Sign in to use this feature.

Years

Between: -

Subjects

remove_circle_outline
remove_circle_outline
remove_circle_outline
remove_circle_outline
remove_circle_outline
remove_circle_outline
remove_circle_outline

Journals

Article Types

Countries / Regions

Search Results (44)

Search Parameters:
Keywords = linear phase-shifting transformer

Order results
Result details
Results per page
Select all
Export citation of selected articles as:
21 pages, 2716 KB  
Article
Time Series Analysis of Post-Tsunami Coastal Recovery on the Sendai Coastline Using Dynamic Time Warping and Persistent Homology
by Arnob Bormudoi, Masahiko Nagai and Muhammad Daniel Iman bin Hussain
Remote Sens. 2025, 17(24), 3972; https://doi.org/10.3390/rs17243972 - 9 Dec 2025
Viewed by 265
Abstract
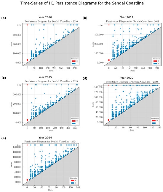
This study presents a computational framework combining Dynamic Time Warping (DTW) and Persistent Homology to quantify the long-term morphological evolution of the Sendai coastline following the 2011 Tōhoku tsunami. Using multispectral satellite imagery from Landsat 5 TM, Landsat 8 OLI, and Sentinel-2 MSI [...] Read more.
This study presents a computational framework combining Dynamic Time Warping (DTW) and Persistent Homology to quantify the long-term morphological evolution of the Sendai coastline following the 2011 Tōhoku tsunami. Using multispectral satellite imagery from Landsat 5 TM, Landsat 8 OLI, and Sentinel-2 MSI (2010–2024), instantaneous shorelines were extracted via the Modified Normalized Difference Water Index (MNDWI) and reconstructed with parametric B-spline curves. DTW analysis indicated severe initial deformation, with a 90,927 m difference between pre- and post-tsunami instantaneous shorelines, followed by gradual stabilization as distances declined to 59,584 m by 2024. Persistent Homology revealed a more complex topological trajectory, with the number of 1-dimensional features (H1) rising sharply after the tsunami, consolidating by 2015, and expanding again to over 8000 by 2020–2024. The Stable Distance of Persistent Homology (SDPH) identified 2015–2020 as the key phase of transformation (38,088 m), marking a shift toward higher morphological complexity. A weak negative correlation (r = −0.362) between DTW and SDPH confirmed their complementarity in describing geometric and topological change. Overall, the results suggest that post-tsunami recovery followed a non-linear path toward a new dynamic equilibrium characterized by increased structural complexity and resilience. Full article
Show Figures

Figure 1

25 pages, 1283 KB  
Article
Achieving Enhanced Spectral Efficiency for Constant Envelope Transmission in CP-OFDMA Framework
by Zhuhong Zhu, Yiming Zhu, Xiaodong Xu, Wenjin Wang, Li Chai and Yi Zheng
Sensors 2025, 25(23), 7257; https://doi.org/10.3390/s25237257 - 28 Nov 2025
Viewed by 435
Abstract
Orthogonal frequency-division multiplexing (OFDM) has been adopted as the baseline waveform for sixth-generation (6G) networks owing to its robustness and high spectral efficiency. However, its inherently high peak-to-average power ratio (PAPR) limits power amplifier efficiency and causes nonlinear distortion, particularly in power- and [...] Read more.
Orthogonal frequency-division multiplexing (OFDM) has been adopted as the baseline waveform for sixth-generation (6G) networks owing to its robustness and high spectral efficiency. However, its inherently high peak-to-average power ratio (PAPR) limits power amplifier efficiency and causes nonlinear distortion, particularly in power- and cost-constrained 6G scenarios. To address these challenges, we propose a constant-envelope cyclic-prefix OFDM (CE-CP-OFDM) transceiver under the CP-OFDMA framework, which achieves high spectral efficiency while maintaining low PAPR. Specifically, we introduce a spectrally efficient subcarrier mapping scheme with partial frequency overlap and establish a multiuser received signal model under frequency-selective fading channels. Subsequently, to minimize channel estimation error, we develop an optimal multiuser CE pilot design by exploiting frequency-domain phase shifts and generalized discrete Fourier transform-based time-domain sequences. For large-scale multiuser scenarios, a joint delay–frequency-domain channel estimation method is proposed, complemented by a low-complexity linear minimum mean square error (LMMSE) estimator in the delay domain. To mitigate inter-symbol and multiple-access interference, we further design an iterative frequency-domain LMMSE (FD-LMMSE) equalizer based on the multiuser joint received-signal model. Numerical results demonstrate that the proposed CE-CP-OFDM transceiver achieves superior bit-error-rate performance compared with conventional waveforms while maintaining high spectral efficiency. Full article
(This article belongs to the Section Communications)
Show Figures

