Sign in to use this feature.

Years

Between: -

Subjects

remove_circle_outline
remove_circle_outline
remove_circle_outline
remove_circle_outline
remove_circle_outline
remove_circle_outline
remove_circle_outline
remove_circle_outline
remove_circle_outline

Journals

remove_circle_outline
remove_circle_outline
remove_circle_outline
remove_circle_outline
remove_circle_outline
remove_circle_outline
remove_circle_outline
remove_circle_outline
remove_circle_outline
remove_circle_outline
remove_circle_outline
remove_circle_outline
remove_circle_outline
remove_circle_outline
remove_circle_outline
remove_circle_outline
remove_circle_outline
remove_circle_outline
remove_circle_outline
remove_circle_outline
remove_circle_outline
remove_circle_outline

Article Types

Countries / Regions

remove_circle_outline
remove_circle_outline
remove_circle_outline
remove_circle_outline
remove_circle_outline
remove_circle_outline
remove_circle_outline
remove_circle_outline
remove_circle_outline
remove_circle_outline
remove_circle_outline

Search Results (3,885)

Search Parameters:
Keywords = livestock products

Order results
Result details
Results per page
Select all
Export citation of selected articles as:
16 pages, 1529 KB  
Article
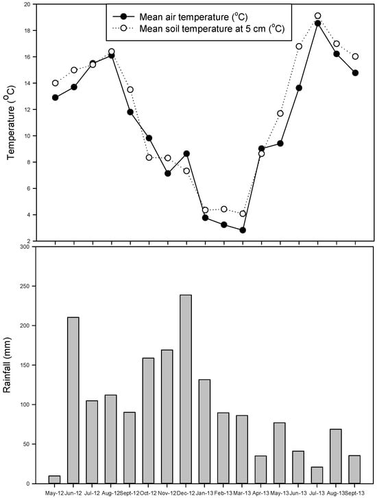
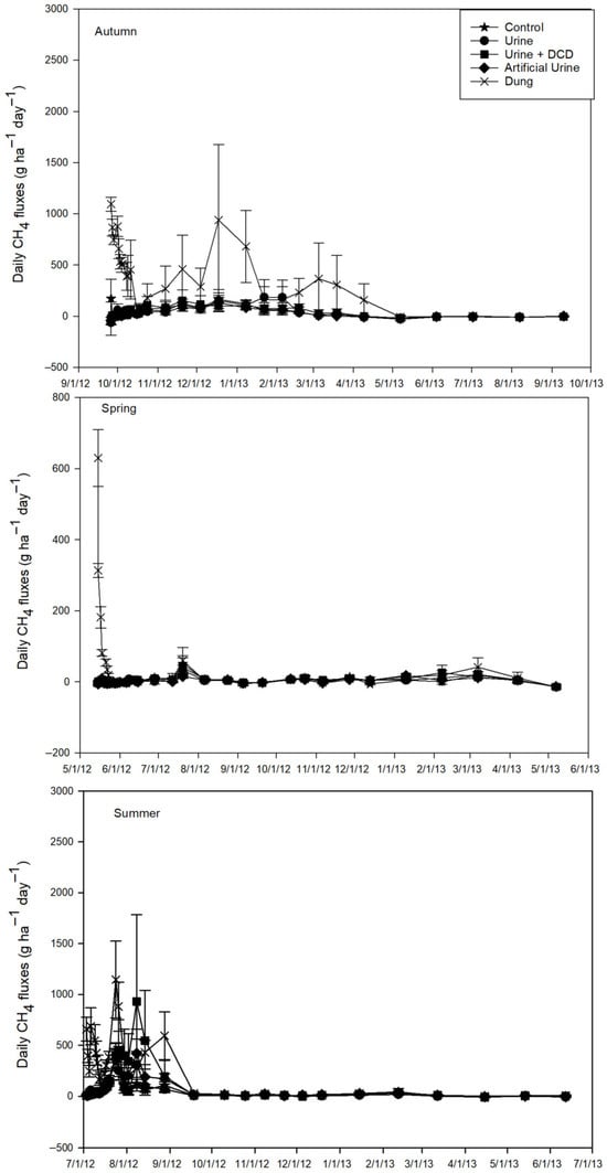
Dynamics of Soil CH4 and CO2 Fluxes from Cattle Urine with and Without a Nitrification Inhibitor, and Dung Deposited onto a UK Grassland Soil
by Jerry Celumusa Dlamini, David Chadwick and Laura Maritza Cardenas
Methane 2026, 5(1), 4; https://doi.org/10.3390/methane5010004 - 19 Jan 2026
Abstract
Food production systems associated with livestock management are significant sources of greenhouse gases (GHGs). Livestock excreta are one of the primary sources of GHG emissions from grazing livestock. Against this context, a field experiment was established in a UK grassland to establish the [...] Read more.
Food production systems associated with livestock management are significant sources of greenhouse gases (GHGs). Livestock excreta are one of the primary sources of GHG emissions from grazing livestock. Against this context, a field experiment was established in a UK grassland to establish the extent of soil methane (CH4), carbon dioxide (CO2), andN2O fluxes upon the deposition of (i) cattle urine (U), (ii) urine + dicyandiamide (DCD) (U + DCD), (iii) artificial urine (AU), and dung (D), and compared with a (iv) control, where neither urine nor dung was applied. Excreta applications were made at three experimental periods during the grazing season: early-, mid-, and late-season. Soil N2O emissions data have been published already by co-authors; hence, this paper summarizes the emissions of soil-borne CH4 and CO2 emissions, and explores in particular, the effects of the addition of DCD, a nitrification inhibitor used to reduce direct and indirect N2O emissions from urine patches, on these (carbon) C-GHGs. Soil moisture (p = 0.47), soil temperature (p = 0.51), and nitrate (NO3) (p = 0.049) and ammonium (NH4+) (p = 0.66) availability, and C (p = 0.54) addition were key controls of both soil CH4 and CO2 emissions. The dung treatment stimulated the production and subsequent emissions of soil CH4 and CO2, a significantly high net CH4 and CO2-based global warming potential (GWP). The findings of the current study lay a foundation for an in-depth understanding of the magnitude and dynamics of soil-borne CH4 and CO2 upon urine and dung deposition during three different seasons. This study implies that the use of DCD may have the potential to reduce carbon-based GHGs from the urine and dung of grazing animals. Full article
Show Figures

