Sign in to use this feature.

Years

Between: -

Subjects

remove_circle_outline
remove_circle_outline
remove_circle_outline
remove_circle_outline
remove_circle_outline
remove_circle_outline
remove_circle_outline
remove_circle_outline
remove_circle_outline

Journals

Article Types

Countries / Regions

Search Results (111)

Search Parameters:
Keywords = locust control

Order results
Result details
Results per page
Select all
Export citation of selected articles as:
21 pages, 7755 KB  
Article
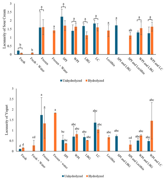
Protein and Polysaccharide Complexes for Alleviating Freeze-Induced Damage in Sour Cream and Yogurt
by Ripley Vaughan, Vermont Dia, Elizabeth Eckelkamp and Tong Wang
Foods 2025, 14(24), 4193; https://doi.org/10.3390/foods14244193 - 6 Dec 2025
Viewed by 210
Abstract
There has been little research on freezing-induced damage in high-moisture dairy products, specifically sour cream and yogurt. This work aimed to investigate, as a proof-of-concept, if antifreeze additives may prevent quality decrease in high-moisture dairy products due to freeze-induced damage. Whey protein isolate [...] Read more.
There has been little research on freezing-induced damage in high-moisture dairy products, specifically sour cream and yogurt. This work aimed to investigate, as a proof-of-concept, if antifreeze additives may prevent quality decrease in high-moisture dairy products due to freeze-induced damage. Whey protein isolate and soy protein isolate were complexed with locust bean gum and lambda carrageenan, in both unhydrolyzed and hydrolyzed forms, and their antifreeze activity was evaluated in a model system as well as in sour cream and yogurt. The biomolecules were also tested individually as controls to determine any synergistic effects. Protein and polysaccharide complexes were found to have ice recrystallization inhibition activity in the model systems by reducing the ice crystal size significantly (35–64%) compared to the negative control at both pH 4.5 and 7.0. However, the complexes failed to prevent freeze-induced damage in the dairy system and all treatments resulted in decreased firmness, cohesiveness, and consistency along with increased graininess, possibly due to the complex interacting with different food components that may have interfered with the antifreeze activity of the tested compounds. Full article
(This article belongs to the Section Food Physics and (Bio)Chemistry)
Show Figures

Figure 1

17 pages, 3748 KB  
Article
Shedding Light on Carob Seeds: A Non-Destructive Approach to Assess Dehusking Efficiency Using Diffuse Reflectance Spectroscopy and Kubelka–Munk Theory
by Rui Guerra, António Brázio, Sandra Gonçalves, Anabela Romano and Bruno Medronho
Polysaccharides 2025, 6(4), 95; https://doi.org/10.3390/polysaccharides6040095 - 20 Oct 2025
Viewed by 725
Abstract
The carob tree (Ceratonia siliqua L.) is receiving growing attention for its agro-industrial potential, particularly due to its seeds, which are the source of locust bean gum (LBG), a galactomannan-rich polysaccharide with wide applications in food and pharmaceutical industries. Efficient dehusking of [...] Read more.
The carob tree (Ceratonia siliqua L.) is receiving growing attention for its agro-industrial potential, particularly due to its seeds, which are the source of locust bean gum (LBG), a galactomannan-rich polysaccharide with wide applications in food and pharmaceutical industries. Efficient dehusking of carob seeds is critical to maximize LBG purity and yield, yet current industrial methods pose environmental concerns and lack robust quality control tools. In this study, we demonstrate the use of Diffuse Reflectance Spectroscopy (DRS) and Kubelka–Munk (KM) modeling as a rapid, non-destructive technique to assess dehusking efficiency. By combining spectral data from four complementary spectrometers (450–1800 nm), we identified key reflectance and absorbance features capable of distinguishing raw, industrially treated, and laboratory-dehusked seeds. Notably, our laboratory-treated seeds exhibited a considerably lower reflectance in the NIR plateau (800–1400 nm) compared to raw and industry-treated seeds, and their KM-reconstructed skin showed enhanced absorption bands at 960, 1200, and 1400 nm, consistent with more complete husk removal and improved light penetration. Principal Component Analysis revealed tighter clustering and lower variability in lab-processed seeds, indicating superior process reproducibility. These results establish DRS as a scalable, green analytical tool to support quality control and optimization in carob processing. Full article
Show Figures

