Observation of Excitonic Doublet Structure, Biexcitons and Their Temperature Dependence in High-Quality β-InSe Single Crystals
Abstract
1. Introduction
2. Materials and Methods
2.1. Sample Growth and Preparation
2.2. Characterization
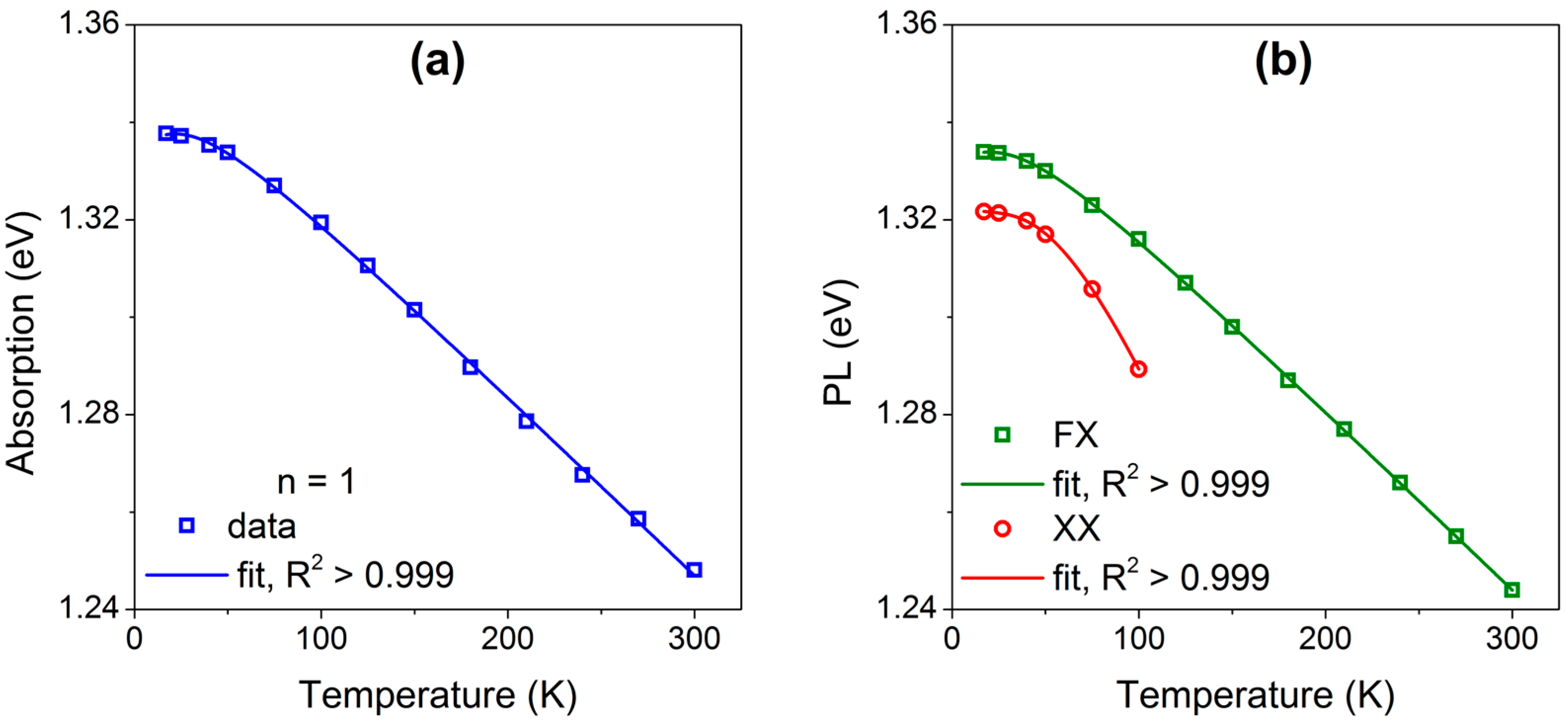
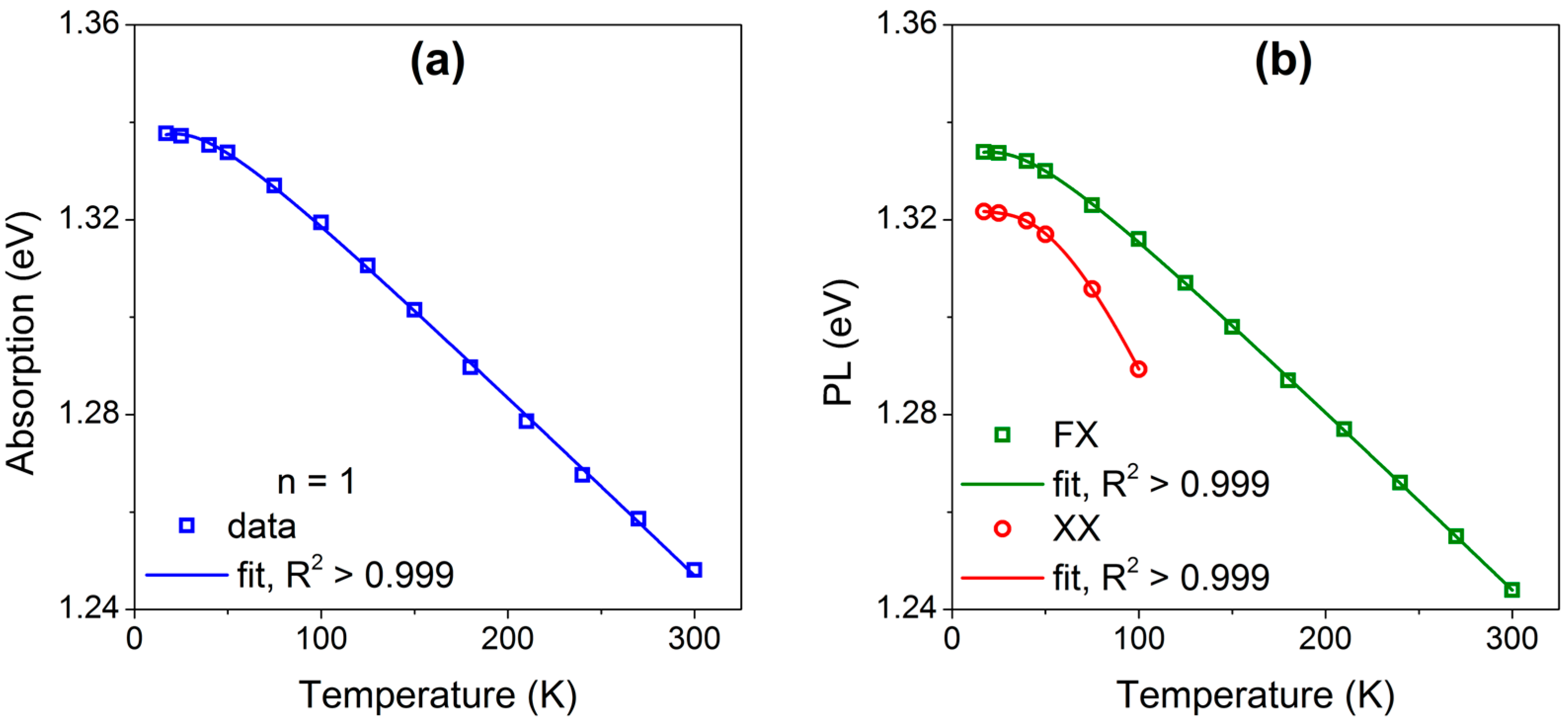
3. Results and Discussion
4. Conclusions
Author Contributions
Funding
Data Availability Statement
Acknowledgments
Conflicts of Interest
References
- Camassel, J.; Merle, P.; Mathieu, H.; Chevy, A. Excitonic Absorption Edge of Indium Selenide. Phys. Rev. B 1978, 17, 4718–4725. [Google Scholar] [CrossRef]
- Wu, M.; Xie, Q.; Wu, Y.; Zheng, J.; Wang, W.; He, L.; Wu, X.; Lv, B. Crystal Structure and Optical Performance in Bulk γ-InSe Single Crystals. AIP Adv. 2019, 9, 25013. [Google Scholar] [CrossRef]
- Boukhvalov, D.W.; Gürbulak, B.; Duman, S.; Wang, L.; Politano, A.; Caputi, L.S.; Chiarello, G.; Cupolillo, A. The Advent of Indium Selenide: Synthesis, Electronic Properties, Ambient Stability and Applications. Nanomaterials 2017, 7, 372. [Google Scholar] [CrossRef]
- Sang, D.K.; Wang, H.; Qiu, M.; Cao, R.; Guo, Z.; Zhao, J.; Li, Y.; Xiao, Q.; Fan, D.; Zhang, H. Two Dimensional β-InSe with Layer-Dependent Properties: Band Alignment, Work Function and Optical Properties. Nanomaterials 2019, 9, 82. [Google Scholar] [CrossRef]
- Isik, M.; Gasanly, N.M. Temperature-Tuned Band Gap Characteristics of InSe Layered Semiconductor Single Crystals. Mater. Sci. Semicond. Process. 2020, 107, 104862. [Google Scholar] [CrossRef]
- Li, Z.; Liu, J.; Ou, H.; Hu, Y.; Zhu, J.; Huang, J.; Liu, H.; Tu, Y.; Qi, D.; Hao, Q.; et al. Enhancement of Carrier Mobility in Multilayer InSe Transistors by van Der Waals Integration. Nanomaterials 2024, 14, 382. [Google Scholar] [CrossRef]
- Bandurin, D.A.; Tyurnina, A.V.; Yu, G.L.; Mishchenko, A.; Zólyomi, V.; Morozov, S.V.; Kumar, R.K.; Gorbachev, R.V.; Kudrynskyi, Z.R.; Pezzini, S.; et al. High Electron Mobility, Quantum Hall Effect and Anomalous Optical Response in Atomically Thin InSe. Nat. Nanotechnol. 2017, 12, 223–227. [Google Scholar] [CrossRef]
