Sign in to use this feature.

Years

Between: -

Subjects

remove_circle_outline
remove_circle_outline
remove_circle_outline
remove_circle_outline
remove_circle_outline
remove_circle_outline
remove_circle_outline
remove_circle_outline
remove_circle_outline

Journals

remove_circle_outline
remove_circle_outline
remove_circle_outline
remove_circle_outline
remove_circle_outline
remove_circle_outline
remove_circle_outline
remove_circle_outline
remove_circle_outline
remove_circle_outline
remove_circle_outline
remove_circle_outline

Article Types

Countries / Regions

remove_circle_outline
remove_circle_outline
remove_circle_outline
remove_circle_outline

Search Results (597)

Search Parameters:
Keywords = local optimal contrast

Order results
Result details
Results per page
Select all
Export citation of selected articles as:
19 pages, 4306 KB  
Article
Sparse Reconstruction of Pressure Field for Wedge Passive Fluidic Thrust Vectoring Nozzle
by Zi Huang, Yunsong Gu, Qiuhui Xu and Linkai Li
Sensors 2026, 26(3), 811; https://doi.org/10.3390/s26030811 - 26 Jan 2026
Abstract
Fluidic thrust vectoring control (FTVC) enables highly agile flight without the mechanical complexity of traditional vectoring nozzles. However, a robust onboard identification of the jet deflection state remains challenging when only limited measurements are available. This study proposes a sparse reconstruction of the [...] Read more.
Fluidic thrust vectoring control (FTVC) enables highly agile flight without the mechanical complexity of traditional vectoring nozzles. However, a robust onboard identification of the jet deflection state remains challenging when only limited measurements are available. This study proposes a sparse reconstruction of the pressure field method for a wedge passive FTVC nozzle and validates the approach experimentally on a low-speed jet platform. By combining the proper orthogonal decomposition (POD) algorithm with an l1-regularized compressed sensing method, a full Coanda wall pressure distribution is reconstructed from the sparse measurements. A genetic algorithm is then employed to optimize the wall pressure tap locations, identifying an optimal layout. With only four pressure taps, the local pressure coefficient errors were maintained within |ΔCp| < 0.02. In contrast, conventional Kriging interpolation requires increasing the sensor count to 13 to approach the reconstruction level of the proposed POD–compressed sensing method using 4 sensors, yet still exhibits a reduced fidelity in capturing key flow structure characteristics. Overall, the proposed approach provides an efficient and physically interpretable strategy for pressure field estimation, supporting lightweight, low-maintenance, and precise fluidic thrust vectoring control. Full article
(This article belongs to the Topic Advanced Engines Technologies)
Show Figures

Figure 1

21 pages, 1300 KB  
Article
CAIC-Net: Robust Radio Modulation Classification via Unified Dynamic Cross-Attention and Cross-Signal-to-Noise Ratio Contrastive Learning
by Teng Wu, Quan Zhu, Runze Mao, Changzhen Hu and Shengjun Wei
Sensors 2026, 26(3), 756; https://doi.org/10.3390/s26030756 - 23 Jan 2026
Viewed by 42
Abstract
In complex wireless communication environments, automatic modulation classification (AMC) faces two critical challenges: the lack of robustness under low-signal-to-noise ratio (SNR) conditions and the inefficiency of integrating multi-scale feature representations. To address these issues, this paper proposes CAIC-Net, a robust modulation classification network [...] Read more.
In complex wireless communication environments, automatic modulation classification (AMC) faces two critical challenges: the lack of robustness under low-signal-to-noise ratio (SNR) conditions and the inefficiency of integrating multi-scale feature representations. To address these issues, this paper proposes CAIC-Net, a robust modulation classification network that integrates a dynamic cross-attention mechanism with a cross-SNR contrastive learning strategy. CAIC-Net employs a dual-stream feature extractor composed of ConvLSTM2D and Transformer blocks to capture local temporal dependencies and global contextual relationships, respectively. To enhance fusion effectiveness, we design a Dynamic Cross-Attention Unit (CAU) that enables deep bidirectional interaction between the two branches while incorporating an SNR-aware mechanism to adaptively adjust the fusion strategy under varying channel conditions. In addition, a Cross-SNR Contrastive Learning (CSCL) module is introduced as an auxiliary task, where positive and negative sample pairs are constructed across different SNR levels and optimized using InfoNCE loss. This design significantly strengthens the intrinsic noise-invariant properties of the learned representations. Extensive experiments conducted on two standard datasets demonstrate that CAIC-Net achieves competitive classification performance at moderate-to-high SNRs and exhibits clear advantages in extremely low-SNR scenarios, validating the effectiveness and strong generalization capability of the proposed approach. Full article
(This article belongs to the Section Communications)
Show Figures