Figure 1

18 pages, 2734 KB  
Article
Stability and Repeatability Analysis of a Phase-Modulated Optical Fibre Sensor for Transformer Oil Ageing Detection
by Ugochukwu Elele, Youssouf Brahami, Issouf Fofana, Azam Nekahi, Arshad Arshad and Kate McAulay
Sensors 2025, 25(22), 6851; https://doi.org/10.3390/s25226851 - 9 Nov 2025
Viewed by 547
Abstract
Transformer oil ageing alters key physicochemical properties, notably the refractive index (RI), due to physical, particulate, and chemical changes. As a result, refractometric fibre-optic sensors have gained attention for enabling real-time monitoring and overcoming the limitations of traditional offline diagnostics. This study explores [...] Read more.
Transformer oil ageing alters key physicochemical properties, notably the refractive index (RI), due to physical, particulate, and chemical changes. As a result, refractometric fibre-optic sensors have gained attention for enabling real-time monitoring and overcoming the limitations of traditional offline diagnostics. This study explores the use of a Fabry–Pérot phase-modulated fibre optic sensor (FISO FRI RI Sensor) for in-situ ageing detection in four industrial transformer oils: natural ester, synthetic ester, Nytro Bio 300X (vegetable-based), and Polaris GX (mineral-based). The oils were thermally aged under controlled conditions following degassing and drying. The sensor performance was evaluated using key metrics, including repeatability, thermal response, settling time, and linearity. Results show high repeatability (with standard deviations below 7 × 10−5 RIU and repeatability coefficients under 2 × 10−4 RIU), stable thermal response (~0.0004 RIU/°C), and strong thermal linearity (R2 > 0.99) across all samples. Natural ester and Nytro Bio 300X exhibited the most stable and consistent sensor responses, while synthetic ester and mineral oils showed greater variability due to temperature-induced RI shifts. These findings demonstrate the reliability and precision of this Fabry–Pérot phase-modulated sensor for online transformer oil condition monitoring, with strong potential for integration into smart grid diagnostics. Full article
(This article belongs to the Special Issue Advances and Innovations in Optical Fiber Sensors)
Show Figures

Figure 1

22 pages, 2341 KB  
Article
A Multi-Expert Evolutionary Boosting Method for Proactive Control in Unstable Environments
by Alexander Musaev and Dmitry Grigoriev
Algorithms 2025, 18(11), 692; https://doi.org/10.3390/a18110692 - 2 Nov 2025
Viewed by 426
Abstract
Unstable technological processes, such as turbulent gas and hydrodynamic flows, generate time series that deviate sharply from the assumptions of classical statistical forecasting. These signals are shaped by stochastic chaos, characterized by weak inertia, abrupt trend reversals, and pronounced low-frequency contamination. Traditional extrapolators, [...] Read more.
Unstable technological processes, such as turbulent gas and hydrodynamic flows, generate time series that deviate sharply from the assumptions of classical statistical forecasting. These signals are shaped by stochastic chaos, characterized by weak inertia, abrupt trend reversals, and pronounced low-frequency contamination. Traditional extrapolators, including linear and polynomial models, therefore act only as weak forecasters, introducing systematic phase lag and rapidly losing directional reliability. To address these challenges, this study introduces an evolutionary boosting framework within a multi-expert system (MES) architecture. Each expert is defined by a compact genome encoding training-window length and polynomial order, and experts evolve across generations through variation, mutation, and selection. Unlike conventional boosting, which adapts only weights, evolutionary boosting adapts both the weights and the structure of the expert pool, allowing the system to escape local optima and remain responsive to rapid environmental shifts. Numerical experiments on real monitoring data demonstrate consistent error reduction, highlighting the advantage of short windows and moderate polynomial orders in balancing responsiveness with robustness. The results show that evolutionary boosting transforms weak extrapolators into a strong short-horizon forecaster, offering a lightweight and interpretable tool for proactive control in environments dominated by chaotic dynamics. Full article
(This article belongs to the Special Issue Evolutionary and Swarm Computing for Emerging Applications)
Show Figures

