Sign in to use this feature.

Years

Between: -

Subjects

remove_circle_outline
remove_circle_outline
remove_circle_outline
remove_circle_outline
remove_circle_outline
remove_circle_outline
remove_circle_outline
remove_circle_outline
remove_circle_outline

Journals

remove_circle_outline
remove_circle_outline
remove_circle_outline
remove_circle_outline
remove_circle_outline
remove_circle_outline
remove_circle_outline
remove_circle_outline
remove_circle_outline
remove_circle_outline
remove_circle_outline
remove_circle_outline
remove_circle_outline
remove_circle_outline
remove_circle_outline
remove_circle_outline

Article Types

Countries / Regions

remove_circle_outline
remove_circle_outline
remove_circle_outline
remove_circle_outline
remove_circle_outline
remove_circle_outline
remove_circle_outline
remove_circle_outline

Search Results (1,365)

Search Parameters:
Keywords = linear wave model

Order results
Result details
Results per page
Select all
Export citation of selected articles as:
30 pages, 899 KB  
Article
Insomnia Among Adolescents in Northern Peru: Associations with Psychosocial, Health-Related, and Educational Factors in a Cross-Sectional Study Across Five Schools
by Mario J. Valladares-Garrido, Palmer J. Hernández-Yépez, Angie Giselle Morocho Alburqueque, Luz A. Aguilar-Manay, Jassmin Santin Vásquez, Renzo Acosta-Porzoliz, Danai Valladares-Garrido, Darwin A. León-Figueroa, César J. Pereira-Victorio, Miguel Villegas-Chiroque, Víctor J. Vera-Ponce, Oriana Rivera-Lozada and Jean Pierre Zila-Velasque
J. Clin. Med. 2026, 15(4), 1505; https://doi.org/10.3390/jcm15041505 (registering DOI) - 14 Feb 2026
Abstract
Background/Objectives: Insomnia is common among adolescents and is associated with emotional, behavioral, and academic difficulties. Although high rates have been reported globally, evidence in Latin America—particularly in Peru—remains limited and heterogeneous. Many previous studies relied on small samples, descriptive designs, omitted key psychosocial [...] Read more.
Background/Objectives: Insomnia is common among adolescents and is associated with emotional, behavioral, and academic difficulties. Although high rates have been reported globally, evidence in Latin America—particularly in Peru—remains limited and heterogeneous. Many previous studies relied on small samples, descriptive designs, omitted key psychosocial variables, or were conducted during early pandemic waves, despite the rise in sleep disturbances following COVID-19 restrictions. This study aimed to estimate the prevalence of insomnia and identify associated factors among adolescents in northern Peru. Methods: An analytical cross-sectional study was conducted using secondary data from students attending five schools in Lambayeque, Peru. Insomnia was assessed using the Insomnia Severity Index (ISI). Sociodemographic, psychosocial, behavioral, and health-related variables—including self-esteem, family dysfunction, eating disorders, acne severity, mental health help-seeking, and digital behavior—were evaluated. Generalized linear models estimated prevalence ratios (PRs) and 95% confidence intervals (CIs). Results: Among 1313 adolescents (54.3% male; mean age 14.6 years), the prevalence of insomnia was 38.9% (95% CI: 36.1–41.5). In adjusted analyses, insomnia was associated with urban residence, non-Catholic religion, seeking mental health support, high social media use, internet use of 6–10 h/day, low self-esteem, eating disorders, greater acne severity, and experiencing the death of a family member due to COVID-19. Conclusions: Nearly four in ten adolescents reported insomnia, influenced by sociodemographic, psychosocial, and lifestyle-related factors. These findings provide updated post-pandemic evidence for the Peruvian context and highlight the multifactorial nature of adolescent insomnia. Further research is needed to clarify causal pathways and understand the long-term mental health implications of large-scale stressors such as the COVID-19 pandemic. Full article
(This article belongs to the Special Issue Children and Adolescent Mood Disorders: Risks and Treatment)
Show Figures