Figure 1

24 pages, 3263 KB  
Article
Valorization of Hemp, Shrimp and Blue Crab Co-Products as Novel Culture Media Ingredients to Improve Protein Quality and Antioxidant Capacity of Cultured Meat in Cell-Based Food Applications
by Davide Lanzoni, Simona Manuguerra, Rosaria Arena, Andrea Santulli, Luca Marchetti, Concetta Maria Messina and Carlotta Giromini
Foods 2026, 15(2), 352; https://doi.org/10.3390/foods15020352 - 18 Jan 2026
Abstract
Cultured meat (CM) is a promising alternative to conventional livestock production. However, its scalability is limited by the reliance on fetal bovine serum (FBS) in cell culture media (CCM). This study investigated protein hydrolysates derived from hemp flowers (HFs), hempseeds (HSs), hempseed protein [...] Read more.
Cultured meat (CM) is a promising alternative to conventional livestock production. However, its scalability is limited by the reliance on fetal bovine serum (FBS) in cell culture media (CCM). This study investigated protein hydrolysates derived from hemp flowers (HFs), hempseeds (HSs), hempseed protein (HP), shrimp (SH), and blue crab (BC) co-products as sustainable CCM supplements. Hydrolysates were produced by Alcalase® enzymatic hydrolysis and tested on C2C12 murine myoblasts proliferation and viability. At the concentration of 11.7 mg/mL, no significant differences in cell viability were observed between hydrolysates and 10% FBS at 24 and 48 h. At 72 h post-treatment, 10% FBS resulted in the greatest increase in cell proliferation, whereas SH and BC treatments preserved a more physiological myoblastic morphology. Intracellular protein accumulation at 72 h in 10% FBS- and SH-treated cells was equal to 24.66 ± 1.37 and 18.79 ± 1.99 µg/mg, respectively, and 5.75 ± 2.32 µg/mg in BC while hemp-derived hydrolysates exhibited limited intracellular protein utilization. All hydrolysates significantly enhanced intracellular antioxidant activity compared with FBS (5.83 ± 1.12 µmol FeSO4/mg). Although further studies are required to assess long-term performance and large-scale applicability, these findings demonstrate the short-term potential of plant- and marine-derived co-products as sustainable CCM supplements, particularly for enhancing the antioxidant profile of cell biomass. Full article
Show Figures