Figure 1

23 pages, 1163 KB  
Article
Agronomic and Nutritional Potential of Ryegrass (Lolium multiflorum Lam.) Accessions as Raw Material for Silage in the Tropical Andes of Peru
by Leidy G. Bobadilla, Miguel A. Altamirano-Tantalean, William Carrasco-Chilón, Vanesa Lizbeth Silva Baca, Flor L. Mejía, Ysai Paucar, Leandro Valqui, William Bardales, Jorge L. Maicelo and Héctor V. Vásquez
Agronomy 2026, 16(2), 275; https://doi.org/10.3390/agronomy16020275 - 22 Jan 2026
Viewed by 47
Abstract
In the tropical Andes, rangeland degradation has become one of the main threats to the sustainability of livestock production in the face of climate change. In this context, optimizing the yield and nutritional quality of raw material for silage is essential to sustain [...] Read more.
In the tropical Andes, rangeland degradation has become one of the main threats to the sustainability of livestock production in the face of climate change. In this context, optimizing the yield and nutritional quality of raw material for silage is essential to sustain livestock productivity. The aim of this study was to identify local accessions (LM) of Lolium multiflorum Lam. with greater forage potential through evaluations in consecutive cuts made at the anthesis phenological stage, using a randomized complete block design with four replicates and ten local accessions (LM1, LM2, LM3, LM4, LM6, LM7, LM8, LM11, LM12 and LM13). The statistical analysis, based on linear mixed models, showed that cuts at anthesis had a significant effect among accessions, revealing high variability in agronomic and nutritional performance across cuts. In LM4, plant height at the fourth cut was 2.48-fold higher than at the first cut. Likewise, LM4 and LM13 were identified as the latest accessions to reach anthesis in the first cut, with a decreasing trend across cuts and stabilization from the third cut onward. These accessions also showed the greatest basal coverage area, increasing 9.94- and 8.18-fold in the fourth cut relative to the first. Fresh forage yields in LM4 and LM13 increased 13.2- and 10.1-fold, and dry matter yields 13.98- and 9.86-fold, compared with the first cut. They also exhibited the highest average daily dry matter ac-cumulation rate. By contrast, the fresh forage and dry matter yields of the remaining accessions were significantly lower than those of LM4 and LM13. The main difference between these two accessions was observed in dry matter percentage, with higher values and a stable trend in LM4 across all cuts. In terms of nutritional quality, LM4 presented crude protein of 24.2% in the second cut and 24.0% in the fourth cut, while digestibility was 86.2% in the second cut and 85.0% in the fourth cut. In conclusion, although the ensiling process was not evaluated in this study, LM4 showed the most stable and outstanding values in both agronomic and nutritional performance, thus emerging as a promising accession for selection and use as raw material for silage production in the tropical Andes. Full article
(This article belongs to the Section Grassland and Pasture Science)
Show Figures

