Sign in to use this feature.

Years

Between: -

Subjects

remove_circle_outline
remove_circle_outline
remove_circle_outline
remove_circle_outline
remove_circle_outline
remove_circle_outline
remove_circle_outline
remove_circle_outline
remove_circle_outline

Journals

remove_circle_outline
remove_circle_outline
remove_circle_outline
remove_circle_outline
remove_circle_outline

Article Types

Countries / Regions

remove_circle_outline
remove_circle_outline
remove_circle_outline

Search Results (243)

Search Parameters:
Keywords = lower bounded variables

Order results
Result details
Results per page
Select all
Export citation of selected articles as:
16 pages, 2780 KB  
Article
Multi-Class Malocclusion Detection on Standardized Intraoral Photographs Using YOLOv11
by Ani Nebiaj, Markus Mühling, Bernd Freisleben and Babak Sayahpour
Dent. J. 2026, 14(1), 60; https://doi.org/10.3390/dj14010060 - 16 Jan 2026
Abstract
Background/Objectives: Accurate identification of dental malocclusions from routine clinical photographs can be time-consuming and subject to interobserver variability. A YOLOv11-based deep learning approach is presented and evaluated for automatic malocclusion detection on routine intraoral photographs, testing the hypothesis that training on a structured [...] Read more.
Background/Objectives: Accurate identification of dental malocclusions from routine clinical photographs can be time-consuming and subject to interobserver variability. A YOLOv11-based deep learning approach is presented and evaluated for automatic malocclusion detection on routine intraoral photographs, testing the hypothesis that training on a structured annotation protocol enables reliable detection of multiple clinically relevant malocclusions. Methods: An anonymized dataset of 5854 intraoral photographs (frontal occlusion; right/left buccal; maxillary/mandibular occlusal) was labeled according to standardized instructions derived from the Index of Orthodontic Treatment Need (IOTN) A total of 17 clinically relevant classes were annotated with bounding boxes. Due to an insufficient number of examples, two malocclusions (transposition and non-occlusion) were excluded from our quantitative analysis. A YOLOv11 model was trained with augmented data and evaluated on a held-out test set using mean average precision at IoU 0.5 (mAP50), macro precision (macro-P), and macro recall (macro-R). Results: Across 15 analyzed classes, the model achieved 87.8% mAP50, 76.9% macro-P, and 86.1% macro-R. The highest per-class AP50 was observed for Deep bite (98.8%), Diastema (97.9%), Angle Class II canine (97.5%), Anterior open bite (92.8%), Midline shift (91.8%), Angle Class II molar (91.1%), Spacing (91%), and Crowding (90.1%). Moderate performance included Anterior crossbite (88.3%), Angle Class III molar (87.4%), Head bite (82.7%), and Posterior open bite (80.2%). Lower values were seen for Angle Class III canine (76%), Posterior crossbite (75.6%), and Big overjet (75.3%). Precision–recall trends indicate earlier precision drop-off for posterior/transverse classes and comparatively more missed detections in Posterior crossbite, whereas Big overjet exhibited more false positives at the chosen threshold. Conclusion: A YOLOv11-based deep learning system can accurately detect several clinically salient malocclusions on routine intraoral photographs, supporting efficient screening and standardized documentation. Performance gaps align with limited examples and visualization constraints in posterior regions. Larger, multi-center datasets, protocol standardization, quantitative metrics, and multimodal inputs may further improve robustness. Full article
(This article belongs to the Special Issue Artificial Intelligence in Oral Rehabilitation)
Show Figures