- Island, J.O.; Steele, G.A.; van der Zant, H.S.J.; Castellanos-Gomez, A. Environmental Instability of Few-Layer Black Phosphorus. 2D Mater. 2015, 2, 11002. [Google Scholar] [CrossRef]
- Kong, D.; Cha, J.J.; Lai, K.; Peng, H.; Analytis, J.G.; Meister, S.; Chen, Y.; Zhang, H.-J.; Fisher, I.R.; Shen, Z.-X.; et al. Rapid Surface Oxidation as a Source of Surface Degradation Factor for Bi2Se3. ACS Nano 2011, 5, 4698–4703. [Google Scholar] [CrossRef] [PubMed]
- Xu, Y.; Zhou, J.; Tian, D.; Fu, Z.; Huang, Y.; Feng, W. Photoelectrochemical-Type Photodetectors Based on Ball Milling InSe for Underwater Optoelectronic Devices. Nanomaterials 2025, 15, 3. [Google Scholar] [CrossRef] [PubMed]
- Tamalampudi, S.R.; Villegas, J.E.; Dushaq, G.; Sankar, R.; Paredes, B.; Rasras, M. High-Speed Waveguide-Integrated InSe Photodetector on SiN Photonics for Near-Infrared Applications. Adv. Photonics Res. 2023, 4, 2300162. [Google Scholar] [CrossRef]
- Tamalampudi, S.R.; Dushaq, G.; Rasras, M.S. An Ultra-High-Speed Vertically Illuminated Self-Driven Lateral Asymmetric InSe Photodetector. Nanoscale 2025, 17, 14206–14214. [Google Scholar] [CrossRef]
- Huang, X.; Cao, Q.; Wan, M.; Song, H.-Z. Electronic and Optical Properties of BP, InSe Monolayer and BP/InSe Heterojunction with Promising Photoelectronic Performance. Materials 2022, 15, 6214. [Google Scholar] [CrossRef]
- Ma, Z.; Li, R.; Xiong, R.; Zhang, Y.; Xu, C.; Wen, C.; Sa, B. InSe/Te van Der Waals Heterostructure as a High-Efficiency Solar Cell from Computational Screening. Materials 2021, 14, 3768. [Google Scholar] [CrossRef]
- Al Garni, S.E.; Darwish, A.A.A. Photovoltaic Performance of TCVA-InSe Hybrid Solar Cells Based on Nanostructure Films. Sol. Energy Mater. Sol. Cells 2017, 160, 335–339. [Google Scholar] [CrossRef]
- Zhao, H.; Hus, S.M.; Chen, J.; Yan, X.; Lawrie, B.J.; Jesse, S.; Li, A.-P.; Liang, L.; Htoon, H. Telecom-Wavelength Single-Photon Emitters in Multilayer InSe. ACS Nano 2025, 19, 6911–6917. [Google Scholar] [CrossRef]
- Blundo, E.; Tuzi, F.; Cuccu, M.; Re Fiorentin, M.; Pettinari, G.; Patra, A.; Cianci, S.; Kudrynskyi, Z.R.; Felici, M.; Taniguchi, T.; et al. Giant Light Emission Enhancement in Strain-Engineered InSe/MS2 (M = Mo or W) van Der Waals Heterostructures. Nano Lett. 2025, 25, 3375–3382. [Google Scholar] [CrossRef]