Figure 1

25 pages, 1428 KB  
Review
Beyond Binary: A Machine Learning Framework for Interpreting Organismal Behavior in Cancer Diagnostics
by Aya Hasan Alshammari, Monther F. Mahdi, Takaaki Hirotsu, Masayo Morishita, Hideyuki Hatakeyama and Eric di Luccio
Biomedicines 2025, 13(10), 2409; https://doi.org/10.3390/biomedicines13102409 - 30 Sep 2025
Viewed by 1699
Abstract
Organismal biosensing leverages the olfactory acuity of living systems to detect volatile organic compounds (VOCs) associated with cancer, offering a low-cost and non-invasive complement to conventional diagnostics. Early studies demonstrate its feasibility across diverse platforms. In C. elegans, chemotaxis assays on urine [...] Read more.
Organismal biosensing leverages the olfactory acuity of living systems to detect volatile organic compounds (VOCs) associated with cancer, offering a low-cost and non-invasive complement to conventional diagnostics. Early studies demonstrate its feasibility across diverse platforms. In C. elegans, chemotaxis assays on urine samples achieved sensitivities of 87–96% and specificities of 90–95% in case–control cohorts (n up to 242), while calcium imaging of AWC neurons distinguished breast cancer urine with ~97% accuracy in a small pilot cohort (n ≈ 40). Trained canines have identified prostate cancer from urine with sensitivities of ~71% and specificities of 70–76% (n ≈ 50), and AI-augmented canine breath platforms have reported accuracies of ~94–95% across ~1400 participants. Insects such as locusts and honeybees enable ultrafast neural decoding of VOCs, achieving 82–100% classification accuracy within 250 ms in pilot studies (n ≈ 20–30). Collectively, these platforms validate the principle that organismal behavior and neural activity encode cancer-related VOC signatures. However, limitations remain, including small cohorts, methodological heterogeneity, and reliance on binary outputs. This review proposes a Dual-Pathway Framework, where Pathway 1 leverages validated indices (e.g., the Chemotaxis Index) for high-throughput screening, and Pathway 2 applies machine learning to high-dimensional behavioral vectors for cancer subtyping, staging, and monitoring. By integrating these approaches, organismal biosensing could evolve from proof-of-concept assays into clinically scalable precision diagnostics. Full article
(This article belongs to the Special Issue Advanced Cancer Diagnosis and Treatment: Third Edition)
Show Figures

