Treatment Outcomes for Malignant Peripheral Lung Tumours: A Prospective Single-Centre Comparison of Thermal Ablation, Surgery, and Radiotherapy
Abstract
1. Introduction
2. Materials and Methods
2.1. Study Overview
2.2. Treatment
2.2.1. Surgery
2.2.2. SBRT
2.2.3. Ablation
2.3. Follow-Up
2.4. Outcomes
2.4.1. Complications
- Grade 1: Complication during the procedure that could be solved within the same session; no additional therapy, no post-procedure sequelae, no deviation from the normal post-therapeutic course.
- Grade 2: Prolonged observation including overnight stay (as a deviation from the normal post-therapeutic course < 48 h); no additional post-procedure therapy, no post-procedure sequelae.
- Grade 3: Additional post-procedure therapy or prolonged hospital stay (>48 h) required; no post-procedure sequelae.
- Grade 4: Complication causing a permanent mild sequelae (resuming work and independent living).
- Grade 5: Complication causing a permanent severe sequelae (requiring ongoing assistance in daily life).
- Grade 6: Death.
2.4.2. Recurrence
2.4.3. Survival
2.4.4. Health-Related Quality of Life Assessment
2.4.5. Statistical Analysis
3. Results
3.1. Recurrence
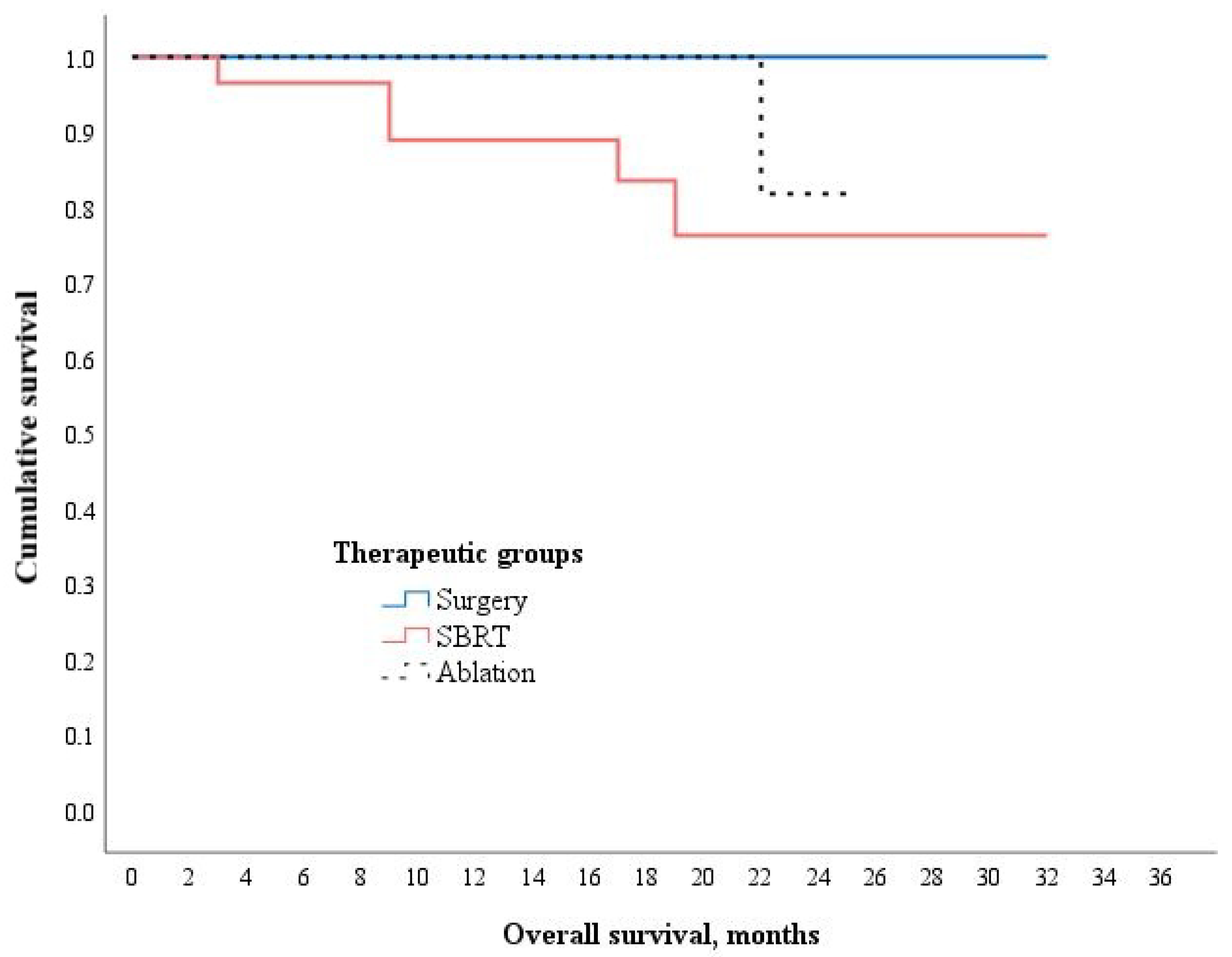
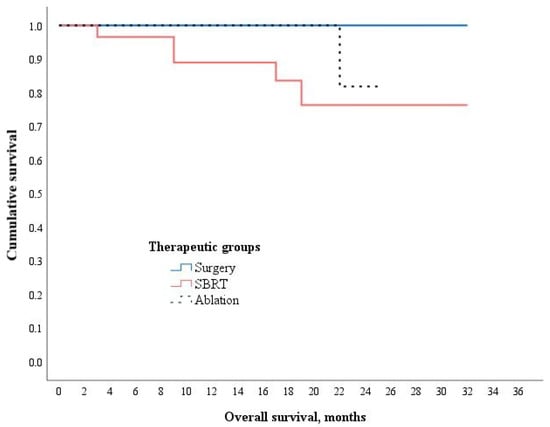
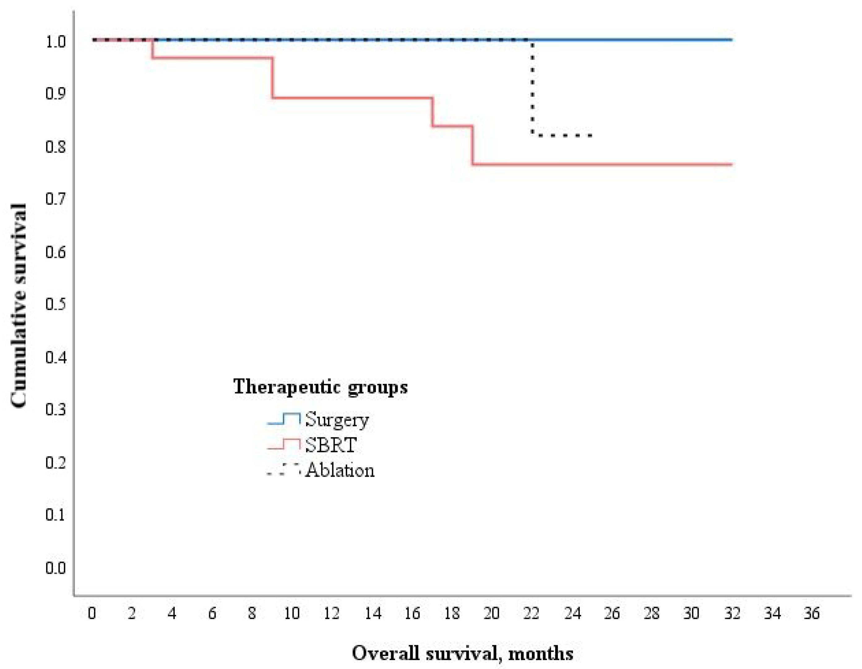
3.2. Overall Survival
3.3. Disease-Free Survival
3.4. Complications
3.5. Hospitalization
3.6. Health-Related Quality of Life
4. Discussion
5. Conclusions
Author Contributions
Funding
Institutional Review Board Statement
Informed Consent Statement
Data Availability Statement
Conflicts of Interest
Abbreviations
| NSCLC | Non-Small Cell Lung Cancer |
| SBRT | Stereotactic Body Radiation Therapy |
| IGTA | Image-Guided Thermal Ablation |
| RFA | Radiofrequency Ablation |
| MWA | Microwave Ablation |
| ECOG | Eastern Cooperative Oncology Group |
| CIRSE | Cardiovascular and Interventional Radiological Society of Europe |
| ECIO | European Conference on Interventional Oncology |
| ESOI | European Society of Oncologic Imaging |
| CRC | Colorectal Cancer |
| RCC | Renal Cell Carcinoma |