Figure 1

40 pages, 3791 KB  
Review
Next-Generation Interferometry with Gauge-Invariant Linear Optical Scatterers
by Christopher R. Schwarze, Anthony D. Manni, David S. Simon, Abdoulaye Ndao and Alexander V. Sergienko
Metrology 2025, 5(4), 65; https://doi.org/10.3390/metrology5040065 - 29 Oct 2025
Viewed by 654
Abstract
Measurement technology employing optical interference phenomena such as a fringe pattern or frequency shift has been evolving for more than a century. Systems are being designed better, and their components are being built better. However, the major components themselves hardly change. Most modern [...] Read more.
Measurement technology employing optical interference phenomena such as a fringe pattern or frequency shift has been evolving for more than a century. Systems are being designed better, and their components are being built better. However, the major components themselves hardly change. Most modern interferometers rely on the same conventional set of components to separate the electromagnetic field into multiple beams, such as plate optics and beam splitters. This naturally limits the design scope and thus the potential applicability and performance. However, recent investigations suggest that incorporating novel, higher-dimensional linear optical splitters in interferometer design can lead to several improvements. In this work, we review the underlying theory of these novel optical scatterers and some demonstrated configurations with enhanced resolution. The basic principles of optical interference and optical phase sensing are discussed in tandem. Emphasis is placed on both familiar and unfamiliar scatterers, such as the maximally symmetric Grover multiport, whose actions are left unchanged by certain gauge transformations. These higher-dimensional, gauge-invariant multiports embody a new class of building blocks that can tailor optical interference to metrology in unconventional ways. Full article
(This article belongs to the Special Issue Advancements in Optical Measurement Devices and Technologies)
Show Figures

Figure 1

14 pages, 898 KB  
Article
Joint Trajectory and IRS Phase Shift Optimization for Dual IRS-UAV-Assisted Uplink Data Collection in Wireless Sensor Networks
by Heng Zou and Hui Guo
Sensors 2025, 25(20), 6265; https://doi.org/10.3390/s25206265 - 10 Oct 2025
Viewed by 522
Abstract
Intelligent reflecting surface-assisted unmanned aerial vehicles (IRS-UAVs) have been widely applied in various communication scenarios. This paper addressed the uplink communication problem in wireless sensor networks (WSNs) by proposing a novel double IRS-UAVs assisted framework to improve the pairwise sum rate. Specifically, nodes [...] Read more.
Intelligent reflecting surface-assisted unmanned aerial vehicles (IRS-UAVs) have been widely applied in various communication scenarios. This paper addressed the uplink communication problem in wireless sensor networks (WSNs) by proposing a novel double IRS-UAVs assisted framework to improve the pairwise sum rate. Specifically, nodes with relatively short signal transmission distances upload signals via a single-reflection link, while nodes with relatively long distances upload signals through a dual-reflection link involving two IRSs. Within each work cycle, the IRS-UAVs followed a fixed service sequence to cyclically assist all sensor node pairs. We designed a joint optimization algorithm that simultaneously optimized the UAV trajectories and IRS phase shifts to maximize the pairwise sum rate while guaranteeing each node’s transmission rate meets a minimum quality of service (QoS) constraint. Specifically, we introduce slack variables to linearize the inherently nonlinear constraints arising from interdependent variables, thereby transforming each subproblem into a more manageable form. These subproblems are then solved iteratively within a coordinated optimization framework: in each iteration, one subproblem is optimized while keeping variables of others fixed, and the solutions are alternately updated to refine the overall performance. The numerical results show that this algorithm can effectively optimize the flight trajectory of the unmanned aircraft and significantly improve the pairwise total rate of the system. Compared with the two traditional schemes, the average optimization rates are 11.91% and 16.36%. Full article
(This article belongs to the Section Sensor Networks)
Show Figures

