Volumetric Analysis of Maxillary Sinus and Nasal Conchae According to Skeletal Classes and Cranio-Maxillary Relation
Abstract
1. Introduction
2. Materials and Methods
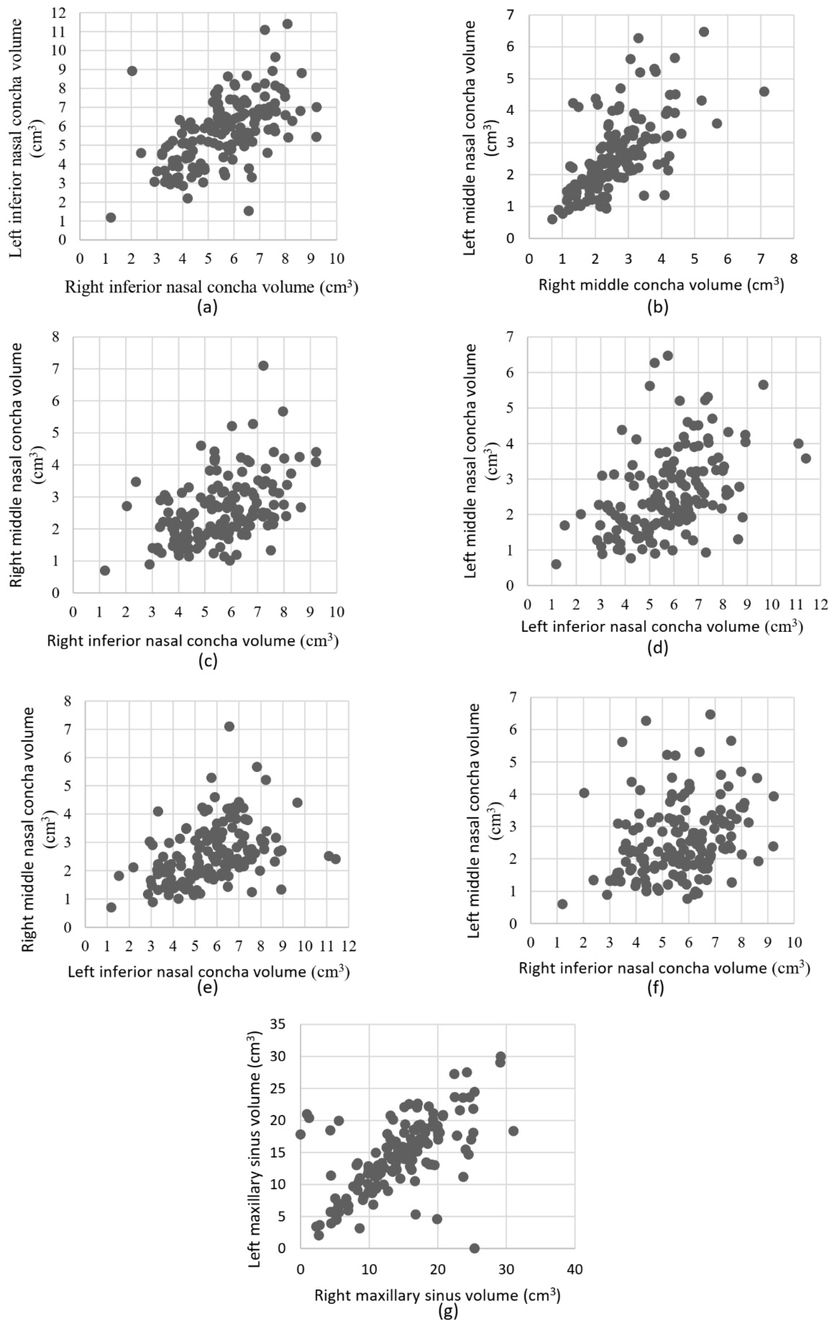
3. Results
4. Discussion
4.1. Gender Differences
4.2. Age-Related Differences
4.3. Skeletal Classification Differences
5. Conclusions
Author Contributions
Funding
Institutional Review Board Statement
Informed Consent Statement
Data Availability Statement
Conflicts of Interest
References
- Moore, K.L.; Persaud, T.V.N.; Torchia, M.G. The Developing Human: Clinically Oriented Embryology, 10th ed.; Elsevier: Amsterdam, The Netherlands, 2016; ISBN 978-0-323-31347-6. [Google Scholar]
- Chiego, D. Essentials of Histology and Embryology: A Clinical Approach, 5th ed.; Elsevier: Amsterdam, The Netherlands, 2019; ISBN 9780323497251. [Google Scholar]
- Kubal, W.S. Sinonasal Anatomy. Neuroimaging Clin. N. Am. 1998, 8, 143–156. [Google Scholar] [CrossRef]
- Thribhuvanan, L.; Saravanakumar, M.S. Influence of Mode of Breathing on Pharyngeal Airway Space and Dento Facial Parameters in Children: A Short Clinical Study. Bull. Natl. Res. Cent. 2022, 46, 111. [Google Scholar] [CrossRef]
- Adamidis, I.P.; Spyropoulos, M.N. The Effects of Lymphadenoid Hypertrophy on the Position of the Tongue, the Mandible and the Hyoid Bone. Eur. J. Orthod. 1983, 5, 287–294. [Google Scholar] [CrossRef]
- Klein, J.C. Nasal Respiratory Function and Craniofacial Growth. Arch. Otolaryngol. Head Neck Surg. 1986, 112, 843–849. [Google Scholar] [CrossRef]
- Kucybała, I.; Janik, K.A.; Ciuk, S.; Storman, D.; Urbanik, A. Nasal Septal Deviation and Concha Bullosa—Do They Have an Impact on Maxillary Sinus Volumes and Prevalence of Maxillary Sinusitis? Pol. J. Radiol. 2017, 82, 126–133. [Google Scholar] [CrossRef]
- Agacayak, K.S.; Gulsun, B.; Koparal, M.; Atalay, Y.; Aksoy, O.; Adiguzel, O. Alterations in Maxillary Sinus Volume among Oral and Nasal Breathers. Med. Sci. Monit. 2015, 21, 18–26. [Google Scholar] [CrossRef][Green Version]
- Endo, T.; Abe, R.; Kuroki, H.; Kojima, K.; Oka, K.; Shimooka, S. Cephalometric Evaluation of Maxillary Sinus Sizes in Different Malocclusion Classes. Odontology 2010, 98, 65–72. [Google Scholar] [CrossRef] [PubMed]
- Turhan, B.; Kervancioglu, P.; Yalcin, E.D. The Radiological Evaluation of the Nasal Cavity, Conchae and Nasal Septum Volumes by Stereological Method: A Retrospective Cone-Beam Computed Tomography Study. Adv. Clin. Exp. Med. 2019, 28, 1021–1026. [Google Scholar] [CrossRef] [PubMed]