| DFS | Disease-Free Survival |
| OS | Overall Survival |
| PFS | Progression-Free Survival |
| HRQoL | Health-Related Quality of Life |
| PF | Physical Functioning |
| RP | Role Physical |
| RE | Role Emotional |
| VT | Vitality |
| MH | Mental Health |
| SF | Social Functioning |
| BP | Bodily Pain |
| GH | General Health |
| RUL | Right Upper Lobe |
| RLL | Right Lower Lobe |
| LUL | Left Upper Lobe |
| LLL | Left Lower Lobe |
| GTV | Gross Tumour Volume |
| CTV | Clinical Target Volume |
| IVT | Internal Target Volume |
| PTV | Planning Target Volume |
| OAR | Organ-at-Risk |
| BED | Biological Effective Dose |
| HU | Hounsfield Unit |
| CBCT | Cone-Beam CT |
| FDG-PET | Fluorodeoxyglucose Positron Emission Tomography |
| IQR | Interquartile Range |
| SD | Standard Deviation |
| OR | Odds Ratio |
| CI | Confidence Interval |
References
- Bray, F.; Laversanne, M.; Sung, H.; Ferlay, J.; Siegel, R.L.; Soerjomataram, I.; Jemal, A. Global cancer statistics 2022: GLOBOCAN estimates of incidence and mortality worldwide for 36 cancers in 185 countries. CA Cancer J. Clin. 2024, 74, 229–263. [Google Scholar] [CrossRef] [PubMed]
- Shankar, A.; Dubey, A.; Saini, D.; Singh, M.; Prasad, C.; Roy, S.; Bharati, S.J.; Rinki, M.; Singh, N.; Seth, T.; et al. Environmental and occupational determinants of lung cancer. Transl. Lung Cancer Res. 2019, 8, S31–S49. [Google Scholar] [CrossRef]
- Siddiqui, F.; Vaqar, S.; Siddiqui, A.H. Lung Cancer. In StatPearls [Internet]; StatPearls Publishing: Treasure Island, FL, USA, 2023. [Google Scholar]
- Little, A.G.; Rusch, V.W.; Bonner, J.A.; Gaspar, L.E.; Green, M.R.; Webb, W.R.; Stewart, A.K. Patterns of surgical care of lung cancer patients. Ann. Thorac. Surg. 2005, 80, 2051–2056. [Google Scholar] [CrossRef]
- Maxwell, C.M.; Ng, C.; Fernando, H.C. Stereotactic body radiation therapy versus ablation versus surgery for early-stage lung cancer in high-risk patients. Thorac. Surg. Clin. 2023, 33, 179–187. [Google Scholar] [CrossRef]