Figure 1

13 pages, 1935 KB  
Article
Design of Anti-Disturbance Sparse Arrays for Marine Buoys Using an Improved Sparrow Search Algorithm
by Linshu Huang, Huijuan Ye, Hongke Li, Zhigang Zhang and Yang You
Electronics 2026, 15(4), 788; https://doi.org/10.3390/electronics15040788 - 12 Feb 2026
Viewed by 34
Abstract
To address the performance degradation of antenna beams in marine-towed buoy arrays caused by roll and pitch motions under dynamic sea conditions, this paper proposes a multi-objective sparse array optimization method based on an improved chaotic sparrow search algorithm (CSSA). First, an electromagnetic [...] Read more.
To address the performance degradation of antenna beams in marine-towed buoy arrays caused by roll and pitch motions under dynamic sea conditions, this paper proposes a multi-objective sparse array optimization method based on an improved chaotic sparrow search algorithm (CSSA). First, an electromagnetic disturbance model of the array under sea states 1~7 is quantitatively established by coupling wave spectrum theory and buoy dynamics, formulating comprehensive optimization models for both linear and planar arrays under disturbance. Subsequently, within the NSGA-II framework, with main lobe width and peak sidelobe level (PSLL) as dual optimization objectives, a modified sparrow search algorithm integrating density-weighted initialization and Tent chaotic mapping is introduced for efficient solution exploration. Simulation results demonstrate that the proposed method achieves a PSLL below −19.95 dB under sea states 1~3 and effectively suppresses sidelobe elevation and beam distortion even under sea states 4~7 with strong disturbances. This approach significantly enhances the radiation robustness and link stability of sparse arrays in complex marine environments. Full article
Show Figures

Figure 1

24 pages, 8367 KB  
Article
Hybrid Plasmonic–Photonic Panda-Ring Antenna Embedded with a Gold Grating for Dual-Mode Transmission
by Sirigiet Phunklang, Atawit Jantaupalee, Patawee Mesawad, Preecha Yupapin and Piyaporn Krachodnok
Technologies 2026, 14(2), 113; https://doi.org/10.3390/technologies14020113 - 11 Feb 2026
Viewed by 250
Abstract
This paper presents a systematic numerical investigation of a hybrid plasmonic–photonic Panda-ring antenna with an embedded gold grating, designed to enable efficient dual-mode radiation for optical and terahertz communication systems. The proposed structure integrates high-Q whispering-gallery mode (WGM) confinement in a multi-ring dielectric [...] Read more.
This paper presents a systematic numerical investigation of a hybrid plasmonic–photonic Panda-ring antenna with an embedded gold grating, designed to enable efficient dual-mode radiation for optical and terahertz communication systems. The proposed structure integrates high-Q whispering-gallery mode (WGM) confinement in a multi-ring dielectric resonator with plasmonic out-coupling at the metal–dielectric interface, allowing controlled conversion of resonantly stored photonic energy into free-space radiation. The electromagnetic behavior is analyzed through a hierarchical structural evolution, progressing from a linear silicon waveguide to single-ring, add–drop, and Panda-ring resonator configurations. Gold is modeled using a dispersive Drude formulation with complex permittivity to accurately capture frequency-dependent plasmonic response at 1.55 µm. Power redistribution within the resonator system is described using coupled-mode theory, with coupling and loss parameters evaluated consistently from full-wave numerical simulations. Full-wave simulations using OptiFDTD and CST Studio Suite demonstrate that purely photonic resonators exhibit strong WGM confinement but negligible radiation, while plasmonic gratings alone suffer from low efficiency due to the absence of coherent photonic excitation. In contrast, the proposed hybrid Panda-ring antenna achieves stable and directive far-field radiation under WGM excitation, with a realized gain of approximately 8.05 dBi at 193.5 THz. The performance enhancement originates from synergistic hybrid SPP–WGM coupling, establishing a WGM-driven radiation mechanism suitable for Li-Fi and terahertz wireless applications. Full article
(This article belongs to the Section Information and Communication Technologies)
Show Figures