Figure 1

19 pages, 839 KB  
Article
RIS-Assisted Backscatter V2I Communication System: Spectral-Energy Efficient Trade-Off
by Yi Dong, Peng Xu, Xiaoyu Lan, Yupeng Wang and Yufeng Li
Electronics 2025, 14(19), 3800; https://doi.org/10.3390/electronics14193800 - 25 Sep 2025
Viewed by 431
Abstract
In this paper, an energy efficiency (EE)–spectral efficiency (SE) trade-off scheme is investigated for the distributed reconfigurable intelligent surface (RIS)-assisted backscatter vehicle-to-infrastructure (V2I) communication system. Firstly, a multi-objective optimization framework balancing EE and SE is established using the linear weighting method, and the [...] Read more.
In this paper, an energy efficiency (EE)–spectral efficiency (SE) trade-off scheme is investigated for the distributed reconfigurable intelligent surface (RIS)-assisted backscatter vehicle-to-infrastructure (V2I) communication system. Firstly, a multi-objective optimization framework balancing EE and SE is established using the linear weighting method, and the quadratic transformation is utilized to recast the optimization problem as a strictly convex problem. Secondly, an alternating optimization (AO) approach is applied to partition the original problem into two independent subproblems of the BS and RIS beamforming, which are, respectively, designed by the weighted minimization mean-square error (WMMSE) and the Riemannian conjugate gradient (RCG) algorithms. Finally, according to the trade-off factor, the power reflection coefficients of backscatter devices (BDs) are dynamically optimized with the BS beamforming vectors and RIS phase shift matrices, considering their activation requirements and the vehicle minimum quality of service (QoS). The simulation results verify the effectiveness of the proposed algorithm in simultaneously improving SE and the EE in practical V2I applications through rational optimization of the BD power reflection coefficient. Full article
Show Figures

Figure 1

17 pages, 2158 KB  
Article
The Development of Circular Economy in China’s Coal Industry: Facing Challenges of Inefficiency in the Waste Recycling Process
by Yunbing Hou, Shiyu Xi, Huaqing Li, Yudong Fan, Fuchun Li, Qiang Wen and Junwei Hao
Sustainability 2025, 17(18), 8147; https://doi.org/10.3390/su17188147 - 10 Sep 2025
Viewed by 721
Abstract
This paper innovatively constructs a comprehensive material cycle network framework for the circular economy system of the coal industry and evaluates the circular economy efficiency of China’s provincial coal industry from 2011 to 2021 using a comprehensive evaluation model that integrates emergy analysis [...] Read more.
This paper innovatively constructs a comprehensive material cycle network framework for the circular economy system of the coal industry and evaluates the circular economy efficiency of China’s provincial coal industry from 2011 to 2021 using a comprehensive evaluation model that integrates emergy analysis and dynamic network data envelopment analysis (DEA). The research delves into the evolutionary characteristics of the coal industry’s circular economy and identifies the underlying causes of inefficiency. The results reveal that the circular economy in China’s coal industry has gone through three stages: the transformation period, the reinforcement period, and the growth period, with the inefficiency of waste reutilization being the key factor restricting the overall improvement in efficiency. The circular economy model in the production phase is gradually shifting from an extensive linear model to a clean, closed-loop model, while a significant gap remains between the high-emission linear model and the low-pollution closed-loop model in the utilization phase. Furthermore, regional heterogeneity mainly arises from imbalances in the operational efficiency of the circular economy system. This study not only reveals the deep-seated reasons for the low efficiency of circular economy in China’s coal industry but also provides strategies and directions for achieving a more efficient circular economy and carbon mitigation goals. Full article
Show Figures

