Sign in to use this feature.

Years

Between: -

Subjects

remove_circle_outline
remove_circle_outline
remove_circle_outline
remove_circle_outline
remove_circle_outline
remove_circle_outline
remove_circle_outline
remove_circle_outline

Journals

Article Types

Countries / Regions

Search Results (157)

Search Parameters:
Keywords = malocclusion class III

Order results
Result details
Results per page
Select all
Export citation of selected articles as:
25 pages, 1913 KB  
Systematic Review
Comparative Evaluation of the Effects of Miniscrew and Miniplate Skeletal Anchorage in the Orthopedic Treatment of Growing Class III Malocclusion: A Systematic Review and Meta-Analysis
by Giuliano Irlandese, Giulia Perrotta, Vittoria Marsili, Laura Carboni, Alessio Verdecchia and Enrico Spinas
Bioengineering 2025, 12(10), 1065; https://doi.org/10.3390/bioengineering12101065 - 30 Sep 2025
Abstract
Background/Objectives: Skeletal Class III malocclusion in growing patients presents therapeutic challenges. While traditional tooth-anchored facemask (FM) therapy is widely used, it may induce undesired dental effects. Bone-anchored maxillary protraction (BAMP), using either miniscrews (MSs) or miniplates (MPs), has been proposed to enhance skeletal [...] Read more.
Background/Objectives: Skeletal Class III malocclusion in growing patients presents therapeutic challenges. While traditional tooth-anchored facemask (FM) therapy is widely used, it may induce undesired dental effects. Bone-anchored maxillary protraction (BAMP), using either miniscrews (MSs) or miniplates (MPs), has been proposed to enhance skeletal outcomes and minimize dental compensation. The objective is to compare the efficacy of MS and MP as skeletal anchorage in the orthopedic treatment of the Class III growing patients. Methods: This systematic review and meta-analysis followed PRISMA guidelines. Five databases and manual searches were conducted without restrictions. Inclusion criteria encompassed randomized and non-randomized controlled trials assessing cephalometric outcomes in growing patients treated with MS or MP. Risk of bias was assessed with RoB 2 and ROBINS-I tools, and evidence certainty was evaluated using GRADE. A meta-analysis was performed, collecting all the statistically significant results that emerged in the 11 articles between skeletal anchorage and controls, comparing the values of the MP group with the MS group. Results: Eleven studies (seven MP, four MS) met the inclusion criteria. Both MS and MP groups showed significant maxillary advancement and improved maxillo–mandibular relationships compared to controls. Regarding vertical values, studies have reported contrasting outcomes. Soft tissue improvements were consistent in both MS and MP devices. Statistical analysis has highlighted how MP devices demonstrated more pronounced skeletal effects, while MS systems were associated with more dental effects. Conclusions: MP may be preferable when the aim is to maximize skeletal correction with fewer dental side effects, while MS can be considered in cases favoring less invasive approaches; long-term follow-up and high-quality clinical studies are needed to confirm these clinical assessments. Full article
(This article belongs to the Section Biomedical Engineering and Biomaterials)
Show Figures

Graphical abstract

10 pages, 525 KB  
Article
Class III Malocclusion in Growing Patients: Facemask vs. Functional Appliance: Experimental Study
by Lucia Giannini, Guido Galbiati, Cinzia Maspero, Gianna Dipalma and Roberto Biagi
Bioengineering 2025, 12(10), 1027; https://doi.org/10.3390/bioengineering12101027 - 26 Sep 2025
Abstract
Objective: We compared the skeletal effects of postero-anterior facemask (PAF) and functional appliance (FA) therapy in growing patients with Class III malocclusion. Materials and Methods: A total of 85 patients (mean age 9 ± 0.2 years) were treated with either a PAF (n [...] Read more.
Objective: We compared the skeletal effects of postero-anterior facemask (PAF) and functional appliance (FA) therapy in growing patients with Class III malocclusion. Materials and Methods: A total of 85 patients (mean age 9 ± 0.2 years) were treated with either a PAF (n = 50) or a FA (n = 35). Pre- and post-treatment cephalometric records were analyzed to assess sagittal (SNA, SNB, ANB, Wits appraisal) and vertical changes. Treatment outcomes were compared using Student’s t test for paired samples. Results: PAF therapy produced significantly greater improvements in the ANB angle (mean increase 4.1° vs. 1.7°) and Wits appraisal (2.4 mm vs. 0.9 mm) compared to FAs. Vertical control was superior in the PAF group, which showed a reduction in lower facial height, whereas FA patients exhibited a slight increase. Conclusions: PAF therapy was more effective than FAs in improving both sagittal and vertical skeletal relationships in growing Class III patients. Functional appliances provided only modest skeletal effects, mainly influencing mandibular position. Early intervention with a PAF should be considered the treatment of choice when maxillary protraction and vertical control are required. Full article
(This article belongs to the Special Issue New Sight for the Treatment of Dental Diseases: Updates and Direction)
Show Figures