Figure 1

15 pages, 1246 KB  
Article
Numerical Simulation and Analysis of the Scaling Law for Slant-Path Propagation of Laser Beams in Atmospheric Turbulence
by Xin Ye, Chengyu Fan, Wenyue Zhu, Pengfei Zhang, Jinghui Zhang and Xianmei Qian
Photonics 2026, 13(2), 170; https://doi.org/10.3390/photonics13020170 - 10 Feb 2026
Viewed by 155
Abstract
Slant-path propagation of laser beams through atmospheric turbulence produces beam spreading and jitter that must be rapidly predicted for system design and performance assessment. Existing scaling laws are mainly derived for horizontal paths and single-parameter variations, which limits their accuracy and applicability to [...] Read more.
Slant-path propagation of laser beams through atmospheric turbulence produces beam spreading and jitter that must be rapidly predicted for system design and performance assessment. Existing scaling laws are mainly derived for horizontal paths and single-parameter variations, which limits their accuracy and applicability to realistic engagement geometries. Here, we construct a comprehensive wave-optics database for 1.064 μm truncated Gaussian beams with a 1 m aperture by traversing initial beam quality factor β0, propagation distance L, elevation angle θ, turbulence strength Cₙ2, and tracking jitter. From 46,800 turbulence-only cases, we extract the 63.2% encircled-power expansion factor and quantify the coupled influence of β0, L, and θ on the turbulence term coefficient A in the scaling expression. A compact 3–10–1 feedforward neural network is trained to map (β0, L, θ) to A, achieving a coefficient of determination R2 = 0.948. Additional simulations without turbulence show that the jitter term coefficient B is nearly invariant over the considered parameter range, with an average value B = 3.69. Combining these results yields a unified scaling law for linear beam spreading on horizontal and slant paths. Comparison with full-wave-optics simulations demonstrates that the proposed law reproduces horizontal-path results and significantly reduces prediction errors at θ = 60° relative to existing models, providing an efficient tool for beam-quality prediction and performance evaluation in atmospheric laser propagation. Full article
Show Figures

Figure 1

22 pages, 1042 KB  
Article
Pulse Wave Velocity Estimation in a Controlled In Vitro Vascular Model: Benchmarking Machine Learning Approaches
by Daniel Barvik, Martin Černý, Michal Prochazka and Norbert Noury
Sensors 2026, 26(3), 1066; https://doi.org/10.3390/s26031066 - 6 Feb 2026
Viewed by 200
Abstract
This study evaluates the feasibility of estimating stiffness-related parameters and pulse wave velocity (PWV) in a controlled in vitro circulatory setup using artificial silicone vessels with systematically varied Shore A hardness and wall thickness. From synchronized pressure and capacitive waveforms, fiducial points and [...] Read more.
This study evaluates the feasibility of estimating stiffness-related parameters and pulse wave velocity (PWV) in a controlled in vitro circulatory setup using artificial silicone vessels with systematically varied Shore A hardness and wall thickness. From synchronized pressure and capacitive waveforms, fiducial points and engineered features are extracted, together with pump settings (stroke volume and heart rate). A Sugeno-type adaptive neuro-fuzzy inference system (ANFIS) is used for hardness-level prediction and benchmarked against linear regression and contemporary machine-learning/deep-learning baselines using stratified cross-validation. PWV estimates derived via hardness-to-elasticity conversion models and the Moens–Korteweg formulation are evaluated against a reference PWV obtained within the same experimental configuration. Under these controlled conditions, the proposed pipeline shows strong agreement with reference labels and measurements. The results should be interpreted as an in vitro validation step; translation to biological tissues or in vivo data will require external validation, calibration of material-property mapping, and robustness testing under physiological variability and measurement noise. Full article
(This article belongs to the Section Biomedical Sensors)
Show Figures