Figure 1

16 pages, 394 KB  
Review
From Surveillance to Sustainable Control: A Global Review of Strategies for Locust Management
by Christina Panopoulou and Antonios Tsagkarakis
Agronomy 2025, 15(10), 2268; https://doi.org/10.3390/agronomy15102268 - 25 Sep 2025
Cited by 1 | Viewed by 1583
Abstract
Locusts represent a persistent global agricultural pest, responsible for significant crop losses and socio-economic repercussions. The initiation of chemical control measures dates back to the late 19th century, with the use of poisoned baits, before advancing in the mid-20th century with the introduction [...] Read more.
Locusts represent a persistent global agricultural pest, responsible for significant crop losses and socio-economic repercussions. The initiation of chemical control measures dates back to the late 19th century, with the use of poisoned baits, before advancing in the mid-20th century with the introduction of organochlorines, such as dieldrin. Despite their efficacy, the associated environmental, ecological, and human health risks led to the prohibition of dieldrin by the United States and the FAO by 1988. The demand for insecticides with reduced persistence and toxicity prompted the establishment of international organizations to coordinate locust research and management. In recent decades, chemical control has transitioned towards compounds with diminished persistence and selective agents. Concurrently, research has progressed in the development of bioinsecticides, notably Metarhizium acridum, and has reinforced preventive strategies. Emerging technologies, including remote sensing and machine learning, have facilitated early monitoring and predictive modeling, thereby enhancing outbreak forecasting. These tools support proactive, targeted interventions and are consistent with Integrated Pest Management principles, promoting more sustainable and ecologically responsible locust control strategies. Full article
(This article belongs to the Special Issue Pests, Pesticides, Pollinators and Sustainable Farming)
14 pages, 1376 KB  
Article
Screening and Stability Analysis of Reference Genes in Pastor roseus
by Xixiu Sun, Ran Li, Xiaojie Wang, Hongxia Hu, Kun Yang, Jianguo Wu, Jun Lin, Rong Ji and Xiaofang Ye
Genes 2025, 16(9), 1056; https://doi.org/10.3390/genes16091056 - 9 Sep 2025
Viewed by 741
Abstract
Background/Objectives: Optimal reference genes for normalizing RT-qPCR data depend on the species, treatments, developmental stages, and other conditions. Pastor roseus is a long-distance migratory bird with potential applications in locust biological control. This study applied reverse transcription quantitative PCR (RT-qPCR) to evaluate the [...] Read more.
Background/Objectives: Optimal reference genes for normalizing RT-qPCR data depend on the species, treatments, developmental stages, and other conditions. Pastor roseus is a long-distance migratory bird with potential applications in locust biological control. This study applied reverse transcription quantitative PCR (RT-qPCR) to evaluate the expression stability of six genes (RPS2, ACTB, B2M, SDHA, UBE2G2, and RPL4) in blood samples from female, male, and nestling P. roseus. Methods: An integrated analysis of the expression stability of six reference genes was performed using three statistical algorithms: GeNorm, BestKeeper, and NormFinder. Results: The results showed that SDHA, ACTB, and B2M exhibited the highest expression stability among the candidate reference genes. The optimal number of reference genes was two, as determined by a pairwise variation analysis using GeNorm. Subsequent comprehensive validation using RefFinder identified SDHA/ACTB as the optimal reference gene pair for normalizing gene expression data for P. roseus. Conclusions: These findings establish a robust foundation for ensuring data accuracy in functional genomic studies of P. roseus. Full article
(This article belongs to the Special Issue Genetic Breeding of Poultry)
Show Figures

Graphical abstract

16 pages, 327 KB  
Review
Desert Locust Management Is Plagued by Human-Based Impediments
by Allan T. Showler and Michel Lecoq
Agronomy 2025, 15(9), 2102; https://doi.org/10.3390/agronomy15092102 - 30 Aug 2025
Cited by 1 | Viewed by 1270
Abstract
Technical aspects of desert locust (Schistocerca gregaria) management have markedly improved since the late 1980s. Examples include modernized electronic communication systems linking stakeholders, global positioning system precision for reporting and treatment of locust aggregations, ultra-low-volume insecticide formulations and application techniques that [...] Read more.
Technical aspects of desert locust (Schistocerca gregaria) management have markedly improved since the late 1980s. Examples include modernized electronic communication systems linking stakeholders, global positioning system precision for reporting and treatment of locust aggregations, ultra-low-volume insecticide formulations and application techniques that reduce both environmental impact and chemical use, and computerized integration of multidisciplinary data for monitoring and forecasting outbreaks, upsurges, and plagues. Despite the remote and rugged terrain where the species thrives, tools and vehicles for surveillance and control generally exist—although they are not always available when needed. As technical aspects of desert locust control continue to be surmounted, human-based factors remain substantial, underlying, multifaceted obstacles. Funding shortfalls are frequently cited but rarely analyzed in depth. This article focuses on these underlying human constraints, including rigid conceptual dogmas, diverse forms of insecurity, political interference, weak communication among stakeholders, decreasing donor interest, confusion between emergency response and development objectives, loss of institutional memory, inadequate staff training, and limited attention to dynamic, real-time developments. These human-based impediments are critical because they underlie systemic unpreparedness and hinder the transition toward more integrated, proactive, and sustainable locust management approaches. As such, they contribute to the onset, intensity, and prolonged duration of desert locust episodes. Full article
(This article belongs to the Special Issue Locust and Grasshopper Management: Challenges and Innovations)
Show Figures