Graphical abstract

13 pages, 464 KB  
Review
The Effectiveness of Clear Aligners in Orthognathic Surgery: Pre- and Postoperative Phases—A Scoping Review
by Federica Lugas, Roberto Schirru, Francesco Bustio Dettori, Alessio Verdecchia and Enrico Spinas
Appl. Sci. 2025, 15(18), 10223; https://doi.org/10.3390/app151810223 - 19 Sep 2025
Viewed by 290
Abstract
Clear aligners are increasingly used as an alternative to fixed appliances in orthognathic surgery, particularly for skeletal Class III malocclusions. This scoping review aimed to evaluate the effectiveness of clear aligners in the pre- and postoperative phases of surgical treatment and was conducted [...] Read more.
Clear aligners are increasingly used as an alternative to fixed appliances in orthognathic surgery, particularly for skeletal Class III malocclusions. This scoping review aimed to evaluate the effectiveness of clear aligners in the pre- and postoperative phases of surgical treatment and was conducted following the Preferred Reporting Items for Systematic Reviews and Meta-Analyses extension for Scoping Reviews (PRISMA-ScR) guidelines. Electronic searches were conducted in PubMed, Scopus, Embase, Web of Science, Cochrane Library, and OpenGrey. Data extraction considered study design, country, sample characteristics, surgical protocol, orthodontic biomechanics, use of auxiliaries, and cephalometric outcomes. Seven studies published between 2020 and 2024 were included. They involved 120 adult patients treated with Invisalign® combined with Le Fort I osteotomy and bilateral sagittal split osteotomy. All studies reported skeletal improvements, particularly in ANB angle and Wits appraisal, with maintenance of vertical dimensions. Clear aligners facilitated presurgical dental decompensation, torque control, and postsurgical occlusal refinement, with auxiliaries and digital tools enhancing predictability. Despite variability in protocols and limited long-term follow-up, outcomes were comparable to those achieved with fixed appliances. Current evidence supports the clinical viability of integrating clear aligners into orthognathic surgery, although standardized protocols and further high-quality prospective studies are needed to confirm long-term stability. Full article
(This article belongs to the Special Issue Advanced Technologies in Oral Surgery—2nd Edition)
Show Figures

Figure 1

12 pages, 1299 KB  
Article
Anterior and Posterior Occlusal Plane Inclinations Differ Between Class II and Class III Mixed Dentitions—A Retrospective Cross-Sectional Study of a Morphological Characteristic
by Aleš Čelar, Stefan Lettner and Erwin Jonke
J. Clin. Med. 2025, 14(18), 6553; https://doi.org/10.3390/jcm14186553 - 17 Sep 2025
Viewed by 236
Abstract
Background: To investigate if the sagittal inclinations of anterior occlusal plane (AOP) and posterior occlusal plane (POP) differ between skeletal classes II and III in the mixed dentition period. Methods: Retrospective analysis of cross-sectional lateral cephalometric radiograph data of 61 children with skeletal [...] Read more.
Background: To investigate if the sagittal inclinations of anterior occlusal plane (AOP) and posterior occlusal plane (POP) differ between skeletal classes II and III in the mixed dentition period. Methods: Retrospective analysis of cross-sectional lateral cephalometric radiograph data of 61 children with skeletal class II and 60 children with skeletal class III (average age 8.4 ± 1.5 years). We measured the inclinations of AOP and POP to the Frankfort horizontal (FH) and the sella-nasion line (SN). Angles FH–AOP, FH–POP, SN–AOP, and SN–POP were compared between both groups using model-based ANOVA F tests and quantile regressions. Results: The differences in means between the groups came to 1.3° ± 5.1 (FH–AOP), 1.8° ± 4.6 (FH–POP), 2.6° ± 5.3 (SN–AOP), and 5.5° ± 4.4 (SN–POP). In the ANOVA, angles SN–AOP, FH–POP, and SN–POP differed significantly between the groups (p = 0.041, p = 0.006, p < 0.001, respectively). Quantile regressions showed significant between-group differences for FH–AOP (lower quartile, p = 0.012), FH–POP (upper quartile, p = 0.006), SN–AOP (median, p = 0.004; upper quartile, p = 0.011), and SN–POP (all 3 quartiles, p < 0.001). Conclusions: Distinct occlusal plane inclinations of mixed dentitions represent diagnostic traits. Longitudinal and interventional data are needed if therapeutic flattening of mixed dentition AOP or POP is beneficial in treating skeletal class II, same as their steepening in skeletal class III. Our clinical hypothesis suggests alterations by approximately 3° (AOP) and 6° (POP) but requires further study and confirmation. Full article
(This article belongs to the Section Dentistry, Oral Surgery and Oral Medicine)
Show Figures