Figure 1

31 pages, 3563 KB  
Article
Research on Flexible Operation Control Strategy of Motor Operating Mechanism of High Voltage Vacuum Circuit Breaker
by Dongpeng Han, Weidong Chen and Zhaoxuan Cui
Energies 2025, 18(17), 4593; https://doi.org/10.3390/en18174593 - 29 Aug 2025
Viewed by 714
Abstract
In order to solve the problem that it is difficult to take into account the performance constraints between the core functions of insulation, current flow and arc extinguishing of high-voltage vacuum circuit breakers at the same time, this paper proposes a flexible control [...] Read more.
In order to solve the problem that it is difficult to take into account the performance constraints between the core functions of insulation, current flow and arc extinguishing of high-voltage vacuum circuit breakers at the same time, this paper proposes a flexible control strategy for the motor operating mechanism of high-voltage vacuum circuit breakers. The relationship between the rotation angle of the motor and the linear displacement of the moving contact of the circuit breaker is analyzed, and the ideal dynamic curve is planned. The motor drive control device is designed, and the phase-shifted full-bridge circuit is used as the boost converter. The voltage and current double closed-loop sliding mode control strategy is used to simulate and verify the realization of multi-stage and stable boost. The experimental platform is built and the experiment is carried out. The results show that under the voltage conditions of 180 V and 150 V, the control range of closing speed and opening speed is increased by 31.7% and 25.9% respectively, and the speed tracking error is reduced by 51.2%. It is verified that the flexible control strategy can meet the ideal action curve of the operating mechanism, realize the precise control of the opening and closing process and expand the control range. The research provides a theoretical basis for the flexible control strategy of the high-voltage vacuum circuit breaker operating mechanism, and provides new ideas for the intelligent operation technology of power transmission and transformation projects. Full article
Show Figures

Figure 1

10 pages, 2156 KB  
Article
Highly Linear Loaded-Line Phase Shifter Utilizing Impedance Transformer and PIN Diode
by Farhad Ghorbani, Amir Dayan, Jiafeng Zhou and Yi Huang
Microwave 2025, 1(2), 7; https://doi.org/10.3390/microwave1020007 - 30 Jul 2025
Viewed by 2732
Abstract
This paper presents a highly linear one-bit loaded-line phase shifter that leverages PIN diodes in combination with a coupler-based impedance transformer. The proposed phase shifter adopts a loaded-line topology, where PIN diodes are configured in a parallel-to-ground arrangement to improve linearity performance. To [...] Read more.
This paper presents a highly linear one-bit loaded-line phase shifter that leverages PIN diodes in combination with a coupler-based impedance transformer. The proposed phase shifter adopts a loaded-line topology, where PIN diodes are configured in a parallel-to-ground arrangement to improve linearity performance. To further enhance linearity, a coupler-based impedance transformer is employed to reduce the impedance seen by each PIN diode, thereby minimizing nonlinear behavior. To demonstrate the effectiveness of this design, a one-bit digital phase shifter is developed, simulated, and fabricated to achieve a 45-degree phase shift at 2 GHz. Experimental measurements confirm an input third-order intercept point (IIP3) exceeding 100 dBm under a range of test conditions, validating the proposed architecture’s linearity advantages. Full article
Show Figures

Figure 1

38 pages, 1394 KB  
Article
A Ladder of Urban Resilience: An Evolutionary Framework for Transformative Governance of Communities Facing Chronic Crises
by Dario Esposito
Sustainability 2025, 17(13), 6010; https://doi.org/10.3390/su17136010 - 30 Jun 2025
Cited by 4 | Viewed by 2860
Abstract
This paper explores the concept of evolutionary urban resilience by framing cities as complex, open, and adaptive Social-Ecological-Technological Systems (SETS), shaped by multi-scalar dynamics, systemic uncertainty, and interdependent crises. It challenges the reductionist view of resilience as a fixed capacity or linear sequence [...] Read more.
This paper explores the concept of evolutionary urban resilience by framing cities as complex, open, and adaptive Social-Ecological-Technological Systems (SETS), shaped by multi-scalar dynamics, systemic uncertainty, and interdependent crises. It challenges the reductionist view of resilience as a fixed capacity or linear sequence of risk management phases, and instead proposes a process-based paradigm rooted in learning, creativity, and the ability to navigate disequilibrium. The framework defines urban resilience as a continuous and iterative transformation process, supported by: (i) a combination of tangible and intangible qualities activated according to problem typology; (ii) cross-domain processes involving infrastructures, flows, governance, networks, and community dynamics; and (iii) the engagement of diverse agents in shared decision-making and coordinated action. These dimensions unfold across three incremental and interdependent scenarios—baseline, critical, and chronic crisis—forming a ladder of resilience that guides communities through escalating challenges. Special emphasis is placed on the role of Information and Communication Technologies (ICTs) as relational and adaptive tools enabling distributed intelligence and inclusive governance. The framework also outlines concrete operational and policy implications for cities aiming to build anticipatory and transformative resilience capacities. Applied to the case of Taranto, the approach offers insights into how structurally fragile communities facing conflicting adaptive trajectories can unlock transformative potential. Ultimately, the paper calls for a shift from government to governance, from control to co-creation, and from reactive adaptation to chaos generativity, recasting urban resilience as an evolving project of collective agency, systemic reconfiguration, and co-production of emergent urban futures. Full article
Show Figures