Graphical abstract

21 pages, 2890 KB  
Article
Modulation of Biochemical Traits in Cold-Stored ‘Karaerik’ Grapes by Different Edible Coatings
by Nurhan Keskin, Sinem Karakus, Harlene Hatterman-Valenti, Ozkan Kaya, Seyda Cavusoglu, Onur Tekin, Birhan Kunter, Sıddık Keskin, Ahmet Çağlar Kaya and Birol Karadogan
Horticulturae 2025, 11(6), 672; https://doi.org/10.3390/horticulturae11060672 - 12 Jun 2025
Viewed by 827
Abstract
Understanding the effects of edible coatings on postharvest quality and shelf life of ‘Karaerik’ grapes is crucial for improving storage outcomes and reducing losses. However, limited information exists regarding the effectiveness of different coating materials on this regionally significant variety. In this study, [...] Read more.
Understanding the effects of edible coatings on postharvest quality and shelf life of ‘Karaerik’ grapes is crucial for improving storage outcomes and reducing losses. However, limited information exists regarding the effectiveness of different coating materials on this regionally significant variety. In this study, ‘Karaerik’ grapes were treated with carboxymethyl cellulose (CMC) and locust bean gum (KB) coatings and stored under cold conditions (0 ± 0.5 °C, 90–95% relative humidity) for 0, 25, 45, and 60 days. Storage duration and coating treatments significantly affected most physical, physiological, and biochemical parameters. During storage, grape weight loss progressively increased, reaching 9.60% in the control by day 60. Coatings slightly reduced this loss, with KB showing the lowest (5.11%) compared to the control (5.69%). Respiration initially declined but surged again at day 60, especially in the control (96.4 μmol CO2/kg·hour), while coatings helped mitigate this rise. Ethylene release remained unchanged. A slight pH decline (~4.6%) was observed in the control, while KB-treated grapes maintained higher pH and lower acidity. Soluble solids remained stable across treatments. Color changed notably during storage: a* nearly doubled (more redness), b* increased (less blue), and chroma (C*) declined by ~25%, especially in uncoated grapes. Total sugar dropped by ~43% in KB-treated grapes, with the control retaining the most. Tartaric acid decreased by ~55%, notably in KB samples. Antioxidant activity and total phenolics declined significantly (~66%) in the control. CMC coating better-preserved antioxidant capacity, while the control showed the highest phenolic levels overall. Ferulic, gallic, and chlorogenic acids increased toward the end of storage, particularly in coated grapes. In contrast, rutin and vanillic acid peaked mid-storage and were better preserved in the control. The heatmap showed significant metabolite changes in fruit samples across 0D, 25D, 45D, and 60D storage periods under CMC, CNT, and KB treatments, with distinct clustering patterns revealing treatment-specific biochemical responses. The correlation matrix revealed strong positive relationships (r > 0.70) between total sugar, glucose, and fructose levels, while ethylene showed significant negative correlations (−0.65 to −0.85) with maturity index, pH, and total soluble solids, indicating interconnected metabolic pathways during fruit ripening and storage. We conclude that edible coating selection significantly influences grape biochemical stability during cold storage, with CMC emerging as a superior choice for maintaining certain quality parameters. Full article
Show Figures