Figure 1

13 pages, 763 KB  
Article
Skeletal and Dentoalveolar Effects of the SOCIA III Appliance in Patients with Pseudo-Class III Malocclusion
by Mauro Lorusso, Giovanna Jie Wang, Michele Tepedino, Angela Pia Cazzolla, Fariba Esperouz, Lucio Lo Russo and Domenico Ciavarella
Dent. J. 2025, 13(9), 427; https://doi.org/10.3390/dj13090427 - 15 Sep 2025
Viewed by 308
Abstract
Objective: This study aimed to assess the dentoskeletal and postural modifications induced by treatment with the Swallowing Occlusal Contact Intercept Appliance (SOCIA III) in patients with pseudo-Class III malocclusion. The main hypothesis was that treatment with the SOCIA appliance induces significant skeletal and [...] Read more.
Objective: This study aimed to assess the dentoskeletal and postural modifications induced by treatment with the Swallowing Occlusal Contact Intercept Appliance (SOCIA III) in patients with pseudo-Class III malocclusion. The main hypothesis was that treatment with the SOCIA appliance induces significant skeletal and dentoalveolar changes in growing patients with pseudo-Class III malocclusion. Methods: Fifty-two pseudo-Class III malocclusion patients with a mean age of 8.5 were analyzed and compared with fifty-two untreated patients. Cephalometric evaluations were carried out at baseline (T0) and at the end of treatment. The cephalometric analysis comprised sagittal measurements (SNA, ANB, WITS, CB, ACB), dental variables (UI-PP, LI-MP, OVERJET, OVERBITE), and postural parameters (SNBa and cranio-cervical angle of the maxilla). Within-group comparisons at baseline (T0) and post-treatment (T1) were performed using the paired t-test or the Wilcoxon signed-rank test. Inter-group comparisons were based on the differences in variables between the two time points (ΔT1–T0), using the independent samples t-test or the Mann–Whitney U test. Results: At the end of treatment with the SOCIA appliance, significant improvements were observed in the ANB angle (0.61° to 2.06°, p = 0.001), SNA (81.56° to 83.26°, p = 0.006), WITS appraisal (−0.75 mm to 1.24 mm, p = 0.001), ACB angle (9.35 mm to 11.45 mm, p = 0.05), CB (64.78 mm to 65.51 mm, p = 0.03), and SNBa angle (127.57° to 129.14°, p = 0.01), as well as in overjet (0.62 mm to 3.60 mm, p = 0.001) and overbite (0.29 mm to 1.82 mm, p = 0.001). Conclusions: The SOCIA III appliance is effective in correcting pseudo-Class III malocclusion in growing patients by improving skeletal and dentoalveolar relationships. Full article
Show Figures