- Shubina, T.V.; Desrat, W.; Moret, M.; Tiberj, A.; Briot, O.; Davydov, V.Y.; Platonov, A.V.; Semina, M.A.; Gil, B. InSe as a Case between 3D and 2D Layered Crystals for Excitons. Nat. Commun. 2019, 10, 3479. [Google Scholar] [CrossRef] [PubMed]
- Gnatenko, Y.P.; Zhirko, Y.I. Exciton Absorption and Luminescence of Indium Selenide Crystals. Phys. Status Solidi 1987, 142, 595–604. [Google Scholar] [CrossRef]
- Balkanski, M.; Julien, C.; Jouanne, M. Electron and Phonon Aspects in a Lithium Intercalated InSe Cathode. J. Power Sources 1987, 20, 213–219. [Google Scholar] [CrossRef]
- Abha; Warrier, A.V.R. Photoluminescence Studies on the Layer Semiconductor InSe. J. Appl. Phys. 1982, 53, 5169–5171. [Google Scholar] [CrossRef]
- Bacıoğlu, A.; Ertap, H.; Karabulut, M.; Mamedov, G.M. Sub-Bandgap Analysis of Boron Doped InSe Single Crystals by Constant Photocurrent Method. Opt. Mater. 2014, 37, 70–73. [Google Scholar] [CrossRef]
- Abay, B.; Efeoğlu, H.; Yoğurtçu, Y.K. Low-Temperature Photoluminescence of n-InSe Layer Semiconductor Crystals. Mater. Res. Bull. 1998, 33, 1401–1410. [Google Scholar] [CrossRef]
- Wang, G.; Chernikov, A.; Glazov, M.M.; Heinz, T.F.; Marie, X.; Amand, T.; Urbaszek, B. Colloquium: Excitons in Atomically Thin Transition Metal Dichalcogenides. Rev. Mod. Phys. 2018, 90, 21001. [Google Scholar] [CrossRef]
- Stevens, C.E.; Paul, J.; Cox, T.; Sahoo, P.K.; Gutiérrez, H.R.; Turkowski, V.; Semenov, D.; McGill, S.A.; Kapetanakis, M.D.; Perakis, I.E.; et al. Biexcitons in Monolayer Transition Metal Dichalcogenides Tuned by Magnetic Fields. Nat. Commun. 2018, 9, 3720. [Google Scholar] [CrossRef]
- Mueller, T.; Malic, E. Exciton Physics and Device Application of Two-Dimensional Transition Metal Dichalcogenide Semiconductors. NPJ 2D Mater. Appl. 2018, 2, 29. [Google Scholar] [CrossRef]
- Grim, J.Q.; Christodoulou, S.; Di Stasio, F.; Krahne, R.; Cingolani, R.; Manna, L.; Moreels, I. Continuous-Wave Biexciton Lasing at Room Temperature Using Solution-Processed Quantum Wells. Nat. Nanotechnol. 2014, 9, 891–895. [Google Scholar] [CrossRef]