Figure 1

26 pages, 4607 KB  
Article
CHARMS: A CNN-Transformer Hybrid with Attention Regularization for MRI Super-Resolution
by Xia Li, Haicheng Sun and Tie-Qiang Li
Sensors 2026, 26(2), 738; https://doi.org/10.3390/s26020738 - 22 Jan 2026
Viewed by 17
Abstract
Magnetic resonance imaging (MRI) super-resolution (SR) enables high-resolution reconstruction from low-resolution acquisitions, reducing scan time and easing hardware demands. However, most deep learning-based SR models are large and computationally heavy, limiting deployment in clinical workstations, real-time pipelines, and resource-restricted platforms such as low-field [...] Read more.
Magnetic resonance imaging (MRI) super-resolution (SR) enables high-resolution reconstruction from low-resolution acquisitions, reducing scan time and easing hardware demands. However, most deep learning-based SR models are large and computationally heavy, limiting deployment in clinical workstations, real-time pipelines, and resource-restricted platforms such as low-field and portable MRI. We introduce CHARMS, a lightweight convolutional–Transformer hybrid with attention regularization optimized for MRI SR. CHARMS employs a Reverse Residual Attention Fusion backbone for hierarchical local feature extraction, Pixel–Channel and Enhanced Spatial Attention for fine-grained feature calibration, and a Multi-Depthwise Dilated Transformer Attention block for efficient long-range dependency modeling. Novel attention regularization suppresses redundant activations, stabilizes training, and enhances generalization across contrasts and field strengths. Across IXI, Human Connectome Project Young Adult, and paired 3T/7T datasets, CHARMS (~1.9M parameters; ~30 GFLOPs for 256 × 256) surpasses leading lightweight and hybrid baselines (EDSR, PAN, W2AMSN-S, and FMEN) by 0.1–0.6 dB PSNR and up to 1% SSIM at ×2/×4 upscaling, while reducing inference time ~40%. Cross-field fine-tuning yields 7T-like reconstructions from 3T inputs with ~6 dB PSNR and 0.12 SSIM gains over native 3T. With near-real-time performance (~11 ms/slice, ~1.6–1.9 s per 3D volume on RTX 4090), CHARMS offers a compelling fidelity–efficiency balance for clinical workflows, accelerated protocols, and portable MRI. Full article
(This article belongs to the Special Issue Sensing Technologies in Digital Radiology and Image Analysis)
Show Figures

Figure 1

22 pages, 7096 KB  
Article
An Improved ORB-KNN-Ratio Test Algorithm for Robust Underwater Image Stitching on Low-Cost Robotic Platforms
by Guanhua Yi, Tianxiang Zhang, Yunfei Chen and Dapeng Yu
J. Mar. Sci. Eng. 2026, 14(2), 218; https://doi.org/10.3390/jmse14020218 - 21 Jan 2026
Viewed by 67
Abstract
Underwater optical images often exhibit severe color distortion, weak texture, and uneven illumination due to light absorption and scattering in water. These issues result in unstable feature detection and inaccurate image registration. To address these challenges, this paper proposes an underwater image stitching [...] Read more.
Underwater optical images often exhibit severe color distortion, weak texture, and uneven illumination due to light absorption and scattering in water. These issues result in unstable feature detection and inaccurate image registration. To address these challenges, this paper proposes an underwater image stitching method that integrates ORB (Oriented FAST and Rotated BRIEF) feature extraction with a fixed-ratio constraint matching strategy. First, lightweight color and contrast enhancement techniques are employed to restore color balance and improve local texture visibility. Then, ORB descriptors are extracted and matched via a KNN (K-Nearest Neighbors) nearest-neighbor search, and Lowe’s ratio test is applied to eliminate false matches caused by weak texture similarity. Finally, the geometric transformation between image frames is estimated by incorporating robust optimization, ensuring stable homography computation. Experimental results on real underwater datasets show that the proposed method significantly improves stitching continuity and structural consistency, achieving 40–120% improvements in SSIM (Structural Similarity Index) and PSNR (peak signal-to-noise ratio) over conventional Harris–ORB + KNN, SIFT (scale-invariant feature transform) + BF (brute force), SIFT + KNN, and AKAZE (accelerated KAZE) + BF methods while maintaining processing times within one second. These results indicate that the proposed method is well-suited for real-time underwater environment perception and panoramic mapping on low-cost, micro-sized underwater robotic platforms. Full article
(This article belongs to the Section Ocean Engineering)
Show Figures