- Iguchi, T.; Hiraki, T.; Matsui, Y.; Mitsuhashi, T.; Katayama, N.; Katsui, K.; Soh, J.; Sakurai, J.; Gobara, H.; Toyooka, S.; et al. Survival outcomes of treatment with radiofrequency ablation, stereotactic body radiotherapy, or sublobar resection for patients with clinical stage I non–small-cell lung cancer: A single-center evaluation. J. Vasc. Interv. Radiol. 2020, 31, 1044–1051. [Google Scholar] [CrossRef]
- Jamil, A.; Kasi, A. Lung Metastasis. In StatPearls [Internet]; StatPearls Publishing: Treasure Island, FL, USA, 2023. [Google Scholar]
- Stella, G.M.; Kolling, S.; Benvenuti, S.; Bortolotto, C. Lung-seeking metastases. Cancers 2019, 11, 1010. [Google Scholar] [CrossRef]
- Eisenberg, M.; Deboever, N.; Antonoff, M.B. Pulmonary Metastasectomy: Indications, Best Practices, and Evolving Role in the Future. Rev. Thorac. Surg. Clin. 2023, 33, 149–158. [Google Scholar] [CrossRef]
- Chen, H.; Stoltzfus, K.C.; Lehrer, E.J.; Horn, S.R.; Siva, S.; Trifiletti, D.M.; Meng, M.-B.; Verma, V.; Louie, A.V.; Zaorsky, N.G. The Epidemiology of Lung Metastases. Front. Med. 2021, 8, 723396. [Google Scholar] [CrossRef]
- Ierardi, A.M.; Carnevale, A.; Chiarello, S.; Cavazza, M.; Stellato, E.; Mendogni, P.; Palleschi, A.; Tosi, D.; Giganti, M.; Carrafiello, G. A Narrative Review on Pulmonary Metastases Management by Non-Surgical Local Techniques: Where Do We Stand? J. Vis. Surg. 2021, 1, 24. [Google Scholar] [CrossRef]
- National Comprehensive Cancer Network. NCCN Clinical Practice Guidelines in Oncology: Non-Small Cell Lung Cancer. Version 11.2024. 15 October 2024. Available online: https://www.nccn.org (accessed on 10 February 2025).
- Sahin, A.; Romano, E.; Casutt, A.; Moeckli, R.; Vallet, V.; El Chammah, S.; Ozsahin, M.; Kinj, R. Stereotactic Lung Re-Irradiation After a First Course of Stereotactic Radiotherapy with In-Field Relapse: A Valuable Option to Be Considered. Cancers 2025, 17, 366. [Google Scholar] [CrossRef] [PubMed]
- National Institute for Health and Care Excellence (NICE). Lung Cancer: Diagnosis and Management. NICE Guideline [NG122]. Published 28 March 2019. Updated 8 March 2024. Available online: https://www.nice.org.uk/guidance/ng122 (accessed on 5 March 2025).