Figure 1

17 pages, 1210 KB  
Review
Analytical Methods for the Identification of Edible and Feed Insects: Focus on DNA-Based Techniques
by Kamila Zdeňková, Eliška Čermáková, Pavel Vejl, Agáta Čermáková and Jakub Vašek
Foods 2025, 14(11), 2002; https://doi.org/10.3390/foods14112002 - 5 Jun 2025
Cited by 1 | Viewed by 1806
Abstract
The utilization of insects as a source of essential nutrients holds considerable promise, with the potential to serve as both feed and food. Consequently, there is a necessity to develop control systems, as the undeclared addition of insects to food products and/or non-compliance [...] Read more.
The utilization of insects as a source of essential nutrients holds considerable promise, with the potential to serve as both feed and food. Consequently, there is a necessity to develop control systems, as the undeclared addition of insects to food products and/or non-compliance with labelling regulations may pose health risks and result in financial losses for consumers. This review describes methods for identifying and detecting insect species by targeting biomolecules such as DNA, proteins, saccharides, and metabolites, with a particular focus on DNA-based approaches. This review provides a detailed overview of the application of polymerase chain reaction (PCR) and DNA sequencing methods that are suitable for the analysis of edible and forage insects. The main focus is on identifying species that are approved for use as novel foods or insect feeds within the European Union (e.g., house cricket (Acheta domesticus), common mealworm (Tenebrio molitor), migratory locust (Locusta migratoria), lesser mealworm (Alphitobius diaperinus), black soldier fly (Hermetia illucens), banded cricket (Gryllodes sigillatus), field cricket (Gryllus assimilis), silkworm (Bombyx mori)). However, insect species of global relevance are also discussed. The suitability of DNA analysis methods for accurate species identification, detection of (un)labeled contaminants, and monitoring of genetic diversity has been demonstrated. Full article
(This article belongs to the Section Food Quality and Safety)
Show Figures

Figure 1

24 pages, 21066 KB  
Article
Attention-Based Target Detection–You Only Look Once: A Detection Model for Locusta migratoria ssp. manilensis in Complex Environments
by Peng Wang, Jiandong Fang, Xiuling Wang and Yudong Zhao
Agronomy 2025, 15(6), 1381; https://doi.org/10.3390/agronomy15061381 - 4 Jun 2025
Viewed by 1142
Abstract
Locusts have always been among the important hazards affecting crop growth and the grassland ecological environment. Accurate and timely detection of locusts is crucial for effective control of insect development. Aiming at the problem of false detection and missed detection caused by locust [...] Read more.
Locusts have always been among the important hazards affecting crop growth and the grassland ecological environment. Accurate and timely detection of locusts is crucial for effective control of insect development. Aiming at the problem of false detection and missed detection caused by locust occlusion and background similarity in complex field environments, this paper proposes a lightweight Attention-based Target Detection (ATD) model while constructing the dataset Real-Locust with the theme of Locusta migratoria ssp. manilensis. By introducing to attention mechanism and lightweight design, the model achieves a mean average precision (mAP) of 90.9% on the Real-Locust dataset, and the precision and recall rate are increased by 0.6% and 4.3%, respectively. At the same time, the number of parameters and computational complexity are reduced by 27.4% and 22.9%, showing that this provides an efficient solution for real-time monitoring of locusts. Full article
(This article belongs to the Section Precision and Digital Agriculture)
Show Figures