- Emirzeoglu, M.; Sahin, B.; Celebi, M.; Uzun, A.; Bilgic, S.; Tontus, H.O. Estimation of Nasal Cavity and Conchae Volumes by Stereological Method. Folia Morphol. 2012, 71, 105–108. [Google Scholar]
- Shetty, S.R.; Al-Bayatti, S.W.; Al Kawas, S.; Al-Rawi, N.H.; Kamath, V.; Shetty, R.; Shetty, S.; Desai, V.; David, L. A Study on the Association between the Inferior Nasal Turbinate Volume and the Maxillary Sinus Mucosal Lining Using Cone Beam Tomography. Heliyon 2022, 8, e09190. [Google Scholar] [CrossRef]
- Ertekin, T.; Deermenci, M.; Nisari, M.; Unur, E.; Cokun, A. Age-Related Changes of Nasal Cavity and Conchae Volumes and Volume Fractions in Children: A Stereological Study. Folia Morphol. 2016, 75, 38–47. [Google Scholar] [CrossRef]
- Görgülü, F.F.; Yalim, S.D. Value of Cephalometric and Volumetric Measurements Performed by Multi-Level Three-Dimensional Computed Tomography in Patients with Obstructive Sleep Apnea Syndrome. Dicle Tıp Derg. 2020, 47, 112–121. [Google Scholar] [CrossRef]
- Emirzeoglu, M.; Sahin, B.; Bilgic, S.; Celebi, M.; Uzun, A. Volumetric Evaluation of the Paranasal Sinuses in Normal Subjects Using Computer Tomography Images: A Stereological Study. Auris Nasus Larynx 2007, 34, 191–195. [Google Scholar] [CrossRef]
- Aktuna Belgin, C.; Colak, M.; Adiguzel, O.; Akkus, Z.; Orhan, K. Three-Dimensional Evaluation of Maxillary Sinus Volume in Different Age and Sex Groups Using CBCT. Eur. Arch. Oto-Rhino-Laryngol. 2019, 276, 1493–1499. [Google Scholar] [CrossRef] [PubMed]
- Dinç, K.; İçöz, D. Maxillary Sinus Volume Changes in Individuals with Different Craniofacial Skeletal Patterns: CBCT Study. BMC Oral Health 2024, 24, 1516. [Google Scholar] [CrossRef]
- Oruç, K.; Akkurt, A.; Tuncer, M.C. Relation between Orthodontic Malocclusion and Maxillary Sinus Volume. Folia Morphol. 2025, 84, 200–215. [Google Scholar] [CrossRef] [PubMed]
- Velasco-Torres, M.; Padial-Molina, M.; Avila-Ortiz, G.; García-Delgado, R.; O’Valle, F.; Catena, A.; Galindo-Moreno, P. Maxillary Sinus Dimensions Decrease as Age and Tooth Loss Increase. Implant. Dent. 2017, 26, 288–295. [Google Scholar] [CrossRef]
- Ariji, Y.; Kuroki, T.; Moriguchi, S.; Ariji, E.; Kanda, S. Age changes in the volume of the human maxillary sinus: A study using computed tomography. Dentomaxillofac Radiol. 1994, 23, 163–168. [Google Scholar] [CrossRef] [PubMed]
- Shrestha, B.; Shrestha, R.; Lin, T.; Lu, Y.; Lu, H.; Mai, Z.; Chen, L.; Chen, Z.; Ai, H. Evaluation of Maxillary Sinus Volume in Different Craniofacial Patterns: A CBCT Study. Oral Radiol. 2021, 37, 647–652. [Google Scholar] [CrossRef]