- Emara, M.M.; Burya, S.J.; Van Patten, P.G. Enhancement of Biexciton Generation via Resonance Energy Transfer in Nanoclusters of Colloidal CdTe Quantum Dots for Optical Gain Applications. Mater. Chem. Phys. 2022, 277, 125540. [Google Scholar] [CrossRef]
- Macias-Pinilla, D.F.; Planelles, J.; Climente, J.I. Biexcitons in CdSe Nanoplatelets: Geometry, Binding Energy and Radiative Rate. Nanoscale 2022, 14, 8493–8500. [Google Scholar] [CrossRef]
- de Carvalho, L.C.; Schleife, A.; Fuchs, F.; Bechstedt, F. Valence-Band Splittings in Cubic and Hexagonal AlN, GaN, and InN. Appl. Phys. Lett. 2010, 97, 232101. [Google Scholar] [CrossRef]
- Shikanai, A.; Azuhata, T.; Sota, T.; Chichibu, S.; Kuramata, A.; Horino, K.; Nakamura, S. Biaxial Strain Dependence of Exciton Resonance Energies in Wurtzite GaN. J. Appl. Phys. 1997, 81, 417–424. [Google Scholar] [CrossRef]
- Wang, T.; Miao, S.; Li, Z.; Meng, Y.; Lu, Z.; Lian, Z.; Blei, M.; Taniguchi, T.; Watanabe, K.; Tongay, S.; et al. Giant Valley-Zeeman Splitting from Spin-Singlet and Spin-Triplet Interlayer Excitons in WSe2/MoSe2 Heterostructure. Nano Lett. 2020, 20, 694–700. [Google Scholar] [CrossRef] [PubMed]
- Akopian, N.; Lindner, N.H.; Poem, E.; Berlatzky, Y.; Avron, J.; Gershoni, D.; Gerardot, B.D.; Petroff, P.M. Entangled Photon Pairs from Semiconductor Quantum Dots. Phys. Rev. Lett. 2006, 96, 130501. [Google Scholar] [CrossRef]
- Le, L.V.; Huong, T.T.; Nguyen, T.-T.; Nguyen, X.A.; Nguyen, T.H.; Cho, S.; Kim, Y.D.; Kim, T.J. The Wannier-Mott Exciton, Bound Exciton, and Optical Phonon Replicas of Single-Crystal GaSe. Crystals 2024, 14, 539. [Google Scholar] [CrossRef]
- Dey, P.; Paul, J.; Moody, G.; Stevens, C.E.; Glikin, N.; Kovalyuk, Z.D.; Kudrynskyi, Z.R.; Romero, A.H.; Cantarero, A.; Hilton, D.J.; et al. Biexciton Formation and Exciton Coherent Coupling in Layered GaSe. J. Chem. Phys. 2015, 142, 212422. [Google Scholar] [CrossRef]
- Damon, R.W.; Redington, R.W. Electrical and Optical Properties of Indium Selenide. Phys. Rev. 1954, 96, 1498–1500. [Google Scholar] [CrossRef]