- Genshaft, S.J.; Suh, R.D.; Abtin, F.; Baerlocher, M.O.; Chang, A.J.; Dariushnia, S.R.; Devane, A.M.; Faintuch, S.; Himes, E.A.; Lisberg, A.; et al. Society of Interventional Radiology multidisciplinary position statement on percutaneous ablation of non-small cell lung cancer and metastatic disease to the lungs. J. Vasc. Interv. Radiol. 2021, 32, 1241.e1–1241.e12. [Google Scholar] [CrossRef]
- Bezjak, A.; Paulus, R.; Gaspar, L.E.; Timmerman, R.D.; Straube, W.L.; Ryan, W.F.; Garces, Y.; Pu, A.T.; Singh, A.K.; Videtic, G.M.; et al. Efficacy and Toxicity Analysis of NRG Oncology/RTOG 0813 Trial of Stereotactic Body Radiation Therapy (SBRT) for Centrally Located Non-Small Cell Lung Cancer (NSCLC). Int. J. Radiat. Oncol. Biol. Phys. 2016, 96, S8. [Google Scholar] [CrossRef]
- Videtic, G.M.M.; Hu, C.; Singh, A.K.; Chang, J.Y.; Parker, W.; Olivier, K.R.; Schild, S.E.; Komaki, R.; Urbanic, J.J.; Choy, H. A Randomized Phase 2 Study Comparing 2 Stereotactic Body Radiation Therapy Schedules for Medically Inoperable Patients With Stage I Peripheral Non-Small Cell Lung Cancer: NRG Oncology RTOG 0915 (NCCTG N0927). Int. J. Radiat. Oncol. Biol. Phys. 2015, 93, 757–764. [Google Scholar] [CrossRef]
- Maas, M.; Beets-Tan, R.; Gaubert, J.-Y.; Gomez Munoz, F.; Habert, P.; Klompenhouwer, L.G.; Morgado, P.V.; Schaefer, N.; Cornelis, F.H.; Solomon, S.B.; et al. Follow-up after radiological intervention in oncology: ECIO-ESOI evidence and consensus-based recommendations for clinical practice. Insights Imaging 2020, 11, 83. [Google Scholar] [CrossRef]
- Filippiadis, D.K.; Binkert, C.; Pellerin, O.; Hoffmann, R.T.; Krajina, A.; Pereira, P.L. Cirse Quality Assurance Document and Standards for Classification of Complications: The Cirse Classification System. Cardiovasc. Interv. Radiol. 2017, 40, 1141–1146. [Google Scholar] [CrossRef]
- Ware, J.E., Jr.; Sherbourne, C.D. The MOS 36-Item Short-Form Health Survey (SF-36): I. Conceptual Framework and Item Selection. Med. Care 1992, 30, 473–483. [Google Scholar] [CrossRef] [PubMed]
- Chan, M.V.; Huo, Y.R.; Cao, C.; Ridley, L. Survival Outcomes for Surgical Resection Versus CT-Guided Percutaneous Ablation for Stage I Non-Small Cell Lung Cancer (NSCLC): A Systematic Review and Meta-Analysis. Eur. Radiol. 2021, 31, 5421–5433. [Google Scholar] [CrossRef] [PubMed]
- Yao, W.; Lu, M.; Fan, W.; Huang, J.; Gu, Y.; Gao, F.; Wang, Y.; Li, J.; Zhu, Z. Comparison Between Microwave Ablation and Lobectomy for Stage I Non-Small Cell Lung Cancer: A Propensity Score Analysis. Int. J. Hyperth. 2018, 34, 1329–1336. [Google Scholar] [CrossRef]
- Mendogni, P.; Daffrè, E.; Rosso, L.; Palleschi, A.; Righi, I.; Carrinola, R.; Damarco, F.; Polli, F.; Ierardi, A.; Arrichiello, A.; et al. Percutaneous Lung Microwave Ablation Versus Lung Resection in High-Risk Patients: A Monocentric Experience. Acta Biomed. 2020, 91, e2020002. [Google Scholar]
- Wang, Y.; Liu, B.; Cao, P.; Wang, W.; Wang, W.; Chang, H.; Li, D.; Li, X.; Zhao, X.; Li, Y. Comparison Between Computed Tomography-Guided Percutaneous Microwave Ablation and Thoracoscopic Lobectomy for Stage I Non-Small Cell Lung Cancer. Thorac. Cancer 2018, 9, 1376–1382. [Google Scholar] [CrossRef]
- Viani, G.A.; Gouveia, A.G.; Yan, M.; Matsuura, F.K.; Moraes, F.Y. Stereotactic Body Radiotherapy Versus Surgery for Early-Stage Non-Small Cell Lung Cancer: An Updated Meta-Analysis Involving 29,511 Patients Included in Comparative Studies. J. Bras. Pneumol. 2022, 48, e20210390. [Google Scholar] [PubMed]