- Abate, A.; Cavagnetto, D.; Lanteri, V.; Maspero, C. Three-Dimensional Evaluation of the Maxillary Sinus in Patients with Different Skeletal Classes and Cranio-Maxillary Relationships Assessed with Cone Beam Computed Tomography. Sci. Rep. 2023, 13, 2098. [Google Scholar] [CrossRef]
- Tassoker, M.; Magat, G.; Lale, B.; Gulec, M.; Ozcan, S.; Orhan, K. Is the Maxillary Sinus Volume Affected by Concha Bullosa, Nasal Septal Deviation, and Impacted Teeth? A CBCT Study. Eur. Arch. Oto-Rhino-Laryngol. 2020, 277, 227–233. [Google Scholar] [CrossRef] [PubMed]
- Al-Rawi, N.H.; Uthman, A.T.; Abdulhameed, E.; Al Nuaimi, A.S.; Seraj, Z. Concha Bullosa, Nasal Septal Deviation, and Their Impacts on Maxillary Sinus Volume among Emirati People: A Cone-Beam Computed Tomography Study. Imaging Sci. Dent. 2019, 49, 45–51. [Google Scholar] [CrossRef] [PubMed]
- Kapusuz Gencer, Z.; Ozkiriş, M.; Okur, A.; Karaçavuş, S.; Saydam, L. The Effect of Nasal Septal Deviation on Maxillary Sinus Volumes and Development of Maxillary Sinusitis. Eur. Arch. Oto-Rhino-Laryngol. 2013, 270, 3069–3073. [Google Scholar] [CrossRef] [PubMed]



| Anatomical Structure | Gender | Average Volume ± SD (cm3) | p Value | |
|---|---|---|---|---|
| Inferior nasal conchae (INC) | Right | Female | 5.50 ± 1.52 | 0.201 |
| Male | 5.82 ± 1.51 | |||
| Left | Female | 5.36 ± 1.43 | 0.001 * | |
| Male | 6.27 ± 1.96 | |||
| Middle nasal conchae (MNC) | Right | Female | 2.57 ± 1.04 | 0.540 |
| Male | 2.67 ± 1.02 | |||
| Left | Female | 2.46 ± 1.09 | 0.156 | |
| Male | 2.75 ± 1.27 | |||
| Maxillary sinus (MS) | Right | Female | 13.41 ± 5.28 | 0.055 |
| Male | 15.51 ± 7.37 | |||
| Left | Female | 13.31 ± 5.35 | 0.007 * | |
| Male | 15.82 ± 5.94 | |||
| Anatomical Structure | Age Groups | n | Average Volume ± SD (cm3) | p Value | |
|---|---|---|---|---|---|
| INC | Right | 18–20 | 17 | 6.00 ± 1.36 | 0.100 |
| 21–30 | 46 | 5.78 ± 1.36 | |||
| 31–40 | 22 | 5.48 ± 1.61 | |||
| 41–50 | 20 | 5.87 ± 1.49 | |||
| 51–60 | 25 | 5.78 ± 1.50 | |||
| 61+ | 20 | 4.75 ± 1.78 | |||
| Left | 18–20 | 17 | 5.90 ± 1.21 | 0.037 * 21–29 vs. 61+ p = 0.013 * | |
| 21–30 | 46 | 6.13 ± 1.74 | |||
| 31–40 | 22 | 5.61 ± 1.40 | |||
| 41–50 | 20 | 5.81 ± 1.58 | |||
| 51–60 | 25 | 5.80 ± 1.73 | |||
| 61+ | 20 | 4.75 ± 2.28 | |||
| MNC | Right | 18–20 | 17 | 2.60 ± 0.93 | 0.838 |
| 21–30 | 46 | 2.69 ± 1.23 | |||
| 31–40 | 22 | 2.66 ± 0.90 | |||
| 41–50 | 20 | 2.45 ± 0.83 | |||
| 51–60 | 25 | 2.73 ± 0.98 | |||
| 61+ | 20 | 2.38 ± 1.01 | |||
| Left | 18–20 | 17 | 2.74 ± 1.26 | 0.693 | |
| 21–30 | 46 | 2.55 ± 1.15 | |||
| 31–40 | 22 | 2.78 ± 1.14 | |||
| 41–50 | 20 | 2.45 ± 1.01 | |||
| 51–60 | 25 | 2.72 ± 1.41 | |||
| 61+ | 20 | 2.25 ± 1.09 | |||
| MS | Right | 18–20 | 17 | 16.54 ± 7.35 | 0.184 |