Figure 1

34 pages, 489 KB  
Article
Gauge-Invariant Gravitational Wave Polarization in Metric f(R) Gravity with Cosmological Implications
by Ramesh Radhakrishnan, David McNutt, Delaram Mirfendereski, Alejandro Pinero, Eric Davis, William Julius and Gerald Cleaver
Universe 2026, 12(2), 44; https://doi.org/10.3390/universe12020044 - 5 Feb 2026
Viewed by 373
Abstract
We develop a fully gauge-invariant analysis of gravitational-wave polarizations in metric f(R) gravity with a particular focus on the modified Starobinsky model f(R)=R+αR22Λ, whose constant-curvature solution [...] Read more.
We develop a fully gauge-invariant analysis of gravitational-wave polarizations in metric f(R) gravity with a particular focus on the modified Starobinsky model f(R)=R+αR22Λ, whose constant-curvature solution Rd=4Λ provides a natural de Sitter background for both early- and late-time cosmology. Linearizing the field equations around this background, we derive the Klein–Gordon equation for the curvature perturbation δR and show that the scalar propagating mode acquires a mass mψ2=1/(6α), highlighting how the same scalar degree of freedom governs inflationary dynamics at high curvature and the propagation of gravitational waves in the current accelerating Universe. Using the scalar–vector–tensor decomposition and a decomposition of the perturbed Ricci tensor, we obtain a set of fully gauge-invariant propagation equations that isolate the contributions of the scalar, vector, and tensor modes in the presence of matter. We find that the tensor sector retains the two transverse–traceless polarizations of General Relativity, while the scalar sector contains an additional massive scalar propagating degree of freedom, which manifests through breathing and longitudinal tidal responses depending on the wave regime and detector frame. Through the geodesic deviation equation—computed both in a local Minkowski patch and in fully covariant de Sitter form—we independently recover the same polarization content and identify its tidal signatures. The resulting framework connects the extra scalar polarization to cosmological observables: the massive scalar propagating mode sets the range of the fifth force, influences the time evolution of gravitational potentials, and affects the propagation and dispersion of gravitational waves on cosmological scales. This provides a unified, gauge-invariant link between gravitational-wave phenomenology and the cosmological implications of metric f(R) gravity. Full article
(This article belongs to the Section Gravitation)
Show Figures

Figure 1

12 pages, 2752 KB  
Article
Label-Free Microdroplet Concentration Detector Based on a Quadruple Resonant Ring Metamaterial
by Wenjin Guo, Yinuo Cheng and Jian Li
Sensors 2026, 26(3), 1013; https://doi.org/10.3390/s26031013 - 4 Feb 2026
Viewed by 157
Abstract
This paper proposes and experimentally validates a label-free microdroplet concentration detector based on a quad-resonator metamaterial. The device exploits the linear relationship between the dielectric constant of a binary mixed solution and its concentration, mapping concentration information to absorption frequency shifts with a [...] Read more.
This paper proposes and experimentally validates a label-free microdroplet concentration detector based on a quad-resonator metamaterial. The device exploits the linear relationship between the dielectric constant of a binary mixed solution and its concentration, mapping concentration information to absorption frequency shifts with a sensitivity of 28.53 GHz/RIU. System modeling was performed through full-wave simulation. Experimental results demonstrate a highly linear relationship between resonance frequency shift and concentration across ethanol, water, and ethanol–water solutions. The relative deviation between simulation and measurement is less than 3%, validating the model’s reliability and the robustness of the detection principle. This detector supports rapid non-contact sample replacement without requiring chemical labeling or specialized packaging. It can be mass-produced on standard PDMS substrates, with each unit reusable for >50 cycles. With a single measurement time of <30 s, it meets high-throughput detection demands. Featuring low power consumption, high precision, and scalability, this device holds broad application prospects in point-of-care diagnostics, online process monitoring, and resource-constrained scenarios. Future work will focus on achieving simultaneous multi-component detection via multi-resonator arrays and integrating chip-level wireless readout modules to further enhance portability and system integration. Full article
(This article belongs to the Section Physical Sensors)
Show Figures