- Wang, Y.; Dong, X.; Yan, S.; Tao, Y.; Yu, R.; Wu, N. Comparison of the Long-Term Survival Outcome of Surgery Versus Stereotactic Body Radiation Therapy as Initial Local Treatment for Pulmonary Oligometastases from Colorectal Cancer: A Propensity Score Analysis. Int. J. Radiat. Oncol. Biol. Phys. 2025, 121, 45–55. [Google Scholar] [CrossRef]
- Chen, D.; Zhao, M.; Xiang, X.; Liang, J. Percutaneous Local Tumor Ablation vs. Stereotactic Body Radiotherapy for Early-Stage Non-Small Cell Lung Cancer: A Systematic Review and Meta-Analysis. Chin. Med. J. 2022, 135, 1517–1524. [Google Scholar] [CrossRef]
- Laeseke, P.; Ng, C.; Ferko, N.; Naghi, A.; Wright, G.W.J.; Zhang, Y.; Laidlaw, A.; Kalsekar, I.; Laxmanan, B.; Ghosh, S.K.; et al. Stereotactic Body Radiation Therapy and Thermal Ablation for Treatment of NSCLC: A Systematic Literature Review and Meta-Analysis. Lung Cancer 2023, 182, 107259. [Google Scholar] [CrossRef]
- Nour-Eldin, A.N.; Exner, S.; Al-Subhi, M.; Naguib, N.N.N.; Kaltenbach, B.; Roman, A.; Vogl, T.J. Ablation Therapy of Non-Colorectal Cancer Lung Metastases: Retrospective Analysis of Tumour Response Post-Laser-Induced Interstitial Thermotherapy (LITT), Radiofrequency Ablation (RFA) and Microwave Ablation (MWA). Int. J. Hyperth. 2017, 33, 820–829. [Google Scholar] [CrossRef]
- Dong, T.; Fan, H.; Lyu, J.; Shi, Y.; Hu, P.; Wu, X.; Sun, J. A Retrospective Study Comparing the Efficacy of Microwave Ablation and Stereotactic Body Radiotherapy in Colorectal Cancer Lung Metastases. Oncol. Lett. 2024, 28, 322. [Google Scholar] [CrossRef]
- Cooke, T.M.; Sofocleous, C.T.; Petre, E.N.; Alexander, E.S.; Ziv, E.; Solomon, S.B.; Sotirchos, V.S. Microwave Ablation of Colorectal Pulmonary Metastases Offers Excellent Local Tumor Control and Can Prolong Time off Chemotherapy. Cardiovasc. Intervent. Radiol. 2025, 48, 769–776. [Google Scholar] [CrossRef]
- Laeseke, P.; Ng, C.; Ferko, N.; Naghi, A.; Wright, G.W.J.; Wang, D.; Laidlaw, A.; Kalsekar, I.; Amos, T.; Laxmanan, B.; et al. Stereotactic Body Radiation Therapy and Thermal Ablation for Treatment of Patients with Pulmonary Metastases: A Systematic Literature Review and Meta-Analysis. BMC Pulm. Med. 2025, 25, 188. [Google Scholar] [CrossRef] [PubMed]
- Murphy, M.C.; Wrobel, M.M.; Fisher, D.A.; Cahalane, A.M.; Fintelmann, F.J. Update on image-guided thermal lung ablation: Society guidelines, therapeutic alternatives, and postablation imaging findings. AJR Am. J. Roentgenol. 2022, 219, 441–452. [Google Scholar] [CrossRef]
- Jiang, B.; Mcclure, M.A.; Chen, T.; Chen, S. Efficacy and safety of thermal ablation of lung malignancies: A network meta-analysis. Ann. Thorac. Med. 2018, 13, 243–250. [Google Scholar] [CrossRef] [PubMed]
- Prezzano, K.M.; Ma, S.J.; Hermann, G.M.; Rivers, C.I.; Gomez-Suescun, J.A.; Singh, A.K. Stereotactic Body Radiation Therapy for Non-Small Cell Lung Cancer: A Review. World J. Clin. Oncol. 2019, 10, 14–27. [Google Scholar] [CrossRef]
- Galata, C.; Karampinis, I.; Roessner, E.D.; Stamenovic, D. Risk Factors for Surgical Complications After Anatomic Lung Resections in the Era of VATS and ERAS. Thorac. Cancer 2021, 12, 3255–3262. [Google Scholar] [CrossRef]
- Igarashi, A.; Onishi, H.; Shioyama, Y.; Matsumoto, Y.; Takayama, K.; Matsuo, Y.; Yamashita, H.; Miyakawa, A.; Matsushita, H.; Aoki, M.; et al. Cost-Utility Analysis of Stereotactic Body Radiation Therapy Versus Surgery for Patients With Stage I Non-Small Cell Lung Cancer in Japan. Int. J. Radiat. Oncol. Biol. Phys. 2025, 121, 56–67. [Google Scholar] [CrossRef] [PubMed]