Figure 1

14 pages, 2774 KB  
Article
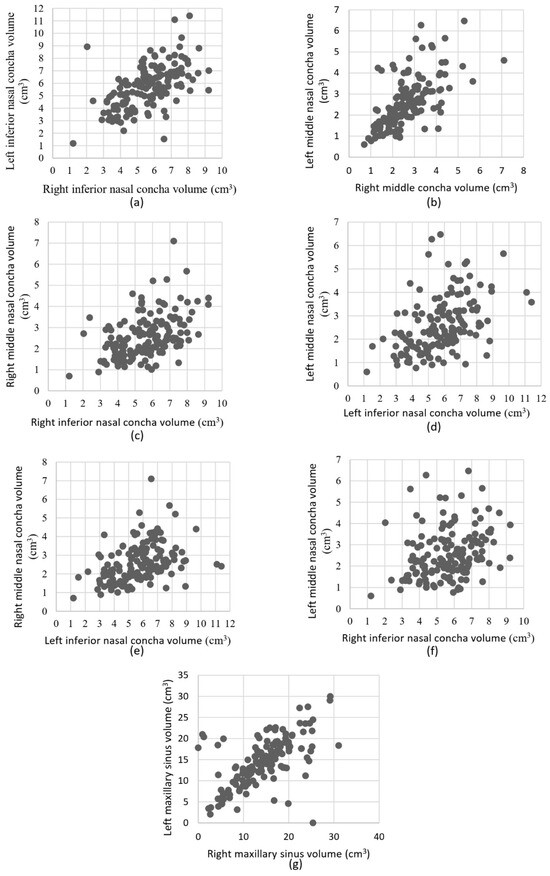
Volumetric Analysis of Maxillary Sinus and Nasal Conchae According to Skeletal Classes and Cranio-Maxillary Relation
by Berfu Çerçi Öngün, İbrahim Tekdemir, Seçil Aksoy, Nimet İlke Akçay and Kaan Orhan
Diagnostics 2025, 15(18), 2319; https://doi.org/10.3390/diagnostics15182319 - 12 Sep 2025
Viewed by 285
Abstract
Background: This study aimed to evaluate the volumetric characteristics of the inferior and middle nasal conchae and maxillary sinuses in individuals with different skeletal malocclusion classes and cranio-maxillary relationships using cone beam computed tomography (CBCT). Methods: A total of 150 adult patients [...] Read more.
Background: This study aimed to evaluate the volumetric characteristics of the inferior and middle nasal conchae and maxillary sinuses in individuals with different skeletal malocclusion classes and cranio-maxillary relationships using cone beam computed tomography (CBCT). Methods: A total of 150 adult patients were retrospectively analyzed. CBCT scans were used to obtain volumetric measurements of the right and left inferior nasal conchae (INC), middle nasal conchae (MNC), and maxillary sinuses (MS). Patients were categorized into skeletal Classes I, II, or III based on ANB angles, and into retrognathic, normal, or prognathic groups according to SNA angles. Gender- and age-related differences were also analyzed. Statistical comparisons were performed using appropriate parametric and non-parametric tests. Results: Class II individuals exhibited significantly lower conchal volumes compared to Class I and III groups, while MS volumes were highest in Class II, although statistical significance was reached only on the left side. Gender differences were evident, with males presenting greater volumes than females in both the right and left INC and MS; however, significant differences were observed only for the left INC and left MS. A significant age-related decrease in left INC volume was found between the 21–30 and 61+ age groups. No statistically significant correlation was detected between conchal and sinus volumes. Conclusions: Skeletal malocclusion patterns, gender, and age significantly influence concha and sinus volumes. These findings emphasize the utility of CBCT-based three-dimensional assessments in enhancing diagnostic accuracy and informing interdisciplinary treatment planning in orthodontics and craniofacial care. Full article
Show Figures

Figure 1

10 pages, 1366 KB  
Case Report
Using Functional Education Appliance on One Patient with Class III Malocclusion in Mixed Dentition: A Case Report
by Chun-Yuan Chiu, Shang-Wen Chiu and Chung-Hsing Li
Children 2025, 12(9), 1219; https://doi.org/10.3390/children12091219 - 11 Sep 2025
Viewed by 329
Abstract
Background/objective: Class III malocclusion is a relatively common clinical problem among Asian patients, which is caused by skeletal discrepancies and involves complex factors. In growing patients, early intervention with myofunctional appliances can help correct jaw relationships more effectively. This case report presents the [...] Read more.
Background/objective: Class III malocclusion is a relatively common clinical problem among Asian patients, which is caused by skeletal discrepancies and involves complex factors. In growing patients, early intervention with myofunctional appliances can help correct jaw relationships more effectively. This case report presents the use of prefabricated myofunctional appliances (EF and MRC) to address Class III malocclusion through growth modification. Case description: A 9-year-old girl was diagnosed with skeletal Class III and a complete anterior crossbite. She underwent treatment with the prefabricated myofunctional appliances, worn during sleep and an additional two hours during the day for 51 months. The outcomes resulted from a combination of skeletal and dental changes, including a decrease in skeletal discrepancy (ANB: −5° to −2°), upper incisor proclination (U1 to SN: 112.5° to 123°), uprighting of the lower incisor (L1 to MP: 93.5° to 90°), and an increase in cranial flexure angle (123° to 125°) with a vertical mandibular growth pattern. The treatment improved facial profile, reduced skeletal discrepancy, corrected the anterior crossbite, and enhanced interdigitation. Conclusions: Prefabricated myofunctional appliances are effective options for managing skeletal Class III malocclusion in pediatric patients with vertical mandibular growth patterns, producing favorable skeletal and dentoalveolar changes. Full article
Show Figures