Figure 1

25 pages, 33109 KB  
Article
Spatio-Temporal Shoreline Changes and AI-Based Predictions for Sustainable Management of the Damietta–Port Said Coast, Nile Delta, Egypt
by Hesham M. El-Asmar, Mahmoud Sh. Felfla and Amal A. Mokhtar
Sustainability 2026, 18(3), 1557; https://doi.org/10.3390/su18031557 - 3 Feb 2026
Viewed by 477
Abstract
The Damietta–Port Said coast, Nile Delta, has experienced extreme morphological change over the past four decades due to sediment reduction due to Aswan High Dam and continued anthropogenic pressures. Using multi-temporal Landsat (1985–2025) and high-resolution RapidEye and PlanetScope imagery with 50 m-spaced transects, [...] Read more.
The Damietta–Port Said coast, Nile Delta, has experienced extreme morphological change over the past four decades due to sediment reduction due to Aswan High Dam and continued anthropogenic pressures. Using multi-temporal Landsat (1985–2025) and high-resolution RapidEye and PlanetScope imagery with 50 m-spaced transects, the study documents major shoreline shifts: the Damietta sand spit retreated by >1 km at its proximal apex while its distal tip advanced by ≈3.1 km southeastward under persistent longshore drift. Sectoral analyses reveal typical structure-induced patterns of updrift accretion (+180 to +210 m) and downdrift erosion (−50 to −330 m). To improve predictive capability beyond linear DSAS extrapolation, Nonlinear Autoregressive Exogenous (NARX) and Bidirectional Long Short-Term Memory (BiLSTM) neural networks were applied to forecast the 2050 shoreline. BiLSTM demonstrated superior stability, capturing nonlinear sediment transport patterns where NARX produced unstable over-predictions. Furthermore, coupled wave–flow modeling validates a sustainable management strategy employing successive short groins (45–50 m length, 150 m spacing). Simulations indicate that this configuration reduces longshore current velocities by 40–60% and suppresses rip-current eddies, offering a sediment-compatible alternative to conventional breakwaters and seawalls. This integrated remote sensing, hydrodynamic, and AI-based framework provides a robust scientific basis for adaptive, sediment-compatible shoreline management, supporting the long-term resilience of one of Egypt’s most vulnerable deltaic coasts under accelerating climatic and anthropogenic pressures. Full article
Show Figures

Figure 1

16 pages, 553 KB  
Article
Pulse Waves in the Viscoelastic Kelvin–Voigt Model: A Revisited Approach
by Juan Luis González-Santander, Francesco Mainardi and Andrea Mentrelli
Mathematics 2026, 14(3), 528; https://doi.org/10.3390/math14030528 - 2 Feb 2026
Viewed by 142
Abstract
We calculate the mechanical response rx,t of an initially quiescent semi-infinite homogeneous medium to a pulse applied at the origin, and this is achieved within the framework of the Kelvin–Voigt model. Although this problem has been extensively studied in the [...] Read more.
We calculate the mechanical response rx,t of an initially quiescent semi-infinite homogeneous medium to a pulse applied at the origin, and this is achieved within the framework of the Kelvin–Voigt model. Although this problem has been extensively studied in the literature because of its wide range of applications—particularly in seismology—here, we present a solution in a novel integral form. This integral solution avoids the numerical computation of the solution in terms of the inverse Laplace transform; that is, numerical integration in the complex plane. In particular, we derive integral form expressions for both delta-pulse and step-pulse excitations which are simpler and more computationally efficient than those previously reported in the literature. Furthermore, the obtained expressions allow us to obtain simple asymptotic formulas for rx,t as x,t0, for both step- and delta-type pulses. Full article
(This article belongs to the Section C: Mathematical Analysis)
Show Figures

Figure 1

23 pages, 8080 KB  
Article
Hydraulic and Thermal Characteristics Analysis of Large-Scale Clustered Ground Heat Exchangers with Non-Identical Circuits
by Zhixing Wang, Jie Liu, Tingting Chen, Xinlei Zhou, Wenke Zhang, Xudong Zhao and Ping Cui
Buildings 2026, 16(3), 595; https://doi.org/10.3390/buildings16030595 - 1 Feb 2026
Viewed by 172
Abstract
In the global wave of energy transition, ground-source heat pump (GSHP) systems are widely adopted for their ability to efficiently provide space heating and cooling. By utilizing stable shallow geothermal energy, these systems significantly reduce operational energy consumption in buildings, playing a crucial [...] Read more.
In the global wave of energy transition, ground-source heat pump (GSHP) systems are widely adopted for their ability to efficiently provide space heating and cooling. By utilizing stable shallow geothermal energy, these systems significantly reduce operational energy consumption in buildings, playing a crucial role in enhancing building energy efficiency and achieving low-carbon strategies. However, large-scale ground heat exchanger (GHE) clusters with non-identical circuits often face hydraulic and thermal imbalances, leading to degraded system performance. This study investigates the hydraulic and thermal behavior of a large-scale GHE system in Shandong Province, China. Hydraulic and thermal models are first developed based on Kirchhoff’s laws and the principle of energy conservation, and then used to simulate and analyze the influence of the number and depth of boreholes on hydraulic and thermal conditions. The results indicate that the flow imbalance rate and pipe length ratio follows a power-law relationship, δf = a (Lv/h)^b + d, with fitted coefficients, a = 0.0677–0.1294, b = −0.7086 to −1.0805, d = 0.0036–0.0921, while the heat exchange imbalance rate follows a linear relationship, δq = f + o, with k = 0.0906–0.265 and o = 0.0028–0.0039. Increasing the number of boreholes or decreasing depth exacerbates flow imbalance (10–58%), but soil thermal resistance dominates, limiting the increase in the heat exchange imbalance rate (2.2–9%). The formula and the quantitative relationship proposed in this paper aim to provide guidance for the engineering design of large-scale non-identical circuit GHE clusters. Full article
Show Figures