Figure 1

48 pages, 4095 KB  
Article
Enhanced Prediction of Rocking and Sliding of Rigid Blocks Using a Modified Semi-Analytical Approach and Optimized Finite Element Modeling
by Idowu Itiola
Buildings 2026, 16(2), 429; https://doi.org/10.3390/buildings16020429 - 20 Jan 2026
Viewed by 73
Abstract
Accurate prediction of the rocking and sliding response of free-standing rigid blocks under seismic excitation remains challenging, particularly in regimes where rocking and sliding are strongly coupled and motion mode transitions occur. This study presents a modified semi-analytical framework and an optimized Finite [...] Read more.
Accurate prediction of the rocking and sliding response of free-standing rigid blocks under seismic excitation remains challenging, particularly in regimes where rocking and sliding are strongly coupled and motion mode transitions occur. This study presents a modified semi-analytical framework and an optimized Finite Element Method (FEM) approach to investigate the nonlinear dynamics of rigid rectangular blocks subjected to initial angular displacements, assuming Coulomb friction and near-inelastic impacts. The proposed semi-analytical formulation explicitly captures the coupling between rocking and sliding motions, enabling systematic identification of rest, rocking, sliding, rocking–sliding, and free-flight response modes. Benchmark comparisons with Veeraraghavan’s classical model show overall agreement in limiting cases but reveal notable differences in intermediate regimes, where motion mode transitions are highly sensitive to friction coefficient and slenderness ratio. These discrepancies arise from the ability of the present formulation to resolve transitional rocking–sliding behavior that is not fully represented in uncoupled or limiting-case assumptions. Complementary FEM simulations employing both rigid and deformable body representations further elucidate the role of contact modeling and energy dissipation. While rigid-body FEM models offer computational efficiency, they exhibit localized penetration and residual bouncing due to contact enforcement limitations. In contrast, deformable FEM models more closely approximate near-inelastic collision behavior and dissipate impact energy more effectively, albeit at higher computational cost. The combined semi-analytical and FEM results provide a robust framework for interpreting motion mode transitions, quantifying contact and penetration effects, and defining the applicability limits of simplified rigid-body models. These findings offer practical guidance for selecting appropriate modeling strategies for seismic response assessment of free-standing rigid blocks. Full article
(This article belongs to the Special Issue Dynamic Response Analysis of Structures Under Wind and Seismic Loads)
Show Figures

Figure 1

15 pages, 3124 KB  
Article
Force-Dependent Presence of Senescent Cells Expressing Vascular Endothelial Growth Factor During Orthodontic Tooth Movement
by Yohei Morihana, Masato Nakagawa, Yue Zhou, Hidetoshi Morikuni, Zi Deng, Yoshitomo Honda and Aki Nishiura
Biology 2026, 15(2), 187; https://doi.org/10.3390/biology15020187 - 19 Jan 2026
Viewed by 141
Abstract
Orthodontic force magnitude influences angiogenesis during orthodontic tooth movement (OTM); however, the role of senescent cells remains largely unclear. This study investigated the localization of senescent cells and their expression of vascular endothelial growth factor (VEGF) during angiogenesis using a rat horizontal OTM [...] Read more.
Orthodontic force magnitude influences angiogenesis during orthodontic tooth movement (OTM); however, the role of senescent cells remains largely unclear. This study investigated the localization of senescent cells and their expression of vascular endothelial growth factor (VEGF) during angiogenesis using a rat horizontal OTM model with different force magnitudes. Nickel–titanium coil springs exerting 60 g or 180 g of orthodontic force were applied to the maxillary first molar of 15-week-old male Sprague–Dawley rats; untreated rats served as controls. Tooth movement was evaluated by stereomicroscopy and micro-computed tomography. Senescent cells (p21, p16) and angiogenesis (CD31 and VEGF) were evaluated by multiplex immunofluorescence. Tooth movement was observed under both the 60 g and 180 g conditions. The 60 g group showed increased cellularity, vascular density, and VEGF expression, suggesting an optimal mechanical force. In contrast, the 180 g group reduced cellularity and angiogenesis, consistent with excessive force. Senescent cells were more abundant in the 60 g group, with over 40% expressing VEGF. These findings suggest that force magnitude influences the presence of VEGF+ senescent cells, which may be associated with the angiogenic process in OTM. This work provides insights into the mechanisms underlying optimal force in orthodontic treatment. Full article
(This article belongs to the Special Issue Cellular Senescence in Development, Regeneration, Aging, and Cancer)
Show Figures