Figure 1

16 pages, 7103 KB  
Article
Sec61s and Sec62/Sec63 Genes Are Essential for Survival by Regulating the Gut and Cuticle Development in Locusta migratoria
by Xiaojian Liu, Mingzhu Ji and Jianzhen Zhang
Insects 2025, 16(6), 550; https://doi.org/10.3390/insects16060550 - 22 May 2025
Viewed by 1111
Abstract
In eukaryotes, a lot of proteins are transported across the endoplasmic reticulum by the heterotrimeric Sec61 channel. And post-translational transport needs another Sec62/Sec63 complex. However, functions of these genes are poorly explored in insects. In this study, we first identified five Sec genes, [...] Read more.
In eukaryotes, a lot of proteins are transported across the endoplasmic reticulum by the heterotrimeric Sec61 channel. And post-translational transport needs another Sec62/Sec63 complex. However, functions of these genes are poorly explored in insects. In this study, we first identified five Sec genes, named Sec61α, Sec61β, Sec61γ, Sec62 and Sec63, in Locusta migratoria. Quantitative reverse-transcription polymerase chain reaction (RT-qPCR) analysis showed that these five genes were expressed in muti-tissues, including wing pad, leg, foregut, midgut, gastric cecum, hindgut, and highly expressed in the integument. Knockdown of LmSec61α and LmSec61γ by RNA interference (RNAi) lead to the feeding cessation with a mortality rate of 100%. However, there is only 13.4% of dsLmSec61β-injected nymphs died before molting. All nymphs injected with dsLmSec61α and dsLmSec61γ died before molting with the gut atrophy. Furthermore, hematoxylin–eosin staining indicated that the cells of the midguts and gastric caecum were defective, and the microvilli and peritrophic matrix were destroyed seriously after silencing LmSec61α and LmSec61γ. Knockdown of LmSec62 and LmSec63 resulted in high mortality before and during molting. The hematoxylin–eosin (HE) staining and transmission electron microscopy (TEM) results showed that both the formation of the new cuticle and the degradation of the old cuticle were inhibited in dsLmSec63-injected insects compared to the controls. Especially, there was no obvious plaques on microvillar tips of the epidermal cells after silencing of LmSec63. These results revealed that Sec61s and Sec62/Sec63 genes are required in the gut and cuticle development of locusts. Therefore, these genes are potential targets for the control of locusts. Full article
(This article belongs to the Section Insect Molecular Biology and Genomics)
Show Figures

Figure 1

15 pages, 4728 KB  
Article
The Virulence of Metarhizium rileyi to Locusta migratoria Is Determined by the Ability of the Fungus to Respond to Carbon and Nitrogen Sources
by Yunhao Yao, Mei Li, Qingqing Liu, Qiuyue Huang, Shuo Yang, Bin Chen and Yuejin Peng
Int. J. Mol. Sci. 2025, 26(9), 4156; https://doi.org/10.3390/ijms26094156 - 27 Apr 2025
Cited by 3 | Viewed by 912
Abstract
Insects are among the most diverse and abundant organisms on Earth, and their population dynamics are strongly influenced by entomopathogenic fungi. This study examines the role of carbon and nitrogen metabolism in the virulence of the entomopathogenic fungus Metarhizium rileyi against the migratory [...] Read more.
Insects are among the most diverse and abundant organisms on Earth, and their population dynamics are strongly influenced by entomopathogenic fungi. This study examines the role of carbon and nitrogen metabolism in the virulence of the entomopathogenic fungus Metarhizium rileyi against the migratory locust, Locusta migratoria. The findings demonstrate that the capacity of M. rileyi to utilize different carbon and nitrogen sources is a key factor in its virulence. Specifically, two strains of M. rileyi (PPDB201006 and SZCY201010) exhibited distinct metabolic abilities, with PPDB201006 displaying superior growth and enzyme activities on various carbon and nitrogen sources compared to SZCY201010. These metabolic differences were associated with significant variations in virulence, as PPDB201006 induced higher mortality rates in L. migratoria than SZCY201010. Metabolomics analysis revealed that infection by M. rileyi led to substantial alterations in the hemolymph metabolites of L. migratoria, particularly in organic acids, amino acids, sugars, and lipids. These results emphasize the significance of carbon and nitrogen metabolism in the pathogenicity of entomopathogenic fungi and offer new perspectives for optimizing their application as biological control agents. This study not only improves our understanding of fungal virulence mechanisms but also contributes to the development of more effective and sustainable pest management strategies. Full article
Show Figures

