Sign in to use this feature.

Years

Between: -

Subjects

remove_circle_outline
remove_circle_outline
remove_circle_outline
remove_circle_outline
remove_circle_outline
remove_circle_outline
remove_circle_outline
remove_circle_outline
remove_circle_outline

Journals

remove_circle_outline
remove_circle_outline
remove_circle_outline
remove_circle_outline
remove_circle_outline
remove_circle_outline
remove_circle_outline
remove_circle_outline
remove_circle_outline
remove_circle_outline
remove_circle_outline
remove_circle_outline
remove_circle_outline
remove_circle_outline
remove_circle_outline
remove_circle_outline
remove_circle_outline
remove_circle_outline
remove_circle_outline
remove_circle_outline

Article Types

Countries / Regions

remove_circle_outline
remove_circle_outline
remove_circle_outline
remove_circle_outline
remove_circle_outline
remove_circle_outline

Search Results (5,540)

Search Parameters:
Keywords = load bearings

Order results
Result details
Results per page
Select all
Export citation of selected articles as:
18 pages, 1719 KB  
Article
Numerical Analysis of In-Plane Stiffness of Light-Timber-Framed Wall Elements with Various Sheathing Materials
by Jelena Vilotijević and Miroslav Premrov
Buildings 2026, 16(3), 629; https://doi.org/10.3390/buildings16030629 - 2 Feb 2026
Abstract
This paper numerically analyses numerous parameters with the most sensitive impact on the in-plane lateral behaviour of light timber-framed (LTF) wall elements. Different types of sheathing material (fibre-plaster boards, OSB) are studied according to the parametrically chosen distance between the fasteners, using three [...] Read more.
This paper numerically analyses numerous parameters with the most sensitive impact on the in-plane lateral behaviour of light timber-framed (LTF) wall elements. Different types of sheathing material (fibre-plaster boards, OSB) are studied according to the parametrically chosen distance between the fasteners, using three different calculation procedures: (a) a previously developed semi-analytical procedure using the Modified Gamma Method (MGM) accounts for bending, shear, and timber-to-framing connection flexibility simultaneously; (b) a previously developed FEM Spring Model as the most accurate approach; and (c) in this study, a specially developed innovative FEM 2D Hinge Model using the two-dimensional hinge layer to simulate the deformability between the sheathing boards and the timber frame, which enables significantly faster FEM analysis compared to the already developed FEM Spring Model. This, in turn, realistically allows for much faster analysis of real multi-storey timber structures. In order to only judge the influence of the sheathing material and fastener disposition, in all cases, the tensile and compressive vertical supports are considered to be stiff-supported wall elements as prescribed by the valid Eurocode 5 standard; however, it is possible to additionally include all three possible supporting flexibilities. The study places particular emphasis on the deformation of sliding fasteners between the sheathing boards and the timber frame, which arises from fastener flexibility and can significantly reduce the overall in-plane stiffness of LTF wall elements. For specially selected parametric values of fastener spacing (s = 20, 37.5, 75, and 150 mm), parametric FEM analysis using a special 2D hinge layer is additionally developed and performed to validate the previously developed semi-analytical expressions by the MGM for the in-plane wall stiffness, which seems to be the most appropriate for designing engineering implementation. All applied approaches to modelling wall elements considered the same parameters for evaluating the stiffness of an individual wall element, which represents a fundamental input parameter in the modelling of frame wall elements within the overall structure. The aim of the study is to determine the most suitable and accurate model, as the response of the entire structure to horizontal loading depends on the design of the individual wall element. Among these, it has been demonstrated that the thickness of the load-bearing timber frame and the type of resisting LTF walls (internal or external) have practically no significant effect on the in-plane stiffness of such wall elements. Consequently, the type of sheathing material (FPB or OSB) and especially the spacing between the fasteners are much more sensitive parameters, which would probably need to be given further consideration in future FEM studies. Full article