Graphical abstract

35 pages, 504 KB  
Article
Introducing a Resolvable Network-Based SAT Solver Using Monotone CNF–DNF Dualization and Resolution
by Gábor Kusper and Benedek Nagy
Mathematics 2026, 14(2), 317; https://doi.org/10.3390/math14020317 - 16 Jan 2026
Viewed by 291
Abstract
This paper is a theoretical contribution that introduces a new reasoning framework for SAT solving based on resolvable networks (RNs). RNs provide a graph-based representation of propositional satisfiability in which clauses are interpreted as directed reaches between disjoint subsets of Boolean variables (nodes). [...] Read more.
This paper is a theoretical contribution that introduces a new reasoning framework for SAT solving based on resolvable networks (RNs). RNs provide a graph-based representation of propositional satisfiability in which clauses are interpreted as directed reaches between disjoint subsets of Boolean variables (nodes). Building on this framework, we introduce a novel RN-based SAT solver, called RN-Solver, which replaces local assignment-driven branching by global reasoning over token distributions. Token distributions, interpreted as truth assignments, are generated by monotone CNF–DNF dualization applied to white (all-positive) clauses. New white clauses are derived via resolution along private-pivot chains, and the solver’s progression is governed by a taxonomy of token distributions (black-blocked, terminal, active, resolved, and non-resolved). The main results establish the soundness and completeness of the RN-Solver. Experimentally, the solver performs very well on pigeonhole formulas, where the separation between white and black clauses enables effective global reasoning. In contrast, its current implementation performs poorly on random 3-SAT instances, highlighting both practical limitations and significant opportunities for optimization and theoretical refinement. The presented RN-Solver implementation is a proof-of-concept which validates the underlying theory rather than a state-of-the-art competitive solver. One promising direction is the generalization of strongly connected components from directed graphs to resolvable networks. Finally, the token-based perspective naturally suggests a connection to token-superposition Petri net models. Full article
(This article belongs to the Special Issue Graph Theory and Applications, 3rd Edition)
17 pages, 19420 KB  
Article
Lévy Diffusion Under Power-Law Stochastic Resetting
by Jianli Liu, Yunyun Li and Fabio Marchesoni
Entropy 2026, 28(1), 104; https://doi.org/10.3390/e28010104 - 15 Jan 2026
Viewed by 144
Abstract
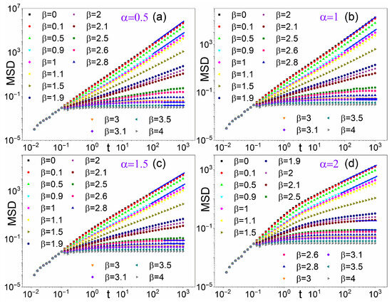
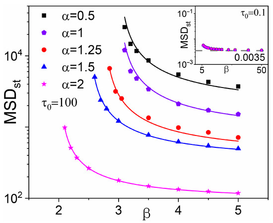
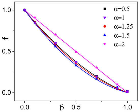
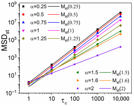
We investigated the diffusive dynamics of a Lévy walk subject to stochastic resetting through combined numerical and theoretical approaches. Under exponential resetting, the process mean squared displacement (MSD) undergoes a sharp transition from free superdiffusive behavior with exponent γ0 to a steady-state [...] Read more.
We investigated the diffusive dynamics of a Lévy walk subject to stochastic resetting through combined numerical and theoretical approaches. Under exponential resetting, the process mean squared displacement (MSD) undergoes a sharp transition from free superdiffusive behavior with exponent γ0 to a steady-state saturation regime. In contrast, power-law resetting with exponent β exhibits three asymptotic MSD regimes: free superdiffusion for β<1, superdiffusive scaling with a linearly β-decreasing exponent for 1<β<γ0+1, and localization characterized by finite steady-state plateaus for β>γ0+1. MSD scaling laws derived via renewal theory-based analysis demonstrate excellent agreement with numerical simulations. These findings offer new insights for optimizing search strategies and controlling transport processes in non-equilibrium environments. Full article
(This article belongs to the Section Statistical Physics)
Show Figures