Figure 1

14 pages, 3054 KB  
Article
Volumetric Three-Dimensional Evaluation of the Pharyngeal Airway After Orthognathic Surgery in Patients with Skeletal Class III Malocclusion
by Aslihan Zeynep Oz, Hakan El, Abdullah Alper Oz and Juan Martin Palomo
Diagnostics 2025, 15(17), 2217; https://doi.org/10.3390/diagnostics15172217 - 1 Sep 2025
Viewed by 527
Abstract
Background: Orthognathic surgery significantly alters the dimensions of the pharyngeal airway. This study’s objective was to assess alterations in the pharyngeal airway volume via cone-beam computed tomography (CBCT) after orthognathic surgery in patients with skeletal Class III malocclusion. Methods: This retrospective study analyzed [...] Read more.
Background: Orthognathic surgery significantly alters the dimensions of the pharyngeal airway. This study’s objective was to assess alterations in the pharyngeal airway volume via cone-beam computed tomography (CBCT) after orthognathic surgery in patients with skeletal Class III malocclusion. Methods: This retrospective study analyzed CBCT images from 23 patients with skeletal Class III malocclusion (13 females, 10 males), who were categorized into two groups based on the surgical approach: double-jaw and single-jaw surgery. The double-jaw group included 13 patients who underwent bilateral sagittal split osteotomy (BSSO) and Le Fort I osteotomy, whereas the single-jaw group included of 10 patients who had underwent BSSO only. CBCT images were evaluated both before surgery and at a minimum of three months after surgery. The oropharyngeal volume (OP), nasopharyngeal volume (NP), total airway volume, posterior airway space (PAS), and the most constricted area at the base of the tongue (minAx) were measured. Statistical analyses were performed using either paired t-tests or Wilcoxon signed-rank tests depending on data normality, with a significance level set at p < 0.01. Results: In the double-jaw group, a significant volumetric increase was observed in the nasopharynx (5316 ± 1948 mm3 to 6064 ± 1899 mm3; p = 0.010) and oropharyngeal volume decreased from 17,097 ± 5675 mm3 to 14,290 ± 5835 mm3; however, this reduction was not statistically significant (p = 0.017). In contrast, the single-jaw group showed a significant reduction in oropharyngeal volume from 15,620 ± 5040 mm3 to 12,444 ± 4701 mm3 (p = 0.010), with no significant change in nasopharyngeal volume (p = 0.551). Total airway volume significantly decreased only in the single-jaw group (from 20,452 ± 7754 mm3 to 16,846 ± 6529 mm3, p = 0.010). Additionally, both groups exhibited marked decreases in PAS and minimum axial area values (all p < 0.01). Conclusions: Orthognathic surgery led to a significant volumetric increase in the nasopharynx in the double-jaw group, whereas the oropharynx volume significantly decreased only in the single-jaw group. Additionally, both surgical approaches resulted in a marked reduction in PAS and minimum axial area values, highlighting a notable impact on posterior airway dimensions. Full article
Show Figures

Figure 1

19 pages, 3029 KB  
Article
Orthognathic Surgery in Adults with Craniofacial Clefts: Evaluating the Need for Maxillary Advancement and Facial Aesthetic Improvement
by Irina Isufi, Algen Isufi, Aida Meto, Adela Alushi, Rosa Esposito and Michele Tepedino
Appl. Sci. 2025, 15(17), 9505; https://doi.org/10.3390/app15179505 - 29 Aug 2025
Viewed by 420
Abstract
Background: Craniofacial clefts represent the most common congenital malformation in the head and neck region. Although most patients undergo primary cleft repair in childhood, many still present midfacial growth deficiencies in adulthood. This study aimed to evaluate and compare the incidence and [...] Read more.
Background: Craniofacial clefts represent the most common congenital malformation in the head and neck region. Although most patients undergo primary cleft repair in childhood, many still present midfacial growth deficiencies in adulthood. This study aimed to evaluate and compare the incidence and indications for orthognathic surgery in adult patients with cleft lip (CL), cleft lip and alveolus (CLA), cleft lip and palate (CLP), and isolated cleft palate (CP). Materials and Methods: Sixty adult cleft patients (36 males and 24 females) born with a cleft and with a mean age of 19.51 ± 1.83 years were retrospectively enrolled in this study. All patients had undergone primary lip and palate repair during childhood at the Oral and Maxillofacial Surgery Service of “Mother Teresa” University Hospital Centre in Tirana. Clinical records, orthodontic documentation, and cephalometric data were reviewed to determine the indication for orthognathic surgery. Results: The statistical analysis showed that orthognathic surgery was deemed necessary in 30% patients, including ten males (56%) and eight females (44%). The most prevalent type of cleft was CLP, accounting for 35% of all patients, and it showed the highest surgical indication rate (83.3%). Cleft patients and the need for orthognathic surgery were evaluated according to the skeletal malocclusion in three planes. The need for surgery was more prevalent in patients with skeletal class III malocclusion with maxillary hypoplasia (83.3% of surgical cases), those with anterior and posterior crossbite (21.7% of all patients), and in deep bite patients (16.7% of all patients). Additionally, all patients with facial asymmetry (15%) required orthognathic surgery, highlighting the strong association between asymmetry and surgical indication. Conclusions: Patients with craniofacial cleft, especially those with CLP and combined maxillary deficiencies, demonstrate a significantly higher need for orthognathic surgery. Quantitative assessment supports the necessity of a multidisciplinary treatment approach to address persistent skeletal discrepancies and optimize functional and aesthetic outcomes in adult cleft patients. Full article
(This article belongs to the Section Applied Dentistry and Oral Sciences)
Show Figures