30 pages, 4122 KB  
Article
Performance Study on a New Type of Connection Joint for Prefabricated Stiffened Column and Composite Beam Frame Structures
by Yufen Gao, Zheng Yang, Lu Chen, Zhongshan Zhang and Shengzhao Cheng
Buildings 2026, 16(3), 628; https://doi.org/10.3390/buildings16030628 - 2 Feb 2026
Abstract
To address complex connections in prefabricated concrete structures, a novel joint connecting a prefabricated concrete-filled steel tubular column and a composite beam is proposed. Pseudo-static tests on six scaled specimens and ABAQUS finite element analyses were conducted to investigate seismic mechanisms, focusing on [...] Read more.
To address complex connections in prefabricated concrete structures, a novel joint connecting a prefabricated concrete-filled steel tubular column and a composite beam is proposed. Pseudo-static tests on six scaled specimens and ABAQUS finite element analyses were conducted to investigate seismic mechanisms, focusing on slab effects and beam-bottom configurations. Experimental results show the joints exhibit plump hysteretic curves. The composite beams displayed distinct shear-dominated failure, while the stiffened column remained intact. With an average ductility coefficient of 2.84 and an ultimate equivalent viscous damping coefficient of 0.207, the specimens demonstrated excellent deformation and energy dissipation capabilities. The slab’s flange effect significantly enhanced negative bearing capacity, causing mechanical asymmetry. Comparatively, the steel plate beam bottom configuration offered superior stiffness and stability over the reinforcement beam bottom configuration. Sensitivity analysis revealed that bearing capacity is highly sensitive to beam parameters (e.g., longitudinal rebar strength, connector length) but less sensitive to column parameters. Notably, the bearing capacity of the beam bottom configuration using reinforcement increases significantly with concrete strength and reinforcement ratio, whereas the beam bottom configuration using a steel plate shows marked insensitivity to these factors. These findings clarify the load transfer mechanism and support the seismic design of prefabricated structures. Full article
(This article belongs to the Special Issue High-Performance Steel–Concrete Composite/Hybrid Structures)
31 pages, 17275 KB  
Article
Shear Performance of Reinforced 3DPM-NM Specimens with Different Interface Locking Designs
by Chang Sun, Zhipeng Chu, Yijing Luo, Long Li, Qiong Liu and Amardeep Singh
Buildings 2026, 16(3), 626; https://doi.org/10.3390/buildings16030626 - 2 Feb 2026
Abstract
As 3D printing emerges as a transformative technology in construction, the structural performance of 3D-printed mortar (3DPM) has become a key research focus. This study conducted shear tests on reinforced specimens combining 3D-printed mortar (3DPM) and normal mortar (NM). Four different shapes of [...] Read more.
As 3D printing emerges as a transformative technology in construction, the structural performance of 3D-printed mortar (3DPM) has become a key research focus. This study conducted shear tests on reinforced specimens combining 3D-printed mortar (3DPM) and normal mortar (NM). Four different shapes of interfacial locking design (I-shaped, K-shaped, C-shaped, S-shaped) were examined, comparing reinforced (CR) and non-reinforced (NR) specimens. The investigation analyzed failure modes, crack propagation patterns, and shear transfer mechanisms at CR series specimens under direct shear loading. CR-S specimens exhibited a shear peak load value 14.0% higher than CR-K specimens, 33.2% higher than CR-C specimens, and 42.9% higher than CR-I specimens. CR-I specimens exhibited pure adhesive failure. CR-K, CR-C, and CR-S specimens showed composite failure patterns combining adhesive and shear failure mechanisms. Strain analysis revealed the maximum horizontal strain εxx across all specimen shapes. CR-C and CR-S specimens recorded strain values exceeding CR-I and CR-K specimens by over 50%. Reinforcement produced pronounced increases in ultimate bearing capacity for I-shaped and C-shaped specimens, achieving gains of 51.9% and 60.4%, respectively. Reinforcement substantially enhanced energy dissipation capacity. Compared with NR series specimens, the performance improvements ranked as follows: CR-C (+164.67%) > CR-S (+70.70%) > CR-I (+52.05%) > CR-K (+9.42%). Full article
(This article belongs to the Special Issue Low Carbon and Green Materials in Construction—3rd Edition)
Show Figures