Graphical abstract

11 pages, 3186 KB  
Article
Whole-Genome Sequencing Reveals Genetic Diversity and Structure of Taiwan Commercial Red-Feathered Country Chickens
by Ya-Wen Hsiao, Kang-Yi Su and Chi-Sheng Chang
Animals 2026, 16(2), 286; https://doi.org/10.3390/ani16020286 - 16 Jan 2026
Viewed by 76
Abstract
Whole-genome sequencing is a powerful approach for exploring genomic diversity in livestock species. Chickens (Gallus gallus) are an important food source worldwide, and in Taiwan, poultry production contributes substantially to the livestock industry. Taiwan’s commercial red- and black-feathered country chickens dominate [...] Read more.
Whole-genome sequencing is a powerful approach for exploring genomic diversity in livestock species. Chickens (Gallus gallus) are an important food source worldwide, and in Taiwan, poultry production contributes substantially to the livestock industry. Taiwan’s commercial red- and black-feathered country chickens dominate this category and play a crucial role in local poultry production. However, fundamental genomic information on their population structure remains limited. To address this gap, this study generated whole-genome sequencing data from red-feathered country chickens originating from four major breeding farms. Genetic diversity analyses revealed uniformly low genetic diversity across all farms. Runs of homozygosity (ROH) analyses indicated predominantly historical inbreeding, with farm-specific differences in recent inbreeding patterns. Population structure analyses revealed clear clustering of individuals according to farm origin, indicating distinct line structures among breeding farms. These results provide the first comprehensive genomic overview of Taiwan’s commercial red-feather country chickens and offer valuable reference information for future breeding strategies and the development of new lines. Full article
(This article belongs to the Section Poultry)
Show Figures

Figure 1

13 pages, 1048 KB  
Article
Supplemented Feed for Broiler Chickens: The Influence of Red Grape Pomace and Grape Seed Flours on Meat Characteristics
by Manuela Mauro, Alessandro Attanzio, Carla Buzzanca, Marialetizia Ponte, Vita Di Stefano, Ignazio Restivo, Giuseppe Maniaci, Angela D’Amico, Antonino Di Grigoli, Emiliano Gurrieri, Antonio Fabbrizio, Sabrina Sallemi, Luisa Tesoriere, Francesco Longo, Rosario Badalamenti, Aiti Vizzini, Maria Grazia Cappai, Mirella Vazzana and Vincenzo Arizza
Animals 2026, 16(2), 280; https://doi.org/10.3390/ani16020280 - 16 Jan 2026
Viewed by 87
Abstract
Intensive broiler chicken farming is one of the most important livestock sectors globally. However, intensive production systems raise concerns about farm sustainability, as well as ensuring animal welfare and product quality. For this reason, identifying novel, high-value-added feed ingredients is crucial. Winery by-products [...] Read more.
Intensive broiler chicken farming is one of the most important livestock sectors globally. However, intensive production systems raise concerns about farm sustainability, as well as ensuring animal welfare and product quality. For this reason, identifying novel, high-value-added feed ingredients is crucial. Winery by-products (WBPs) are a valuable source of bioactive compounds and can be utilized as functional feed ingredients. This study evaluated the effects of dietary supplementation with grape seed meal and grape pomace meal in diets for broilers up to 42 days of age. Three dietary treatments were formulated—grape seed meal (3% and 6%), grape pomace meal (3% and 6%), and a combination (3% seed meal + 3% pomace meal)—along with a standard diet (control). The proximal composition (moisture, protein, fatty acid profile, fats, ash), antioxidant parameters (ROS, GSH, NO, POV), free radical scavenging activity (DPPH and ABTS•+), and total phenolic content of the meat and physical characteristics (color) were assessed. While proximal composition of meat was not significantly influenced by the dietary treatment, some parameters, such as total phenolic content, PUFA levels, and antioxidant and free radical scavenging activity, were improved. These results demonstrate enhanced favorable traits improving chicken meat quality and confirm the potential of WBPs as functional feed ingredients, promoting a more sustainable production model aligned with the principles of the circular economy. Full article
(This article belongs to the Section Animal Products)
Show Figures

Figure 1

16 pages, 4151 KB  
Article
Potential Productivity Model (M3P) as a Planning Tool for Degraded Pastures in the Amazon Deforestation Arc, Brazil
by Pedro Guerreiro Martorano, Carlos Simões Pereira, Lucietta Guerreiro Martorano, Leila Sheila Silva Lisboa, Nelson Ken Narusawa Nakakoji, Carlos Emílio Rocha-Pereira, Carlos Tadeu dos Santos Dias and João Fernandes da Silva-Júnior
World 2026, 7(1), 13; https://doi.org/10.3390/world7010013 - 16 Jan 2026
Viewed by 98
Abstract
The Amazon Deforestation Arc remains a critical region for environmental governance, where land-use strategies must consider distinct legal and institutional frameworks across the Amazon and Cerrado biomes. This study applies the Potential Productivity Model (M3P), a theoretical radiation-based framework, to estimate the upper [...] Read more.
The Amazon Deforestation Arc remains a critical region for environmental governance, where land-use strategies must consider distinct legal and institutional frameworks across the Amazon and Cerrado biomes. This study applies the Potential Productivity Model (M3P), a theoretical radiation-based framework, to estimate the upper physiological limits of sugarcane (Saccharum officinarum L.) productivity on degraded pastures within the Arc of Deforestation. The model integrates satellite-derived solar radiation with climatic variables to quantify potential productivity under optimal biophysical conditions, providing an objective benchmark for planning-oriented bioenergy assessments. Estimated potential yields range from 153 to 178 t·ha−1·yr−1, consistent with global reference values reported for sugarcane in high-radiation environments and relevant for informing public policies such as Brazil’s Agroecological Zoning of Sugarcane. The results demonstrate that agroclimatic potential alone is insufficient to guide land-use decisions. While degraded pastures associated with the Cerrado biome may accommodate sugarcane cultivation as part of productive land recovery strategies, areas belonging to the Amazon biome require priority actions focused on ecological restoration through agroforestry and integrated crop–livestock–forest systems. Overall, the M3P model offers a scalable and scientifically grounded decision-support framework for strategic planning in environmentally sensitive tropical regions. Full article
Show Figures