Figure 1

25 pages, 33376 KB  
Article
Spatial-Spectral Linear Extrapolation for Cross-Scene Hyperspectral Image Classification
by Lianlei Lin, Hanqing Zhao, Sheng Gao, Junkai Wang and Zongwei Zhang
Remote Sens. 2025, 17(11), 1816; https://doi.org/10.3390/rs17111816 - 22 May 2025
Cited by 1 | Viewed by 1096
Abstract
In realistic hyperspectral image (HSI) cross-scene classification tasks, it is ideal to obtain target domain samples during the training phase. Therefore, a model needs to be trained on one or more source domains (SD) and achieve robust domain generalization (DG) performance on an [...] Read more.
In realistic hyperspectral image (HSI) cross-scene classification tasks, it is ideal to obtain target domain samples during the training phase. Therefore, a model needs to be trained on one or more source domains (SD) and achieve robust domain generalization (DG) performance on an unknown target domain (TD). Popular DG strategies constrain the model’s predictive behavior in synthetic space through deep, nonlinear source expansion, and an HSI generation model is usually adopted to enrich the diversity of training samples. However, recent studies have shown that the activation functions of neurons in a network exhibit asymmetry for different categories, which results in the learning of task-irrelevant features while attempting to learn task-related features (called “feature contamination”). For example, even if some intrinsic features of HSIs (lighting conditions, atmospheric environment, etc.) are irrelevant to the label, the neural network still tends to learn them, resulting in features that make the classification related to these spurious components. To alleviate this problem, this study replaces the common nonlinear generative network with a specific linear projection transformation, to reduce the number of neurons activated nonlinearly during training and alleviate the learning of contaminated features. Specifically, this study proposes a dimensionally decoupled spatial spectral linear extrapolation (SSLE) strategy to achieve sample augmentation. Inspired by the weakening effect of water vapor absorption and Rayleigh scattering on band reflectivity, we simulate a common spectral drift based on Markov random fields to achieve linear spectral augmentation. Further considering the common co-occurrence phenomenon of patch images in space, we design spatial weights combined with label determinism of the center pixel to construct linear spatial enhancement. Finally, to ensure the cognitive unity of the high-level features of the discriminator in the sample space, we use inter-class contrastive learning to align the back-end feature representation. Extensive experiments were conducted on four datasets, an ablation study showed the effectiveness of the proposed modules, and a comparative analysis with advanced DG algorithms showed the superiority of our model in the face of various spectral and category shifts. In particular, on the Houston18/Shanghai datasets, its overall accuracy was 0.51%/0.83% higher than the best results of the other methods, and its Kappa coefficient was 0.78%/2.07% higher, respectively. Full article
(This article belongs to the Section Remote Sensing Image Processing)
Show Figures

Figure 1

28 pages, 6954 KB  
Article
An Iterative Shifting Disaggregation Algorithm for Multi-Source, Irregularly Sampled, and Overlapped Time Series
by Colin O. Quinn, Ronald H. Brown, George F. Corliss and Richard J. Povinelli
Sensors 2025, 25(3), 895; https://doi.org/10.3390/s25030895 - 1 Feb 2025
Viewed by 1805
Abstract
Accurate time series forecasting often requires higher temporal resolution than that provided by available data, such as when daily forecasts are needed from monthly data. Existing temporal disaggregation techniques, which typically handle only single, uniformly sampled time series, have limited applicability in real-world, [...] Read more.
Accurate time series forecasting often requires higher temporal resolution than that provided by available data, such as when daily forecasts are needed from monthly data. Existing temporal disaggregation techniques, which typically handle only single, uniformly sampled time series, have limited applicability in real-world, multi-source scenarios. This paper introduces the Iterative Shifting Disaggregation (ISD) algorithm, designed to process and disaggregate time series derived from sensor-sourced low-frequency measurements, transforming multiple, nonuniformly sampled sensor data streams into a single, coherent high-frequency signal. ISD operates in an iterative, two-phase process: a prediction phase that uses multiple linear regression to generate high-frequency series from low-frequency data and correlated variables, followed by an update phase that redistributes low-frequency observations across high-frequency periods. This process repeats, refining estimates with each iteration cycle. The ISD algorithm’s key contribution is its ability to disaggregate multiple, nonuniformly spaced time series with overlapping intervals into a single daily representation. In two case studies using natural gas data, ISD successfully disaggregates billing cycle and grouped residential customer data into daily time series, achieving a 1.4–4.3% WMAPE improvement for billing cycle data and a 4.6–10.4% improvement for residential data over existing methods. Full article
(This article belongs to the Special Issue Signal Processing and Machine Learning for Sensor Systems)
Show Figures