Figure 1

29 pages, 4675 KB  
Article
Bending Capacity and Rotational Stiffness of Glued and Detachable Corner Joints in PMMA/ATH Solid-Surface Composites
by Boryana Petrova, Vassil Jivkov and Nikolay Yavorov
J. Compos. Sci. 2026, 10(2), 78; https://doi.org/10.3390/jcs10020078 (registering DOI) - 2 Feb 2026
Abstract
Quantitative data on the bending capacity and rotational stiffness of corner joints made from acrylic solid-surface PMMA/ATH composites are limited, despite their widespread use in furniture and interior components. The study provides comparative bending moment and rotational-stiffness benchmarks for 18 PMMA/ATH corner-joint series, [...] Read more.
Quantitative data on the bending capacity and rotational stiffness of corner joints made from acrylic solid-surface PMMA/ATH composites are limited, despite their widespread use in furniture and interior components. The study provides comparative bending moment and rotational-stiffness benchmarks for 18 PMMA/ATH corner-joint series, using a stiffness-evaluation procedure tailored to corner-joint testing. L-type joints produced from two commercial PMMA/ATH materials (Kerrock and Corian) at 6- and 12-mm thickness were manufactured in 18 configurations, including glued butt, 45° mitre, reinforced mitre, rebate, groove variants, and detachable Minifix eccentric and Lamello Clamex connectors. Specimens were tested under arm-compression bending and maximum bending moment (Mmax), and joint rotational stiffness was derived. The best-glued solution was the 12 mm Kerrock 45° mitre with Mmax 186.21 N·m, whereas the strongest 6 mm joint reached 40 N·m. Reinforcing the 12 mm Kerrock mitre joint increased stiffness to 9521 N·m/rad but did not increase bending capacity relative to the non-reinforced mitre. Detachable joints formed a clearly distinct low-rigidity class with bending moments of 2.22–3.89 N·m and stiffness below 194 N·m/rad. Overall, thickness and joint geometry dominate both strength and stiffness, and the tested detachable connectors should be reserved for applications requiring disassembly rather than for load-bearing corners. Full article
(This article belongs to the Section Composites Applications)
15 pages, 2699 KB  
Article
Preliminary Diagnostic Seismic Analysis of an In-Service Curved Prestressed Concrete Box Girder Bridge with a Mid-Span Hinge
by Stefano Bozza, Alessandro Mazelli, Marco Fasan, Eric Puntel, Natalino Gattesco and Chiara Bedon
Buildings 2026, 16(3), 623; https://doi.org/10.3390/buildings16030623 - 2 Feb 2026
Abstract
Since a significant part of the Italian territory was not seismically classified until 2003, most existing bridges have been designed—for decades—disregarding earthquake-induced excitations. In fact, this means that load-bearing devices and shear keys of presently in-service infrastructures may not be up to current [...] Read more.
Since a significant part of the Italian territory was not seismically classified until 2003, most existing bridges have been designed—for decades—disregarding earthquake-induced excitations. In fact, this means that load-bearing devices and shear keys of presently in-service infrastructures may not be up to current codes, both in terms of resistance and displacement capacity. Robust investigations are hence required for verifications and possible retrofit. In this study, the seismic behaviour of a case study post-tensioned concrete bridge built in the 1980s is numerically analysed. The examined structure is 440 m long and composed of nine spans, built with precast segments using the balance cantilever construction method. The deck is divided into two parts connected by a hinged joint in the middle of the central span, obtained with three shear keys and originally designed to allow for thermal expansion only. Most importantly, the mid-span hinge, the end joints and the bearing devices were originally designed without considering the effects of seismic action. In order to preliminarily investigate the performance of devices and joints, the case study bridge is analysed by means of non-linear dynamic time history simulations, formulating different hypotheses about the non-linear behaviour of the load bearings. Forces and displacements over time are obtained for a set of seven accelerograms, and maximum values are compared to the capacity of the bridge devices. Results are then critically discussed. Full article
Show Figures

Figure 1

19 pages, 4026 KB  
Article
Field Experimental Study on the Influence of Different Grouting Methods on the Bearing Performance of Bored Piles in Soft Soil Areas
by Yunfeng Hu, Chunlin He, Lvshan Huang, Liehui Mao and Guoliang Dai
Buildings 2026, 16(3), 602; https://doi.org/10.3390/buildings16030602 - 2 Feb 2026
Abstract
Post-grouting is an active reinforcement technique that can significantly enhance the bearing performance of bored piles. This study conducted field tests on three in situ test piles using tip grouting, side grouting, and combined tip-side grouting. Based on the analysis of static load [...] Read more.
Post-grouting is an active reinforcement technique that can significantly enhance the bearing performance of bored piles. This study conducted field tests on three in situ test piles using tip grouting, side grouting, and combined tip-side grouting. Based on the analysis of static load test data, the improvement effects of different grouting methods on the vertical bearing behavior of the piles were quantified. In situ tests were then performed to elucidate the reinforcement mechanisms of various post-grouting techniques on the pile foundations. Based on the validated finite element model, the study explored the influence of key grouting parameters on the bearing performance of grouted piles. Analysis of the test data shows that all grouting methods improved the vertical bearing capacity of bored piles. The positive effect of tip grouting was more pronounced than that of side grouting. Furthermore, in the clay layer of the soft soil region, side grouting primarily manifested as splitting grouting, while tip grouting formed a hardened grout bulb at the pile tip through cementation and solidification, thereby significantly enhancing the mobilization of the pile tip bearing capacity. Finite element model analysis shows that, in terms of enhancing the bearing capacity of the pile, expanding the grout diffusion range is more effective than increasing the grout material strength. Full article
(This article belongs to the Section Building Structures)
Show Figures