Graphical abstract

23 pages, 8466 KB  
Article
Physiological and Flavonoid Metabolic Responses of Black Locust Leaves to Drought Stress in the Loess Plateau of China
by Yan Wang, Ning Peng, Binbin Liu, Yingbin Yang, Chao Yue, Wenfang Hao and Junhao He
Forests 2025, 16(4), 695; https://doi.org/10.3390/f16040695 - 17 Apr 2025
Viewed by 903
Abstract
Drought threatens the stability of artificial black locust forests on the Loess Plateau, yet there is limited research on the physiological and metabolic responses of mature black locust to drought stress. This study employed a throughfall exclusion system—i.e., moderate drought (40% throughfall reduction), [...] Read more.
Drought threatens the stability of artificial black locust forests on the Loess Plateau, yet there is limited research on the physiological and metabolic responses of mature black locust to drought stress. This study employed a throughfall exclusion system—i.e., moderate drought (40% throughfall reduction), extreme drought (80% throughfall reduction), and 0% throughfall reduction for control—to analyze leaf microstructure, relative water content (RWC), osmotic adjustment substances, hormone levels, and flavonoid metabolites in black locust under controlled drought stress. The results demonstrated that as drought stress intensified, stomatal aperture and density decreased, while trichome density and length exhibited significant increases. MDA, proline, IAA, and osmotic adjustment substances (soluble protein, reducing sugar, and total sugar) first increased and then decreased as drought stress intensified. A total of 245 flavonoid compounds were identified through metabolomic analysis, among which 91 exhibited differential expression under drought treatments. Notably, 37 flavonoids, including flavonols and glycosylated derivatives, were consistently upregulated. These findings suggest that drought stress can lead to the accumulation of flavonoids. This study explored the physiological and metabolic responses of mature black locust trees to drought stress, offering insights for selecting drought-resistant species in vegetation restoration and informing ecological management practices in arid regions. Full article
(This article belongs to the Section Forest Ecophysiology and Biology)
Show Figures

Figure 1

16 pages, 3100 KB  
Article
Transboundary Dispersal Dynamics of Ceracris kiangsu: From Source Regions to Migration Corridors
by Yangyang Li, Ting Du, Jun Yao, Yunsen Chen, Lei Shi and Sangzi Ze
Insects 2025, 16(4), 400; https://doi.org/10.3390/insects16040400 - 11 Apr 2025
Viewed by 732
Abstract
Yunnan is located on the southwest border of China, with a complex geographical environment and rich biodiversity, which is the first stop for many migratory pests to enter China. In recent years, Ceracris kiangsu has migrated into China through the China–Laos border line. [...] Read more.
Yunnan is located on the southwest border of China, with a complex geographical environment and rich biodiversity, which is the first stop for many migratory pests to enter China. In recent years, Ceracris kiangsu has migrated into China through the China–Laos border line. The migratory C. kiangsu has shown typical characteristics of migratory locusts, which has seriously jeopardized the ecological security, biosecurity and food security of China. In order to prevent and control C. kiangsu from the source as soon as possible, this study used hotspot analysis and trajectory analysis to clarify the migration dynamics, source regions and migration corridors of C. kiangsu. The results showed that the migratory C. kiangsu was mainly distributed in the towns of Jiangcheng County, and the source regions were concentrated in Phongsaly, Laos. There are three cross-border migration corridors of C. kiangsu, among which the Laos–Niuluohe border migration corridor running through the entire migration cycle is the most important corridor. The study answered three key questions about the prevention and control of C. kiangsu. Ascertaining when C. kiangsu arrived at Yunnan, where it came from, and where the population then went will greatly improve the efficiency of the prevention and control of C. kiangsu as well as provide a theoretical basis for subsequent monitoring and early warning. Full article
(This article belongs to the Special Issue Surveillance and Management of Invasive Insects)
Show Figures