- Shah, A.; Hahn, S.M.; Stetson, R.L.; Friedberg, J.S.; Pechet, T.T.V.; Sher, D.J. Cost-Effectiveness of Stereotactic Body Radiation Therapy Versus Surgical Resection for Stage I Non–Small Cell Lung Cancer. Cancer 2013, 119, 3123–3132. [Google Scholar] [CrossRef]
- Wu, X.; Uhlig, J.; Blasberg, J.D.; Gettinger, S.N.; Suh, R.D.; Solomon, S.B.; Kim, H.S. Microwave Ablation Versus Stereotactic Body Radiotherapy for Stage I Non–Small Cell Lung Cancer: A Cost-Effectiveness Analysis. J. Vasc. Interv. Radiol. 2022, 33, 964–971. [Google Scholar] [CrossRef]
- Palussière, J.; Chomy, F.; Savina, M.; Deschamps, F.; Gaubert, J.Y.; Renault, A.; Bonnefoy, O.; Laurent, F.; Meunier, C.; Bellera, C.; et al. Radiofrequency Ablation of Stage IA Non–Small Cell Lung Cancer in Patients Ineligible for Surgery: Results of a Prospective Multicenter Phase II Trial. J. Cardiothorac. Surg. 2018, 13, 91. [Google Scholar] [CrossRef]
- Schwartz, R.M.; Alpert, N.; Rosenzweig, K.; Flores, R.; Taioli, E. Changes in Quality of Life After Surgery or Radiotherapy in Early-Stage Lung Cancer. J. Thorac. Dis. 2019, 11, 154–161. [Google Scholar] [CrossRef] [PubMed]
- Samson, P.; Perez, M.; Carpenter, L.; Roach, M.C., Jr.; Bradley, J.D.; Kozower, B.; Meyers, B.; Puri, V.; Robinson, C.G. Comparing Prospective Quality of Life Assessments Among Clinical Stage I Non–Small Cell Lung Cancer Patients Receiving Surgery versus Stereotactic Body Radiation Therapy at One Year. Int. J. Radiat. Oncol. Biol. Phys. 2020, 108, e81–e82. [Google Scholar] [CrossRef]
- Iovoli, A.J.; Yu, B.; Ma, S.J.; Farrugia, M.K.; Dexter, E.U.; Yendamuri, S.; Bouchard, E.G.; Singh, A.K. Quality of Life After Stereotactic Body Radiation Therapy or Surgery for Early-Stage NSCLC: A Systematic Review. JTO Clin. Res. Rep. 2022, 3, 100417. [Google Scholar] [CrossRef]





| Dose | Fractions | Number of Lesions |
|---|---|---|
| 34 Gy | 1 | 1 |
| 40 Gy | 1 | 1 |
| 45 Gy | 3 | 1 |
| 45 Gy | 5 | 2 |
| 50 Gy | 5 | 15 |
| 54 Gy | 3 | 4 |
| 55 Gy | 5 | 4 |
| 55 Gy | 11 | 1 |
| 60 Gy | 8 | 4 |
| Variables | Mean | Median | Range | Standard Deviation |
|---|---|---|---|---|
| ITV (cc) | 13.29 | 12.5 | 0.9–47.9 | 11.06 |
| PTV (cc) | 34.32 | 34 | 6.2–86.5 | 21.93 |
| MLD (Gy) | 3.06 | 3.05 | 1.18–5.95 | 1.27 |
| V20 (%) | 3.99 | 4.12 | 0.73–9.26 | 2.14 |
| V12.5 (%) | 6.98 | 7.79 | 1.74–15.96 | 3.43 |
| V5 (%) | 13.72 | 13.02 | 5.72–27.07 | 5.53 |
| Surgery | SBRT | Ablation | Total | p-Value | |
|---|---|---|---|---|---|
| Age, mean ± SD, years | 67.8 ± 7.9 | 72.5 ± 9.5 | 69.2 ± 8.5 | 70.2 ± 8.9 | 0.172 |
| Smoking history, mean ± SD, years | 33.5 ± 15.7 | 41.4 ± 10.2 | 31.3 ± 16.9 | 36.3 ± 14.3 | 0.165 |
| Pack-years, mean ± SD, years | 28.5 ± 17.9 | 40.1 ± 23.9 | 28.6 ± 16.7 | 33.4 ± 20.7 | 0.242 |
| ECOG, number (%) | |||||
| 0 | 8 (42.1%) | 6 (20.7%) | 8 (40.0%) | 22 | 0.092 |
| 1 | 11 (57.9%) | 19 (65.5%) | 12 (60.0%) | 42 | |
| 2 | 0 | 4 (13.8%) | 0 | 4 | |
| Lesion histology, number | 19 | 33 | 25 | 77 | |
| Primary, (%) | 18 (94.7%) a | 25 (75.8%) a | 12 (48.0%) b | 55 | 0.002 |
| Metastatic, (%) | 1 (5.3%) a | 8 (24.2%) a | 13 (52.0) b | 22 | |
| Primary | |||||
| Adenocarcinoma | 16 | 13 | 10 | 39 | |
| Squamous cell carcinoma | 2 | 12 | 2 | 16 | |
| Metastatic | |||||
| CRC | 1 | 4 | 3 | 8 | |
| Melanoma | 1 | 1 | 2 | ||
| Ductal carcinoma | 1 | 1 | |||
| Oesophageal carcinoma | 1 | 1 | |||
| Oropharyngeal carcinoma | 1 | 1 | 2 | ||
| Hemangioendothelioma | 4 | 4 | |||
| Hemangiopericitoma | 2 | 2 | |||
| RCC | 1 | 1 | |||
| Neuroendocrine carcinoma | 1 | 1 | |||
| Lesion size, mean ± SD, mm | 19.7 ± 5.8 | 19.7 ± 6.8 | 15.8 ± 6.9 | 18.4 ± 6.8 | 0.057 |
| Lesion location (%) | |||||