Figure 1

30 pages, 12752 KB  
Article
Study on Influence of Roller Profile Modification on Wear of Tapered Roller Bearing
by Zhaoxia Luo, Dingkang Zhu, Wenjing Zhang, Weisong Tian, Yu Zhang, Koucheng Zuo and Lai Hu
Lubricants 2026, 14(2), 69; https://doi.org/10.3390/lubricants14020069 - 2 Feb 2026
Abstract
Addressing the scientific problem that the profile modification design of tapered roller bearings primarily focuses on contact stress and fatigue life while neglecting its impact on wear evolution, this paper, based on Hertzian contact theory and the Archard wear theory, and considering centrifugal [...] Read more.
Addressing the scientific problem that the profile modification design of tapered roller bearings primarily focuses on contact stress and fatigue life while neglecting its impact on wear evolution, this paper, based on Hertzian contact theory and the Archard wear theory, and considering centrifugal force, gyroscopic effect, and the complex contact state between rollers and raceways, constructed a comprehensive analysis framework integrating a quasi-static model for profiled rollers and a wear depth calculation model. This framework is novel in that it systematically couples roller profile modification parameters with raceway wear evolution under both pure axial and combined radial–axial loads. The validity and effectiveness of the proposed model were verified by comparing the results of the quasi-static model with load distribution data from existing literature and through measurements conducted on a specially designed bearing wear test platform. The main findings are as follows: (1) When the logarithmic modification parameter f1 increases from 0.7 μm to 3.6 μm, the maximum wear depth of the inner raceway increases by 133% under pure axial load and 144% under combined load, while that of the outer raceway increases by 142% under pure axial load and expands from 0.1–0.2 μm to 0.23–0.52 μm under combined load. (2) Combined load induces significant asymmetric wear on the outer raceway, and the difference between the two wear peaks increases from 0.13 μm to 0.35 μm as f1 rises from 0.7 μm to 3.6 μm. (3) The wear peak shifts toward the midpoint of the roller generatrix with increasing modification amount. These results provide important guidance for the wear-oriented optimization design of tapered roller bearings. Full article
(This article belongs to the Special Issue High Performance Machining and Surface Tribology)
Show Figures

Figure 1

19 pages, 5901 KB  
Article
Effect of Groove Structures on Lubrication and Vibration Characteristics of Multi-Layer Composite Water-Lubricated Bearings
by Meng Kong, Gengyuan Gao, Lei Wang and Shijie Yu
Lubricants 2026, 14(2), 68; https://doi.org/10.3390/lubricants14020068 - 2 Feb 2026
Abstract
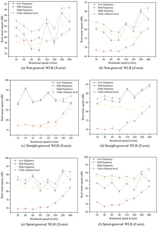
To meet the demand for water-lubricated bearings (WLBs) with low vibration, low noise and high load-carrying capacity in propulsion systems, this study designed and tested a three-layer composite WLB consisting of an inner phenolic working layer, a middle rubber damping layer and a [...] Read more.
To meet the demand for water-lubricated bearings (WLBs) with low vibration, low noise and high load-carrying capacity in propulsion systems, this study designed and tested a three-layer composite WLB consisting of an inner phenolic working layer, a middle rubber damping layer and a glass-fiber-reinforced composite layer. The lubrication, vibration and wear behaviors of three bearings with different groove structures, namely a non-grooved bushing, a fully straight-grooved bushing and a fully spiral-grooved bushing, were comparatively investigated under combined variations in rotational speed (20–400 r/min), specific pressure (0.18–0.8 MPa) and water flow rate (5–20 L/min). The results demonstrate that both specific pressure and flow rate strongly govern the transition from mixed lubrication to hydrodynamic lubrication and the associated vibration response. As the specific pressure and water flow rate increase, the transition speed and coefficient of friction of grooved bearings, particularly straight-grooved bearings, increase markedly. Non-grooved bearings consistently maintain the lowest levels, while spiral-grooved bearings exhibit lubrication performance intermediate between the above two types. Under low-speed and heavy-load conditions, non-grooved bearings show the smallest increase in vibration amplitude. Grooves amplify high-frequency vibrations and inject medium- and high-frequency energy as rotational speed increases. Considering lubrication, vibration control, and wear resistance simultaneously, spiral-grooved bearings exhibit the most robust overall performance under realistic operating conditions. The results provide experimental evidence and practical design guidance for groove-structure selection in multi-layer composite WLBs operating under low-speed and heavy-load conditions. Full article
(This article belongs to the Special Issue Water Lubricated Bearings)
Show Figures