Figure 1

15 pages, 493 KB  
Article
Longitudinal Effects of Adolescent Digital Media Use on Mental Health in Young Adulthood
by Caroline S. Watson, Christopher C. Henrich, Dustin M. Long and Aaron D. Fobian
Children 2026, 13(2), 215; https://doi.org/10.3390/children13020215 - 1 Feb 2026
Viewed by 216
Abstract
Background/Objectives: Research on the relationship between digital media use in adolescence and mental health outcomes in young adulthood remains unclear. This study aims to (1) assess how trajectories of digital media use from adolescence to young adulthood predict mental health outcomes and (2) [...] Read more.
Background/Objectives: Research on the relationship between digital media use in adolescence and mental health outcomes in young adulthood remains unclear. This study aims to (1) assess how trajectories of digital media use from adolescence to young adulthood predict mental health outcomes and (2) identify factors in adolescence that contribute to digital media use trajectories. Methods: Participants (Mage = 15.53 years; 56.86% female; 66.89% White) from the National Longitudinal Study of Adolescent and Adult Health database provided digital media use data across Waves I–IV. At Wave I, participants self-reported parental support, family connectedness, face-to-face interactions with peers, and self-esteem. At Wave IV, participants self-reported anxiety and depression diagnoses, depressive symptomology, suicidal ideation and attempts, and short-term and working memory. General linear and logistic regression models assessed the relationships. Results: Four trajectory groups emerged: Group 1 “increase” (9.97%), Group 2 “low” (73.36%), Group 3 “decrease” (13.94%), and Group 4 “high” (2.73%). Individuals in Group 4 experienced decreased short-term memory compared to individuals in Group 2. The odds of a suicide attempt in the past 12 months were significantly higher for individuals in Groups 3 and 4 compared to Group 2. Conclusions: Patterns of digital media use from adolescence to young adulthood may contribute to suicide attempts and short-term memory in young adulthood, highlighting the need for interventions to reduce screen time. Non-significant findings highlight the need for additional research aimed at clarifying these relationships and identifying factors in early adolescence that may contribute to digital media use trajectories. Full article
(This article belongs to the Section Pediatric Mental Health)
Show Figures