| RUL | 9 (47.4%) | 7 (21.2%) | 10 (40.0%) | 26 | 0.367 |
| RML | 0 | 3 (9.1%) | 2 (8.0%) | 5 | |
| RLL | 4 (21.1%) | 8 (24.2%) | 6 (24.0%) | 18 | |
| LUL | 2 (10.5%) | 11 (33.3%) | 5 (20.0%) | 18 | |
| LLL | 4 (21.1%) | 4 (12.1%) | 2 (8.0%) | 10 | |
| Follow-Up | Total | Surgery | SBRT | Ablation | χ2, df = 2, p-Value |
|---|---|---|---|---|---|
| Follow-up (days); (median, IQR *) | 391 (254–534) | 370(316–467) | 361 (217.25–520.25) | 489.5(375.25–581.5) | χ2 = 2.57 p = 0.277 |
| Follow-up (months), (median, IQR *) | 12 (8–17) | 12 (10–15) | 11 (7–16.75) | 16 (12–19) | χ2 = 2.615 p = 0.270 |
| Recurrence | Total | Surgery | SBRT | Ablation | χ2, df = 2, p-Value |
|---|---|---|---|---|---|
| Total recurrence * | 43.3% (29/67) | 21.1% (4/19) a | 57.1% (16/28) b | 45.0% (9/20) a b | χ2 = 6.04 a, p = 0.049 |
| Local recurrence ** | 28.1% (16/57) | n/a | 31.3% (10/32) | 24.0% (6/25) | χ2 = 0.365 p = 0.546 |
| Regional recurrence * | 26.9% (18/67) | 10.5% (2/19) a | 42.9% (12/28) b | 20.0% (4/20) a b | χ2 = 6.706 b, p = 0.039 |
| Distant recurrence * | 20.9% (14/67) | 10.5% (2/19) | 28.6% (8/28) | 20.0% (4/20) | χ2 = 2.244, p = 0.326 |
| Total | Surgery | SBRT | Ablation | χ2, df = 2, p-Value | |
|---|---|---|---|---|---|
| Complications, all grades | 42.6% (29/68) | 78.9% (15/19) a | 17.2% (5/29) b | 45.0% (9/20) c | χ2 = 17.934 a p < 0.05 |
| Complications, grade ≥ 3 | 11.8% (8/68) | 21.1% (4/19) | 10.3% (3/29) | 5.0% (1/20) | χ2 = 2.517 p = 0.284 |
| SF-36 Scores | Surgery | SBRT | Ablation | p1 | p2 | p3 |
|---|---|---|---|---|---|---|
| Physical functioning, mean (min; max) | 79.0 (45; 100) | 52.2 (10; 100) | 72.8 (15; 100) | 0.014 | 1.000 | 0.077 |
| Role physical, mean (min; max) | 85.0 (0; 100) | 45.7 (0; 100) | 57.5 (0; 100) | 0.015 | 0.154 | 1.000 |
| Role emotional, mean (min; max) | 91.1 (33.3; 100) | 50.7 (0; 100) | 51.7 (0; 100) | 0.004 | 0.006 | 1.000 |
| Vitality, mean (min; max) | 64.3 (45; 85) | 45.0 (10; 80) | 52.5 (25; 85) | 0.029 | 0.257 | 1.000 |
| Mental health, mean (min; max) | 68.3 (52; 88) | 53.2 (20; 100) | 58.0 (32; 96) | 0.055 | 0.279 | 1.000 |
| Social functioning, mean (min; max) | 89.0 (45; 100) | 51.1 (0; 100) | 67.9 (22.5; 100) | <0.001 | 0.035 | 0.333 |
| Bodily pain, mean (min; max) | 85.0 (32.5; 100) | 65.2 (12.5; 100) | 78.5 (32.5; 100) | 0.064 | 1.000 | 0.307 |
| General health, mean (min; max) | 46.3 (30; 65) | 26.5 (0; 70) | 32.8 (15; 75) | 0.003 | 0.067 | 0.912 |
| Δ PF | Δ RP | Δ RE | Δ VT | Δ MH | Δ SF | Δ BP | Δ GH | |
|---|---|---|---|---|---|---|---|---|
| Surgery, p | 0.002 ⇩ | 0.013 ⇩ | 0.340 | 0.206 | 0.167 | 0.056 | 0.038 ⇩ | 0.179 |
| SBRT, p | 0.874 | 0.831 | 0.325 | 0.477 | 0.026 ⇧ | 0.040 ⇧ | 0.472 | 0.271 |
| Ablation, p | 0.435 | 0.039 ⇧ | 0.130 | 0.003 ⇧ | 0.016 ⇧ | 0.028 ⇧ | 0.092 | 0.041 ⇧ |
| SF-36 Scores | Surgery | SBRT | Ablation | p1 | p2 | p3 |
|---|---|---|---|---|---|---|
| Δ Physical functioning, mean (min; max) | −15.3 (−30; 10) | 2.0 (−15; 55) | 1.3 (−35; 25) | 0.002 | 0.001 | 1.000 |
| Δ Role physical, mean (min; max) | −31.7 (−100; 50) | 0 (−100; 50) | 11.3 (0; 100) | 0.004 | <0.001 | 1.000 |
| Δ Role emotional, mean (min; max) | −11.1 (−100; 33.3) | 7.6 (−100; 66.7) | 15.0 (−100; 100) | 0.357 | 0.079 | 1.000 |
| Δ Vitality, mean (min; max) | −6.3 (−30; 25) | 3.4 (−25; 45) | 13.8 (−15; 45) | 0.358 | 0.002 | 0.111 |
| Δ Mental health, mean (min; max) | −3.7 (−36; 40) | 7.0 (−16; 36) | 11.6 (−40; 36) | 0.058 | 0.004 | 0.950 |
| Δ Social functioning, mean (min; max) | −17.0 (−52.5; 45) | 7.0 (−35; 45) | 10.9 (−30; 42.5) | 0.008 | 0.006 | 1.000 |