Figure 1

26 pages, 13529 KB  
Article
Study on Wind-Induced Response of Multi-Row Large-Span Cable Flexible Photovoltaic Panels
by Jinzhi Wu, Zhongya Yuan, Guojun Sun and Zhaohui Lu
Buildings 2026, 16(3), 599; https://doi.org/10.3390/buildings16030599 - 1 Feb 2026
Abstract
With its benefits of high efficiency and cheap cost, solar photovoltaic is rebuilding the energy supply and demand system as the world’s energy structure shifts to a clean one. This research investigates the wind-induced vibration response of a multi-row flexible photovoltaic system using [...] Read more.
With its benefits of high efficiency and cheap cost, solar photovoltaic is rebuilding the energy supply and demand system as the world’s energy structure shifts to a clean one. This research investigates the wind-induced vibration response of a multi-row flexible photovoltaic system using large eddy simulation and the two-way fluid–solid coupling approach. Firstly, the two-way coupling and the standard shape coefficient are compared to verify the reliability of the simulation method. Then, the model of multi-row flexible photovoltaics is analyzed to determine the natural frequency and vibration mode of the photovoltaic system. Finally, the vertical displacement of the photovoltaic system and the internal force of the cable are studied by investigating different wind direction angles and initial pretension. It is discovered that the natural frequency of the flexible photovoltaic system exhibits a stepwise increase in three distinct stages. Both the internal force in the load-bearing cable and the vertical displacement of the photovoltaic system decrease with increasing wind direction angle, with the cable force lagging behind at the peak time. The internal force and vertical displacement of the first row of load-bearing cables are at their highest at the 0° direction angle. The difference between the cable’s internal force’s peak and valley values grows when the pretension is low. The cable pretension significantly affects the vibration response of the flexible photovoltaic more than the angle of direction. The response law of direction angle and pretension to multi-row flexible photovoltaic wind-induced vibration is revealed, which provides a basis for wind-resistant design. Full article
Show Figures

Figure 1

24 pages, 897 KB  
Review
Mechanical Compatibility Is the New Biocompatibility: A Process View of Implant Success
by Lebogang Lebea, Rudzani Sigwadi, Thanyani Pandelani and Fulufhelo Nemavhola
Processes 2026, 14(3), 505; https://doi.org/10.3390/pr14030505 - 1 Feb 2026
Abstract
Implant science has traditionally treated “biocompatibility” as the master criterion of success, focusing on cytotoxicity, corrosion, immune response, infection control, and the chemical stability of materials in vivo. However, many clinically “biocompatible” devices still fail at the point where the body actually meets [...] Read more.
Implant science has traditionally treated “biocompatibility” as the master criterion of success, focusing on cytotoxicity, corrosion, immune response, infection control, and the chemical stability of materials in vivo. However, many clinically “biocompatible” devices still fail at the point where the body actually meets the device: the mechanical interface. The interface is not a passive boundary. It is a living, adapting, mechanosensitive microenvironment in which cells integrate stiffness, micromotion, surface roughness, fluid shear, and wear debris with biochemical signals to decide whether to incorporate an implant, wall it off, resorb adjacent tissue, or trigger chronic inflammation. In load-bearing orthopaedics, stiffness mismatch produces stress shielding and maladaptive remodelling; excessive micromotion drives fibrous encapsulation rather than osseointegration; abrasive wear creates particulates that sustain macrophage activation and osteolysis; and design choices that are mechanically adequate in bench tests can still fail in vivo when the implant–tissue system evolves. In soft-tissue implantation, substrate stiffness can be a primary driver of the foreign body response and fibrotic capsule formation through mechanosensitive pathways, such as TRPV4-mediated macrophage–fibroblast signalling. Mechanical compatibility is not a replacement for classical biocompatibility; rather, it should be treated as a co-equal, first-class design requirement in mechanosensitive organisms. Chemically biocompatible materials can still fail through stiffness mismatch, micromotion, fretting and wear debris generation, and mechanobiology-driven fibrosis or osteolysis. We therefore propose a process view of implant success: tissue mechanics should be measured in clinically relevant states, transformed into constitutive models and interface performance envelopes, translated into explicit mechanical-compatibility specifications, and then realised through manufacturing process windows that can reliably reproduce targeted architectures and surface states. Additive manufacturing and microstructural engineering enable the tuning of modulus, the formation of porosity gradients, and the generation of patient-specific compliance fields, but these advances only improve outcomes when coupled to metrology, statistical process control, and validation loops that close the gap between intended and realised interface mechanics through clinical surveillance. Full article
(This article belongs to the Special Issue Multiscale Modeling and Control of Biomedical Systems)
Show Figures