Figure 1

12 pages, 2053 KB  
Article
Distalization with Clear Aligners: Accuracy, Impact of Mini-Screws, and Clinical Outcomes
by Teresa Pinho, Diana Melo, Sofia Ferreira and Maria Gonçalves
Dent. J. 2025, 13(7), 316; https://doi.org/10.3390/dj13070316 - 14 Jul 2025
Viewed by 658
Abstract
Background: Distalization is a fundamental orthodontic strategy for correcting Class II and Class III malocclusions, particularly in cases where specific dental or skeletal conditions favor its application. Recent technological advances have enabled complex dental movements to be performed using clear aligners, aided by [...] Read more.
Background: Distalization is a fundamental orthodontic strategy for correcting Class II and Class III malocclusions, particularly in cases where specific dental or skeletal conditions favor its application. Recent technological advances have enabled complex dental movements to be performed using clear aligners, aided by digital planning platforms such as ClinCheck®. Methods: This retrospective study aimed to evaluate the accuracy of ClinCheck® in predicting molar and canine distalization outcomes with the Invisalign® system and to identify clinical factors influencing treatment predictability. Thirty patients with complete permanent dentition and at least 2 mm of programmed distalization were selected. Planned movements were extracted from the Invisalign® Doctor Site and compared to achieved outcomes using Geomagic® Control X™ software. Occlusal improvements were assessed using the Peer Assessment Rating (PAR) indexResults: The results revealed significant discrepancies between the programmed and achieved distalization, with mean deviations greater than 1 mm in both arches. Skeletal anchorage with mini-screws significantly improved distalization outcomes in the maxillary arch; however, no significant effect was observed in the mandibular arch. Additionally, no significant associations were found between distalization outcomes and skeletal pattern (ANB angle) or facial biotype. Conclusions: Clear aligners are effective in achieving substantial occlusal improvements, particularly when combined with personalized digital planning and supplementary strategies such as skeletal anchorage. Mandibular cases demonstrated greater reductions in PAR scores, emphasizing the potential of aligners in complex distalization treatments. Full article
Show Figures

Figure 1

16 pages, 7509 KB  
Article
Evaluating the Diagnostic Proficiency Among a Sample of Final Stage Dental Students in Some Orthodontic Cases: A Comprehensive Analysis of Clinical Competence
by Noor Nourie Abbass, Zainab Mousa Kadhom, Wurood Khairallah Al-Lehaibi and Mohammed Nahidh
Dent. J. 2025, 13(7), 300; https://doi.org/10.3390/dj13070300 - 2 Jul 2025
Viewed by 576
Abstract
Background/Objectives: This study evaluates the diagnostic and referral skills of final-year dental students at Al-Iraqia University using a questionnaire based on malocclusion cases ranging from mild to severe. Methods: The questionnaire, featuring photos and radiographs of five selected treated cases from [...] Read more.
Background/Objectives: This study evaluates the diagnostic and referral skills of final-year dental students at Al-Iraqia University using a questionnaire based on malocclusion cases ranging from mild to severe. Methods: The questionnaire, featuring photos and radiographs of five selected treated cases from two textbooks, was answered by 165 students who were asked to assess each case and determine whether orthodontic or surgical treatment was necessary, as well as to identify factors contributing to an unesthetic profile, such as irregular teeth. Frequency distribution and the Chi-square test were used for statistical analysis. Results: The results indicated good overall clinical competence. The unesthetic profile and irregular teeth were the main reasons for referring both Class II and III cases for surgery, with mandibular retrusion being the most common factor in aesthetic concerns. Maxillary protrusion was less frequently selected as a key factor in Class II malocclusion cases. Conclusions: The findings suggest that students demonstrated a high level of diagnostic accuracy in identifying treatment needs for various malocclusion cases. Full article
(This article belongs to the Special Issue Dental Education: Innovation and Challenge)
Show Figures