- Andriyashik, M.V.; Sakhnovskii, M.Y.; Timofeev, V.B.; Yakimova, A.S. Optical Transitions in the Spectra of the Fundamental Absorption and Reflection of InSe Single Crystals. Phys. Status Solidi 1968, 28, 277–285. [Google Scholar] [CrossRef]
- Ateş, A.; Gürbulak, B.; Yıldırım, M.; Doǧan, S. Electric Field Influence on Absorption Measurement in InSe Single Crystal. Phys. E Low-Dimens. Syst. Nanostructures 2003, 16, 274–279. [Google Scholar] [CrossRef]
- Ateş, A.; Gürbulak, B.; Yildirim, M.; Tüzemen, S. Absorption Measurements in InSe:Ho Single Crystal under an Electric Field. Czechoslov. J. Phys. 2004, 54, 377–385. [Google Scholar] [CrossRef]
- Ertap, H.; Bacıoğlu, A.; Karabulut, M. Photoluminescence Properties of Boron Doped InSe Single Crystals. J. Lumin. 2015, 167, 227–232. [Google Scholar] [CrossRef]
- Ertap, H.; Karabulut, M. Structural and Electrical Properties of Boron Doped InSe Single Crystals. Mater. Res. Express 2019, 6, 35901. [Google Scholar] [CrossRef]
- Taurino, A.; Signore, M.A. Concurrent Growth of InSe Wires and In2O3 Tulip-like Structures in the Au-Catalytic Vapour-Liquid-Solid Process. Mater. Res. Express 2015, 2, 65001. [Google Scholar] [CrossRef]
- Carlone, C.; Jandl, S. Second Order Raman Spectrum and Phase Transition in InSe. Solid State Commun. 1979, 29, 31–33. [Google Scholar] [CrossRef]
- Borodin, B.R.; Eliseyev, I.A.; Galimov, A.I.; Kotova, L.V.; Durnev, M.V.; Shubina, T.V.; Yagovkina, M.A.; Rakhlin, M.V. Indirect-to-Direct Band-Gap Transition in Few-Layer β-InSe as Probed by Photoluminescence Spectroscopy. Phys. Rev. Mater. 2024, 8, 14001. [Google Scholar] [CrossRef]
- Baracchini, E.; Bianco, C.; Crosera, M.; Filon, F.L.; Belluso, E.; Capella, S.; Maina, G.; Adami, G. Nano-and Submicron Particles Emission during Gas Tungsten Arc Welding (GTAW) of Steel: Differences between Automatic and Manual Process. Aerosol Air Qual. Res. 2018, 18, 579–589. [Google Scholar] [CrossRef]
- Godzaev, M.O.; Sernelius, B.E. Electron-Hole Liquid in Layered InSe: Comparison of Two-and Three-Dimensional Excitonic States. Phys. Rev. B 1986, 33, 8568–8581. [Google Scholar] [CrossRef]