Figure 1

18 pages, 2652 KB  
Article
Fluid–Structure Interaction Study of S-CO2 Radial Hydrodynamic Lubricated Bearings Under Different Rotational Speeds
by Chengtao Niu, Sung-Ki Lyu, Yu-Ting Wu, Zhen Qin, Shixuan Wang and Sicheng Niu
Coatings 2026, 16(2), 182; https://doi.org/10.3390/coatings16020182 - 1 Feb 2026
Abstract
High-speed rotating machinery often demands bearings with superior load capacity and thermal stability. Here, a four-chamber radial hydrodynamic sliding bearing using supercritical carbon dioxide (S-CO2) as a lubricant is investigated to address these requirements. The work is carried out on the [...] Read more.
High-speed rotating machinery often demands bearings with superior load capacity and thermal stability. Here, a four-chamber radial hydrodynamic sliding bearing using supercritical carbon dioxide (S-CO2) as a lubricant is investigated to address these requirements. The work is carried out on the ANSYS Workbench 2024 R1 platform. Computational fluid dynamics (CFD) and structural mechanics are combined to build a fluid–structure interaction (FSI) numerical model. The model accounts for real-gas thermophysical property variations. S-CO2 properties are dynamically retrieved using the REFPROP database and MATLAB curve fitting. Unlike previous studies that mainly focused on hydrostatic structures and general parameters, this research examines hydrodynamic lubrication behavior under ultra-high-speed conditions. It systematically analyzes the effects of rotational speed on oil film pressure distribution, load capacity, friction coefficient, and housing deformation. It also investigates cavitation characteristics in a specific speed range. Simulation outcomes reveal that higher rotational speeds lead to an increase in both oil film load capacity and peak pressure. In particular, when the speed rises from 4000 r/min to 12,000 r/min, the maximum positive pressure increases from about 10 MPa to approximately 10.4 MPa. Meanwhile, the negative pressure region becomes significantly larger, which raises the cavitation risk and indicates a less stable lubrication state at very high speeds. These results confirm that lubrication simulations incorporating real-gas effects can reliably represent the operating behavior and provide useful guidance. It also provides new theoretical support for the design optimization and engineering application of S-CO2-lubricated bearings in high-speed machinery. Full article
(This article belongs to the Section Liquid–Fluid Coatings, Surfaces and Interfaces)
Show Figures

Figure 1

20 pages, 5325 KB  
Article
Study on Pressure-Bearing Performance and Application of Narrow Coal Pillars Reinforced by Bidirectional Tension Anchor Cables
by Ang Li, Shengqi Tian, Liuyi Fan, Nin Yang and Hao Li
Appl. Sci. 2026, 16(3), 1465; https://doi.org/10.3390/app16031465 - 31 Jan 2026
Viewed by 53
Abstract
To address the insufficient bearing capacity and severe deformation of narrow coal pillars in deep gob-side entries under the influence of residual dynamic loading and hydraulic punching of the coal mass, this study investigates the plastic-damage evolution mechanism of narrow pillars and proposes [...] Read more.
To address the insufficient bearing capacity and severe deformation of narrow coal pillars in deep gob-side entries under the influence of residual dynamic loading and hydraulic punching of the coal mass, this study investigates the plastic-damage evolution mechanism of narrow pillars and proposes a novel “grip-anchoring (GA)” collaborative support system. A physical model testing system for narrow coal pillars reinforced by double-pull cable bolts was established based on similarity theory, and six support schemes were designed for comparative experiments. Digital image correlation was employed to analyze the displacement field and the evolution of plastic failure, and an industrial-scale field test was carried out to verify the reliability of the proposed support technology. The results indicate that the double-pull cable bolts, through a “dual-tensioning and synergistic locking” procedure, can effectively solve the support challenges of narrow coal pillars under asynchronous excavation. The dense double-row double-pull cable-bolt scheme maintained overall structural stability even under a 2.5p overload, with only localized damage occurring at the roof- and floor-corner zones of the pillar. This scheme exhibited the smallest deformation and the highest peak load among all tested configurations, demonstrating its significant advantage in enhancing structural stability. Full article
(This article belongs to the Special Issue Advances in Coal Mining Technologies)
Show Figures