Figure A1

16 pages, 277 KB  
Article
Three-Dimensional Dental Analysis in Subjects with Skeletal Malocclusion: A Retrospective Observational Study
by Rosanna Guarnieri, Francesca Squillace, Rachele Podda, Alfredo Salvatore Monterossi, Gabriella Galluccio, Roberto Di Giorgio and Ersilia Barbato
Dent. J. 2025, 13(7), 280; https://doi.org/10.3390/dj13070280 - 22 Jun 2025
Cited by 1 | Viewed by 595
Abstract
Background: The aim of this study was to evaluate the correlation between skeletal class and dental dimensions analyzed through linear, surface area, and volumetric measurements. Methods: The sample consisted of 90 patients with an average age of 18 years (44 > x > [...] Read more.
Background: The aim of this study was to evaluate the correlation between skeletal class and dental dimensions analyzed through linear, surface area, and volumetric measurements. Methods: The sample consisted of 90 patients with an average age of 18 years (44 > x > 12). The following tests were used to investigate any correlation between skeletal class and tooth size: Hoeffding’s test, Cramér’s V test, and analysis of variance (ANOVA), followed by Tukey’s post hoc HSD test and the logit model. The significance level was set at 0.050. Results: Cramér’s V test indicated a weak association between skeletal class (I, II, III) and total Bolton index (V = 0.167, p < 0.01). The ANOVA results showed that the total inferior volume and the anterior inferior volume were significantly greater (p = 0.012; p = 0.012) in skeletal class III (p = 0.012) than in the other two skeletal classes. The total upper surface area was significantly greater in patients with skeletal class III compared to those with classes II and I (p = 0.029). The anterior superior surface area was significantly greater in skeletal class III than in class II and I (p = 0.028). From the results of the logit analysis, it is possible to state that the third model is able to explain greater variability (21%) in terms of the distribution of results for the variables considered than the first (20%) and the second (14%). Conclusions: Class III skeletal malocclusions are characterized by increased tooth surface and volumetric dimensions compared to class I and class II. Full article
(This article belongs to the Special Issue Digital Dentures: 2nd Edition)
15 pages, 1281 KB  
Article
Anterior Tooth Inclination Between Skeletal Class II and III Malocclusions After Surgical Orthodontic Treatment
by Hiromi Tomaru, Chie Tachiki, Yu Nakamura, Dai Ariizumi, Satoru Matsunaga, Keisuke Sugahara, Akira Watanabe, Akira Katakura and Yasushi Nishii
Diagnostics 2025, 15(12), 1553; https://doi.org/10.3390/diagnostics15121553 - 18 Jun 2025
Viewed by 597
Abstract
Background/Objectives: Anterior tooth inclination plays a critical role in treatment planning for surgical orthodontic cases. However, post-treatment outcomes in patients with jaw deformities often deviate from cephalometric values. This study aimed to compare anterior tooth inclination and skeletal morphology among patients with Class [...] Read more.
Background/Objectives: Anterior tooth inclination plays a critical role in treatment planning for surgical orthodontic cases. However, post-treatment outcomes in patients with jaw deformities often deviate from cephalometric values. This study aimed to compare anterior tooth inclination and skeletal morphology among patients with Class II and Class III malocclusions and to establish reference values for individualized treatment plans. Methods: A total of 122 patients (Class II: n = 40; Class III: n = 41; Class I: n = 41 as a control) were retrospectively analyzed. Cephalometric parameters, including U1 to FH and L1 to MP, were measured pre- and post-treatment. Group differences were analyzed using one-way ANOVA and Tukey’s multiple comparison test. Multiple regression analysis was used to establish prediction models for anterior tooth inclination. The threshold for statistical significance was set at p < 0.05. Results: Post-treatment, upper anterior teeth were more lingually inclined in Class II patients and more labially inclined in Class III patients compared to Class I controls (U1 to FH: Class II, 106.8°; Class III, 120.4°; Class I, 111.1°; p < 0.01). Lower anterior teeth were more lingually inclined in Class III patients compared to Class I patients (L1 to MP: 84.9°; p < 0.01). Regression models demonstrated good predictive value (R2 > 0.5) in non-extraction cases. Conclusions: Regression equations developed in this study, alongside the cephalometric averages of Class I individuals, may offer reliable reference values tailored to individual craniofacial morphology, contributing to optimized treatment planning in surgical orthodontic cases. Full article
(This article belongs to the Section Clinical Diagnosis and Prognosis)
Show Figures

