotomap, the objects were subsequently verified as to how many basins are currently occupied by water bodies. The next step was to determine a number of topographic and morphometric parameters for each object in order to assess their functioning conditions. For selected objects, the assessment was expanded to include a geochemical and lithological analysis of the sediments. The study was conducted in the catchment of the Słubia River (136 km2), located in Central Europe, in northwestern Poland. In the Słubia catchment, a total of 931 water body basins were mapped. The dominant forms are kettle holes (<1 ha), representing nearly 80% of all objects. At present, kettle holes are largely devoid of water bodies and subject to a strong human impact. In addition to those, 118 lake basins were identified (>1 ha, the largest being Lake Morzycko, 360 ha), half of which are occupied by water reservoirs. Ponds and other reservoirs were represented by 37 and 47 objects, respectively. From the perspective of contemporary sediment-forming processes in the documented sedimentary basins, the most favorable conditions for biogenous sediment accumulation exist in the catchments of the upper and medium courses of the Słubia River valley. Although the lithological diversity and thickness of individual sediment types in the Słubia catchment represent local features, they corroborate the results of previous telmatologic research conducted in Myślibórz Lakeland. Full article
(This article belongs to the Section Water Erosion and Sediment Transport)
Show Figures

Graphical abstract

23 pages, 2247 KB  
Review
Comparison of the Effectiveness Differences between Western and Chinese Medicinal Ointments against Eczema
by Siu Kan Law, Yanping Wang and Xiao Xiao Wu
Pharmaceuticals 2025, 18(9), 1248; https://doi.org/10.3390/ph18091248 - 22 Aug 2025
Viewed by 1922
Abstract
Eczema is the most common skin disease among Hong Kong’s adults and children, affecting an estimated 30% of the total population. Western and Chinese medicinal ointments are the usual treatment for eczema. Conventional Western medicinal ointments are topical corticosteroids and non-steroidal agents. Eczema [...] Read more.
Eczema is the most common skin disease among Hong Kong’s adults and children, affecting an estimated 30% of the total population. Western and Chinese medicinal ointments are the usual treatment for eczema. Conventional Western medicinal ointments are topical corticosteroids and non-steroidal agents. Eczema skin products include “Aveeno Parabens Lotion”, “Cerave Moisturizing Cream”, and “Cetaphil Lotion”. However, these are not a long-term solution for managing significant erythema. Chinese medicinal ointments are based on adjusting the formula, including the ingredients and amount, to address an individual’s skin condition and other factors that may be worsening symptoms. This approach aims to regulate the immune system and make it less reactive to environmental and food allergies. This approach is mainly for local topical use. The ingredients of eczema skin products should include Coptis chinensis Franch, Phellodendron chinense Schneid, Angelica sinensis (Oliv.) Diels, Rehmannia glutinosa Libosch, Curcuma longa L., and sesame oil. Chinese medicinal ointments are natural ingredients, personalized formulas, and concerned with holistic healing, while Western medicinal ointments provide fast-acting relief, targeted action, and a standardized dosage. Methods: Nine electronic databases, such as WanFang Data, PubMed, Science Direct, Scopus, Web of Science, Springer Link, SciFinder, and the China National Knowledge Infrastructure (CNKI), were searched mainly within the past twenty years and without any language restrictions. The inclusion criteria were the keywords “Western medicine and ointment”, “Chinese medicine and ointment”, and “Western and Chinese medicines and ointment”. Differences in effectiveness between Western and Chinese ointments were evaluated to determine if they had functions against eczema. This review included an analysis and summary of all relevant papers. Results: Western medicinal ointments are topical corticosteroids, and they exert their pharmacological activities via many mechanisms, including anti-inflammatory, immunosuppressive, antiproliferative, and vasoconstrictive effects on eczema. Similarly, Chinese medicinal ointments have the same pharmacological functions, but they may focus on the immune system for the treatment of inflammatory and skin conditions, including erythema, edema, dryness, desquamation, and callus exfoliation. Conclusion: Based on the clinical research, the effectiveness rate of integrated Chinese and Western medicines was 88%, which was greater than the 70% rate for using Western medicine alone to treat eczema. Western and Chinese medicinal ointments have different active ingredients with advantages and disadvantages for eczema or when acting as skin care products. The most important thing is knowing “How” to use Western and Chinese medicinal ointments properly, especially for some formulations of Chinese ointments. It may be beneficial to consider the pharmacokinetic studies of herbal ingredients, which offer personalized formulas tailored to individual body constitutions and conditions, as well as to emphasize holistic healing, addressing both symptoms and underlying imbalances in the body. Much more work needs to be carried out, such as safety assessments of these ointments for use as skin care products for eczema. Full article
(This article belongs to the Special Issue Natural Products for Skin Applications)
Show Figures