Figure 1

24 pages, 14492 KB  
Article
Impact of Groove Manufacturing Errors on Aircraft Skin-Friction Reduction
by Zhaoliang Dou, Yue Du and Fengbin Liu
Aerospace 2026, 13(1), 84; https://doi.org/10.3390/aerospace13010084 - 13 Jan 2026
Viewed by 200
Abstract
This study systematically investigates the effects of manufacturing errors on the drag reduction performance of micro-grooves fabricated using roll-to-roll hot embossing technology. Numerical simulations were conducted to analyze the drag reduction characteristics of spanwise micro-grooves under a 0.4 Ma incoming flow, with a [...] Read more.
This study systematically investigates the effects of manufacturing errors on the drag reduction performance of micro-grooves fabricated using roll-to-roll hot embossing technology. Numerical simulations were conducted to analyze the drag reduction characteristics of spanwise micro-grooves under a 0.4 Ma incoming flow, with a focus on the influence mechanisms of groove array straightness error (δ) and bottom corner rounding error (σ) on aerodynamic performance. The results indicate that straightness errors induce periodic pressure pulsations, which disrupt large-scale turbulent structures and lead to a linear degradation in drag reduction performance. In contrast, bottom corner rounding errors modulate small-scale turbulence by altering the local curvature at the groove bottom. Positive deviations in particular cause an upward shift of the vortex core and enhanced energy dissipation, significantly impairing drag reduction. Based on these findings, an optimized processing window is proposed, recommending that the straightness error δ and bottom corner rounding error σ be controlled within −4% to 2% and −20% to 4%, respectively. Under these conditions, the fluctuation in the drag reduction rate can be confined within 20%. This study provides important theoretical insights and practical guidance for the precision manufacturing of drag-reducing micro-groove surfaces on aircraft. Full article
(This article belongs to the Section Aeronautics)
Show Figures

Figure 1

27 pages, 1537 KB  
Article
Improved Black-Winged Kite Algorithm for Sustainable Photovoltaic Energy Modeling and Accurate Parameter Estimation
by Sulaiman Z. Almutairi and Abdullah M. Shaheen
Sustainability 2026, 18(2), 731; https://doi.org/10.3390/su18020731 - 10 Jan 2026
Viewed by 235
Abstract
Accurate modeling and parameter estimation of photovoltaic (PV) systems are vital for advancing energy sustainability and achieving global decarbonization goals. Reliable PV models enable better integration of solar resources into smart grids, improve system efficiency, and reduce maintenance costs. This aligns with the [...] Read more.
Accurate modeling and parameter estimation of photovoltaic (PV) systems are vital for advancing energy sustainability and achieving global decarbonization goals. Reliable PV models enable better integration of solar resources into smart grids, improve system efficiency, and reduce maintenance costs. This aligns with the vision of sustainable energy systems that combine intelligent optimization with environmental responsibility. The recently introduced Black-Winged Kite Algorithm (BWKA) has shown promise by emulating the predatory and migratory behaviors of black-winged kites; however, it still suffers from issues of slow convergence, limited population diversity, and imbalance between exploration and exploitation. To address these limitations, this paper proposes an Improved Black-Winged Kite Algorithm (IBWKA) that integrates two novel strategies: (i) a Soft-Rime Search (SRS) modulation in the attacking phase, which introduces a smoothly decaying nonlinear factor to adaptively balance global exploration and local exploitation, and (ii) a Quadratic Interpolation (QI) refinement mechanism, applied to a subset of elite individuals, that accelerates local search by fitting a parabola through representative candidate solutions and guiding the search toward promising minima. These dual enhancements reinforce both global diversity and local accuracy, preventing premature convergence and improving convergence speed. The effectiveness of the proposed IBWKA in contrast to the standard BWKA is validated through a comprehensive experimental study for accurate parameter identification of PV models, including single-, double-, and three-diode equivalents, using standard datasets (RTC France and STM6_40_36). The findings show that IBWKA delivers higher accuracy and faster convergence than existing methods, with its improvements confirmed through statistical analysis. Compared to BWKA and others, it proves to be more robust, reliable, and consistent. By combining adaptive exploration, strong diversity maintenance, and refined local search, IBWKA emerges as a versatile optimization tool. Full article
(This article belongs to the Special Issue Sustainable Renewable Energy: Smart Grid and Electric Power System)
Show Figures