Figure 1

10 pages, 1200 KB  
Article
Comparison of Frontal Sinus Dimensions with Different Skeletal Classes and Vertical Patterns: A Retrospective Study
by Alessandro Nota, Iuliia Kashtelianska, Francesco Manfredi Monticciolo, Laura Pittari, Simona Tecco and Attilio Castaldo
Healthcare 2025, 13(11), 1310; https://doi.org/10.3390/healthcare13111310 - 31 May 2025
Viewed by 454
Abstract
Background: The aim of this work is to compare the size of the frontal sinus and the different skeletal classes and divergence patterns of the subjects. Methods: This study retrospectively includes lateral radiographs performed on a total of 200 adults (78 M, 122 [...] Read more.
Background: The aim of this work is to compare the size of the frontal sinus and the different skeletal classes and divergence patterns of the subjects. Methods: This study retrospectively includes lateral radiographs performed on a total of 200 adults (78 M, 122 F; mean age 29.2 ± 8.0 years). Subject inclusion criteria were an age of 18–45 years, presence of both frontal sinuses, and good general health with no hormonal system disorders that may affect the growth and pneumatization of the frontal sinuses. Four different parameters of the frontal sinus were evaluated: length, width, perimeter, and area. In order to calculate the variables inherent to the sagittal and vertical skeletal pattern, two independent nominal variables were considered: skeletal class (ANB°) and mandibular divergence (SN^MP°). Results: The statistical analysis showed that there is a statistically significant difference between the frontal sinus dimension and the three skeletal classes. Subjects in group 3 presented significantly higher mean dimensional values. In the analysis of sinus size variables with skeletal divergence, significant results were found for the width value, which resulted in higher average values in group c. Conclusions: The present study shows a statistically significant difference in frontal sinus size among different skeletal classes and divergence patterns. This result suggests that, in future studies, it should be analyzed whether the dimensional analysis of the frontal sinus could be associated with skeletal class III malocclusion. Full article
Show Figures

Figure 1

10 pages, 536 KB  
Article
Analysis of Clear Aligner Therapy Predictability for Mandibular Incisor Intrusion in Children and Adults
by Christopher Burns, Abdul Basir Barmak, Robert Tarby, Dimitrios Michelogiannakis and Paul Emile Rossouw
Appl. Sci. 2025, 15(11), 5954; https://doi.org/10.3390/app15115954 - 26 May 2025
Viewed by 954
Abstract
(1) The aim was to evaluate the predictability of treatment outcomes using clear aligner therapy (CAT) and ClinCheck Web 1.4 (Align Technology, Inc., San Jose, CA, USA) software in mandibular incisor intrusion in both children and adults with deep bite malocclusion. (2) This [...] Read more.
(1) The aim was to evaluate the predictability of treatment outcomes using clear aligner therapy (CAT) and ClinCheck Web 1.4 (Align Technology, Inc., San Jose, CA, USA) software in mandibular incisor intrusion in both children and adults with deep bite malocclusion. (2) This study included healthy children and adults with skeletal Class I or mild to moderate Class II/III malocclusions, mild to moderate dental crowding (<5 mm), and deep overbite (OB) who underwent CAT. Pre-treatment (T1) and post-treatment (T2) orthodontic treatment records were assessed and compared to initial planned ClinCheck movements. The cephalometric parameters evaluated included bodily intrusion (Centroid-C point), IMPA, L1-NB, and L1-A-Po. Clinical expression of CAT was compared to ClinCheck predictions using paired sample t-tests, and differences between growing and non-growing groups were assessed using a repeated measures ANOVA with Tukey post hoc analysis. (3) The sample included 48 patients (mean age 19.79 ± 11.78 years), including 18 adults (mean age 30.28 ± 13.79 years) and 30 children (mean age 13.5 ± 2.05 years). The predicted vertical mandibular incisor movement (intrusion) was significantly higher using ClinCheck (2.32 mm) compared to clinical treatment (0.22 mm). The angular movements of IMPA, L1-NB, and L1-APo were all significantly higher using ClinCheck (4.6°) compared to clinical expression of 0.79°, 0.55°, and 1.21°, respectively. There were no significant differences between children and adults with respect to vertical or angular tooth movements. (4) CAT and ClinCheck software significantly overpredicts orthodontic tooth movements related to mandibular incisor intrusion in both adults and children with no statistical difference between the groups. Full article
(This article belongs to the Special Issue Trends and Prospects of Orthodontic Treatment)
Show Figures

Figure 1

Back to TopTop