- Segura, A.; Bouvier, J.; Andrés, M.V.; Manjón, F.J.; Muñoz, V. Strong Optical Nonlinearities in Gallium and Indium Selenides Related to Inter-Valence-Band Transitions Induced by Light Pulses. Phys. Rev. B 1997, 56, 4075–4084. [Google Scholar] [CrossRef]
- Le, L.V.; Kim, T.J.; Nguyen, X.A.; Choi, J.; Kim, Y.D. Spectroscopic Ellipsometry Investigation of Temperature-Dependent Dielectric Functions and Critical Points of β-InSe. Phys. Status Solidi 2025, 262, 2400591. [Google Scholar] [CrossRef]
- Paraskevopoulos, K.M.; Julien, C.; Balkanski, M. Fine Structure in the Free Exciton Region of the Emission Spectrum of γ-InSe. Phys. Status Solidi 1987, 143, 741–748. [Google Scholar] [CrossRef]
- Gnatenko, Y.P.; Skubenko, P.A.; Zhirko, Y.I.; Fialkovskaya, O.V. Emission of Free and Bound Excitons in GaSe and InSe Crystals in Direct and Indirect Transition Region. J. Lumin. 1984, 31–32, 472–475. [Google Scholar] [CrossRef]
- Gomes da Costa, P.; Dandrea, R.G.; Wallis, R.F.; Balkanski, M. First-Principles Study of the Electronic Structure of γ-InSe and β-InSe. Phys. Rev. B 1993, 48, 14135–14141. [Google Scholar] [CrossRef]
- Ran, W.; Zhang, Z.; Ma, X.; Sun, G.; Yan, T. A Novel Optical Temperature Sensor Based on Boltzmann Function in BiZn2PO6 Phosphor. J. Lumin. 2023, 255, 119562. [Google Scholar] [CrossRef]
- Krustok, J.; Collan, H.; Yakushev, M.; Hjelt, K. The Role of Spatial Potential Fluctuations in the Shape of the PL Bands of Multinary Semiconductor Compounds. Phys. Scr. 1999, 1999, 179. [Google Scholar] [CrossRef]
- Antonioli, G.; Bianchi, D.; Emiliani, U.; Podini, P.; Franzosi, P. Optical Properties and Electron-Phonon Interaction in GaSe. Nuovo Cim. B 1979, 54, 211–227. [Google Scholar] [CrossRef]
- Liem, N.Q.; Quang, V.X.; Thanh, D.X.; Lee, J.I.; Kim, D. Temperature Dependence of Biexciton Luminescence in Cubic ZnS Single Crystals. Solid State Commun. 2001, 117, 255–259. [Google Scholar] [CrossRef]
- Krustok, J.; Kondrotas, R.; Nedzinskas, R.; Timmo, K.; Kaupmees, R.; Mikli, V.; Grossberg, M. Identification of Excitons and Biexcitons in Sb2Se3 under High Photoluminescence Excitation Density. Adv. Opt. Mater. 2021, 9, 2100107. [Google Scholar] [CrossRef]





| Exciton States | (eV) | (meVK) | (meVK) | (meV) | |