Graphical abstract

17 pages, 1875 KB  
Article
Impact of Blasting Scenarios for In-Pit Ramp Construction on the Fumes Emission
by Michał Dudek, Michał Dworzak and Andrzej Biessikirski
Sustainability 2026, 18(2), 633; https://doi.org/10.3390/su18020633 - 8 Jan 2026
Viewed by 123
Abstract
Blasting operations associated with in-pit ramp construction in open-pit mines generate gaseous emissions originating from both explosive detonation and diesel-powered drilling and loading equipment. The research object of this study is the ramp construction process in an operating open-pit quarry, and the objective [...] Read more.
Blasting operations associated with in-pit ramp construction in open-pit mines generate gaseous emissions originating from both explosive detonation and diesel-powered drilling and loading equipment. The research object of this study is the ramp construction process in an operating open-pit quarry, and the objective is to comparatively evaluate gaseous emissions across alternative blasting scenarios to support emission-aware operational decision-making. Five realistic blasting scenarios are assessed using a combined methodology that integrates laboratory fume index data for ANFO, emulsion explosives, and dynamite with diesel-emission estimates derived from non-road mobile machinery inventory factors. Laboratory detonation tests provide standardized upper-bound emission potentials for COx and NOx, while drilling and loading emissions are quantified using a fuel-based inventory approach. The results show that the dominant contribution to total mass emissions arises from diesel combustion during drilling and loading, consistent with studies on real-world non-road mobile machinery inventory factors. Detonation fumes, although chemically concentrated and relevant for short-term exposure risk, represent a smaller share of the mass-based emission budget. Among the explosive types, bulk emulsions consistently exhibit lower toxic-gas emission indices than ANFO, attributable to their more uniform microstructure and a moderated reaction temperature. Dynamite demonstrates the lowest fume potential but is operationally less scalable for large open-pit patterns due to manual loading. Uncertainty analysis indicates that both laboratory-derived fume indices and diesel emission factors introduce systematic variability: laboratory tests tend to overestimate detonation fumes, while inventory-based diesel estimates may underestimate real-world NOx and particulate emissions. Notwithstanding these limitations, the scenario-based framework developed here provides a robust basis for comparative evaluation of blasting strategies during ramp construction. The findings support increased use of emulsion explosives and emphasize the importance of moisture management, field-integrated gas monitoring, and improved characterization of diesel-equipment duty cycles. Full article
(This article belongs to the Special Issue Advanced Materials and Technologies for Environmental Sustainability)
Show Figures

Figure 1

30 pages, 2256 KB  
Review
Brazil’s Biogas–Biomethane Production Potential: A Techno-Economic Inventory and Strategic Decarbonization Outlook
by Daniel Ignacio Travieso Fernández, Christian Jeremi Coronado Rodriguez, Einara Blanco Machín, Daniel Travieso Pedroso and João Andrade de Carvalho Júnior
Biomass 2026, 6(1), 4; https://doi.org/10.3390/biomass6010004 - 7 Jan 2026
Viewed by 332
Abstract
Brazil possesses a large bioenergy resource, embedded in agro-industrial, livestock, and urban residues; this study quantifies its technical magnitude and associated energy value. An assessment was conducted by substrate, combining official statistics with literature-based yields and recovery factors. Biogas volumes were converted into [...] Read more.
Brazil possesses a large bioenergy resource, embedded in agro-industrial, livestock, and urban residues; this study quantifies its technical magnitude and associated energy value. An assessment was conducted by substrate, combining official statistics with literature-based yields and recovery factors. Biogas volumes were converted into biomethane using representative upgrading efficiencies, and thermal and electrical equivalents were derived from standard lower heating values and conversion efficiencies. Uncertainty bounds reflect the variability of feedstock yields and process performance. The national technical potential is estimated at roughly 80–85 billion Nm3/year of biogas, corresponding to ~43–45 billion Nm3/year of biomethane and around 168–174 TWh/year of electricity. Contributions are led by the sugar–energy complex (~one-third), followed by livestock and other agro-industrial residues (~one-third), while urban sanitation supplies ~8–10%. Potentials are concentrated in the Southeast, Center-West, and South, and current production represents only ~2–3% of the assessed potential. The findings indicate that realizing this potential requires targeted measure standardization for grid injection, support for pretreatment and co-digestion, access to credit, and alignment with instruments such as RenovaBio and “Metano Zero” to unlock significant methane-mitigation, air-quality, and decentralized energy-security benefits. Full article
Show Figures