Figure 1

21 pages, 58532 KB  
Article
Joint Inference of Image Enhancement and Object Detection via Cross-Domain Fusion Transformer
by Bingxun Zhao and Yuan Chen
Computers 2026, 15(1), 43; https://doi.org/10.3390/computers15010043 - 10 Jan 2026
Viewed by 141
Abstract
Underwater vision is fundamental to ocean exploration, yet it is frequently impaired by underwater degradation including low contrast, color distortion and blur, thereby presenting significant challenges for underwater object detection (UOD). Most existing methods employ underwater image enhancement as a preprocessing step to [...] Read more.
Underwater vision is fundamental to ocean exploration, yet it is frequently impaired by underwater degradation including low contrast, color distortion and blur, thereby presenting significant challenges for underwater object detection (UOD). Most existing methods employ underwater image enhancement as a preprocessing step to improve visual quality prior to detection. However, image enhancement and object detection are optimized for fundamentally different objectives, and directly cascading them leads to feature distribution mismatch. Moreover, prevailing dual-branch architectures process enhancement and detection independently, overlooking multi-scale interactions across domains and thus constraining the learning of cross-domain feature representation. To overcome these limitations, We propose an underwater cross-domain fusion Transformer detector (UCF-DETR). UCF-DETR jointly leverages image enhancement and object detection by exploiting the complementary information from the enhanced and original image domains. Specifically, an underwater image enhancement module is employed to improve visibility. We then design a cross-domain feature pyramid to integrate fine-grained structural details from the enhanced domain with semantic representations from the original domain. Cross-domain query interaction mechanism is introduced to model inter-domain query relationships, leading to accurate object localization and boundary delineation. Extensive experiments on the challenging DUO and UDD benchmarks demonstrate that UCF-DETR consistently outperforms state-of-the-art methods for UOD. Full article
(This article belongs to the Special Issue Advanced Image Processing and Computer Vision (2nd Edition))
Show Figures

Figure 1

26 pages, 8271 KB  
Article
Enhancing EEG Decoding with Selective Augmentation Integration
by Jianbin Ye, Yanjie Sun, Man Xiao, Bo Liu and Kele Xu
Sensors 2026, 26(2), 399; https://doi.org/10.3390/s26020399 - 8 Jan 2026
Viewed by 230
Abstract
Deep learning holds considerable promise for electroencephalography (EEG) analysis but faces challenges due to scarce and noisy EEG data, and the limited generality of existing data augmentation techniques. To address these issues, we propose an end-to-end EEG augmentation framework with an adaptive mechanism. [...] Read more.
Deep learning holds considerable promise for electroencephalography (EEG) analysis but faces challenges due to scarce and noisy EEG data, and the limited generality of existing data augmentation techniques. To address these issues, we propose an end-to-end EEG augmentation framework with an adaptive mechanism. This approach utilizes contrastive learning to mitigate representational distortions caused by augmentation, thereby strengthening the encoder’s feature learning. A selective augmentation strategy is further incorporated to dynamically determine optimal augmentation combinations based on performance. We also introduce NeuroBrain, a novel neural architecture specifically designed for auditory EEG decoding. It effectively captures both local and global dependencies within EEG signals. Comprehensive evaluations on the SparrKULee and WithMe datasets confirm the superiority of our proposed framework and architecture, demonstrating a 29.42% performance gain over HappyQuokka and a 5.45% accuracy improvement compared to EEGNet. These results validate our method’s efficacy in tackling key challenges in EEG analysis and advancing the state of the art. Full article
Show Figures