| Δ Bodily pain, mean (min; max) | −25.5 (−77.5; 67.5) | −4.2 (−67.5; 25) | 9.0 (−22.5; 67.5) | 0.128 | 0.005 | 0.628 |
| Δ General health, mean (min; max) | −4.0 (−25; 35) | 3.5 (−30; 40) | 8.0 (−25; 35) | 0.148 | 0.021 | 1.000 |
| Outcome Category | Specific Metric | Surgery | SBRT | Ablation | Significance (p-Value/Notes) |
|---|---|---|---|---|---|
| Baseline Characteristics | Number of patients | 19 | 29 | 20 | |
| Number of lesions | 19 | 33 | 25 | ||
| Primary vs. metastatic | 18/1 | 25/8 | 12/13 | p = 0.002 | |
| Recurrence | Total (%) | 21.1 | 57.1 | 45.0 | p = 0.049 |
| Regional (%) | 10.5 | 42.9 | 20.0 | p = 0.039 | |
| Disease-free survival | Mean DFS (months) | 12.4 ± 4.2 | 9.9 ± 6.7 | 10.9 ± 5.5 | Surgery vs. SBRT p = 0.047 |
| Complications | Any-grade (%) | 78.9 | 17.2 | 45.0 | Among all pairs p < 0.05 |
| Hospitalization | Median stay (days) | 14 | 0 | 3 | Surgery vs. SBRT & ablation p < 0.05 |
| HRQoL (Change, Δ) | Δ PF | −15.3 | +2.0 | +1.3 | Surgery vs. SBRT & ablation p < 0.05 |
| Δ RP | −31.7 | 0 | +11.3 | ||
| Δ SF | −17.0 | +7.0 | +10.9 | ||
| Δ MH | −3.7 | +7.0 | +11.6 | Surgery vs. ablation p = 0.004 | |
| Overall trend | Decline | Mild improvement | Best improvement |
Disclaimer/Publisher’s Note: The statements, opinions and data contained in all publications are solely those of the individual author(s) and contributor(s) and not of MDPI and/or the editor(s). MDPI and/or the editor(s) disclaim responsibility for any injury to people or property resulting from any ideas, methods, instructions or products referred to in the content. |
© 2025 by the authors. Published by MDPI on behalf of the Lithuanian University of Health Sciences. Licensee MDPI, Basel, Switzerland. This article is an open access article distributed under the terms and conditions of the Creative Commons Attribution (CC BY) license (https://creativecommons.org/licenses/by/4.0/).
Share and Cite
Mačionis, A.; Maziliauskienė, G.; Dubeikaitė, R.; Balčiūnaitė, I.; Galnaitienė, G.; Padervinskienė, L.; Matulionė, J.; Miliauskas, S.; Korobeinikova, E.; Jaruševičius, L.; et al. Treatment Outcomes for Malignant Peripheral Lung Tumours: A Prospective Single-Centre Comparison of Thermal Ablation, Surgery, and Radiotherapy. Medicina 2025, 61, 1972. https://doi.org/10.3390/medicina61111972
Mačionis A, Maziliauskienė G, Dubeikaitė R, Balčiūnaitė I, Galnaitienė G, Padervinskienė L, Matulionė J, Miliauskas S, Korobeinikova E, Jaruševičius L, et al. Treatment Outcomes for Malignant Peripheral Lung Tumours: A Prospective Single-Centre Comparison of Thermal Ablation, Surgery, and Radiotherapy. Medicina. 2025; 61(11):1972. https://doi.org/10.3390/medicina61111972
Chicago/Turabian StyleMačionis, Aurimas, Gertrūda Maziliauskienė, Rūta Dubeikaitė, Ieva Balčiūnaitė, Grytė Galnaitienė, Lina Padervinskienė, Jurgita Matulionė, Skaidrius Miliauskas, Erika Korobeinikova, Laimonas Jaruševičius, and et al. 2025. "Treatment Outcomes for Malignant Peripheral Lung Tumours: A Prospective Single-Centre Comparison of Thermal Ablation, Surgery, and Radiotherapy" Medicina 61, no. 11: 1972. https://doi.org/10.3390/medicina61111972
APA StyleMačionis, A., Maziliauskienė, G., Dubeikaitė, R., Balčiūnaitė, I., Galnaitienė, G., Padervinskienė, L., Matulionė, J., Miliauskas, S., Korobeinikova, E., Jaruševičius, L., Nedzelskienė, I., Mišeikytė-Kaubrienė, E., Vajauskas, D., & Žemaitis, M. (2025). Treatment Outcomes for Malignant Peripheral Lung Tumours: A Prospective Single-Centre Comparison of Thermal Ablation, Surgery, and Radiotherapy. Medicina, 61(11), 1972. https://doi.org/10.3390/medicina61111972