Figure 1

21 pages, 10841 KB  
Article
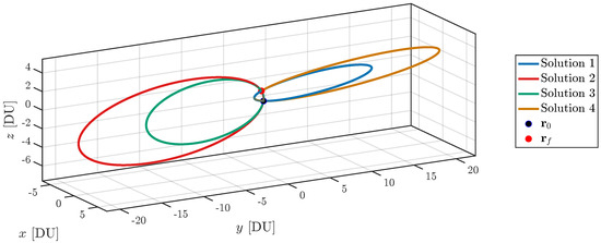
An Effective Multi-Revolution Lambert Solver Based on Elementary Calculus
by Mauro Pontani, Giulio De Angelis and Edoardo Maria Leonardi
Dynamics 2026, 6(1), 3; https://doi.org/10.3390/dynamics6010003 - 5 Jan 2026
Viewed by 355
Abstract
Multi-revolution Lambert solvers are intended to find the elliptic transfer orbits that are traveled multiple times and connect two specified positions in prescribed time, under the assumption of considering natural (Keplerian) orbital motion in the presence of a single attracting body. This study [...] Read more.
Multi-revolution Lambert solvers are intended to find the elliptic transfer orbits that are traveled multiple times and connect two specified positions in prescribed time, under the assumption of considering natural (Keplerian) orbital motion in the presence of a single attracting body. This study proposes and tests a new, effective multi-revolution Lambert solver that employs the initial true anomaly, which identifies the initial position along the transfer ellipse, as the unknown variable. The related search interval is identified through closed-form expressions for upper and lower bounds. A simple numerical algorithm is developed and employed over the entire search interval to detect all Lambert solutions. The new multi-revolution solver proposed in this work is simple to understand and easy to implement and is successfully tested in several challenging scenarios (corresponding to some pathological cases reported in the recent scientific literature), as well as for the study of Earth–Mars interplanetary transfers. Comparison with alternative, up-to-date techniques points out that the new approach at hand is able to detect all the feasible transfer ellipses, in all cases, with very satisfactory accuracy in terms of final position error, even in challenging scenarios that include a huge number of revolutions or near-antipodal terminal positions. Full article
Show Figures

Figure 1

32 pages, 4948 KB  
Article
Closed-Form Design Quantiles Under Skewness and Kurtosis: A Hermite Approach to Structural Reliability
by Zdeněk Kala
Mathematics 2026, 14(1), 70; https://doi.org/10.3390/math14010070 - 24 Dec 2025
Viewed by 450
Abstract
A Hermite-based framework for reliability assessment within the limit state method is developed in this paper. Closed-form design quantiles under a four-moment Hermite density are derived by inserting the Gaussian design quantile into a calibrated cubic translation. Admissibility and implementation criteria are established, [...] Read more.
A Hermite-based framework for reliability assessment within the limit state method is developed in this paper. Closed-form design quantiles under a four-moment Hermite density are derived by inserting the Gaussian design quantile into a calibrated cubic translation. Admissibility and implementation criteria are established, including a monotonicity bound, a positivity condition for the platykurtic branch, and a balanced Jacobian condition for the leptokurtic branch. Material data for the yield strength and ductility of structural steel are fitted using moment-matched Hermite models and validated through goodness-of-fit tests. A truss structure is subsequently analysed to quantify how non-Gaussian input geometry influences structural resistance and its associated design value. Variance-based Sobol sensitivity analysis shows that departures of the radius distribution toward negative skewness and higher kurtosis increase the first-order contribution of geometric variables and thicken the lower tail of the resistance distribution. The closed-form Hermite design resistances agree closely with numerical integration results and reveal systematic deviations from FORM estimates, which depend solely on the mean and standard deviation. Monte Carlo simulations confirm these trends and highlight the slow convergence of tail quantiles and higher-order moments. The proposed approach remains fully compatible in the Gaussian limit and offers a practical complement to EN 1990 verification procedures when skewness and kurtosis have a significant influence on design quantiles. Full article
Show Figures

Figure 1

28 pages, 5859 KB  
Article
Adaptive Gain Twisting Sliding Mode Controller Design for Flexible Manipulator Joints with Variable Stiffness
by Shijie Zhang, Tianle Yang, Hui Zhang and Jilong Wang
Actuators 2026, 15(1), 7; https://doi.org/10.3390/act15010007 - 22 Dec 2025
Viewed by 298
Abstract
This paper proposes an adaptive gain twisting sliding-mode control (AGTSMC) strategy for trapezoidal variable-stiffness joints (TVSJs) to achieve accurate trajectory tracking under both matched and mismatched uncertainties. The TVSJ employs a compact trapezoidal leaf spring with grooved bearing followers (GBFs), enabling wide-range stiffness [...] Read more.
This paper proposes an adaptive gain twisting sliding-mode control (AGTSMC) strategy for trapezoidal variable-stiffness joints (TVSJs) to achieve accurate trajectory tracking under both matched and mismatched uncertainties. The TVSJ employs a compact trapezoidal leaf spring with grooved bearing followers (GBFs), enabling wide-range stiffness modulation through low-friction rolling contact. To address the strong nonlinearities and unmodeled dynamics introduced by stiffness variation, a Lyapunov-based adaptive twisting controller is developed, where the gains are automatically adjusted without conservative overestimation. A second-order sliding-mode differentiator is integrated to estimate velocity and disturbance terms in finite time using only position measurements, effectively reducing chattering. The proposed controller guarantees finite-time stability of the closed-loop system despite bounded uncertainties and measurement noise. Extensive simulations and hardware-in-the-loop experiments on a TVSJ platform validate the method. Compared with conventional sliding mode controller (CSMC), terminal sliding mode controller (TSMC), and fixed-gain twisting control (TC), the AGTSMC achieves faster convergence, lower steady-state error, and improved vibration suppression across low, high, and variable stiffness modes. Experimental results confirm that the proposed approach enhances tracking accuracy and energy efficiency while maintaining robustness under large stiffness variations. Full article
(This article belongs to the Section Actuators for Robotics)
Show Figures