Figure 1

21 pages, 3664 KB  
Article
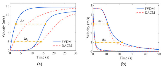
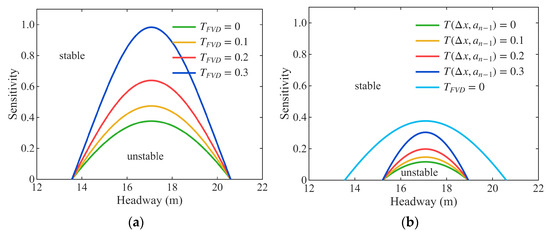
Symmetry Breaking in Car-Following Dynamics: Suppressing Traffic Oscillations via Asymmetric Dynamic Delays
by Shuaiyang Jiao, Liyuan Xue, Aizeng Li, Zixiang Liu and Xiaoge Liu
Symmetry 2026, 18(2), 256; https://doi.org/10.3390/sym18020256 - 30 Jan 2026
Viewed by 163
Abstract
Accurately describing driver response mechanisms is fundamental to microscopic traffic modeling. Traditional car-following models typically assume a fixed reaction time, implying a temporal symmetry where drivers exhibit identical response characteristics during acceleration and deceleration. To address this limitation, this paper proposes a Delay [...] Read more.
Accurately describing driver response mechanisms is fundamental to microscopic traffic modeling. Traditional car-following models typically assume a fixed reaction time, implying a temporal symmetry where drivers exhibit identical response characteristics during acceleration and deceleration. To address this limitation, this paper proposes a Delay Adaptive Car-following Model that incorporates an asymmetric dynamic delay function to capture the symmetry breaking in driving behavior. Calibrated using empirical trajectory data from the Next Generation Simulation program, the proposed model demonstrates superior accuracy over the conventional Full Velocity Difference Model by effectively reproducing the realistic phenomenon of sluggish acceleration and agile deceleration. Linear stability analysis and numerical simulations reveal that, unlike fixed symmetric delays which often induce instability, the asymmetric dynamic delay acts as a self-adaptive damper. This mechanism suppresses the amplification of disturbances and prevents the formation of stop-and-go waves. The results confirm that incorporating temporal symmetry breaking into delay mechanisms significantly enhances the robustness of traffic flow against oscillations. Full article
(This article belongs to the Special Issue Symmetry/Asymmetry in Intelligent Transportation)
Show Figures

Figure 1

17 pages, 1650 KB  
Article
Inductor-Based Biosensors for Real-Time Monitoring in the Liquid Phase
by Miriam Hernandez, Patricia Noguera, Nuria Pastor-Navarro, Marcos Cantero-García, Rafael Masot-Peris, Miguel Alcañiz-Fillol and David Gimenez-Romero
Biosensors 2026, 16(2), 79; https://doi.org/10.3390/bios16020079 - 28 Jan 2026
Viewed by 259
Abstract
Current liquid-phase resonant biosensors, such as Quartz Crystal Microbalance, Surface Acoustic Wave, or Surface Plasmon Resonance, typically rely on specialized piezoelectric substrates or complex optical setups. These requirements often necessitate cleanroom fabrication, thereby limiting cost-effective scalability. This study presents a high-integration sensing platform [...] Read more.
Current liquid-phase resonant biosensors, such as Quartz Crystal Microbalance, Surface Acoustic Wave, or Surface Plasmon Resonance, typically rely on specialized piezoelectric substrates or complex optical setups. These requirements often necessitate cleanroom fabrication, thereby limiting cost-effective scalability. This study presents a high-integration sensing platform based on standard Printed Circuit Board (PCB) technology, incorporating an embedded inductor within a fluidic system for real-time monitoring. This design leverages industrial manufacturing standards to achieve a compact, low-cost, and scalable architecture. Detection is governed by shifts in the resonance frequency of an LC tank circuit; specifically, increases in bulk ionic strength induce a frequency decrease, whereas biomolecular adsorption at the sensor surface leads to a frequency increase. This phenomenon can be explained by the modulation of the inter-turn capacitance, which is modeled as a combination of capacitive elements accounting for contributions from the bulk electrolyte and the surface-bound dielectric layer. Such divergent responses provide an intrinsic self-discriminating capability, allowing for the analytical differentiation between surface interactions and bulk effects. To the best of our knowledge, this is the first demonstration of an inductor-based resonant sensor fully embedded in a PCB fluidic architecture for continuous liquid-phase analyte monitoring. Validated through a protein-antibody model (Bovine Serum Albumin-anti-Bovine Serum Albumin), the sensor demonstrated a limit of detection of 1.7 ppm (0.026 mM) and a linear dynamic range of 31–211 ppm (0.47–3.2 mM). These performance metrics, combined with a reproducibility of 4 ± 3%, indicate that the platform meets the requirements for robust analytical applications. Its inherent simplicity and potential for miniaturization position this technology as a viable candidate for point-of-care diagnostics in diverse environments. Full article
(This article belongs to the Section Biosensor and Bioelectronic Devices)
Show Figures