Figure 1

17 pages, 1704 KB  
Article
Multi-Objective Optimization of Meat Sheep Feed Formulation Based on an Improved Non-Dominated Sorting Genetic Algorithm
by Haifeng Zhang, Yuwei Gao, Xiang Li and Tao Bai
Appl. Sci. 2026, 16(2), 912; https://doi.org/10.3390/app16020912 - 15 Jan 2026
Viewed by 97
Abstract
Feed formulation is a typical multi-objective optimization problem that aims to minimize cost while satisfying multiple nutritional constraints. However, existing methods often suffer from limitations in handling nonlinear constraints, high-dimensional decision spaces, and solution feasibility. To address these challenges, this study proposes a [...] Read more.
Feed formulation is a typical multi-objective optimization problem that aims to minimize cost while satisfying multiple nutritional constraints. However, existing methods often suffer from limitations in handling nonlinear constraints, high-dimensional decision spaces, and solution feasibility. To address these challenges, this study proposes a multi-objective feed formulation method based on an improved Non-dominated Sorting Genetic Algorithm II (NSGA-II). A hybrid Dirichlet–Latin Hypercube Sampling (Dirichlet-LHS) strategy is introduced to generate an initial population with high feasibility and diversity, together with an iterative normalization-based dynamic repair operator to efficiently handle ingredient proportion and nutritional constraints. In addition, an adaptive termination mechanism based on the hypervolume improvement rate (Hypervolume Termination, HVT) is designed to avoid redundant computation while ensuring effective convergence of the Pareto front. Experimental results demonstrate that the Dirichlet–LHS strategy outperforms random sampling, Dirichlet sampling, and Latin hypercube sampling in terms of hypervolume and solution diversity. Under identical nutritional constraints, the improved NSGA-II reduces formulation cost by 1.52% compared with multi-objective Bayesian optimization and by 2.17% relative to conventional feed formulation methods. In a practical application to meat sheep diet formulation, the optimized feed cost is reduced to 1162.23 CNY per ton, achieving a 4.83% cost reduction with only a 1.09 s increase in computation time. These results indicate that the proposed method effectively addresses strongly constrained multi-objective feed formulation problems and provides reliable technical support for precision feeding in intelligent livestock production. Full article
(This article belongs to the Section Agricultural Science and Technology)
Show Figures