Figure 1

16 pages, 3166 KB  
Article
Prophet-Based Artificial Intelligence Versus Seasonal Auto-Regressive Models for Flood Forecasting with Exogenous Variables
by Adya Aiswarya Dash and Edward McBean
Water 2025, 17(24), 3551; https://doi.org/10.3390/w17243551 - 15 Dec 2025
Viewed by 397
Abstract
Accurate stream flow forecasting is essential for flood risk management and preparedness. This study compares two forecasting approaches: (a) the Seasonal Auto-Regressive Integrated Moving Average with Exogenous Regressors (SARIMAX), a classical statistical model, and (b) Prophet, a decomposable time-series forecasting model that incorporates [...] Read more.
Accurate stream flow forecasting is essential for flood risk management and preparedness. This study compares two forecasting approaches: (a) the Seasonal Auto-Regressive Integrated Moving Average with Exogenous Regressors (SARIMAX), a classical statistical model, and (b) Prophet, a decomposable time-series forecasting model that incorporates seasonality and exogenous predictors. Forecasts were generated for 15-day and 3-day horizons and evaluated using uncertainty bounds, Mean Absolute Error (MAE), Root Mean Square Error (RMSE), and the coefficient of determination (R2). Results indicate that SARIMAX was less effective at capturing the observed variability, producing wide uncertainty (177.7%) and high errors (MAE = 153.73; RMSE = 207.10) with a negative R2 (–4.42). At shorter horizons, its performance remained limited (uncertainty = 28.04%; MAE = 61.52; RMSE = 94.88; R2 = –0.14). In contrast, Prophet achieved significantly lower uncertainty (16%), high accuracy (R2 = 0.95), and exceptional performance on short-term forecasts (R2 = 0.99). Conventional procedures such as SARIMAX have long been relied upon by engineers for their interpretability, and remain important as part of a strategy; however, they fail to represent nonlinear dynamics and exogenous influences now captured effectively by AI-based models. These findings highlight Prophet’s superiority across horizons and its promise for enhancing operational flood forecasting through its ability to effectively capture non-linear dynamics and exogenous influences. Full article
(This article belongs to the Special Issue "Watershed–Urban" Flooding and Waterlogging Disasters)
Show Figures

Figure 1

15 pages, 486 KB  
Article
Tight Bounds for Joint Distribution Functions of Order Statistics Under k-Independence
by Andrzej Okolewski and Barbara Blazejczyk-Okolewska
Entropy 2025, 27(12), 1250; https://doi.org/10.3390/e27121250 - 11 Dec 2025
Viewed by 323
Abstract
The present study investigates the problem of determining sharp bounds for key reliability and distributional characteristics associated with order statistics. We establish pointwise sharp two-sided bounds for linear combinations of joint distribution functions and joint reliability functions of selected order statistics based on [...] Read more.
The present study investigates the problem of determining sharp bounds for key reliability and distributional characteristics associated with order statistics. We establish pointwise sharp two-sided bounds for linear combinations of joint distribution functions and joint reliability functions of selected order statistics based on k-independent and identically distributed random variables. The proposed framework is general and also applies to arbitrarily dependent observations. The obtained results provide exact bounds for the expected values of functions of order statistics corresponding to finite-valued random variables. Furthermore, the study yields the best possible upper and lower bounds for the joint reliability function of semicoherent systems with shared exchangeable k-independent components. Full article
(This article belongs to the Special Issue Statistical Inference: Theory and Methods)
Show Figures