Figure 1

19 pages, 1286 KB  
Article
Three-Airy Beams, Their Propagation in the Fresnel Zone, the Autofocusing Plane Location, as Well as Generalizing Beams
by Eugeny G. Abramochkin, Svetlana N. Khonina and Roman V. Skidanov
Photonics 2024, 11(4), 312; https://doi.org/10.3390/photonics11040312 - 28 Mar 2024
Cited by 1 | Viewed by 1773
Abstract
A family of 2D light fields consisting of the product of three Airy functions with linear arguments has been studied theoretically and experimentally. These fields, called three-Airy beams, feature a parameter shift and have a cubic phase and a super-Gaussian circular intensity in [...] Read more.
A family of 2D light fields consisting of the product of three Airy functions with linear arguments has been studied theoretically and experimentally. These fields, called three-Airy beams, feature a parameter shift and have a cubic phase and a super-Gaussian circular intensity in the far zone. Transformations of three-Airy beams in the Fresnel zone have been studied using theoretical, numerical, and experimental means. It has been shown that the autofocusing plane of a three-Airy beam is similar to the square root of the shift parameter. We also introduce generalized three-Airy beams containing nine free parameters, and obtain their Fourier transform in a closed form. Full article
(This article belongs to the Special Issue Laser Beam Propagation and Control)
Show Figures

Figure 1

23 pages, 24020 KB  
Article
Electromagnetic Vibration and Noise Analysis of Linear Phase-Shifting Transformer
by Dongao Yan, Jinghong Zhao, Sinian Yan, Hanming Wang and Changduo Zhou
Energies 2024, 17(6), 1448; https://doi.org/10.3390/en17061448 - 17 Mar 2024
Cited by 3 | Viewed by 2025
Abstract
The advantages of adjustable angle phase-shifting and great expansibility make the linear phase-shifting transformer a novel type of power conversion device with a wide range of potential applications. However, during the procedure, there is a lot of noise. For the purposes of transformer [...] Read more.
The advantages of adjustable angle phase-shifting and great expansibility make the linear phase-shifting transformer a novel type of power conversion device with a wide range of potential applications. However, during the procedure, there is a lot of noise. For the purposes of transformer design and vibration and noise reduction, it is crucial to investigate its electromagnetic vibration and noise. In this paper, the radial electromagnetic force wave considering the influence of the end effect as the source of the noise of the linear phase-shifting transformer was deduced and calculated. Based on this, the spectrum and space–time properties of the radial electromagnetic force waves were simulated and verified. Additionally, a finite element model was created using the Ansys Workbench 2022R1 platform to study the electromagnetic vibration and noise of the linear phase-shifting transformer. A joint simulation of the electromagnetic, structural, and sound fields was then performed. First, the transformer’s natural frequency was determined by modal analysis. After that, the transformer’s structure and the results of the transient electromagnetic field computation were combined and a harmonic response analysis was conducted to determine the vibration acceleration spectrum. Finally, in order to solve the sound pressure field, the transformer’s boundary vibration acceleration was coupled to the air domain. Furthermore, an analysis was conducted to determine the noise distribution surrounding the linear phase-shifting transformer. The joint simulation findings demonstrate that the linear phase-shifting transformer’s resonance, which produces larger electromagnetic vibration and noise, is indeed caused by the radial electromagnetic force. Simultaneously, the impact of the LPST core’s fixed components on the electromagnetic vibration and noise of the core was examined. Full article
(This article belongs to the Section F: Electrical Engineering)
Show Figures

Figure 1

Back to TopTop