Figure 1

32 pages, 483 KB  
Review
The Complexity of Communication in Mammals: From Social and Emotional Mechanisms to Human Influence and Multimodal Applications
by Krzysztof Górski, Stanisław Kondracki and Katarzyna Kępka-Borkowska
Animals 2026, 16(2), 265; https://doi.org/10.3390/ani16020265 - 15 Jan 2026
Viewed by 81
Abstract
Communication in mammals constitutes a complex, multimodal system that integrates visual, acoustic, tactile, and chemical signals whose functions extend beyond simple information transfer to include the regulation of social relationships, coordination of behaviour, and expression of emotional states. This article examines the fundamental [...] Read more.
Communication in mammals constitutes a complex, multimodal system that integrates visual, acoustic, tactile, and chemical signals whose functions extend beyond simple information transfer to include the regulation of social relationships, coordination of behaviour, and expression of emotional states. This article examines the fundamental mechanisms of communication from biological, neuroethological, and behavioural perspectives, with particular emphasis on domesticated and farmed species. Analysis of sensory signals demonstrates that their perception and interpretation are closely linked to the physiology of sensory organs as well as to social experience and environmental context. In companion animals such as dogs and cats, domestication has significantly modified communicative repertoires ranging from the development of specialised facial musculature in dogs to adaptive diversification of vocalisations in cats. The neurobiological foundations of communication, including the activity of the amygdala, limbic structures, and mirror-neuron systems, provide evidence for homologous mechanisms of emotion recognition across species. The article also highlights the role of communication in shaping social structures and the influence of husbandry conditions on the behaviour of farm animals. In intensive production environments, acoustic, visual, and chemical signals are often shaped or distorted by crowding, noise, and chronic stress, with direct consequences for welfare. Furthermore, the growing importance of multimodal technologies such as Precision Livestock Farming (PLF) and Animal–Computer Interaction (ACI) is discussed, particularly their role in enabling objective monitoring of emotional states and behaviour and supporting individualised care. Overall, the analysis underscores that communication forms the foundation of social functioning in mammals, and that understanding this complexity is essential for ethology, animal welfare, training practices, and the design of modern technologies facilitating human–animal interaction. Full article
(This article belongs to the Section Human-Animal Interactions, Animal Behaviour and Emotion)
18 pages, 2734 KB  
Article
Feeding Rate Impacts on Hermetia Illucens Growth and Bioconversion Efficiency When Using Low-Value Organic Wastes
by Martha Sumba, Carlos Amador, Diego Portalanza, Jorge Amaya, Omar Ruiz, Malena Torres, Narcisa Gorotiza, Barbara Guerrero, Juan D. Cabrera and Eduardo Álava
Recycling 2026, 11(1), 17; https://doi.org/10.3390/recycling11010017 - 15 Jan 2026
Viewed by 152
Abstract
The growing generation of organic solid waste from small-scale agriculture poses major environmental challenges in developing countries like Ecuador, where rural areas often lack waste management infrastructure. Residues from livestock rearing and traditional brewing such as poultry manure (PM), bovine manure (BM), and [...] Read more.
The growing generation of organic solid waste from small-scale agriculture poses major environmental challenges in developing countries like Ecuador, where rural areas often lack waste management infrastructure. Residues from livestock rearing and traditional brewing such as poultry manure (PM), bovine manure (BM), and barley by-product (BB) are often discarded untreated. This study evaluated the bioconversion potential of Hermetia illucens (black soldier fly larvae (BSFL), using a local Ecuadorian strain reared on these substrates under natural conditions and three feeding rates (50, 100, and 150 mg·larva−1·day−1). Larval growth and process efficiency were analyzed on a dry-matter basis. Both substrate and feeding rate significantly influenced performance (p < 0.05). PM and BB produced the highest larval dry weights (37.4 and 35.9 mg, respectively) at 100 mg·larva−1·day−1, with development completed in 35 days. BM-fed larvae reached only 17.6 mg and required up to 91 days. Bioconversion peaked at 4.6% (PM100) and 4.2% (BB50), while all BM treatments showed very low efficiency (<0.8%). Waste reduction was highest in BB100 (52.9%) and PM100 (43.5%). These results demonstrate the potential of BSFL as a biological treatment option for rural organic waste streams; however, performance strongly depended on substrate quality and feeding rate, indicating that not all locally available residues are equally suitable for larval bioconversion. Full article
(This article belongs to the Special Issue Biomass Revival: Rethinking Waste Recycling for a Greener Future)
Show Figures

Figure 1

17 pages, 2465 KB  
Article
Comparative Effects of Raw Milk and Milk Replacer Feeding on Gut Microbiota Diversity and Function in Cryptosporidium parvum-Infected Neonatal Dairy Calves on a Japanese Farm
by Momoko Yachida, Megumi Itoh and Yasuhiro Morita
Vet. Sci. 2026, 13(1), 82; https://doi.org/10.3390/vetsci13010082 - 14 Jan 2026
Viewed by 166
Abstract
Neonatal diarrhea is a major health concern in the livestock industry, and Cryptosporidium parvum is a key pathogen responsible for this condition in calves. Milk management and gut microbiome regulation may play important roles in preventing cryptosporidiosis symptoms. This study analyzed the gut [...] Read more.
Neonatal diarrhea is a major health concern in the livestock industry, and Cryptosporidium parvum is a key pathogen responsible for this condition in calves. Milk management and gut microbiome regulation may play important roles in preventing cryptosporidiosis symptoms. This study analyzed the gut microbiota of neonatal calves fed raw milk (BM) or milk replacer (MR) using a total of 58 fecal samples collected on the same farm in 2022 and 2024. In milk replacer-fed calves, alpha diversity was significantly higher in C. parvum-positive (P) calves without diarrhea (N) (PN, n = 5) than in C. parvum-positive calves with diarrhea(D) (PD, n = 18) (Shannon p = 0.0358; Chao1 p = 0.0598). Beta diversity also differed between PN and PD (PERMANOVA, R2 = 0.1763, p = 0.0092). Predicted microbial taxa such as Faecalibacterium (ALDEx2, effect size = 2.31, p = 0.00003) and Butyricicoccus (effect size = 1.31, p = 0.0041) were enriched in PN calves in MR. Comparison between milk types (BM vs. MR) further showed higher species richness in PN calves in MR than in those (n = 5) in BM(Chao1, p = 0.0088), along with significant differences in beta diversity (R2 = 0.4112, p = 0.0069). These findings suggest that microbial diversity and the presence of specific taxa may be associated with reduced diarrheal symptoms. Predicted metabolic pathway profiling using a computational functional profiling approach showed the distinct metabolic pathways, including amino acid, carbohydrate, lipid, and vitamin biosynthesis, were enriched in healthier calves in both groups. These results suggest certain functional features of the microbiome could be associated with anti-inflammatory activity and short-chain fatty acid production, potentially mitigating diarrheal symptoms. Full article
Show Figures