Graphical abstract

15 pages, 1881 KB  
Article
Finite-Range Scalar–Tensor Gravity: Constraints from Cosmology and Galaxy Dynamics
by Elie Almurr and Jean Claude Assaf
Galaxies 2026, 14(1), 7; https://doi.org/10.3390/galaxies14010007 - 27 Jan 2026
Viewed by 377
Abstract
Objective: We examine whether a finite-range scalar–tensor modification of gravity can be simultaneously compatible with cosmological background data, galaxy rotation curves, and local/astrophysical consistency tests, while satisfying the luminal gravitational-wave propagation constraint (cT=1) implied by GW170817 at low [...] Read more.
Objective: We examine whether a finite-range scalar–tensor modification of gravity can be simultaneously compatible with cosmological background data, galaxy rotation curves, and local/astrophysical consistency tests, while satisfying the luminal gravitational-wave propagation constraint (cT=1) implied by GW170817 at low redshifts. Methods: We formulate the model at the level of an explicit covariant action and derive the corresponding field equations; for cosmological inferences, we adopt an effective background closure in which the late-time dark-energy density is modulated by a smooth activation function characterized by a length scale λ and amplitude ϵ. We constrain this background model using Pantheon+, DESI Gaussian Baryon Acoustic Oscillations (BAOs), and a Planck acoustic-scale prior, including an explicit ΛCDM comparison. We then propagate the inferred characteristic length by fixing λ in the weak-field Yukawa kernel used to model 175 SPARC galaxy rotation curves with standard baryonic components and a controlled spherical approximation for the scalar response. Results: The joint background fit yields Ωm=0.293±0.007, λ=7.691.71+1.85Mpc, and H0=72.33±0.50kms1Mpc1. With λ fixed, the baryons + scalar model describes the SPARC sample with a median reduced chi-square of χν2=1.07; for a 14-galaxy subset, this model is moderately preferred over the standard baryons + NFW halo description in the finite-sample information criteria, with a mean ΔAICc outcome in favor of the baryons + scalar model (≈2.8). A Vainshtein-type screening completion with Λ=1.3×108 eV satisfies Cassini, Lunar Laser Ranging, and binary pulsar bounds while keeping the kpc scales effectively unscreened. For linear growth observables, we adopt a conservative General Relativity-like baseline (μ0=0) and show that current fσ8 data are consistent with μ00 for our best-fit background; the model predicts S8=0.791, consistent with representative cosmic-shear constraints. Conclusions: Within the present scope (action-level weak-field dynamics for galaxy modeling plus an explicitly stated effective closure for background inference), the results support a mutually compatible characteristic length at the Mpc scale; however, a full perturbation-level implementation of the covariant theory remains an issue for future work, and the role of cold dark matter beyond galaxy scales is not ruled out. Full article
Show Figures

Figure 1

13 pages, 324 KB  
Article
On the Description of Turbulent Transport in Magnetic Confinement Systems
by Jan Weiland and Tariq Rafiq
Physics 2026, 8(1), 12; https://doi.org/10.3390/physics8010012 - 27 Jan 2026
Viewed by 149
Abstract
We show how a source-aware fluid closure framework for turbulent transport performs well on the confinement timescale in magnetically confined plasmas. A central result is that whether a source is resonant with the turbulence determines which fluid moments must be retained. Using a [...] Read more.
We show how a source-aware fluid closure framework for turbulent transport performs well on the confinement timescale in magnetically confined plasmas. A central result is that whether a source is resonant with the turbulence determines which fluid moments must be retained. Using a nonlinear current formulation, we show that resonance broadening—the dominant kinetic nonlinearity—cancels linear resonances and thereby justifies a quasilinear fluid closure already on the turbulence timescale. We derive a practical negative-energy criterion and identify parameter regimes satisfied by ion-temperature-gradient (ITG) modes (slab and toroidal), with parallel ion compressibility and magnetic curvature controlling the sign. The framework clarifies when velocity-space dynamics must be retained in the kinetic Fokker–Planck equation (for example, for fast-particle instabilities at frequencies about 102 higher than drift-wave frequencies). The present study provides additional support for our model by predicting transport that increases with radius and by showing—consistent with nonlinear kinetic simulations—that the diamagnetic flow dominates the Reynolds stress. Altogether, the results obtained provide a consistent, reduced-cost path to fluid closures that retain the essential kinetic physics while remaining tractable on confinement timescales. Full article
Back to TopTop