Figure 1

25 pages, 8201 KB  
Article
Camptothecin-Bearing PEGylated Polypropylenimine Dendriplexes for Prostate Cancer Gene Therapy: Impact of Microfluidic Processing on Physicochemical Properties and Transfection
by Zainab Al-Quraishi, Hawraa Ali-Jerman, Partha Laskar, Ashish Muglikar, Logan Mackie, Margaret Mullin, Graeme Mackenzie, Rothwelle J. Tate, Muattaz Hussain, Yvonne Perrie and Christine Dufès
Pharmaceutics 2026, 18(2), 190; https://doi.org/10.3390/pharmaceutics18020190 - 31 Jan 2026
Viewed by 61
Abstract
Background/Objectives: Prostate cancer is the most commonly diagnosed cancer in men and a leading cause of cancer-related mortality, highlighting the need for delivery systems capable of efficiently transporting both chemotherapeutic drugs and therapeutic genes to tumor cells. Generation-3 diaminobutyric polypropylenimine (DAB) dendrimers display [...] Read more.
Background/Objectives: Prostate cancer is the most commonly diagnosed cancer in men and a leading cause of cancer-related mortality, highlighting the need for delivery systems capable of efficiently transporting both chemotherapeutic drugs and therapeutic genes to tumor cells. Generation-3 diaminobutyric polypropylenimine (DAB) dendrimers display low toxicity, high drug loading capacity and efficient gene delivery, and can be engineered as camptothecin-bearing PEGylated carriers complexed with plasmid DNA. The aim of this study was to compare microfluidic processing with conventional hand mixing for the preparation of camptothecin-bearing PEGylated DAB dendriplexes and to evaluate the impact of formulation methods and microfluidic parameters on their physicochemical properties, cellular uptake and gene expression in prostate cancer cells. Methods: Camptothecin-bearing PEGylated DAB dendrimers were synthesized and complexed with plasmid DNA to form dendriplexes. Formulations were prepared either by microfluidics, using different total flow rates and aqueous: organic flow rate ratios, or by conventional hand mixing. The resulting dendriplexes were characterized for DNA condensation, particle size, polydispersity index and zeta potential. Morphology was assessed by transmission electron microscopy. Cellular uptake of fluorescein-labelled DNA and β-galactosidase reporter gene expression were evaluated in PC3-Luc and DU145 prostate cancer cells. Results: Both microfluidic and hand-mixed methods produced stable, nanosized, positively charged dendriplexes with efficient and sustained DNA condensation (more than 99% over 24 h). Microfluidic processing, particularly at an aqueous: organic flow rate ratio of 3:1, yielded dendriplexes with hydrodynamic diameters and zeta potentials comparable to or slightly improved over hand-mixed formulations. These microfluidic conditions significantly enhanced cellular uptake in both PC3-Luc and DU145 cells. In PC3-Luc cells, this translated into β-galactosidase expression levels comparable to hand-mixed dendriplexes and higher than naked DNA, whereas in DU145 cells, transfection efficiencies remained modest for all formulations despite increased uptake. Conclusions: Microfluidic processing enables the reproducible and scalable preparation of camptothecin-bearing PEGylated DAB dendriplexes with tunable physicochemical properties. Under selected conditions, in vitro cellular uptake and gene expression were comparable to conventional hand mixing, supporting microfluidics as a robust alternative platform for the manufacture of dendrimer-based systems for combined chemo–gene delivery in prostate cancer. Full article
(This article belongs to the Special Issue Dendrimers in Nanomedical Applications: Update and Future Directions)
22 pages, 11088 KB  
Article
Research on Error Sensitivity Mechanism, Load-Bearing Contact Analysis and Load-Bearing Contact Characteristics of Curved Face Gears Based on Point Cloud Modeling
by Qing Li, Runshan Gao, Chongxi Zhao, Jiaqi Ji, Moudong Wu, Chong Tian and Qi Yin
Mathematics 2026, 14(3), 511; https://doi.org/10.3390/math14030511 - 31 Jan 2026
Viewed by 48
Abstract
To address the limitations of traditional analytical modeling in capturing complex surface topographies, this paper presents comprehensive research on the error sensitivity mechanism, loaded tooth contact analysis (LTCA), and load-bearing contact characteristics of curved face gears based on high-precision point cloud modeling. The [...] Read more.
To address the limitations of traditional analytical modeling in capturing complex surface topographies, this paper presents comprehensive research on the error sensitivity mechanism, loaded tooth contact analysis (LTCA), and load-bearing contact characteristics of curved face gears based on high-precision point cloud modeling. The primary objectives are threefold: (1) to establish a high-fidelity topological reconstruction framework using Non-Uniform Rational B-Splines (NURBS) to bridge the gap between discrete data and finite element analysis (FEA); (2) to reveal the inherent mechanical response and sensitivity mechanism to spatial installation misalignments; and (3) to evaluate the contact performance and transmission error fluctuations under operational loads. Specifically, an analytical discretization method is proposed for point cloud generation, followed by a dual-path validation system integrating “rigid tooth contact analysis (TCA)” and “loaded FEA”. The results demonstrate that the proposed reconstruction achieves a superior accuracy with a Root Mean Square Error (RMSE) of 2.2 × 10−3 mm. Furthermore, shaft angle error is identified as the dominant sensitivity factor affecting transmission smoothness and edge contact, exerting a more significant influence than offset and axial errors. Compared with existing research on arc-tooth and helical face gears, this work provides a more robust closed-loop verification for curved profiles, revealing that material elastic deformation increases transmission error amplitude by 10.1% to 17.2%. These insights offer a theoretical reference for the high-precision assembly and tolerance allocation of helicopter transmission systems. Full article
(This article belongs to the Section E2: Control Theory and Mechanics)
Show Figures