Figure 1

20 pages, 1126 KB  
Article
Geographic Distance as a Driver of Tabanidae Community Structure in the Coastal Plain of Southern Brazil
by Rodrigo Ferreira Krüger, Helena Iris Leite de Lima Silva, Rafaela de Freitas Rodrigues Mengue Dimer, Marta Farias Aita, Pablo Parodi, Steve Mihok and Tiago Kütter Krolow
Parasitologia 2026, 6(1), 5; https://doi.org/10.3390/parasitologia6010005 - 13 Jan 2026
Viewed by 98
Abstract
Horse flies (Tabanidae) negatively affect livestock by reducing productivity, compromising animal welfare, and serving as mechanical vectors of pathogens. However, the spatial processes shaping their community organization in southern Brazil’s Coastal Plain of Rio Grande do Sul (CPRS) remain poorly understood. To address [...] Read more.
Horse flies (Tabanidae) negatively affect livestock by reducing productivity, compromising animal welfare, and serving as mechanical vectors of pathogens. However, the spatial processes shaping their community organization in southern Brazil’s Coastal Plain of Rio Grande do Sul (CPRS) remain poorly understood. To address this, we conducted standardized Malaise-trap surveys and combined them with historical–contemporary comparisons to examine distance–decay patterns in community composition. We evaluated both abundance-based (Bray–Curtis) and presence–absence (Jaccard) dissimilarities using candidate models. Across sites, Tabanus triangulum emerged as the dominant species. Dissimilarity in community structure increased monotonically with geographic distance, with no evidence of abrupt thresholds. The square-root model provided the best fit for abundance-based data, whereas a linear model best described presence–absence patterns, reflecting dispersal limitation and environmental filtering across a heterogeneous coastal landscape. Sites within riparian forests and conservation units displayed higher diversity, emphasizing the ecological role of protected habitats and the importance of maintaining connected corridors. Collectively, these findings establish a process-based framework for surveillance and landscape management strategies to mitigate vector, host contact. Future directions include integrating remote sensing and host distribution, applying predictive validation across temporal scales. Full article
Show Figures

Figure 1

19 pages, 1900 KB  
Article
Experimental Evaluation of the Bioenergy Potential of Enterolobium cyclocarpum (Orejero) Fruit Peel Residue
by Zully-Esmeralda Gómez-Rosales, Paola-Andrea Hernández-Mejía, Andrés-Gonzalo Forero-González, Johanna-Karina Solano-Meza, Javier Rodrigo-Ilarri and María-Elena Rodrigo-Clavero
Energies 2026, 19(2), 360; https://doi.org/10.3390/en19020360 - 12 Jan 2026
Viewed by 210
Abstract
This study presents an experimental evaluation of the bioenergy potential of Enterolobium cyclocarpum (“orejero”) fruit peel residue, an underutilized agroforestry by-product in tropical America. Although the species is widely used for shade and fodder in livestock systems, its fruit peel has not yet [...] Read more.
This study presents an experimental evaluation of the bioenergy potential of Enterolobium cyclocarpum (“orejero”) fruit peel residue, an underutilized agroforestry by-product in tropical America. Although the species is widely used for shade and fodder in livestock systems, its fruit peel has not yet been characterized for energy recovery purposes. Fruit samples were collected in rural areas of Tesalia (Huila, Colombia), and the peel fraction was analyzed in certified laboratories. The moisture content of the peel was determined as 11 wt%, and the lower heating value was measured as 0.015 TJ/t following ASTM E711-06. Elemental analysis according to ASTM D5373-16 yielded (dry basis): 37.2 wt% C, 4.09 wt% H, 0.45 wt% N and 0.13 wt% S. Based on Colombian cultivation and production data, the theoretical energy potential was estimated as 3.6 TJ/year per hectare. The technical energy potential reached 0.18 and 0.21 TJ/year per hectare for combustion and gasification, respectively. CO2-equivalent emissions were also estimated for both conversion routes, revealing a trade-off between the higher energy yield and higher specific emissions associated with gasification. Overall, the results show that E. cyclocarpum fruit peel residue has a calorific value comparable to widely used agri-food residues in Colombia (e.g., sugarcane bagasse and oil palm fiber), but with a substantially higher per-hectare energy potential due to its large residue fraction. Its high availability, favorable fuel properties, and compatibility with decentralized combustion and gasification technologies support its use as a promising feedstock for bioenergy generation in rural or off-grid areas, in line with circular economy and sustainable energy transition strategies. Full article
(This article belongs to the Special Issue Biomass and Waste-to-Energy for Sustainable Energy Production)
Show Figures