| 21–30 | 46 | 15.49 ± 5.70 | |||
| 31–40 | 22 | 13.41 ± 7.12 | |||
| 41–50 | 20 | 14.50 ± 7.03 | |||
| 51–60 | 25 | 12.68 ± 6.39 | |||
| 61+ | 20 | 12.48 ± 4.21 | |||
| Left | 18–20 | 17 | 15.62 ± 6.11 | 0.156 | |
| 21–30 | 46 | 15.58 ± 5.47 | |||
| 31–40 | 22 | 12.67 ± 6.17 | |||
| 41–50 | 20 | 15.29 ± 6.35 | |||
| 51–60 | 25 | 13.08 ± 5.24 | |||
| 61+ | 20 | 13.18 ± 4.95 | |||
| Anatomical Structure | Malocclusion Class | Average Volume ± SD (cm3) | p Value | Pairwise Comparison | |
|---|---|---|---|---|---|
| INC | Right | Class I | 5.91 ± 1.46 | <0.0005 * | CI vs. CII p = 0.003 * |
| Class II | 4.95 ± 1.44 | CI vs. CIII p = 0.899 | |||
| Class III | 6.04 ± 1.45 | CII vs. CIII p = 0.001 * | |||
| Left | Class I | 6.03 ± 1.38 | <0.0005 * | CI vs. CII p < 0.0005 * | |
| Class II | 4.74 ± 1.62 | CI vs. CIII p = 0.370 | |||
| Class III | 6.46 ± 1.71 | CII vs. CIII p < 0.0005 * | |||
| MNC | Right | Class I | 3.01 ± 0.89 | <0.0005 * | CI vs. CII p < 0.0005 * |
| Class II | 1.99 ± 1.04 | CI vs. CIII p = 0.226 | |||
| Class III | 2.84 ± 0.84 | CII vs. CIII p < 0.0005 * | |||
| Left | Class I | 2.96 ± 1.08 | <0.0005 * | CI vs. CII p < 0.0005 * | |
| Class II | 1.73 ± 0.79 | CI vs. CIII p = 0.705 | |||
| Class III | 3.06 ± 1.14 | CII vs. CIII p < 0.0005 * | |||
| MS | Right | Class I | 14.31 ± 5.68 | 0.662 | - |
| Class II | 14.83 ± 5.58 | - | |||
| Class III | 13.77 ± 7.59 | - | |||
| Left | Class I | 14.62 ± 5.20 | 0.011 * | CI vs. CII p = 0.458 | |
| Class II | 15.95 ± 4.37 | CI vs. CIII p = 0.165 | |||
| Class III | 12.58 ± 6.9 | CII vs. CIII p = 0.008 * | |||
| Anatomical Structure | SNA Based Classification | Average Volume ± SD (cm3) | p Value | |
|---|---|---|---|---|
| INC | Right | Retrognathic | 5.78 ± 1.59 | 0.611 |
| Normal | 5.52 ± 1.59 | |||
| Prognathic | 5.53 ± 1.27 | |||
| Left | Retrognathic | 6.01 ± 1.78 | 0.260 | |
| Normal | 5.61 ± 1.85 | |||
| Prognathic | 5.46 ± 1.36 | |||
| MNC | Right | Retrognathic | 2.77 ± 1.09 | 0.224 |
| Normal | 2.44 ± 0.88 | |||
| Prognathic | 2.58 ± 1.10 | |||
| Left | Retrognathic | 2.72 ± 1.13 | 0.435 | |
| Normal | 2.53 ± 1.20 | |||
| Prognathic | 2.41 ± 1.20 | |||
| MS | Right | Retrognathic | 15.00 ± 6.22 | 0.119 |
| Normal | 12.89 ± 5.98 | |||
| Prognathic | 15.27 ± 6.78 | |||
| Left | Retrognathic | 14.93 ± 5.36 | 0.243 | |
| Normal | 13.33 ± 5.30 | |||
| Prognathic | 15.04 ± 6.82 | |||
| Right INC | Left INC | Right MNC | Left MNC | Right MS | Left MS | Age | ||
|---|---|---|---|---|---|---|---|---|
| Right INC | Pearson correlation | 1 | 0.573 * | 0.443 * | 0.271 * | 0.148 | 0.060 | −0.182 * |