Figure 1

34 pages, 7587 KB  
Article
A Symmetric Analysis of COVID-19 Transmission Using a Fuzzy Fractional SEIRi–UiHR Model
by Ragavan Murugasan, Veeramani Chinnadurai, Carlos Martin-Barreiro and Prasantha Bharathi Dhandapani
Symmetry 2025, 17(12), 2128; https://doi.org/10.3390/sym17122128 - 10 Dec 2025
Viewed by 279
Abstract
In this research article, we propose a fuzzy fractional-order SEIRiUiHR model to describe the transmission dynamics of COVID-19, comprising susceptible, exposed, infected, reported, unreported, hospitalized, and recovered compartments. The uncertainty in initial conditions is represented using fuzzy numbers, [...] Read more.
In this research article, we propose a fuzzy fractional-order SEIRiUiHR model to describe the transmission dynamics of COVID-19, comprising susceptible, exposed, infected, reported, unreported, hospitalized, and recovered compartments. The uncertainty in initial conditions is represented using fuzzy numbers, and the fuzzy Laplace transform combined with the Adomian decomposition method is employed to solve nonlinear differential equations and also to derive approximate analytical series of solutions. In addition to fuzzy lower and upper bound solutions, a model is introduced to provide a representative trajectory under uncertainty. A key feature of the proposed model is its inherent symmetry in compartmental transitions and structural formulation, which show the difference in reported and unreported cases. Numerical experiments are conducted to compare fuzzy and normal (non-fuzzy) solutions, supported by 3D visualizations. The results reveal the influence of fractional-order and fuzzy parameters on epidemic progression, demonstrating the model’s capability to capture realistic variability and to provide a flexible framework for analyzing infectious disease dynamics. Full article
(This article belongs to the Section Mathematics)
Show Figures

Figure 1

25 pages, 1703 KB  
Article
Design and Optimization Method for Scaled Equivalent Model of T-Tail Configuration Structural Dynamics Simulating Fuselage Stiffness
by Zheng Chen, Xinyu Ai, Weizhe Feng, Rui Yang and Wei Qian
Aerospace 2025, 12(12), 1063; https://doi.org/10.3390/aerospace12121063 - 30 Nov 2025
Cited by 1 | Viewed by 346
Abstract
The T-tail configuration, while offering advantages for large transport aircraft, is susceptible to peculiar aerodynamic phenomena such as deep stall and flutter, necessitating high-fidelity dynamic scaling for wind tunnel testing. In order to address the issue of similarity in the dynamic characteristics of [...] Read more.
The T-tail configuration, while offering advantages for large transport aircraft, is susceptible to peculiar aerodynamic phenomena such as deep stall and flutter, necessitating high-fidelity dynamic scaling for wind tunnel testing. In order to address the issue of similarity in the dynamic characteristics of scaled T-tail models, we propose a comprehensive optimization design method for dynamic scaled equivalent models of T-tail structures with rear fuselages. The development of an elastic-scaled model is accomplished through the integration of the least squares method with a genetic sensitivity hybrid algorithm. In this framework, the objective function is defined as minimizing a weighted sum of the frequency errors and the modal shape discrepancies (1 Modal Assurance Criterion) for the first five modes, subject to lower and upper bound constraints on the design variables (e.g., beam cross-sectional dimensions). The findings indicate that the application of finite element modelling in conjunction with multi-objective optimization results in the scaled model that closely aligns with the dynamic characteristics of the actual aircraft structure. Specifically, the frequency error of the optimized model is maintained below 2%, while the modal confidence level exceeds 95%. A ground vibration test (GVT) was conducted on a fabricated scaled model, with all frequency errors below 3%, successfully validating the optimization approach. This GVT-validated high-fidelity model establishes a reliable foundation for subsequent wind tunnel tests, such as flutter and buffet experiments, the results of which are vital for validating the full-scale aircraft’s aeroelastic model and informing critical flight safety assessments. The T-tail elastic model design methodology presented in this study serves as a valuable reference for the analysis of T-tail characteristics and the design of wind tunnel models. Furthermore, it provides insights applicable to multidisciplinary optimisation and the design of wind tunnel models for other similar elastic scaled-down configurations. Full article
Show Figures