Figure 1

20 pages, 2350 KB  
Article
Low-Carbon Agriculture (ABC) Credit and Pasture Restoration in Minas Gerais, Brazil
by Bruno Benzaquen Perosa, Ramon Bicudo Silva, Guilherme de Oliveira Leão and Marcelo Odorizzi Campos
Sustainability 2026, 18(2), 744; https://doi.org/10.3390/su18020744 - 12 Jan 2026
Viewed by 171
Abstract
Low-carbon agriculture (ABC—from the acronym in Portuguese) encompasses techniques that reduce carbon emissions while maintaining productivity and profitability. Among these, the restoration of degraded pastures is a major focus of the Brazilian ABC policy, achieved through improved pasture management or crop–livestock integration. This [...] Read more.
Low-carbon agriculture (ABC—from the acronym in Portuguese) encompasses techniques that reduce carbon emissions while maintaining productivity and profitability. Among these, the restoration of degraded pastures is a major focus of the Brazilian ABC policy, achieved through improved pasture management or crop–livestock integration. This study analyzed the relationship between ABC credit and improvements in pasture vigor in the municipalities of Minas Gerais from 2015 to 2022, considering the carbon-mitigation potential of each region. We evaluated whether credit resources were directed toward areas with greater mitigation potential and whether this investment contributed to pasture recovery. Composite indexes were developed to represent credit investment, pasture dynamics, and theoretical carbon removal potential, followed by spatial mapping and correlation analysis. The results show that ABC credit was strongly concentrated in regions with high carbon-sequestration potential, especially Triângulo Mineiro and Alto Paranaíba, indicating a generally effective targeting of resources toward areas with greater mitigation potential. Correlation analysis also indicates a positive, although moderate, association between credit volume and pasture improvement at the municipal level. Although initial results indicated more substantial improvements in pasture vigor in lower-credit regions such as North of Minas, Jequitinhonha, and Mucuri Valley (with relative increases reaching up to 300%), an additional analysis considering the initial vigor level (baseline) revealed that these gains are strongly affected by initial pasture conditions. From a policy perspective, these findings highlight the importance of rural credit as a driver of sustainable technology adoption, while also showing that baseline conditions, technical assistance, and other public or private incentives can significantly influence restoration outcomes. Strengthening credit allocation criteria, improving technical support, and integrating carbon-mitigation indicators into regional planning could enhance environmental effectiveness. Full article
(This article belongs to the Section Sustainable Agriculture)
Show Figures

Figure 1

26 pages, 5344 KB  
Article
Research on Water and Fertilizer Use Strategies for Silage Corn Under Different Irrigation Methods to Mitigate Abiotic Stress
by Delong Tian, Yuchao Chen, Bing Xu, Guoshuai Wang and Lingyun Xu
Plants 2026, 15(2), 228; https://doi.org/10.3390/plants15020228 - 11 Jan 2026
Viewed by 219
Abstract
To reconcile the intensifying trade-off between chronic water scarcity and escalating forage demand in the Yellow River Basin, this study optimized integrated irrigation and fertilization regimes for silage maize. Leveraging the AquaCrop model, validated by 2023–2024 field experiments and a 35-year (1990–2024) meteorological [...] Read more.
To reconcile the intensifying trade-off between chronic water scarcity and escalating forage demand in the Yellow River Basin, this study optimized integrated irrigation and fertilization regimes for silage maize. Leveraging the AquaCrop model, validated by 2023–2024 field experiments and a 35-year (1990–2024) meteorological dataset, we systematically quantified the impacts of multi-factorial water–fertilizer–heat stress under drip irrigation with mulch (DIM) and shallow-buried drip irrigation (SBDI). Model performance was robust, yielding high simulation accuracy for soil moisture (RMSE < 3.3%), canopy cover (RMSE < 3.95%), and aboveground biomass (RMSE < 4.5 t·ha−1), with EF > 0.7 and R2 ≥ 0.85. Results revealed distinct stress dynamics across hydrological scenarios: mild temperature stress predominated in wet years, whereas severe water and fertilizer stresses emerged as the primary constraints during dry years. To mitigate these stresses, a medium fertilizer rate (555 kg·ha−1) was identified as the stable optimum, while dynamic irrigation requirements were determined as 90, 135, and 180 mm for wet, normal, and dry years, respectively. Comparative evaluation indicated that DIM achieved maximum productivity in wet years (aboveground biomass yield 70.4 t·ha−1), whereas SBDI exhibited superior “stable yield–water saving” performance in normal and dry years. The established “hydrological year–irrigation method–threshold” framework provides a robust decision-making tool for precision management, offering critical scientific support for the sustainable, high-quality development of livestock farming in arid regions. Full article
(This article belongs to the Section Crop Physiology and Crop Production)
Show Figures