|---|---|---|---|---|---|
| Absorption | 1.336 ± 0.005 | 0.1 ± 0.2 | −47 ± 7 | 8.6 ± 3.4 | |
| PL | FX () | 1.333 ± 0.001 | 0.04 ± 0.06 | −47 ± 2 | 10.0 ± 1.2 |
| XX | 1.322 ± 0.001 | −0.03 ± 0.01 | −194 ± 13 | 17.4 ± 0.7 |
Disclaimer/Publisher’s Note: The statements, opinions and data contained in all publications are solely those of the individual author(s) and contributor(s) and not of MDPI and/or the editor(s). MDPI and/or the editor(s) disclaim responsibility for any injury to people or property resulting from any ideas, methods, instructions or products referred to in the content. |
© 2025 by the authors. Licensee MDPI, Basel, Switzerland. This article is an open access article distributed under the terms and conditions of the Creative Commons Attribution (CC BY) license (https://creativecommons.org/licenses/by/4.0/).
Share and Cite
Huong, T.T.T.; Le, L.V.; Loan, N.T.; Nam, M.H.; Nguyen, T.-T.; Tran, T.T.H.; Thuy, U.T.D.; Nguyen, T.H.; Kim, T.J. Observation of Excitonic Doublet Structure, Biexcitons and Their Temperature Dependence in High-Quality β-InSe Single Crystals. Materials 2025, 18, 4451. https://doi.org/10.3390/ma18194451
Huong TTT, Le LV, Loan NT, Nam MH, Nguyen T-T, Tran TTH, Thuy UTD, Nguyen TH, Kim TJ. Observation of Excitonic Doublet Structure, Biexcitons and Their Temperature Dependence in High-Quality β-InSe Single Crystals. Materials. 2025; 18(19):4451. https://doi.org/10.3390/ma18194451
Chicago/Turabian StyleHuong, Tran Thi Thu, Long V. Le, Nguyen Thu Loan, Man Hoai Nam, Tien-Thanh Nguyen, Thi Thuong Huyen Tran, Ung Thi Dieu Thuy, Thi Huong Nguyen, and Tae Jung Kim. 2025. "Observation of Excitonic Doublet Structure, Biexcitons and Their Temperature Dependence in High-Quality β-InSe Single Crystals" Materials 18, no. 19: 4451. https://doi.org/10.3390/ma18194451
APA StyleHuong, T. T. T., Le, L. V., Loan, N. T., Nam, M. H., Nguyen, T.-T., Tran, T. T. H., Thuy, U. T. D., Nguyen, T. H., & Kim, T. J. (2025). Observation of Excitonic Doublet Structure, Biexcitons and Their Temperature Dependence in High-Quality β-InSe Single Crystals. Materials, 18(19), 4451. https://doi.org/10.3390/ma18194451