Figure 1

17 pages, 466 KB  
Article
Breaking the Speed–Accuracy Trade-Off: A Novel Embedding-Based Framework with Coarse Screening-Refined Verification for Zero-Shot Named Entity Recognition
by Meng Yang, Shuo Wang, Hexin Yang and Ning Chen
Computers 2026, 15(1), 36; https://doi.org/10.3390/computers15010036 - 7 Jan 2026
Viewed by 182
Abstract
Although fine-tuning pretrained language models has brought remarkable progress to zero-shot named entity recognition (NER), current generative approaches still suffer from inherent limitations. Their autoregressive decoding mechanism requires token-by-token generation, resulting in low inference efficiency, while the massive parameter scale leads to high [...] Read more.
Although fine-tuning pretrained language models has brought remarkable progress to zero-shot named entity recognition (NER), current generative approaches still suffer from inherent limitations. Their autoregressive decoding mechanism requires token-by-token generation, resulting in low inference efficiency, while the massive parameter scale leads to high computational and deployment costs. In contrast, span-based methods avoid autoregressive decoding but often face large candidate spaces and severe noise redundancy, which hinder efficient entity localization in long-text scenarios. To overcome these challenges, we propose an efficient Embedding-based NER framework that achieves an optimal balance between performance and efficiency. Specifically, the framework first introduces a lightweight dynamic feature matching module for coarse-grained entity localization, enabling rapid filtering of potential entity regions. Then, a hierarchical progressive entity filtering mechanism is applied for fine-grained recognition and noise suppression. Experimental results demonstrate that the proposed model, which is trained on a single RTX 5090 GPU for only 24 h, attains approximately 90% of the performance of the SOTA GNER-T5 11B model while using only one-seventh of its parameters. Moreover, by eliminating the redundancy of autoregressive decoding, the proposed framework achieves a 17× faster inference speed compared to GNER-T5 11B and significantly surpasses traditional span-based approaches in efficiency. Full article
Show Figures

Figure 1

26 pages, 3250 KB  
Article
Optical Mirage–Based Metaheuristic Optimization for Robust PEM Fuel Cell Parameter Estimation
by Hashim Alnami, Badr M. Al Faiya, Sultan Hassan Hakmi and Ghareeb Moustafa
Mathematics 2026, 14(2), 211; https://doi.org/10.3390/math14020211 - 6 Jan 2026
Viewed by 145
Abstract
The parameter extraction of proton exchange membrane fuel cells (PEMFCs) has been an active area of study over the past few years, relying on metaheuristic optimizers and experimental datasets to achieve accurate current/voltage (I/V) curves. This work develops a mirage search optimizer (MSO) [...] Read more.
The parameter extraction of proton exchange membrane fuel cells (PEMFCs) has been an active area of study over the past few years, relying on metaheuristic optimizers and experimental datasets to achieve accurate current/voltage (I/V) curves. This work develops a mirage search optimizer (MSO) to precisely estimate the PEMFC model parameters. The MSO employs two search techniques based on the physical phenomena of light bending caused by atmospheric refractive index gradients: a superior mirage for global exploration and an inferior mirage for local exploitation. The MSO employs optical physics to direct search behavior, in contrast to conventional optimization approaches, allowing for a dynamic balance between exploration and exploitation. Convergence efficiency is increased by its iteration-dependent control and fitness-based influence. Using two common PEMFC modules, a comparison study with previously published methodologies and new, recently developed optimizers—the Educational Competition Optimizer (ECO), basketball team optimization (BTO), the fungal growth optimizer (FGO), and the naked mole rat optimizer (NMRO)—was conducted to evaluate the proposed MSO for parameter identification. Furthermore, the two models were tested under various temperatures and pressures. For the three examples studied, the MSO achieved the best sum of squared errors (SSE) values with an intriguing overall standard deviation (STD). It is undeniable that the STD and cropped SSE values, among other difficult techniques, are quite competitive and display the fastest convergence. According to the MSO, the BCS 500W, Ballard Mark V, and Modular SR-12 each have MSO values of 0.011697781, 0.852056, and 1.42098181379214 × 10−4, respectively. Additionally, the comparison results demonstrate that the proposed MSO can be successfully used to quickly and accurately define the PEMFC model. Full article
Show Figures

Figure 1

Back to TopTop