Graphical abstract

22 pages, 17346 KB  
Article
Comments on Two Controversial Oriental Assassin Bug Species of the Genus Rhynocoris (Heteroptera: Reduviidae: Harpactorinae), with the Description of R. minutus sp. nov. from China
by Huaiyu Liu, Zhuo Chen, Haoyang Xiong, Zhaoyang Chen, Hu Li, Ping Zhao and Wanzhi Cai
Insects 2025, 16(8), 823; https://doi.org/10.3390/insects16080823 - 8 Aug 2025
Viewed by 1060
Abstract
The two closely related Oriental species of the genus Rhynocoris, R. costalis (Stål, 1867) and R. fuscipes (Fabricius, 1787), exhibit remarkable morphological similarity, particularly in their overall red and black body coloration, including the head, thorax, and abdomen. Based on the examination [...] Read more.
The two closely related Oriental species of the genus Rhynocoris, R. costalis (Stål, 1867) and R. fuscipes (Fabricius, 1787), exhibit remarkable morphological similarity, particularly in their overall red and black body coloration, including the head, thorax, and abdomen. Based on the examination of type specimens and non-type material collected from various localities of southern China, we found these two congeners were misidentified in many previous publications. Due to the restricted distribution and limited population size of R. fuscipes in China, most taxonomic, biological, and biocontrol studies conducted under the name Harpactor fuscipes or Rhynocoris fuscipes should be instead attributed to R. costalis. To address this confusion regarding these two species, the present study clarifies the taxonomic status of the two controversial species—R. costalis and R. fuscipes. Additionally, a new species, Rhynocoris minutus Liu, Zhao & Cai sp. nov., collected from southwestern China, is described and illustrated. A key to the 13 species in Rhynocoris currently recorded in China is provided. Full article
(This article belongs to the Section Insect Systematics, Phylogeny and Evolution)
Show Figures

Figure 1

13 pages, 475 KB  
Article
Clinical Outcomes of Patients with Achalasia Following Pneumatic Dilation Treatment: A Single Center Experience
by Viktorija Sabljić, Dorotea Božić, Damir Aličić, Žarko Ardalić, Ivna Olić, Damir Bonacin and Ivan Žaja
J. Clin. Med. 2025, 14(15), 5448; https://doi.org/10.3390/jcm14155448 - 2 Aug 2025
Viewed by 716
Abstract
Background/Objectives: Pneumatic dilation (PD) is a widely used treatment modality in the management of achalasia. It is particularly relevant in regions where many centers lack access to advanced therapeutic modalities. Therefore, we aimed to assess the effectiveness and safety of PD in our [...] Read more.
Background/Objectives: Pneumatic dilation (PD) is a widely used treatment modality in the management of achalasia. It is particularly relevant in regions where many centers lack access to advanced therapeutic modalities. Therefore, we aimed to assess the effectiveness and safety of PD in our local region. Methods: This study retrospectively analyzed patients with achalasia that underwent PD from 1/2013 to 12/2019. The diagnosis of achalasia was established on the grounds of clinical symptoms, radiological and endoscopic findings, and esophageal manometry. Data on patient’s clinical characteristics, dilation technique and postprocedural follow-up were collected and statistically analyzed. Procedure effectiveness was defined as the postprocedural Eckardt score ≤ 3. Results: PD significantly reduced frequency of dysphagia, regurgitation, and retrosternal pain (p < 0.001). Body-weight increased significantly one month and one year after the procedure (p < 0.001). The procedural success rate was 100%. No severe complications were reported. Conclusions: PD is an effective and safe treatment modality in the management of achalasia. The study limitations include a single center design with the small number of participants, not all of whom underwent manometry, gender disproportion, absence of non-responders, and a short follow-up. Full article
(This article belongs to the Special Issue Clinical Advances in Gastrointestinal Endoscopy)
Show Figures

Scheme 1

17 pages, 3731 KB  
Article
Lake Water Depletion Linkages with Seismic Hazards in Sikkim, India: A Case Study on Chochen Lake
by Anil Kumar Misra, Kuldeep Dutta, Rakesh Kumar Ranjan, Nishchal Wanjari and Subash Dhakal
GeoHazards 2025, 6(3), 42; https://doi.org/10.3390/geohazards6030042 - 1 Aug 2025
Viewed by 855
Abstract
After the 2011 earthquake, lake water depletion has become a widespread issue in Sikkim, especially in regions classified as high to very high seismic zones, where many lakes have turned into seasonal water bodies. This study investigates Chochen Lake in the Barapathing area [...] Read more.
After the 2011 earthquake, lake water depletion has become a widespread issue in Sikkim, especially in regions classified as high to very high seismic zones, where many lakes have turned into seasonal water bodies. This study investigates Chochen Lake in the Barapathing area of Sikkim’s Pakyong district, which is facing severe water seepage and instability. The problem, intensified by the 2011 seismic event and ongoing local construction, is examined through subsurface fracture mapping using Vertical Electrical Sounding (VES) and profiling techniques. A statistical factor method, applied to interpret VES data, helped identify fracture patterns beneath the lake. Results from two sites (VES-1 and VES-2) reveal significant variations in weathered and semi-weathered soil layers, indicating fractures at depths of 17–50 m (VES-1) and 20–55 m (VES-2). Higher fracture density near VES-1 suggests increased settlement risk and ground displacement compared to VES-2. Contrasting resistivity values emphasize the greater instability in this zone and the need for cautious construction practices. The findings highlight the role of seismic-induced fractures in ongoing water depletion and underscore the importance of continuous dewatering to stabilize the swampy terrain. Full article
Show Figures

Figure 1

Back to TopTop