Figure 1

13 pages, 603 KB  
Article
Optimal Solutions of Economic Lot Scheduling Problem with Energy and Power Costs
by Waldemar Kaczmarczyk
Energies 2025, 18(23), 6234; https://doi.org/10.3390/en18236234 - 27 Nov 2025
Viewed by 230
Abstract
This paper proposes a new planning method for a cyclic production of many different products with steady demand and variable production rates, which minimises energy consumption while reducing and equalising power demand. The problem is modelled as the Economic Lot Scheduling Problem ( [...] Read more.
This paper proposes a new planning method for a cyclic production of many different products with steady demand and variable production rates, which minimises energy consumption while reducing and equalising power demand. The problem is modelled as the Economic Lot Scheduling Problem (elsp), with a common production cycle for all products. This paper shows that the problem can be optimally solved by a general-purpose mathematical programming solver in a short time by reformulating the general non-linear model into a Mixed-Integer Quadratically Constrained Programming (miqcp) model. This way, there is no need to develop a specialised algorithm, which requires a high level of expertise and is very labour-intensive. The proposed approach is also the only method that allows finding optimal solutions for the general case of the common-cycle elsp with variable production rates. For a problem instance known from the literature, the optimal solution ensured a reduction in the power demand cost by 10.7%, and in the total cost by 3.3%. Moreover, experiments proved that production rate lower bounds are critical for the choice of solution. Full article
Show Figures

Figure 1

27 pages, 4075 KB  
Article
Greenhouse Climate Control at the Food–Water–Energy Nexus: An Analytic Hierarchy Process–Model Predictive Control (AHP–MPC) Approach
by Hamza Benzzine, Hicham Labrim, Ibtissam El Aouni, Abderrahim Bajit, Aouatif Saad, Driss Zejli and Rachid El Bouayadi
Energies 2025, 18(23), 6219; https://doi.org/10.3390/en18236219 - 27 Nov 2025
Viewed by 594
Abstract
The authors frame greenhouse operation as a Controlled Environment Agriculture (CEA) challenge involving multiple interdependent targets: air temperature and humidity, CO2 enrichment, photoperiod-constrained lighting, and irrigation under dynamic and limited energy availability. We propose a knowledge-driven, multi-objective Model Predictive Controller whose cost [...] Read more.
The authors frame greenhouse operation as a Controlled Environment Agriculture (CEA) challenge involving multiple interdependent targets: air temperature and humidity, CO2 enrichment, photoperiod-constrained lighting, and irrigation under dynamic and limited energy availability. We propose a knowledge-driven, multi-objective Model Predictive Controller whose cost function integrates expert priorities elicited via an online Analytic Hierarchy Process (AHP) survey; these AHP-derived weights parameterize the controller’s objectives and are solved over two 72 h seasonal episodes, so the MPC can anticipate renewable availability and coordinate HVAC, (de)humidification, CO2 dosing, LED lighting, and irrigation alongside dispatch from photovoltaic and wind sources, battery storage, and the grid. By embedding the physical interdependence of climate variables directly into the decision layer, the controller schedules energy-intensive actions around renewable peaks and avoids counterproductive actuator conflicts. Seasonal case studies (summer/high solar and winter/low solar) demonstrate robust performance: temperature tracking errors of SMAPE 2.25%/3.05% and CO2 SMAPE 3.72–3.92%; humidity control with SMAPE 7.04–8.56%; lighting and irrigation following setpoints with low NRMSE (0.08–0.14). Summer energy was 59% renewable; winter was only 13%, increasing grid reliance to 77.5% (peaks: 4.57 kW/6.92 kW for 197.7/181.5 kWh). Under water or energy scarcity, the controller degrades gracefully, protecting high-priority agronomic variables while allowing bounded relaxation on lower-priority targets. This expert-informed, predictive, and resource-aware orchestration offers a scalable route to precision greenhouse control within the food–water–energy nexus. Full article
Show Figures