Figure 1

17 pages, 4734 KB  
Article
Mechanism and Parameter Optimization of Advanced Support for Flexible-Formwork Concrete, Gob-Side Entry Retaining
by Qian Qin, Weiming Guan, Haosen Wang and Manchao He
Symmetry 2026, 18(2), 266; https://doi.org/10.3390/sym18020266 - 31 Jan 2026
Viewed by 58
Abstract
Flexible-formwork concrete (FFC) is widely adopted in gob-side entry retaining (GER). However, the roadside FFC wall cannot provide sufficient load-bearing capacity immediately after casting. This time-dependent strength gain induces a distinct structural and mechanical asymmetry—solid coal on one side versus a developing FFC [...] Read more.
Flexible-formwork concrete (FFC) is widely adopted in gob-side entry retaining (GER). However, the roadside FFC wall cannot provide sufficient load-bearing capacity immediately after casting. This time-dependent strength gain induces a distinct structural and mechanical asymmetry—solid coal on one side versus a developing FFC wall on the other—which significantly amplifies advance-pressure-driven roof damage. Field inspections using borehole cameras in the N1215 panel of the Ningtiaota Coal Mine confirmed this failure mechanism, revealing severe roof fracturing and progressive degradation in the advance zone. To address this, a three-dimensional numerical model was established to reproduce the full mining process and identify the pressure zoning characteristics. Parametric comparative simulations were systematically performed considering three key design variables: advance support length, hydraulic prop spacing, and roof anchor cable spacing. To strictly quantify the control performance, a comprehensive evaluation system was defined, including roof stress increase rate, side abutment pressure increase rate, and deformation control rate. The results indicate that the advance-pressure-affected region extends significantly ahead of the face, and the marginal benefit of support intensification diminishes beyond specific thresholds. Consequently, a symmetry-enhancing “hydraulic prop-anchor cable coupled” advance support strategy was proposed to compensate for the inherent asymmetry of FFC-based GER. Field application in the belt transport roadway of the N1215 panel indicates that roadway convergence was effectively restrained, with roof–floor convergence of 13 mm and side convergence of 9 mm at the monitored section, confirming the applicability of the optimized design for maintaining entry stability during safe mining. Full article
(This article belongs to the Section Engineering and Materials)
Show Figures

Figure 1

Back to TopTop