| Sig. (2-tailed) | 0.000 * | 0.000 * | 0.001 * | 0.070 | 0.466 | 0.026 * | ||
| Left INC | Pearson correlation | 0.573 * | 1 | 0.389 * | 0.448 * | 0.132 | 0.045 | −0.199 * |
| Sig. (2-tailed) | 0.000 * | 0.000 * | 0.000 * | 0.107 | 0.587 | 0.015 * | ||
| Right MNC | Pearson correlation | 0.443 * | 0.389 * | 1 | 0.630 * | 0.135 | 0.053 | −0.068 |
| Sig. (2-tailed) | 0.000 * | 0.000 * | 0.000 * | 0.099 | 0.520 | 0.406 | ||
| Left MNC | Pearson correlation | 0.271 * | 0.448 * | 0.630 * | 1 | −0.009 | −0.020 | −0.058 |
| Sig. (2-tailed) | 0.001 * | 0.000 * | 0.000 * | 0.911 | 0.807 | 0.480 | ||
| Right MS | Pearson correlation | 0.148 | 0.132 | 0.135 | −0.009 | 1 | 0.620 * | −0.222 * |
| Sig. (2-tailed) | 0.070 | 0.107 | 0.099 | 0.911 | 0.000 * | 0.006 * | ||
| Left MS | Pearson correlation | 0.060 | 0.045 | 0.053 | −0.020 | 0.620 * | 1 | −0.179 * |
| Sig. (2-tailed) | 0.466 | 0.587 | 0.520 | 0.807 | 0.000 * | 0.029 * |
Disclaimer/Publisher’s Note: The statements, opinions and data contained in all publications are solely those of the individual author(s) and contributor(s) and not of MDPI and/or the editor(s). MDPI and/or the editor(s) disclaim responsibility for any injury to people or property resulting from any ideas, methods, instructions or products referred to in the content. |
© 2025 by the authors. Licensee MDPI, Basel, Switzerland. This article is an open access article distributed under the terms and conditions of the Creative Commons Attribution (CC BY) license (https://creativecommons.org/licenses/by/4.0/).
Share and Cite
Çerçi Öngün, B.; Tekdemir, İ.; Aksoy, S.; Akçay, N.İ.; Orhan, K. Volumetric Analysis of Maxillary Sinus and Nasal Conchae According to Skeletal Classes and Cranio-Maxillary Relation. Diagnostics 2025, 15, 2319. https://doi.org/10.3390/diagnostics15182319
Çerçi Öngün B, Tekdemir İ, Aksoy S, Akçay Nİ, Orhan K. Volumetric Analysis of Maxillary Sinus and Nasal Conchae According to Skeletal Classes and Cranio-Maxillary Relation. Diagnostics. 2025; 15(18):2319. https://doi.org/10.3390/diagnostics15182319
Chicago/Turabian StyleÇerçi Öngün, Berfu, İbrahim Tekdemir, Seçil Aksoy, Nimet İlke Akçay, and Kaan Orhan. 2025. "Volumetric Analysis of Maxillary Sinus and Nasal Conchae According to Skeletal Classes and Cranio-Maxillary Relation" Diagnostics 15, no. 18: 2319. https://doi.org/10.3390/diagnostics15182319
APA StyleÇerçi Öngün, B., Tekdemir, İ., Aksoy, S., Akçay, N. İ., & Orhan, K. (2025). Volumetric Analysis of Maxillary Sinus and Nasal Conchae According to Skeletal Classes and Cranio-Maxillary Relation. Diagnostics, 15(18), 2319. https://doi.org/10.3390/diagnostics15182319