Figure 1

22 pages, 980 KB  
Review
The Use of Plant Extracts to Improve Male Reproductive Performance: A Review Focusing on Mammalian Semen Quality and Preservation
by Rantloko Rolly Maapola, Khathutshelo Agree Nephawe, Masindi Lottus Mphaphathi and Jabulani Nkululeko Ngcobo
Agriculture 2026, 16(2), 184; https://doi.org/10.3390/agriculture16020184 - 11 Jan 2026
Viewed by 367
Abstract
In African countries and many developing countries, communal farmers rely on livestock such as cattle, goats, and sheep to support food security, income, and agricultural activities. Fertility in these animals is often limited by poor semen quality, which reduces sperm concentration, total motility, [...] Read more.
In African countries and many developing countries, communal farmers rely on livestock such as cattle, goats, and sheep to support food security, income, and agricultural activities. Fertility in these animals is often limited by poor semen quality, which reduces sperm concentration, total motility, and morphology. Assisted reproductive biotechnologies, including semen cryopreservation and artificial insemination, are increasingly essential to enhance reproductive efficiency and productivity. Although cryopreservation preserves valuable genetic material, it can damage sperm cells, making high-quality extenders critical for protection. Common extenders, such as Tris-egg yolk glucose, citrate-sugar-based, and skimmed milk solutions, supply nutrients and protect sperm membranes. To further minimize oxidative stress, antioxidants are incorporated, with growing interest in plant-derived compounds. Many plants contain bioactive substances, including antioxidants and phytomelatonin, which can enhance sperm quality safely and effectively. This review examines the use of plant-based antioxidants during semen cryopreservation and highlights their potential to improve fertility in mammalian livestock. Full article
(This article belongs to the Section Farm Animal Production)
Show Figures

Figure 1

20 pages, 5692 KB  
Article
Sustainable Anisaldehyde-Based Natural Deep Eutectic Solvent Dispersive Liquid–Liquid Microextraction for Monitoring Antibiotic Residues in Commercial Milk and Eggs: A Comprehensive Evaluation of Greenness, Practicality, Analytical Performance and Innovation
by Heba Shaaban, Ahmed Mostafa, Abdulmalik M. Alqarni, Marwah Alsalman, Makarem A. Alkhalaf, Mohammad A. Alrofaidi, Abdulaziz H. Al Khzem and Mansour S. Alturki
Foods 2026, 15(2), 258; https://doi.org/10.3390/foods15020258 - 10 Jan 2026
Viewed by 291
Abstract
The widespread use of antibiotics in human medicine, veterinary care, and livestock production has resulted in their frequent detection in diverse environmental and food matrices, making continuous surveillance of antibiotic residues in food products essential for consumer protection. In this study, a sustainable [...] Read more.
The widespread use of antibiotics in human medicine, veterinary care, and livestock production has resulted in their frequent detection in diverse environmental and food matrices, making continuous surveillance of antibiotic residues in food products essential for consumer protection. In this study, a sustainable analytical method based on dispersive liquid–liquid microextraction (DLLME) coupled with UHPLC–MS/MS was developed for the trace determination of sulfamethoxazole, sulfadimethoxine, and enrofloxacin in commercial cow milk and chicken eggs. A natural deep eutectic solvent (NADES) composed of anisaldehyde and octanoic acid (2:1, molar ratio) was employed as a biodegradable extraction solvent, and key extraction parameters were systematically optimized. Under optimized conditions, the method demonstrated excellent linearity (R2 ≥ 0.9982), recoveries of 89.5–98.7%, and RSDs ≤ 6.04%. Application to 44 commercial samples from the Saudi market revealed sulfamethoxazole as the most frequently detected antibiotic, occurring in 90% of egg samples (2.17–13.76 µg kg−1) and 70.8% of milk samples (0.26–26.67 µg L−1). A comprehensive evaluation using ten metrics confirmed the method’s greenness, practicality, analytical performance, and innovation. Overall, the proposed NADES–DLLME–UHPLC–MS/MS approach offers a rapid, cost-effective, and environmentally friendly alternative for routine monitoring of antibiotic residues in food matrices. Full article
(This article belongs to the Section Food Analytical Methods)
Show Figures

Graphical abstract

Back to TopTop