Figure 1

17 pages, 6551 KB  
Article
Impact of Climate Change on Oriental Migratory Locust Suitability: A Multi-Source Data and MaxEnt-Based Analysis in Hainan Island
by Zhongxiang Sun, Huichun Ye, Weiping Kong, Chaojia Nie and Huiqing Bai
Remote Sens. 2025, 17(8), 1329; https://doi.org/10.3390/rs17081329 - 8 Apr 2025
Viewed by 965
Abstract
This study employed an integrated approach combining multi-source remote sensing data and the MaxEnt model to systematically assess the ecological niche characteristics of the oriental migratory locust (Locusta migratoria manilensis) in Hainan Island, while projecting the evolution of its suitable habitats [...] Read more.
This study employed an integrated approach combining multi-source remote sensing data and the MaxEnt model to systematically assess the ecological niche characteristics of the oriental migratory locust (Locusta migratoria manilensis) in Hainan Island, while projecting the evolution of its suitable habitats under both historical and future climate scenarios (up to 2040). Firstly, we synthesized traditional climate, soil, and topography data with remote sensing data to characterize the suitable areas of the oriental migratory locust based on MaxEnt model (with high accuracy of AUC = 0.935 and TSS = 0.76). Subsequently, six dominant environmental variables—precipitation in April (PRE04), precipitation in September (PRE09), maximum temperature in August (TMAX08), minimum temperature in December (TMIN12), NDVI in February (NDVI02), and NDVI in May (NDVI02)—were identified as key predictors. Their threshold values were determined, with PRE04, PRE09, TMAX08, and TMIN12 ranging from 39 to 44 mm, 196 to 223 mm, 31.1 to 32.2 °C, and 17.7 to 18.0 °C in high-suitability zones, respectively. Finally, these six predictors were used to assess habitat suitability across Hainan Island for both the 2001–2020 and 2021–2040 periods. Under historical climate conditions, highly suitable areas (505 km2, 1.41% of total land area) were concentrated in the western and northeastern regions, particularly in Dongfang City (46.27%), Ledong Li Autonomous County (32.91%), and Changjiang Li Autonomous County (18.39%). Future projections indicate significant habitat expansion, with total suitable areas increasing by 13.4–42.0% and highly suitable areas reaching 571–831 km2 by 2040. The study highlights the critical Dongfang–Danzhou–Ledong region for targeted locust control, providing scientific support for pest management in tropical island ecosystems under climate change. Full article
Show Figures

Figure 1

22 pages, 5674 KB  
Article
Overcoming Dormancy of Black Locust (Robinia pseudoacacia L.) Seeds Using Various Non-Thermal Plasma Sources
by Vladimír Scholtz, Jana Jirešová, Josef Khun, Tomasz Czapka, Jaroslav Julák and Myron Klenivskyi
Plants 2025, 14(5), 728; https://doi.org/10.3390/plants14050728 - 27 Feb 2025
Viewed by 878
Abstract
Black locust (Fabaceae family) seeds are known for their strong dormant state and are an excellent candidate for studying and developing methods to break dormancy. We investigated overcoming the dormancy using several different sources of non-thermal plasma, which, by modifying, etching, or disrupting [...] Read more.
Black locust (Fabaceae family) seeds are known for their strong dormant state and are an excellent candidate for studying and developing methods to break dormancy. We investigated overcoming the dormancy using several different sources of non-thermal plasma, which, by modifying, etching, or disrupting the waxy seed coat, allowed water to penetrate the seeds and initiate germination. All plasma sources tested enhanced seed germination to varying degrees, with over 80% germination observed when using a dielectric barrier discharge, while control seeds showed no germination. Non-thermal plasma treatment significantly decreased the water contact angle of the seed surface from an initial 120° (for untreated seeds) to complete wetting when using a dielectric barrier discharge or atmospheric-pressure plasma jet. The experiments indicate two mechanisms for the modification of the waxy seed coat by a non-thermal plasma: hydrophilization of the wax surface through the binding of oxygen particles and etching of narrow channels in the wax layer, allowing water to penetrate the seed. Full article
Show Figures

Figure 1

Back to TopTop