Figure 1

21 pages, 991 KB  
Article
Hybrid Cramér-Rao Bound for Quantum Bayes Point Estimation with Nuisance Parameters
by Jianchao Zhang and Jun Suzuki
Entropy 2025, 27(12), 1184; https://doi.org/10.3390/e27121184 - 21 Nov 2025
Viewed by 537
Abstract
We develop a hybrid framework for quantum parameter estimation in the presence of nuisance parameters. In this scheme, the parameters of interest are treated as fixed non-random parameters while nuisance parameters are integrated out with respect to a prior (random parameters). Within this [...] Read more.
We develop a hybrid framework for quantum parameter estimation in the presence of nuisance parameters. In this scheme, the parameters of interest are treated as fixed non-random parameters while nuisance parameters are integrated out with respect to a prior (random parameters). Within this setting, we introduce the hybrid partial quantum Fisher information matrix (hpQFIM), defined by prior-averaging the nuisance block of the QFIM and taking a Schur complement, and derive a corresponding Cramér–Rao-type lower bound on the hybrid risk. We establish the structural properties of the hpQFIM, including inequalities that bracket it between computationally tractable approximations, as well as limiting behaviors under extreme priors. Operationally, the hybrid approach improves over pure point estimation since the optimal measurement for the parameters of interest depends only on the prior distribution of the nuisance, rather than on its unknown value. We illustrate the framework with analytically solvable qubit models and numerical examples, clarifying how partial prior information on nuisance variables can be systematically exploited in quantum metrology. Full article
(This article belongs to the Special Issue Quantum Measurements and Quantum Metrology)
Show Figures

Figure 1

19 pages, 1287 KB  
Article
Preview Control of a Semi-Active Suspension System Supplemented by an Active Aerodynamic Surface
by Syed Babar Abbas and Iljoong Youn
Sensors 2025, 25(22), 6922; https://doi.org/10.3390/s25226922 - 12 Nov 2025
Viewed by 1086
Abstract
This research presents a harmonized optimal preview control strategy for a semi-active suspension system (SASS) with a controlled damper varied between the upper and lower bounds of the damping coefficient and an active aerodynamic surface (AAS) control. The preview control algorithm is based [...] Read more.
This research presents a harmonized optimal preview control strategy for a semi-active suspension system (SASS) with a controlled damper varied between the upper and lower bounds of the damping coefficient and an active aerodynamic surface (AAS) control. The preview control algorithm is based on a simplified bilinear 2-DOF quarter-car model to address the tradeoff between passenger ride comfort and road holding capabilities. While the active suspension with the actuator requires a significant amount of energy to provide control force, the semi-active suspension system with a variable damping coefficient mechanism consumes minimal energy to adapt quickly to the real-time operating conditions. Moreover, the dynamic performance of semi-active suspension with the preview controller in conjunction with the active aerodynamic surface is significantly improved. MATLAB® (R2025b)-based numerical simulations for different road excitations were carried out for the evaluation of the proposed system. Both time-domain and frequency-domain results demonstrate enhanced vehicle dynamic performances in response to road bumps, asphalt road excitations, and harmonic input signals. The simulation performance results indicate that the proposed system extraordinarily reduced the variation in the mean-squared value of the car body vertical acceleration. At the same time, the system enhanced the wheel-road holding metric by decreasing the variation in the gripping force on the ground surface, while maintaining the necessary suspension rattle space constraints within the prescribed limit. Full article
(This article belongs to the Section Vehicular Sensing)
Show Figures

Figure 1

10 pages, 302 KB  
Communication
Fractional Probit with Cross-Sectional Volatility: Bridging Heteroskedastic Probit and Fractional Response Models
by Songsak Sriboonchitta, Aree Wiboonpongse, Jittaporn Sriboonjit and Woraphon Yamaka
Econometrics 2025, 13(4), 43; https://doi.org/10.3390/econometrics13040043 - 3 Nov 2025
Viewed by 719
Abstract
This paper introduces a new econometric framework for modeling fractional outcomes bounded between zero and one. We propose the Fractional Probit with Cross-Sectional Volatility (FPCV), which specifies the conditional mean through a probit link and allows the conditional variance to depend on observable [...] Read more.
This paper introduces a new econometric framework for modeling fractional outcomes bounded between zero and one. We propose the Fractional Probit with Cross-Sectional Volatility (FPCV), which specifies the conditional mean through a probit link and allows the conditional variance to depend on observable heterogeneity. The model extends heteroskedastic probit methods to fractional responses and unifies them with existing approaches for proportions. Monte Carlo simulations demonstrate that the FPCV estimator achieves lower bias, more reliable inference, and superior predictive accuracy compared with standard alternatives. The framework is particularly suited to empirical settings where fractional outcomes display systematic variability across units, such as participation rates, market shares, health indices, financial ratios, and vote shares. By modeling both mean and variance, FPCV provides interpretable measures of volatility and offers a robust tool for empirical analysis and policy evaluation. Full article
Show Figures

Figure 1

Back to TopTop